Abstract
Due to the lack of accurate discrete element simulation model parameters in the design optimization process of key agricultural machinery components in the whole mechanization technology system of cotton generation, the optimization and improvement of the machine is restricted to a certain extent. Taking a cotton rootstalk–soil mixture at harvest stage in a Xinjiang cotton field as the research object, the discrete element simulation model of a cotton rootstalk–soil mixture was constructed, and the contact parameters of discrete element simulation were calibrated by combining simulation analysis with a physical test. The discrete element significant-influence parameters of cotton rootstalk–soil mixture were screened by Placket–Burman test, and the optimal range of significant-influence parameters was determined by the steepest climbing test. According to the principle of Box–Behnken test, the quadratic regression model of repose angle and significant parameters was established with repose angle as the response value. Taking the actual repose angle as the target, the Design-Expert software was used to optimize the parameters with significant influence and obtain the optimal combination of parameters. The optimal parameter combination was compared and verified by simulation experiments. The relative error between the simulated repose angle and the physical test was 2.36%. The results showed that the calibrated parameters were true and reliable, which could provide a theoretical reference for the discrete element simulation of cotton rootstalk–soil mixture in a Xinjiang cotton field.
1. Introduction
As a major high-quality cotton producing area in China, Xinjiang has always ranked first in terms of cotton planting area, total output, and yield per unit area [,]. A suitable geographical environment and an advanced plastic film-mulching planting technology have enabled the long-term rapid and stable development of the cotton industry in Xinjiang [,]. In 2022, the total planting area of cotton in Xinjiang had reached 2.4969 million hm2, accounting for 83.22% of the national cotton planting area. In recent years, the use of plastic film for cotton planting in Xinjiang has exceeded 180,000 tons per year [,]. However, the pollution of residual film in the cotton field is serious, and the contradictions between the use of plastic film and the protection of agricultural ecological environment and the green sustainable development of modern agriculture are increasingly prominent. The application of residual film recycling equipment in cotton fields, which mainly collects mulch film in autumn, has alleviated the problem of residual film pollution to a certain extent. However, most of the residual film recovered by this kind of machine is wrapped around a large number of impurities, such as cotton stalks and soil, which are not conducive to the initial cleaning and resource utilization of residual film [,,]. The comprehensive treatment of residual film pollution in farmland is a systematic project, and the recovery and resource utilization of residual film should be paid equal attention.
Releasing the film is the first step in the mechanical recycling of plastic film, which is to separate the mulching film bonded to the surface from the soil, so a variety of loose-film devices are designed and studied [,,]. However, there is a phenomenon of shoveling some cotton rootstalk during the operation of the existing loose-film devices. The cotton rootstalk and soil are picked up together with the film, which increases the difficulty of separating the film from the rootstalk, soil, and other impurities and affects the impurity rate after the film collecting, thereby affecting the resource utilization of the film. Meanwhile, the shoveled cotton rootstalk forms a blockage at the loose-film device, which affects the performance of the machine. The interactions between plastic film recycling components, soil, and cotton rootstalk are difficult to be analyzed by a mathematical model. The numerical simulation of key components by the discrete element method (DEM) can effectively simulate the trajectory of materials, instead of the complicated bench test, saving time and labor, shortening the development cycle, and reducing costs [,]. In the simulation test of the film lifting operation or the film and impurity separation, the accurate discrete element contact parameters and characteristic parameters of cotton rootstalk and soil can improve the accuracy of the particle interaction and motion law in the simulation, so as to realize the parameter optimization of key components and improve the operation performance of a plastic-film recycling machine.
Many studies have calibrated the discrete element model parameters of different materials to improve the accuracy of the simulation and make the simulation results closer to the actual operation process. Ghodki et al. [] calibrated the DEM input parameters of the Hertz–Mindlin model of soybean using a standard box-type instrument by comparing the experimental and numerical simulation results. Estay et al. [] introduced the bond calibration model and obtained the relationship between the micro and macro properties of the bond element method used in DEM. This was achieved by trial-and-error procedures using several DEM simulations of uniaxial compression tests. Rorato et al. [] calibrated the rolling resistance in discrete element models of sand based on an image. Coetzee et al. [] presented a procedure to determine the micro parameter values for the DEM modelling of a cohesionless granular material. The particle stiffness and friction coefficient were determined by confined compression tests and angle of repose tests. Grima et al. [] introduced some bench-scale tests to calibrate DEM simulations to reflect actual dynamic behavior and compared the results with the experimental slump test and hopper discharge test to quantitatively compare the angle of repose and the solids’ mass flow rate of pouring and drainage to verify the DEM model. Horabik et al. [] calibrated the discrete element method parameters of wheat for the modelling of a grain storage system and analyzed the effects of material parameters on the accuracy of the DEM modelling of the odometric compaction and unloading of bulk wheat. The results indicated good correspondence between the experimental data and DEM simulations using the calibrated parameters. Dai et al. [] examined the dynamic piling process and the packing structure of a sandpile using DEM simulations. Additionally, they focused on the effects of sliding and rolling frictions, as well as the effect of particle size distribution, on the two structural properties of the sandpile: the packing density and the angle of repose. Fang et al. [] calibrated the friction coefficient of corn stalk particle mixtures using Plackett–Burman design and response surface methodology. Liao et al. [] applied the discrete element method to study the mixed sowing process of oat and arrow pea seeds and calibrated the interspecific contact parameters of the mixed seeds, which provided a simulation parameter reference for studying the motion characteristics and seeding performance of seeds. Tian et al. [] took a corn straw–soil mixture in a black soil area as the research object, constructed the discrete element simulation model of the corn straw–soil mixture, and calibrated the contact parameters of the mixture by combining physical test with the EDEM simulation test. Liang et al. [] tested the repose angle, restitution coefficient, and static and rolling friction coefficient of cotton stalks with a moisture content of 10%, 30%, 50%, and 66.16%. The simulation model was established by using the discrete element software EDEM. The intrinsic particle and contact parameters between the cotton stalk particles and the contact material were measured with a physical test method by Zhang [] and Li et al. []. Additionally, based on the response surface method, the repose angel test of particles was simulated, obtaining the optimal combination of contact parameters.
At present, the research objects of discrete element simulation parameters are mainly single soil, seed, straw, fertilizer, and some mixture of materials, and there are few studies on a cotton rootstalk–soil mixture. The interaction between soil and cotton rootstalk exists in the releasing film operation of plastic film recycling, the pulling operation of cotton straw recycling, and the tillage operation of cotton fields in Xinjiang. However, there is no obvious law for the movement of a cotton rootstalk–soil mixture, and the finite element mixture model cannot simulate the movement process of soil and rootstalk, so it is necessary to research it.
In this paper, the cotton rootstalk–soil mixture in the autumn harvest period of Xinjiang cotton field was taken as the research object. Combined with physical and simulation tests, the contact parameters of a cotton rootstalk–soil mixture were calibrated by the EDEM software. Taking the repose angle as the response value, the mixing repose angle was measured by an image-processing method. The discrete element simulation and calibration of a cotton rootstalk–soil mixing repose angle were carried out by Plackett–Burman screening test, climbing test, and Box–Behnken test in order to determine the optimal discrete element simulation parameter values.
2. Measurement of Soil and Cotton Rootstalk Parameters
2.1. Test Materials
The soil and cotton rootstalk were taken from the cotton planting field of 3 branches of the 145 regiment in Shihezi City, Xinjiang in October. Cotton was planted with plastic film-mulching technology in April of that year. According to the principle of the five-point method in GB/T 5262-2008 ‘general provisions for determination of agricultural machinery test conditions’, soil samples were taken from a 0 to 100 mm soil layer under plastic film mulching, and the quality of each sample point was greater than 20 kg. According to the operation of the straw crushing and returning machine, the cotton stalk in the sampling point was pulled out, the stubble height was 100 mm, and the excess cotton branches were cut off.
2.2. Basic Physical Parameters
2.2.1. Soil Particle-Size Distribution
According to the provisions of GB/T 50123-2019 ‘standard for soil test methods’ particle analysis test, 500 g of soil samples at each sample point were weighed with an electronic balance (accuracy 0.001 g). The soil particle-size distribution and percentage content were determined by a sieve analysis method. The standard sieve apertures were 1 mm and 5 mm, respectively. After statistical calculation, the mass fraction of soil particles with a diameter of 0~1 mm was 42.05 ± 1.94%. The diameter of 1~5 mm had a value of 30.57 ± 1.93%. The diameter greater than 5 mm had a value of 27.38 ± 2.19%.
2.2.2. Density and Moisture Content of Soil
Soil density was measured by ring knife method. When sampling, the sample points were cleaned up, and the Vaseline was evenly applied to the inner wall of the ring knife (inner diameter 50.46 mm, height 50 mm, volume 100 cm3). The blade of the ring knife was placed perpendicular to the soil plane, the handle was placed above the ring knife, and the hammer was used to hit the handle to make the ring knife cut into the soil. When the ring knife invades the soil, the soil was removed around the ring knife; then the ring knife was gently removed, and the excess soil was scraped off with the scraper to make the soil at both ends of the ring knife flat. In order to prevent the evaporation of soil moisture, the soil samples were immediately placed on the electronic balance to weigh (accuracy 0.001 g). After weighing, the soil samples were placed in an aluminum box, and the soil moisture content was measured by drying method. The average dry density of the soil was 1.328 × 103 kg/m3, the average wet density was 1.539 × 103 kg/m3, and the average moisture content was 13.27%.
2.2.3. Density and Moisture Content of Cotton Rootstalk
Six cotton rootstalks were taken at each sampling point. A total of 30 samples were weighed with an electronic balance (accuracy 0.001 g). The volumes of 15 cotton rootstalks were measured by wet drainage method, and the densities of the cotton rootstalks were calculated according to Equation (1). The remaining 15 cotton rootstalk samples were placed in an aluminum box, and the moisture content was measured by drying method. The average density of cotton rootstalk was 825.8 kg/m3 and the average moisture content was 40.28%.
where ρ1 is the density of cotton rootstalk, kg/m3; m is the mass of cotton rootstalk, g; and V is the volume of cotton rootstalk water saturation, cm3.
2.3. Discrete Element Contact Parameter Measurement
The basic contact parameters of materials include restitution coefficient, coefficient of static friction, and rolling friction coefficient []. The shape of the cotton rootstalk is different, which is composed of a cotton stalk exposed to the ground and cotton root in the soil, as shown in Figure 1. There are more cotton roots, which are significantly different from the characteristics of cotton stalk materials. In order to ensure the test effect and accuracy of the contact parameters of cotton rootstalk, the cotton rootstalk was divided into cotton stalk and cotton root according to the method of measuring the contact parameters of straw in references [,]. The restitution coefficient and the coefficient of static friction between cotton rootstalk and contact materials were measured by inclined plate impact and inclined plane method. The rolling friction coefficient between cotton rootstalk and contact material was calibrated by repose-angle approximation, and the contact parameter range of the material was clarified.
Figure 1.
Structure of cotton rootstalk.
2.3.1. Restitution Coefficient
The restitution coefficient represents the deformation recovery ability of the object during collision, which is the ratio of the normal relative separation velocity to the normal relative approach velocity at the contact point of the two objects before and after the collision []. The restitution coefficient is often measured by free fall or inclined plate collision. The measurement model is established according to the physical definition of the restitution coefficient, and the test principle is shown in Figure 2a []. During the test, the cotton stalk and cotton root particles of the cotton rootstalk were selected to be dropped from the blanking hole of the horizontal feeding surface at a specified height. The particles fell freely and collided with the material on the 45° slope and fell onto the butter after rebounding, as shown in Figure 2b. The restitution coefficients of cotton stalk–steel, cotton stalk–soil, cotton stalk–cotton stalk, cotton root–steel, cotton root–soil, and cotton root–cotton root were tested, respectively. Each group of experiments was repeated 20 times. The calculation is shown in Equation (2), where v0, vx, and vy can be calculated by Equation (3) []. The test results are shown in Table 1.
where Cr is the restitution coefficient. The greater the value of Cr, the stronger the elastic recovery deformation ability. vn is the normal separation velocity after collision, m/s; von is the normal approaching velocity before collision, m/s; vx is the horizontal velocity after collision, m/s; vy is the vertical velocity after collision, and m/s; v0 is instantaneous collision velocity, m/s.
where g is the acceleration of gravity, 9.8 N/kg; S1 and S2 are the horizontal displacement of the material movement under different height conditions, m; H1 and H2 are the vertical displacement of the material movement under different height conditions, m; and H0 is the release height, m.
Figure 2.
Restitution coefficient test: (a) test principle; (b) practical test.
Table 1.
Restitution coefficient between cotton rootstalk and contact material.
2.3.2. Coefficient of Static Friction
The static friction coefficients between cotton stalks or roots and the contact material were measured through a slope slip test [], as shown in Figure 3. The contact material was bonded to the flat plate, and the cotton stalk or cotton root was placed at one end of the contact material. At the beginning of the test, the flat plate was placed horizontally, and the handle was rotated to lift one end of the flat plate slowly and uniformly. When the cotton stalk or cotton root had a downward trend on the slope, the measured material lifting height H3 and the distance from the shaft L were recorded. The static friction coefficient between cotton rootstalk and contact material was calculated by Equation (4). In order to reduce the measurement error, 15 cotton stalk and cotton root samples were selected for this physical test, and each sample test was repeated three times. The test results are shown in Table 2.
where μ is the static friction coefficient between the measured material and the contact material; and α is the inclination angle of the plate when the measured material slides, °.
Figure 3.
Static friction coefficient measurement test: (a) test principle; (b) actual test.
Table 2.
Coefficient of static friction between cotton rootstalk and contact material.
2.3.3. Physical Test of Repose Angle of Cotton Rootstalk–Soil Mixture
In the residual film recovery operation, the loose-film shovel first separates the surface residual film from the soil, disturbs the soil during the separation process, and shovels some cotton rootstalks. According to the shape, number, and depth of the loose-film shovels, the amount of soil disturbance was calculated as shown in Equation (5).
where m1 is the amount of soil disturbance per unit length of a single loose-film shovel, kg/m; ρ is soil wet density, kg/m3; h is the depth of the loose-film shovel into the soil, m; B is the width of a single loose-film shovel, m; N is the number of loose-film shovels; and mN is the amount of soil disturbance per unit length of N loose-film shovel, kg/m.
Xinjiang cotton is widely used in planting 6 rows on a plastic film (film width 2050 mm). According to its planting mode, the quality of rootstalk in the unit length of the width is calculated according to Equation (6).
where n is the number of cotton plants per unit length on the width of a single plastic film (2050 mm); L0 is cotton plant spacing, m; m0 is the average mass of single cotton rootstalk, kg; and mg is the total mass of cotton rootstalk per unit length on a single plastic-film width (2050 mm), kg.
The parameters of the commonly used loose-film shovel are width B = 25 mm, the depth of penetration h = 50 mm, the number of film teeth N = 15, and the sampling point of cotton plant spacing L0 = 10 mm. Substituting the above values into Equations (6) and (7), the mass ratio of soil to cotton rootstalk K was 31.61:1.
The repose angle of the cotton rootstalk–soil mixture was measured by the cylinder lifting method [,]. The cotton stalk, main root, and fibrous root of cotton rootstalk were made into particles with a length of 10 mm. The mass ratio K of the cotton rootstalk to soil was 32:1 after rounding. The cylinder used in the test was a steel cylinder with an inner diameter of 100 mm and a height of 200 mm. In the experiment, the mass of cotton rootstalk was 0.06 kg, and the soil mass was 1.92 kg. In order to reduce the measurement error of the repose angle, 20 physical tests were carried out. During the tests, a camera was used to take photos of the repose angle of cotton rootstalk–soil mixture (Figure 4a). The digital-image-processing software in Matlab was used to read the edge image of the mixture particle pile. The image was grayed and binarized (Figure 4b), the binary image was output, and the boundary contour was extracted (Figure 4c). Each pixel was scanned on the contour image, the coordinates and number of white dots were recorded, and the recorded white dots were linearly fitted by the least square method. The slope of the fitted line was read by Matlab (Figure 4d). The arithmetic mean of the repose angle of the mixture of cotton rootstalk and soil was 31.22°.

Figure 4.
Image processing of cotton the rootstalk–soil mixture repose-angle test: (a) original image; (b) binary image contour extraction; (c) edge contour; (d) fitting image.
3. Discrete Element Contact Parameters Optimization
The discrete element method (DEM) is a computer numerical simulation method based on the assumption of discontinuity, which has the advantages of high model fidelity and high accuracy of simulation results in simulating the motion and dynamic response of non-homogeneous, non-linear, and anisotropic discontinuous bodies [,]. The credibility of discrete element simulation largely depends on the selection of its contact model and the setting of simulation parameters [,]. Engineering discrete element modelling (EDEM) is a comprehensive computer-aided design engineering software. In the field of agricultural engineering, many researchers have used EDEM software to simulate and analyze the movement of various granular particles.
Since the cotton rootstalk is an anisotropic material, this paper uses the simulation approximation method to calibrate the contact parameters of the cotton rootstalk. The repose angle reflects the flow and friction characteristics of the particulate material, which is related to the contact material and its own physical characteristics. Therefore, the repose-angle physical experiment is often used to calibrate the particle discrete element parameters. The accumulation test of cotton rootstalk and soil mixture was carried out by using the parameter range calibrated by the physical test, and the parameters were continuously adjusted to make the simulated repose-angle approach the actual approach to obtain accurate parameters.
3.1. Establishment of Particle Models and Setting of EDEM Parameters
The contact model is an important basis of the discrete element method. DEM is used to simulate the contact between particles and particles and particles and boundaries by using the vibration motion equation. The Hertz–Mindlin (no slip) model is the default model used in EDEM, which is accurate and efficient in force calculation. In this model, both the normal force and the tangential force have damping components, and the tangential friction obeys the Coulomb friction law. The rolling friction is realized by the contact independent directional constant torque model, and the damping coefficient is related to the coefficient of restitution [,]. Hertz–Mindlin (no slip) is suitable for the motion simulation of wet materials with a certain moisture content and granular materials with a certain cohesion. So, when EDEM software was used to carry out the accumulation test of cotton rootstalk–soil mixture, the test model was Hertz–Mindlin [,].
In order to simplify the model and improve the simulation efficiency, the soil and cotton rootstalk particles with the same particle size as the physical test were formed by the combination of circular particles. The average diameter of the cotton stalk measured was 9.86 mm. The diameter of the large end of the main root stem was 7.25 mm, and the small end was 2.66 mm (average diameter was 4.96 mm), while the fibrous roots was 2.08 mm. Therefore, the cotton stalk part of the cotton rootstalk was made into particles with a diameter of 10 mm and a length of 10 mm (Figure 5a). The cotton root part was made into two kinds of particles with a diameter of 5 mm and a length of 10 mm, and a diameter of 2 mm and a length of 10 mm, as shown in Figure 5b,c. There were 75 grains of each particle in the cotton rootstalk part, with a total of 225 grains (0.06 kg). Due to the complex shape of soil particles, the soil particle model was established using a single spherical particle, dual surface, and square four sphere in the EDEM particle library. The single spherical particle model had a diameter of 1 mm, the double spherical particle model consisted of two spherical particles with a diameter of 3 mm, and the square four-sphere model consisted of four spherical particles with a diameter of 6 mm. The mass percentages of the three soil particle models were 42%, 31%, and 27%, respectively (Figure 5d–f). The total mass of soil particles was 1.92 kg.
Figure 5.
Particle models: (a) cotton stalk particle; (b) coarse root particle of cotton root; (c) fine root particle of cotton root; (d) single spherical soil particle; (e) double spherical soil particle; (f) square four spherical soil particle.
In the EDEM simulation test, a steel cylinder and a bottom plate model with the same physical test parameters were established, and a virtual plane was established above the cylinder as a particle factory, as shown in Figure 6. In order to ensure the uniformity of material mixing, soil and cotton rootstalk particles were generated at the same time. The formation rates of soil particles and cotton rootstalk particles were 0.48 kg/s and 0.015 kg/s, respectively. The generation time was 4 s, and the total simulation time was 10 s. After the simulation, the software post-processing function was used to calculate the repose angle of the mixture.
Figure 6.
Repose-angle simulation test. (a) particle filling; (b) heap completion.
In order to obtain the contact parameters of cotton rootstalk, the contact parameters of cotton stalk and cotton root in Table 2 were combined as the contact parameter range of cotton rootstalk. In the simulation test, the cotton stalk and cotton root particle parameters were set the same. According to the experimental measurements and references [,,,,,,,], the setting range of discrete element parameters in this paper is shown in Table 3.
Table 3.
Parameters used in the simulation.
3.2. Simulation Test and Analysis
Due to the particularity of the structure of cotton rootstalk, the contact parameters between cotton rootstalk and soil or steel plate are quite different. Therefore, it is necessary to accurately calibrate and optimize the simulation parameters between cotton rootstalk and contact materials based on the actual test range value. Through Plackett–Burman (PB) screening test, the related factors affecting the accumulation of cotton stalk stubble and soil mixture were screened out. Secondly, the steepest ascent test was carried out for the significant factors to quickly find the reasonable range value. Finally, the calibration model established by response surface methodology (RSM) was compared with the real test to solve the parameters between cotton rootstalk and contact material [].
3.2.1. Plackett–Burman Test
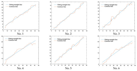
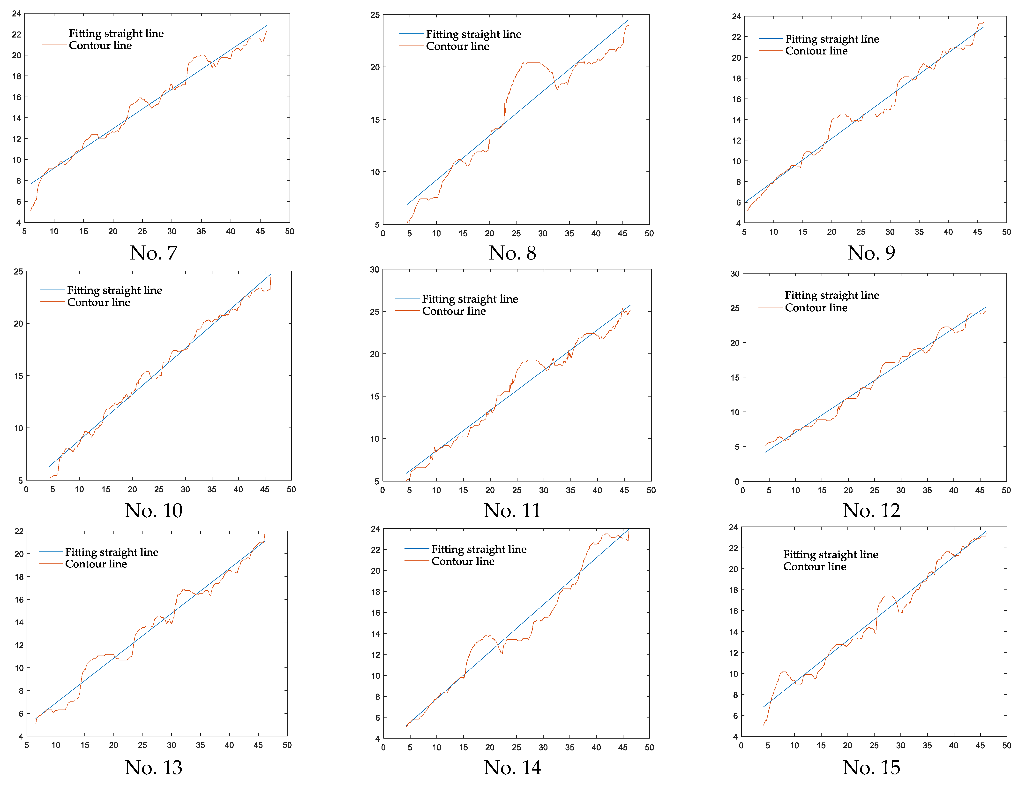
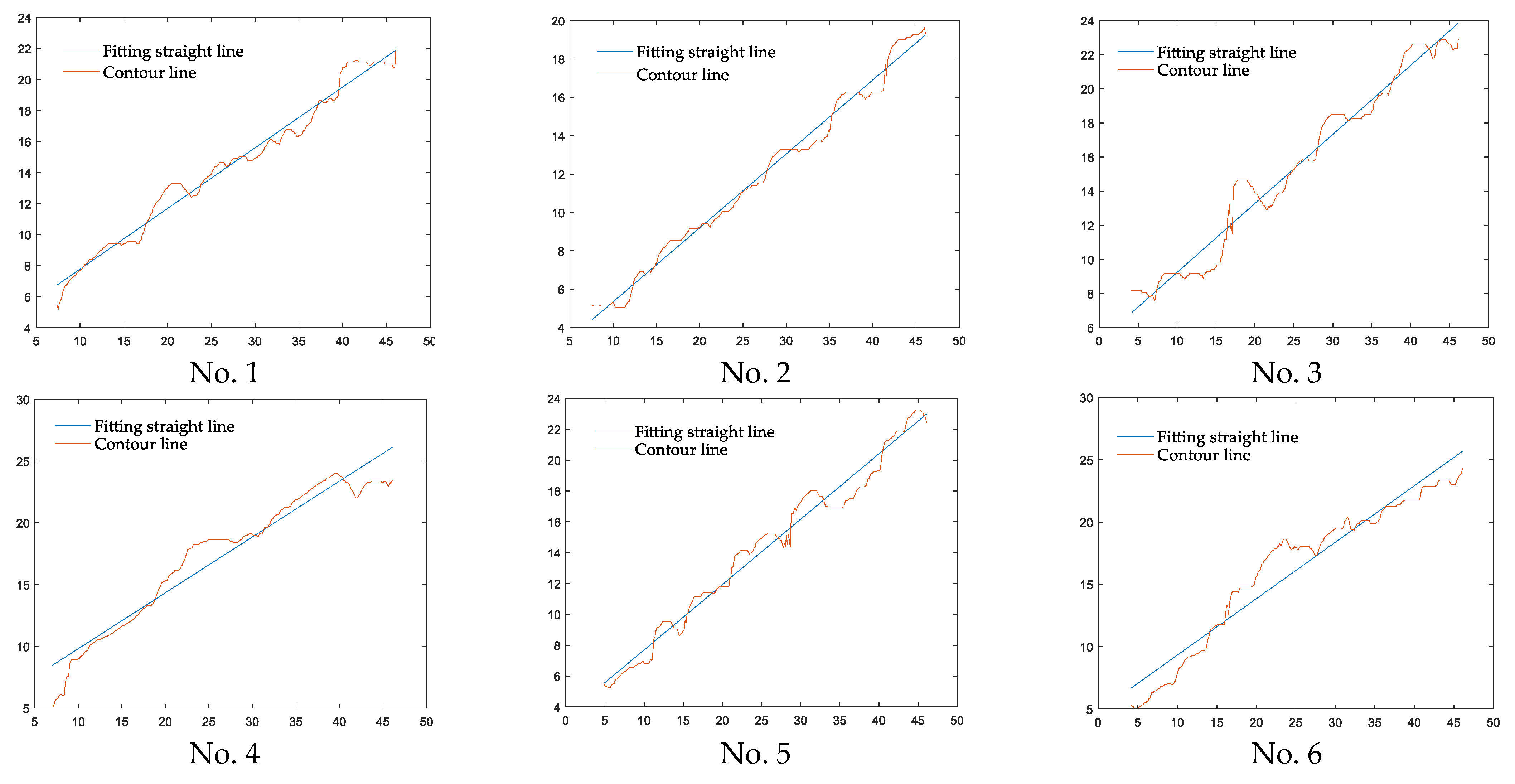
The Plackett–Burman test determined the significance of each factor by comparing the difference between the level of each factor 2 and the overall difference, so as to quickly screen out the factors that had a significant effect on the response value. In this paper, the Plackett–Burman module of Design-Expert 8.0 was used to screen out the factors that had significant effects on the repose angle of the mixture with the repose angle of soil, cotton stalk and cotton root as the response value. The maximum and minimum values of x1~x8 in Table 3 are coded as +1 and −1, respectively. Three central points were set in the experiment, a total of 15 groups. The Plackett–Burman design and the results are shown in Table 4. The linear fitting results of the repose angle are shown in Figure 7.
Table 4.
Plackett–Burman design and results.

Figure 7.
The linear fitting results of the repose angle of the Plackett–Burman tests.
The Design-Expert software was used to process the data in Table 4, and the significant order of the influence of each parameter on the repose angle was shown in Table 5. In the cotton rootstalk–soil mixture stacking test, x1, x2, x5, x6, and x8 had little effect on the repose angle, and the contribution rate was less than 5%. The contribution rates of x7 and x3 to the repose angle were 4.11% and 7.95%, respectively, and the contribution rate of x4 was as high as 62.95%, indicating that x3, x4, and x7 had a great influence on the formation of the repose angle. Therefore, x3, x4, and x7 with a large contribution rate and significant influence on the repose angle were selected for the subsequent steepest climbing test.
Table 5.
Analysis of Plackett–Burman screening test results.
3.2.2. Steepest Climbing Test
Based on the Plackett–Burman stacking test, three significant influencing parameters were selected, and the relative error between the simulated repose angle and the actual repose angle was used as the evaluation index to determine the optimal range of the test parameters, as shown in Equation (8). In the simulation process, x1, x2, x5, x8, and x6 adopted the intermediate level of the values in Table 3. The steepest climbing test design and results are shown in Table 6.
where, y is the relative error between the simulated repose angle and the actual repose angle of the mixture of cotton rootstalk and soil, %; θ is the simulated repose angle of the mixture, °; θ0 is the actual repose angle of the mixture, °.
Table 6.
The steepest climbing test design and results.
When the three test factors gradually increased, the relative error of the repose angle decreased first and then increased, and the relative error of the repose angle of the No. 3 test was the smallest, which was 2.12%. Based on the steepest climbing test, each parameter in the No. 3 test was determined as the center point of the later test, and No. 2 and No. 4 were used as low level and high level, respectively. The significant relationship of the model was verified by Box–Behnken response surface test, and the optimal parameter combination was obtained by optimization.
3.2.3. Box–Behnken Experiment
The three-factor and three-level response surface test design was carried out by Design-Expert software. A total of 17 sets of simulation tests were designed. The test design scheme and results are shown in Table 7. The second-order regression equation between the repose angle of the cotton rootstalk–soil mixture and three significant parameters was obtained by multiple regression fitting of the test results, as shown in Equation (9).
Y = 122.54 − 221.07x3 − 303.96x4 + 49.25x7 + 364.96x3x4 + 500x3x7 − 54.54x4x7 − 326.22x32 + 185.91x42 − 145.43x72
Table 7.
Box–Benhnken test scheme and results.
The analysis of variance results of the regression model are shown in Table 8. The results showed that the p value of the regression model was less than 0.0001, indicating that the model was extremely significant. The lack of fit was p = 0.2907 > 0.05, the determination coefficient was R2 = 0.9779, and the adeq precision was 20.166, indicating that the model had good accuracy and could better reflect the relationship between the repose angle and the restitution coefficient of cotton rootstalk–cotton rootstalk, the static friction coefficient of cotton rootstalk–cotton rootstalk, and the static friction coefficient of soil–cotton rootstalk. According to the p value of the model, the effects of x3, x4, and x7 on the repose angle of the mixture were very significant (p < 0.01). The interaction term x4x7 had no significant effect on the repose angle, and the interaction terms x3x7 and x4x7 had a very significant effect on the repose angle.
Table 8.
Analysis of variance.
The Origin 8 software was used to draw the response surface that the interaction of the three factors had a significant effect on the repose angle, as shown in Figure 8. Figure 8a shows that when the restitution coefficient of cotton rootstalk–cotton rootstalk x3 is constant, the repose angle Y of the mixture increases with the increase in the static friction coefficient of cotton rootstalk–cotton rootstalk x4. When x4 is constant, the repose angle Y increases with the increase in x3, and the influence of x3 on the repose angle is more significant than that of x4. Figure 8b indicates that when x3 is constant, the repose angle Y increases with the increase in the static friction coefficient of soil–cotton rootstalk x7. When x7 is constant, the repose angle Y increases with the increase in x3, and the influence of x3 on the repose angle Y is more significant than that of x7.
Figure 8.
Response surface of factor interaction on repose angle: (a) x3x4 interaction; (b) x3x7 interaction.
3.3. Parameter Optimization and Simulation Verification
In the factor level range, the parameters were optimized by using the Design-Expert software optimization function. Taking the actual repose angle of 31.22° as the target value, a set of solutions, which were close to the physical test results, were obtained: the restitution coefficient of cotton rootstalk–cotton rootstalk of 0.384, the static friction coefficient of cotton rootstalk–cotton rootstalk of 0.579, and the static friction coefficient of cotton rootstalk–soil of 0.625. In order to verify the reliability of the discrete element simulation, the simulation test of the repose angle of the cotton rootstalk–soil mixture particles was carried out with the above parameters. The test was repeated three times to take the average value. The simulation test result of the repose angle was 31.96°, and the relative error with the physical test result was 2.36%, indicating that the obtained optimal simulation contact parameter combination was basically consistent with the actual value, which verified the authenticity and reliability of the simulation test. Meanwhile, the different moisture content of cotton rootstalk and soil and the adhesion between them have a certain influence on the contact parameters between the mixture materials. This paper has studied only one water content condition, and further research will be conducted on the impact of different moisture contents of the mixture on the contact parameters in the future.
4. Conclusions
(1) Based on the discrete element EDEM simulation software, the Hertz–Mindlin contact model was used to simulate the discrete element simulation of the cotton rootstalk–soil mixture and calibrate the relevant parameters.
(2) Using the method of combining physical experiment and simulation experiment, the Plackett–Burman test was used to screen out the factors that had a significant effect on the repose angle of cotton rootstalk–soil mixture. The factors were the restitution coefficient of cotton rootstalk–cotton rootstalk, the static friction coefficient of cotton rootstalk–cotton rootstalk, and the static friction coefficient of cotton rootstalk–soil. Through the Box–Behnken test, a second-order regression model between the repose angle and the three factors was established, and the variance and regression model interaction effects were analyzed.
(3) Taking the physical repose angle of cotton rootstalk–soil mixture as the target, the influence parameters were optimized, and the optimal parameter combination was obtained as follows: the restitution coefficient of cotton rootstalk–cotton rootstalk of 0.384, the static friction coefficient of cotton rootstalk–cotton rootstalk of 0.579, and the static friction coefficient of cotton rootstalk–soil of 0.625. The optimal parameter combination was verified by simulation test. The relative error between the optimal parameter combination repose angle and the actual physical repose angle was 2.36%, which verified the reliability of the simulation model parameters.
(4) Cotton rootstalk is the main factor affecting the material dynamics behavior in the releasing film operation of plastic-film recycling, the pulling operation of cotton stalk recycling, and the tillage operation of cotton fields in Xinjiang. In this paper, the intrinsic parameters of cotton rootstalk and soil, as well as the contact parameters between them, were obtained by the combination of an actual measurement and a simulation calibration. This study provides theoretical guidance for the establishment of simulation models of cotton rootstalk, soil, and tillage components, as well as for the exploring the mechanism of mechanical operation in cotton fields and carrying out related research on the coupling interaction between machinery, soil, and cotton rootstalk. Moreover, it provides technical support for the design optimization of loose-film shovels, straw lifting devices, and plough and cultivated land parts.
Author Contributions
Conceptualization, D.J.; methodology, D.J. and J.Y.; software, J.Y. and Y.L.; validation, H.G.; writing—original draft preparation, D.J.; writing—review and editing, L.Y.; supervision, X.C.; funding acquisition, L.Y. All authors have read and agreed to the published version of the manuscript.
Funding
This research was funded by the National Key Research and Development Program of China (grant number 2022YFD2002403), the Science and Technology Department of Xinjiang Uygur Autonomous Region (grant number 2022B02020-4), and the National Cotton Industry Technology System (grant number CARS-15-23).
Institutional Review Board Statement
Not applicable.
Data Availability Statement
Not applicable.
Conflicts of Interest
The authors declare no conflict of interest.
References
- Wang, Z.H.; Han, M.Q.; Song, L.B.; Zong, R.; Wen, Y.; Wu, X.D. Effects of aeration on the growth and water use efficiency of cotton under mulched drip irrigation in the dry areas of Northwest China. Trans. Chin. Soc. Agric. Eng. 2022, 38, 108–116. [Google Scholar]
- Fu, L.H.; Liu, A.H. China Statistical Yearbook; China Statistics Press: Beijing, China, 2022. [Google Scholar]
- Li, J.H.; Wu, Y.K.; Zhang, Q.; Li, H.Q.; Pan, H.S.; Lu, W.; Wang, D.M.; Zhang, J.P.; Lu, Y.H. Aphid parasitism and parasitoid diversity in cotton fields in Xinjiang, China. PLoS ONE 2018, 13, 0207034. [Google Scholar] [CrossRef]
- Li, N.; Lin, H.X.; Wang, T.X.; Li, Y.; Liu, Y.; Chen, X.G.; Hu, X.T. Impact of climate change on cotton growth and yields in Xinjiang, China. Field Crops Res. 2020, 247, 107590. [Google Scholar] [CrossRef]
- Cui, J.L. The Entire Mechanization of Cotton Production Urgently Needs to Be Upgraded and Upgraded. Farmers Daily. 29 November 2022. Available online: https://szb.farmer.com.cn/2022/20221129/20221129_007/20221129_007_1.htm (accessed on 10 March 2023).
- Zhao, Y.; Chen, X.G. Problems and prospects of high quality cotton production in China. J. Tarim Univ. 2023, 35, 1–8. [Google Scholar]
- Zhao, Y.; Chen, X.G.; Wen, H.J.; Zheng, X.; Niu, Q.; Kang, J.M. Research status and prospect of control technology for residual plastic film pollution in farmland. Trans. Chin. Soc. Agric. Mach. 2017, 48, 1–14. [Google Scholar]
- Liang, R.Q.; Zhang, B.C.; Zhou, P.F.; Li, Y.P.; Meng, H.W.; Kan, Z. Cotton length distribution characteristics in the shredded mixture of mechanically recovered residual films and impurities. Ind. Crops Prod. 2022, 182, 114917. [Google Scholar] [CrossRef]
- Wang, P.; Chen, X.G.; Wen, H.J. Research and experiment on the removal mechanism of light impurities of the residual mulch film recovery machine. Agriculture 2022, 12, 775. [Google Scholar] [CrossRef]
- Yang, S.M.; Chen, X.G.; Yan, L.M.; Jiang, D.L. Performance of three different spades for residual plastic film recycling machine. Appl. Eng. Agric. 2020, 36, 187–195. [Google Scholar] [CrossRef]
- Kang, J.M.; Wang, S.G.; Yan, L.M.; Wang, N.N.; Di, M.L.; Du, J.W. Design and experiment of loosen shovel installed on plastic film collecting machine. Trans. Chin. Soc. Agric. Mach. 2016, 47, 143–148. [Google Scholar]
- Wang, F.; Dai, F.; Zhang, F.W.; Song, X.F.; Shi, R.J.; Zhao, W.Y.; Ma, H.J. Simulation analysis and test on the effect of picking up the residual film of typical film lifting parts. Agronomy 2023, 13, 488. [Google Scholar] [CrossRef]
- Zeng, Z.W.; Ma, X.; Cao, X.L.; Li, Z.H.; Wang, X.C. Critical review of applications of discrete element method in agricultural engineering. Trans. Chin. Soc. Agric. Mach. 2021, 52, 1–20. [Google Scholar]
- Yan, D.X.; Yu, J.Q.; Wang, Y.; Zhou, L.; Sun, K.; Tian, Y. A Review of the application of discrete element method in agricultural engineering: A case study of soybean. Processes 2022, 10, 1305. [Google Scholar] [CrossRef]
- Ghodki, B.M.; Patel, M.; Namdeo, R.; Carpenter, G. Calibration of discrete element model parameters: Soybeans. Comput. Part. Mech. 2018, 6, 3–10. [Google Scholar] [CrossRef]
- Estay, D.; Chacana, F.; Ibarra, J.; Pérez, L.; Lascano, S. Bond calibration method for Young’s modulus determination in the discrete element method framework. Granul. Matter 2017, 19, 60. [Google Scholar] [CrossRef]
- Rorato, R.; Arroyo, M.; Gens, A.; Ando, E.; Viggiani, G. Image-based calibration of rolling resistance in discrete element models of sand. Comput. Geotech. 2021, 131, 103929. [Google Scholar] [CrossRef]
- Coetzee, C.J.; Els, D.N.J.; Dymond, G.F. Discrete element parameter calibration and the modelling of dragline bucket filling. J. Terramechanics 2010, 47, 33–44. [Google Scholar] [CrossRef]
- Grima, A.P.; Wypych, P.W. Development and validation of calibration methods for discrete element modelling. Granul. Matter 2011, 13, 127–132. [Google Scholar] [CrossRef]
- Horabik, J.H.; Wiącek, J.; Parafiniuk, P.; Bańda, M.; Kobyłka, R.; Stasiak, M.; Molenda, M. Calibration of discrete-element-method model parameters of bulk wheat for storage. Biosyst. Eng. 2020, 200, 298–314. [Google Scholar] [CrossRef]
- Dai, L.; Sorkin, V.; Vastola, G.; Zhang, Y.W. Dynamics calibration of particle sandpile packing characteristics via discrete element method. Powder Technol. 2019, 347, 220–226. [Google Scholar] [CrossRef]
- Fang, M.; Yu, Z.H.; Zhang, W.J.; Cao, J.; Liu, W.H. Friction coefficient calibration of corn stalk particle mixtures using Plackett-Burman design and response surface methodology. Powder Technol. 2022, 396, 731–742. [Google Scholar] [CrossRef]
- Liao, Y.Y.; You, Y.; Wang, D.C.; Zhang, X.N.; Zhang, H.F.; Ma, W.P. Parameter calibration and experiment of discrete element model for mixed seeds of oat and arrow pea. Trans. Chin. Soc. Agric. Mach. 2022, 53, 14–22. [Google Scholar]
- Tian, X.L.; Cong, X.; Qi, J.T.; Guo, H.; Li, M.; Fan, X.H. Parameter calibration of discrete element model for corn straw-soil mixture in black soil areas. Trans. Chin. Soc. Agric. Mach. 2021, 52, 100–108, 242. [Google Scholar]
- Liang, R.Q.; Chen, X.G.; Zhang, B.C.; Wang, X.Z.; Kan, Z.; Meng, H.W. Calibration and test of the contact parameters for chopped cotton stems based on discrete element method. Int. J. Agric. Biol. Eng. 2022, 15, 1–8. [Google Scholar] [CrossRef]
- Zhang, B.C.; Chen, X.G.; Liang, R.Q.; Wang, X.Z.; Meng, H.W.; Kan, Z. Calibration and test of contact parameters between chopped cotton stalks using response surface methodology. Agriculture 2022, 12, 1851. [Google Scholar] [CrossRef]
- Li, J.L.; Lu, Y.T.; Peng, X.B.; Jiang, P.; Zhang, B.C.; Zhang, L.Y.; Meng, H.W.; Kan, Z.; Wang, X.Z. Discrete element method for simulation and calibration of cotton stalk contact parameters. BioResources 2023, 18, 400–416. [Google Scholar] [CrossRef]
- Fang, W.Q.; Wang, X.Z.; Han, D.L.; Chen, X.G. Review of material parameter calibration method. Agriculture 2022, 12, 706. [Google Scholar] [CrossRef]
- Sheng, Y.; Tian, H.Q.; Wang, D.; Li, F.; Li, D.P.; Xiao, Z.Q.; Zhang, H.Q. Study on establishment of discrete element model of maize root system and calibration of simulation parameters. J. Agric. Mech. Res. 2023, 45, 164–170. [Google Scholar]
- Feng, B.; Sun, W.; Shi, L.R.; Sun, B.G.; Zhang, T.; Wu, J.M. Determination of restitution coefficient of potato tubers collision in harvest and analysis of its influence factors. Trans. Chin. Soc. Agric. Eng. 2017, 33, 50–57. [Google Scholar]
- Xia, R.; Li, B.; Wang, X.W.; Li, T.J.; Yang, Z.J. Measurement and calibration of the discrete element parameters of wet bulk coal. Measurement 2019, 142, 84–95. [Google Scholar] [CrossRef]
- Song, S.L.; Tang, Z.H.; Zheng, X.; Liu, J.B.; Meng, X.J.; Liang, Y.C. Calibration of the discrete element parameters for the soil model of cotton field after plowing in Xinjiang of China. Trans. Chin. Soc. Agric. Eng. 2021, 37, 63–70. [Google Scholar]
- Liang, R.Q.; Chen, X.G.; Jiang, P.; Zhang, B.C.; Meng, H.W.; Peng, X.B.; Kan, Z. Calibration of the simulation parameters of the particulate materials in film mixed materials. Int. J. Agric. Biol. Eng. 2020, 13, 29–36. [Google Scholar] [CrossRef]
- Liao, Y.; Wang, Z.; Liao, Q.; Liang, F.; Liu, J. Calibration of discrete element parameters of fodder rape crop stem at flowering stage. In Proceedings of the 2020 ASABE Annual International Virtual Meeting, St. Joseph, MI, USA, 13–15 July 2020. [Google Scholar]
- Coetzee, C.J.; Els, D.N.J. Calibration of discrete element parameters and the modelling of silo discharge and bucket filling. Comput. Electron Agric. 2009, 65, 198–212. [Google Scholar] [CrossRef]
- Coetzee, C. Calibration of the discrete element method: Strategies for spherica land non-spherical particles. Powder Technol. 2020, 364, 851–878. [Google Scholar] [CrossRef]
- Coetzee, C.J. Review: Calibration of the discrete element method. Powder Technol. 2017, 310, 104–142. [Google Scholar] [CrossRef]
- Liu, Y.L.; Su, J.H.; Zhao, X.Q.; Chen, H.; Liu, C.; Liu, S.Q.; Wu, T.X. The study of vibrating screen efficiency based on discrete element method. J. Northeast. Norm. Univ. 2018, 50, 78–83. [Google Scholar]
- Tsuji, Y.; Tanaka, T.; Ishida, T. Lagrangian numerical simulation of plug flow of cohesionless particles in a horizontal pipe. Powder Technol. 1992, 71, 239–250. [Google Scholar] [CrossRef]
- Adilet, S.; Zhao, J.; Sayakhat, N.; Chen, J.; Nikolay, Z.; Bu, L.X.; Sugirbayeva, Z.; Hu, G.R.; Marat, M.; Wang, Z.W. Calibration strategy to determine the interaction properties of fertilizer particles using two laboratory tests and DEM. Agriculture 2021, 11, 592. [Google Scholar] [CrossRef]
- Zhang, H.M.; Yan, L.M.; Chen, X.G.; Jiang, D.L.; Yang, S.M. Simulation and test of film surface cleaning roller of residual film collector. Int. Agric. Eng. J. 2019, 28, 257–267. [Google Scholar]
- Zhang, B.C.; Liang, R.Q.; Li, J.L.; Li, Y.P.; Meng, H.W.; Kan, Z. Test and analysis on friction characteristics of major cotton stalk cultivars in Xinjiang. Agriculture 2022, 12, 906. [Google Scholar] [CrossRef]
- Zhang, B.C.; Chen, X.G.; Liang, R.Q.; Li, J.L.; Wang, X.Z.; Meng, H.W.; Kan, Z. Cotton stalk restitution coefficient determination tests based on the binocular high-speed camera technology. Int. J. Agric. Biol. Eng. 2022, 15, 181–189. [Google Scholar] [CrossRef]
- Shi, G.K.; Li, J.B.; Ding, L.P.; Zhang, Z.Y.; Ding, H.Z.; Li, N.; Kan, Z. Calibration and tests for the discrete element simulation parameters of fallen jujube fruit. Agriculture 2022, 12, 38. [Google Scholar] [CrossRef]
Disclaimer/Publisher’s Note: The statements, opinions and data contained in all publications are solely those of the individual author(s) and contributor(s) and not of MDPI and/or the editor(s). MDPI and/or the editor(s) disclaim responsibility for any injury to people or property resulting from any ideas, methods, instructions or products referred to in the content. |
© 2023 by the authors. Licensee MDPI, Basel, Switzerland. This article is an open access article distributed under the terms and conditions of the Creative Commons Attribution (CC BY) license (https://creativecommons.org/licenses/by/4.0/).