Next Article in Journal
From Traditional to Smart: Exploring the Effects of Smart Agriculture on Green Production Technology Diversity in Family Farms
Next Article in Special Issue
Design and Experiment of Row Cleaner with Staggered Disc Teeth for No-Till Planter
Previous Article in Journal
High-Efficiency Photovoltaic Equipment for Agriculture Power Supply
 
 
Font Type:
Arial Georgia Verdana
Font Size:
Aa Aa Aa
Line Spacing:
Column Width:
Background:
Article

Tribological Study of Chisel Knives in Sandy Soil †

by
Laurențiu Constantin Vlăduțoiu
1,
Georgiana Chişiu
2,*,
Andrei Tudor
2,
Nicolae-Valentin Vlăduț
1,
Lucian Fechete Tutunaru
3,
Eugen Marin
1 and
Iulia-Andrea Grigore
1
1
National Institute for Research, Development of Machines and Installations Designed for Agriculture and Food Industry, INMA Bucharest, 077190 Bucharest, Romania
2
Department of Machine Elements and Tribology, University Politehnica of Bucharest, Splaiul Independenței 313, 060042 Bucharest, Romania
3
Department of Automotive Engineering and Transports, Technical University of Cluj-Napoca, 400641 Cluj-Napoca, Romania
*
Author to whom correspondence should be addressed.
This paper is a part of the PhD Thesis of Laurențiu Constantin Vlăduțoiu, presented at University Politehnica of Bucharest (Ro).
Agriculture 2023, 13(6), 1235; https://doi.org/10.3390/agriculture13061235
Submission received: 15 May 2023 / Revised: 5 June 2023 / Accepted: 7 June 2023 / Published: 12 June 2023
(This article belongs to the Special Issue Advances in Modern Agricultural Machinery)

Abstract

This paper presents the interaction system within the mechanical soil processing process, consisting of two large elements, the metal of the tool and the soil. Due to the two main forces acting on the chisel knives—friction and impact with the sandy soil—the wear of these chisel knives was determined. To determine the wear, a stand was used which allowed testing chisel-type knives in laboratory conditions by changing their functional parameters: working depth, angle of the knives to work the soil, working speed, humidity and granulation of the test environment. The present paper presents an application of the Archard-type wear law to the contact between a chisel-type knife and sandy soil (wet and dry sand). The theoretical model regarding the Archard wear coefficient considered three forms of surface damage (shake down, ratcheting and micro-cutting). The sand was considered spherical and rigid and the surface of the knife was flat. The experimental model considered real steel knives with different surface hardness and operation under controlled conditions of sand granulation, humidity, attack angle, depth of penetration and speed of sliding. The theoretical and experimental results highlight the wear behavior of chisel knives (Archard coefficient) in wet and dry sand.

1. Introduction

The problem of globalization with the development of agriculture is more than necessary to solve. It is supposed that one will have good agricultural machines with high technology, but sometimes the performance depends on the good working of active elements by making them from materials with long-term lifespans which are resistant to wear. Sandy soils are good for some plants, but with a good percent of water content. This is mainly found in arid and semi-arid regions of the planet, but it is also found in humid areas.
The quality of these soils is mostly relatively easy to work with because it has aerated particles in the composites [1,2].
During soil works, the active elements of agricultural machines such as blades, chisels and discs are exposed to abrasive wear with the soil they come into contact with [3,4]. For this reason, the active elements need to be verified for wear resistance in different situations of working to estimate an average life expectancy of the wear resistance, to ensure the timely replacement of parts [5]. The harder particles a soil contains, the more abrasive it is [6]. Furthermore, the abrasivity of the soil could be increased if it consists of particles with high hardness. In most cases, this hardness is greater than that of the working tool [7].
This fact determines the premature wear of the tiller knives via suffering modification to the geometry of their cutting part. This causes the necessity for replacement and reconditioning works, which can be led to low productivity and an increase in the costs of agricultural works [8,9,10].
Wear appears when two forces, the friction force and the impact force, act on the surface of the chisel knives during the working process [11].
The mechanical tillage of the soil is a complicated working process due to the resistance to soil breakdown and the intense abrasive wear of chisel-type knives [12,13]. Premature tool wear leads to low productivity and high reconditioning and replacement costs [14].
The current concerns of researchers are directed towards finding and applying modern methods of abrasion wear protection [15] and prolonging the life of parts through reconditioning [16], determining the mechanical and wear characteristics of materials [11], characterization of new materials for hardening, etc.
The aim of this study is to make a theoretical and experimental analysis regarding the wear of chisel-type knives operating in sandy soils. Real knives made of steel with surfaces of different hardness and functioning in wet and dry sand are taken into consideration.

2. Theoretical Aspects

2.1. The Contact Area

If the contact pressure is greater than the “shakedown” limit of the blade material and there is relative movement, then the blade material will plastically deform and a mark will form on the surface [17].
For particles with a spherical body—Figure 1a, of radius R 1 and F n , the normal force taken up by a particle—the definition of Striebeck-type pressure, p s , can be as the ratio between force and diametrical area:
p s = F n π R 1 2
The maximum pressure in the contact center, p , is:
p = F n π a p 2 = p S R 1 2 a p 2 = p s a p a 2 = H s 2
where the radius of the plastic contact circle, a p ,   is:
a p = 2 F n π H s = R 1 2 p s H s
a p a = a p R 1   is the dimensionless radius of contact between the particle and the knife surface.
H s is the hardness of the knife surface.
For particles with cylindrical segments (“lying” particles):
p s = F n 2 R 1 L p
where L p is the length of the particle.
In this case, the maximum pressure in the contact center, p, is:
p = F n a p L p = p s 2 a p a = H s 2
where the radius of the plastic contact circle, a p , is:
a p = 2 F n H s L p = p s H s · 2 R 1 L p
In the case of plastic deformations, the material of the knife is perfectly plastic, and the abrasive particle is perfectly rigid [18]. The scratch resistance of abrasive particles (quartz) is significantly higher (7 on the Mohs scale) than the scratch resistance of steel (4–5 on the Mohs scale). The mechanical behavior of the knife material is assessed by the surface hardness H s after the material has been worn and the bulk hardness H b , which remains constant during wear [17,18]. Figure 1b shows the angle of attack of the abrasive particle in contact with the surface of the knife and the schematical Hertzian contact sphere on a flat plane. For the analysis of the knife wear process in the three states of deformation (“shakedown”, “plowing”, cutting”), the attack angles of the particles are defined [16].
For defining the attack angle of a particle with the surface of a chisel knife, there are three types of angles:
ψ e —the critical angle of attack, up to which the deformation is elastic;
ψ b —the minimum angle of attack at which furrowing (bordering) occurs;
ψ a —the minimum angle of attack at which microchipping occurs;
L c the dimensionless transition distance between two neighboring traces that makes the transition from plowing to micro cutting. Can be written as:
L c = L p 2 a
For steels, the solution given by Xie [17] can be applied:
Ψ e p a s = a c o s 1 3 π 4 p a s 2 3
where p a s = p τ c is dimensionless pressure and τ c is shear yield strength.
f is the adhesion component of the friction coefficient and depends on the state of lubrication (soil moisture).
H r = H b H s is the relative hardness of the knife material and indicates the roughening capacity.
The minimum angle of attack at which furrowing (bordering) occurs is:
Ψ b = 1 10 f · 18.6 H r 4 · 10 · π 180
for ψ b   ψ   ψ a
The dimensionless distance between two adjacent traces corresponding to the transition from ploughing to cutting is:
L c = ψ ψ b f · H r ψ a f · H r ψ b f · H r H r
Figure 2 illustrates the dependence of the critical distance between two adjacent traces on the angle of attack, for different ratios of volume and surface hardness of steel.
The ratio H s H b represents the ability of the hardening material in operation.
For metals [17,18], H s = 6 · τ s τ s   i s the shear strength of the material in the surface area; H b = 6 · τ b τ b is the shear strength of the bulk material.

2.2. The Archard Wear Coefficient

In the wear process, the basic equation is the Archard equation [19]:
V = k · F n · s H s
where V is the volume of material removed and/or displaced from the contact area, s is the total sliding length and k is the Archard dimensionless wear coefficient (wear intensity).
The Archard wear coefficient [19,20,21] can be determined analytically when the geometrical characteristics of the abrasive are known, in the case of abrasive-type wear, or the characteristics of the microgeometry of the surfaces, the state of lubrication and the mechanical properties of the material being worn are known, for other forms of wear. The complexity of the phenomena in the friction and wear process requires, in most cases, the experimental determination of the Archard wear coefficient.
With some assumptions regarding the idealization of the shapes of the abrasive particles fixed in the soil, the analytical determination of the deformation component of the friction coefficient and the Archard wear coefficient is proposed. Three forms of deformation of the knife material are defined: folding surface—elastic “shakedown”, edging—“ratcheting” and micro-cutting—“micro-cutting”. These shapes depend on the geometry of the particles and the mechanical characteristics of the knife material (elastic limit, shear strength and hardness).
Thus, for the three forms of deformation of the knife material (folding surface—elastic “shakedown”, edging—“ratcheting”, micro-cutting—“micro-cutting”), the coefficient of friction and the coefficient of wear were adapted according to the works [17,18,21,22,23,24].

2.2.1. Elastic “Shakedown”

The sliding friction coefficient between the hard particle fixed in the soil and the knife surface [25,26] has only the adhesion component f and is only dependent on the state of lubrication and hysteresis phenomena: k u e = 0 .

2.2.2. Micro-Cutting

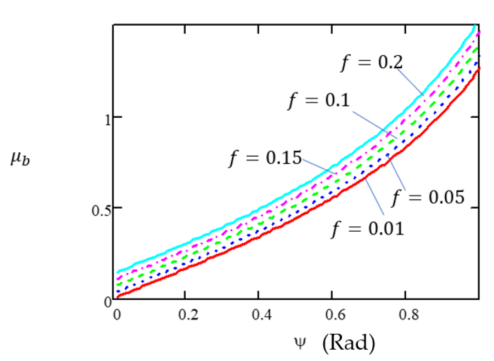
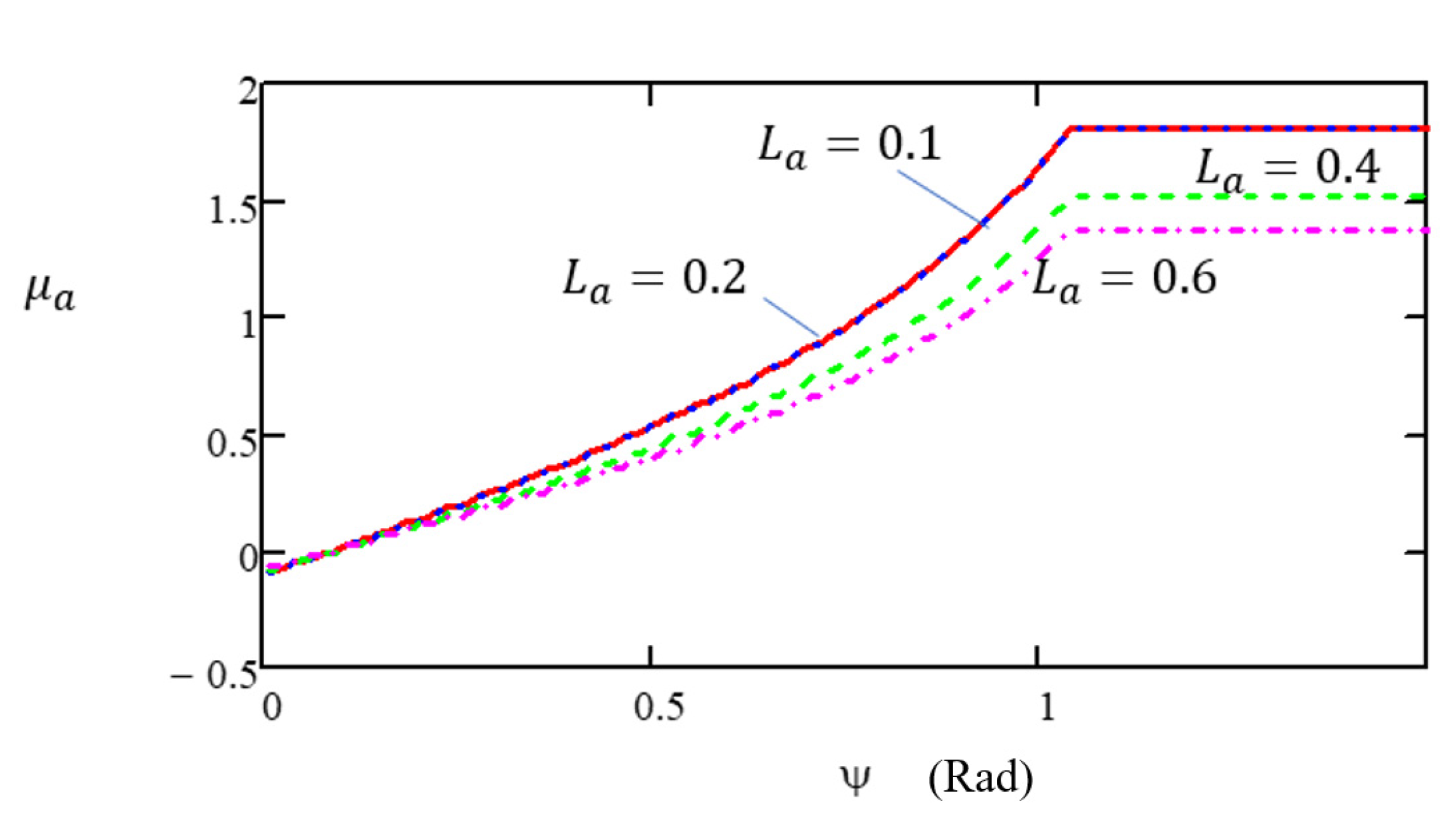
The coefficient of friction depends on the attack angle, the adhesion and the relative position of the adjacent tracks.
Thus,
µ 1 = 2 π 0.5 · tan ψ L a 0.25 · 1 f · 1 + π 4 t a n ψ 2 0.5 i f   ψ < π 3
µ 2 = 1.382 L a 0.25 · 1 1.23 f i f   ψ π 3
Or
µ 2 = µ 1 L a , f ,   ψ     i f   ψ < π 3 µ 2 L a , f     i f   ψ π 3
where µ 1   is   the   coefficient of friction for attack angle values under π 3 and µ 2 is the coefficient of friction for attack angle values over π 3 .
For steel, the critical distance between two adjacent traces is L a = 0.2 .
Thus, the global friction coefficient at microchips has the expression:
µ a = µ 3 L a , f ,   ψ     i f   L a   0.2 µ 3 L a , f , ψ   i f       L a > 0.2
where µ a is the global friction coefficient, which depends on the attack angle ψ and the adhesion component f .
µ 3 is coefficient of friction for values of two adjacent traces.
The variation in the microchip friction coefficient depending on the position of the particles in the soil (angle of attackș) for different relative distances between the traces is exemplified in Figure 3.
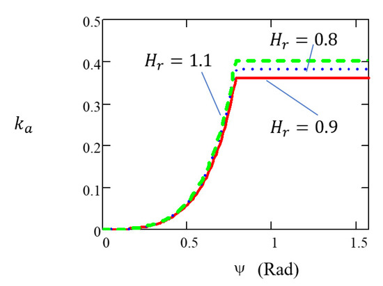
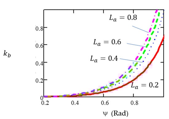
The wear coefficient (wear intensity) has the following expressions for different values of the attack angle ψ (Figure 4):
k 1 = 0.018 t a n ( ψ ) 3 f · L a 0.5 · ( H r ) 0.5 ψ π 4
k 1 = 0.018 1 f · L a 0.5 · ( H r ) 0.5 ψ > π 4
k 3 = k 1 0.2 , f , H r , ψ i f ψ < π 4 k 2 L a , f , H r , ψ   i f   ψ π 4
k a = k 3 0.2 , f , H r , ψ   i f   L a 0.2 k 3 L a , f , H r , ψ   i f   L a   > 0.2
The critical angle of attack, at which furrow wear separates from microchip wear and with the distance between traces L a = 0.2 , is:
ψ c r = ψ b + ψ a ψ b · 0.2 1 H r
ψ c r is noted with a critical angle of attack and it can be obtained by mixing the minimum angle of attack at which furrowing (bordering) occurs ( ψ b ) with the minimum angle of attack at which microchipping occurs ( ( ψ a ) ).

2.2.3. Wear by Plowing (Edging, Ratchetting)

In this case, the material is arranged on the edges without detaching the chips. If the hard particle repeatedly penetrates the soft material in the same direction, the plastic deformation for each cycle is accumulated. In this way, the wear particles are very fine, and it is a ductile breaking mechanism [17,27].
The coefficient of friction has the expression:
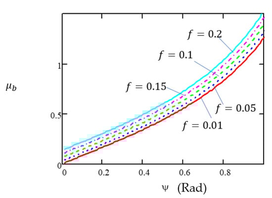
µ b = 2 π 0.5 · tan ( ψ ) · 1 + f · 1 + π 4 t a n ψ 2 0.5
where µ b is the coefficient of friction in the case of wear by plowing (edging, ratchetting).
The evolution of the global friction coefficient in the plowing wear process is highlighted in Figure 5 as a function of attack angle and different values of the frictional adhesion component.
In this case, the Archard wear coefficient–approximate empirical relationship can be written as:
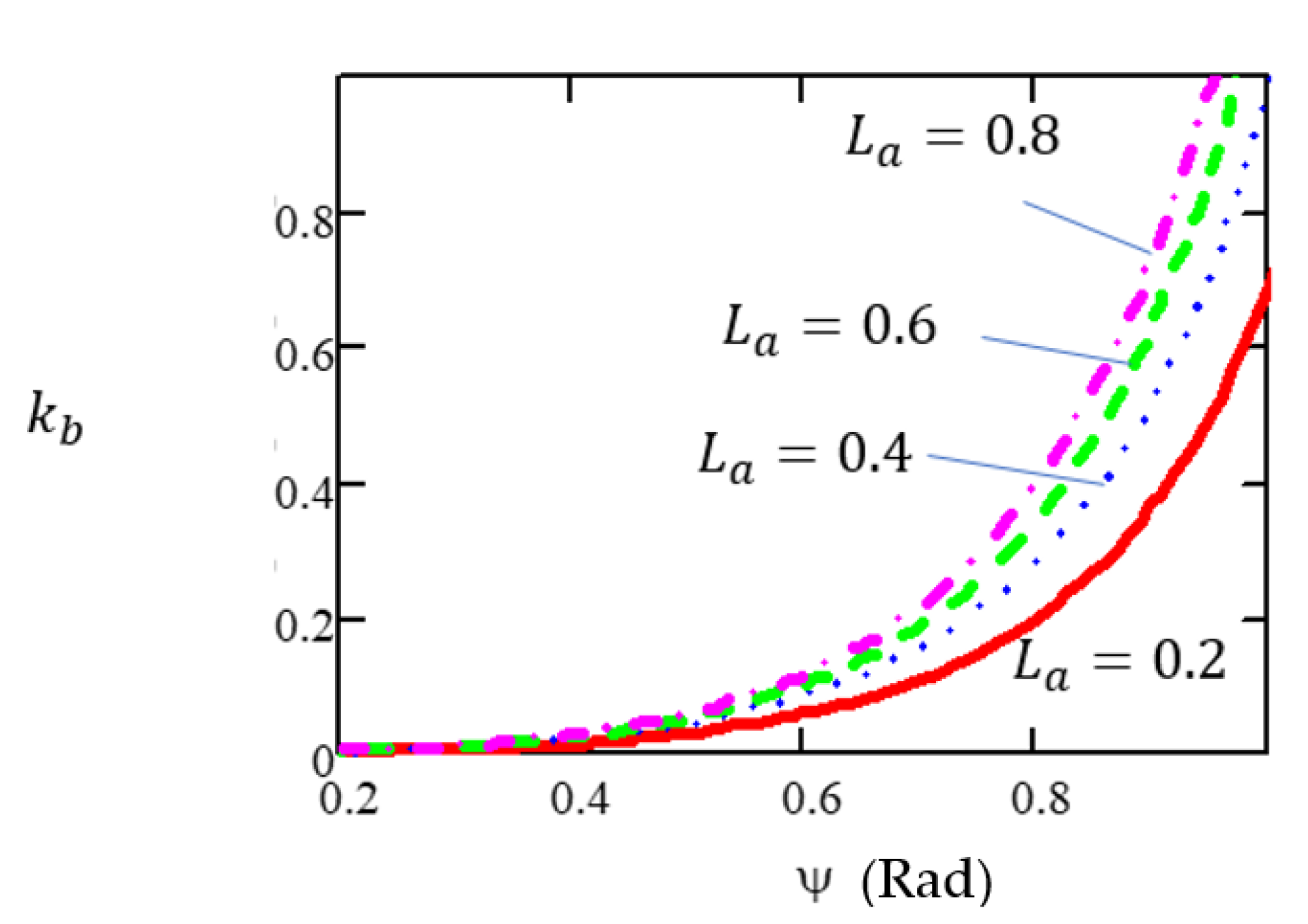
k b = 0.225 · 6 · f tan ( ψ ) 3 L a 0.5 ε f
where ε f is the adhesion between soft and hard asperities, which come into contact between soil particles and the surface of the knife.
The variation in the Archard wear coefficient with attack angle by plowing is shown in Figure 6.
.

3. Materials and Methods

3.1. Test Materials

In this research, two materials were analyzed and compared with a control of C45 steel. These were made of C45 steel heated by hardening and steel grade E295 (Figure 7).
The geometrical form of samples tested was maintained with the same chisel knives from the real equipment, but in the smaller dimensions and with a similar angle of attack of 27°. The samples were cut to a length of 157.5 mm and a width of 30 mm with a thickness of 8 mm.
The processing of sandy soils (high quartz content) led to the wear of the knives predominantly through abrasion and superficial fatigue due to the interaction between the abrasive particles and the surface of the knife. The sand used for the tests was sand from the sorting of a soil in the south of Oltenia, close to the Danube, also called “Oltenia Sahara” with a continental, slightly Mediterranean climate; in the past, this was an intensively exploited agricultural area. Additionally, it can be added that sandy soil can induce the greatest linear wear on the furrow of agricultural machines compared with other types of soil, as found in the detailed studies of Braharu D [28,29,30].
Accordingly, the physical composition of soils and the rheological modeling of soils are extremely complex.
Because of the very high abrasive conditions of agricultural soils, they can amplify the wear of the chisel-type knives; therefore, the experimental tests in this work were conducted in working environments close to those to observe up close the interactions that are created between the knife and the soil [31]. For this reason, we chose a sandy soil with a composition of fine quartz with diameters of particles of around 0.3 mm. The tests were carried out in two laboratory conditions: in sand moistened with water and in dry sand.
Soil can be soft or hard because of the water content. In view of this, the specific humidity of the wet sand was determined using the ratio:
W = q a q s u 100 %
where W is the relative humidity; q a   is   the   water content; and q s u   is   the   unit of dry matter.

3.2. Test Equipment

Figure 8 shows an experimental equipment used for testing chisel-type knives [31,32]. The equipment can record all the parameters in the work process, such as the depth, speed and angle of the knives, even when it changes.
The technical details of this experimental stand have been described in detail in the previous study of the author, Vlăduțoiu et al., 2020 [31,33,34]. The power of the electric motor was 7.5 kW at a rotation speed of 1460 rpm. Gauge dimensions: the outer diameter of the pool—2000 mm and pool height—1000 mm.
This equipment permits testing the samples of knives at a maximum depth of 300 mm. The circular trajectory traveled by the sample knives was 1600 mm.
The mounting of the knives on the support of the experimental stand was performed one by one after each test; this can be seen in Figure 9. During the testing, the knives worked in the sand at a depth of 220 mm and at an angle of attack of 27° (Figure 10). In this way, we were able to quantify the wear.
For each test, care was taken to keep the same working conditions, the same depth and the same speed of work, with the duration of the working test being one hour.

3.3. Wear Experiments

Weighing of the samples began before the experimental tests were conducted and then continued to measure the weight after one hour. The process was repeated 8 times for each sample knife, so that we could quantify material losses through abrasive wear.
In Figure 11 it is the sensor Theta Probe type ML2x with which the humidity of the soil sand was measured. He is a very important parameter in wear tests. The precise estimation of volumetric soil moisture was ±1%. For storing information from the sensor, we used an apparatus Data logger HH2.
To determine the weight of the samples tested in this work, a precision scale was used. To determine global wear, the gravimetric method was used. This method incorporates a difference of the initial mass of the sample and the mass obtained after wear test.

4. Results

Table 1, Table 2, Table 3 and Table 4 show the effective wear for each hour of operation.
During experiments, which were 8 h per sample in working conditions such as dry sand, the results obtained were 1.05 g of wear for the E295 sample, the quenched C45 saw 1.26 g and the chisel-type knife from C45 suffered a wear of 2.43 g.
Figure 12 shows the variation in the weight of the samples with time, in dry sand, after 8 h of testing.
High values were noted at two samples of steel, treated and untreated, while the smallest values could be observed at the sample of E295 steel.
Figure 13 represents the experimental data for dry working conditions; the sample of C45 steel suffered the higher loosening of the weight compared with the other two types of steel. The E295 sample was the most resistant to wear in dry working conditions for a period of 8 h. However, in addition, the C45 sample heat-treated by quenching had a wear close to that of E295 steel.
The results obtained in Table 3 show that the sample of E295 had 9.54 g of wear after 8 h working in wet sand, and it was the best. The biggest loss was untreated C45 steel with 14.3 g of wear and with an appropriate value, followed by C45 heat-treated by quenching with 12.55 g of wear.
In Table 4 are the experimental data of wear over time in wet sand through 8 h of testing for three types of steel, treated (C45 heat-treated by quenching) and untreated (C45), in comparison with E295 steel.
The abrasion resistance of E295 steel was much better than that of the C45 heat-treated by quenching, but was still inferior to that of the untreated C45 steel (Figure 14).
The weight loss of the samples after wear exposure for 8 h is given in the lower corner of Figure 15. The experimental data in this figure are for wet working conditions.
It can be observed, even under these conditions, that the E295 steel sample had the lowest weight loss, while the other two test steels had higher weight losses with close values.
The sample of E295 steel had good tribological behavior in comparison with two samples of treated and untreated steel in any conditions of working. It suffered a weight loss of 9.54 g in wet sand and 1.05 g in dry sand.
For experimental data processing and to determine the experimental Archard coefficient of wear, it was necessary to appeal to the theoretical equations mentioned in the previous chapter.
In Archard’s Equation (11), the volume of material removed can be replaced by, V = m ρ :
m ρ = k · F n · s H s
where V is the volume of material removed; m is the mass of the chisel knives measured after the test, from the experimental data; ρ is the density of material of knives, ρ = 7800 · 10 9 K g m m 3 ; s is the total sliding length, s = 733,876   m m , at the speed of the working machine, of the knife holder at n = 146   r p m and the 1600   m m circular path traveled by the knife; F n is the normal load force (Table 5); and H s is the hardness of the material of the chisel knife (Table 6).
By determining the Archard wear coefficient from the experimental data using the values from Table 1 and Table 3, the following values from Table 7 can be obtained.
The experimental results from Figure 16 can provide valuable information about the variation in Archard wear coefficient of the three chisel-type knives in wet sand during the 8 h of operation; thus, it can be seen that the chisel-type knife from E295 suffered less wear during the entire period of operation, followed by the heat-treated C45 chisel knife, and the C45 chisel knife experienced the most wear.
Additionally, in dry conditions the results obtained were smaller than in wet conditions, and the values for the Archard wear coefficient were greater for the untreated steel, C45 chisel knife. Notably, the E295 steel had a smaller value for the Archard wear coefficient in dry conditions.

5. Discussion

The experimental results regarding the wear of the knives with time (implicitly, the friction length between the knife and the sand particles) confirmed the linear dependence, with different slopes (angles) for the three steels with different harnesses operating in dry sand and wet sand.
Thus, the C45 steel with the lowest hardness had the highest slope (global wear coefficient 1.735 mm/h for wet sand and 0.315 mm/h for dry sand).
The chisel knife in E295 had the minimum wear rate for both wet sand and dry sand. All experimental results regarding the variation in knife wear over time were approximated using linear regressions with a statistical confidence coefficient (R2) greater than 0.98. The slopes of the lines indicated the rate of wear.
The effect of sand humidity on the wear coefficient was essential. This effect can be explained by the fixing (“locking”) of the particles between them because of the adhesion generated by the water (internal sand friction, natural slope angle) and the predominant existence of the sliding movement between the particle and the knife. In the case of dry sand, the particles predominantly rolled and with forced sliding.
The analysis of the theoretical wear coefficient of the Archard type, for the simple case-rigid spherical particles–steel contact, allowed highlighting the dependence on the surface hardness, on the friction coefficient (predominantly sliding in wet sand and rolling with sliding in dry sand) and the state of deformation (the contact angle between the particle and the knife).
The Archard wear coefficient of the knife can be explained theoretically by considering the state of stress and deformation in the contact area between the work material (soil in the present case) and the knife.
To highlight the parameters with significant influence on the wear coefficient, the case of sandy soil was accepted. Sand particles were considered perfectly spherical and rigid and were fixed in the soil matrix.
The material of the knife was elastic with ecruisation. The friction between the abrasive particle and the knife was assessed with two components, the adhesion component and the deformation component. The weight of one or another of the components depended on the state of deformation (shakedown, ratcheting or micro-cutting).
Furthermore, some of the important parameters were established, especially the critical distance between two adjacent traces on the attack angle of the particle with the surface of the chisel knife, which linked up the topography of the harder surface to the material properties of the softer one. For higher values of the attack angle of the particle, the values for the distance between two adjacent traces increased, and the transition from plowing to cutting was closer.

6. Conclusions

The abrasive wear mechanism between soil and chisel-type knives from mechanical tillage was analyzed based on experiments and theoretical approaches.
Tribological parameters of the knives for three types of steels with different hardness were determined.
The abrasive behavior of these materials was studied in two different working environments: in dry and wet conditions. Evaluating the energies of the penetration process in dry sand and wet sand for different points allowed us to highlight the increase in force in the presence of water adsorbed by the sand.
The theoretical model of abrasion wear of the knife was modeled when hard particles (considered rigid) were fixed in the matrix and acted as “micro-knives”.
From the experimental results and from the analytical modeling, it appeared that the wear of a chisel knife, when processing sandy soils, is of the Archard type.
The forms of damage through wear of the knife were shakedown (“elastic” fatigue), ratcheting and micro-cutting.
The rate of wear of the knife, evaluated by the slope of the wear-time curves, was significantly higher for wet sand than for dry sand.
The hardness of the knife surface was the essential material characteristic for the durability of the knife.
For the working conditions, in the process of soil sliding with abrasive particles on the knife surface, the Kapoor sliding plasticity index—“shakedown pressure”—was proposed.
The dimensionless Archard wear coefficient was determined for spherical abrasive particles with random variable radii, variables characterized by mean and root mean square deviation. The existence of a minimum of the wear coefficient with the mean square deviation of the particle radius was highlighted.
The durability of the furrow knives was very important in the correct and long-lasting operation of the machines, and thus the appropriate maintenance intervals can be established.
The theoretical and experimental modeling of the wear process of chisel knives operating in sandy environments can be extended for different soils considering the components of friction through oxidation and elastic fatigue. The generalization is performed with caution, through the detailed analysis of the contact pressure and the relative speed between the knife and the soil.

Author Contributions

Conceptualization, L.C.V. and G.C.; methodology, L.C.V., G.C. and A.T.; software, L.F.T. and E.M.; validation, N.-V.V., G.C. and L.C.V.; formal analysis, I.-A.G.; investigation, L.F.T.; resources, N.-V.V. and L.F.T.; data curation, G.C.; writing—original draft preparation, L.C.V. and G.C.; writing—review and editing, G.C.; visualization, L.C.V.; supervision, N.-V.V. and A.T.; project administration, L.C.V.; funding acquisition, G.C. All authors have read and agreed to the published version of the manuscript.

Funding

This work was funded by the Romanian Ministry of Education and Politehnica University of Bucharest through the PubArt program.

Institutional Review Board Statement

Not applicable.

Data Availability Statement

Not applicable.

Conflicts of Interest

The authors declare no conflict of interest.

References

  1. Samuel, A.; Dines, L. 3—Soil health and management. In Lockhart and Wiseman’ s Crop Husbandry Including Grassland, 10th ed; Woodhead Publishing Series in Food Science, Technology and Nutrition; Woodhead Publishing: Cambridge, UK, 2023; pp. 49–79. ISBN 9780323857024. [Google Scholar]
  2. Keller, L.; Idowu, O.J.; Ulery, A.; Omer, M.; Brewer, C.E. Short-Term Biochar Impacts on Crop Performance and Soil Quality in Arid Sandy Loam Soil. Agriculture 2023, 13, 782. [Google Scholar] [CrossRef]
  3. Guo, Z.; Qiu, Y.; Yan, X.; Wang, J.; Zhang, Y.; Zhang, P.; Zhang, F. Self-Excited-Resonance of Soil-Engaging Surface Spectrum: A New Method of Soil Cutting Resistance Reduction. Agriculture 2023, 13, 1154. [Google Scholar] [CrossRef]
  4. Aramide, B.; Pityana, S.; Sadiku, R.; Jamiru, T.; Popoola, P. Improving the durability of tillage tools through surface modification—A review. Int. J. Adv. Manuf. Technol. 2021, 116, 83–98. [Google Scholar] [CrossRef]
  5. Chenarbon, H.A.; Minaei, S.; Arabhosseini, A. Replacement age of agricultural tractor (MF285) in Varamin region (case study). J. Am. Sci. 2011, 7, 674–679. [Google Scholar]
  6. Dexter, A.R. Soil Mechanical Notes, Course in Agricultural Soil Mechanics; Swedish University of Soil Sciences: Uppsala, Sweden, 2002. [Google Scholar]
  7. Rostami, J.; Ehsan, A.G.; Palomino, A.M.; Mosleh, M. Development of soil abrasivity testing for soft ground tunneling using shield machines. Tunn. Undergr. Space Technol. 2012, 28, 245–256. [Google Scholar] [CrossRef]
  8. Canarach, A. Fizica Solurilor Agricole; Editura Ceres: Bucureşti, Romania, 1990. (In Romanian) [Google Scholar]
  9. Jafari, R.; Tavakoli, H.T.; Minanee, S.; Raoufat, M.H. Large deformation modeling in soil-tillage tool interaction using advanced 3D nonlinear finite element approach. In Proceedings of the 6th WSEAS International Conference on Simulation, Modelling and Optimization, Lisbon, Portugal, 22–24 September 2006. [Google Scholar]
  10. Ucgul, M.; Fielke, J.M.; Saunders, C. Defining the effect of sweep tillage tool cutting edge geometry on tillage forces using 3D discrete element modelling. Inf. Process. Agric. 2015, 2, 130–141. [Google Scholar] [CrossRef]
  11. Matache, M.; Ganga, M.; Mihai, M.; Postelnicu, E.; Bajenaru, S. Researchs regarding determination of mechanical and wear characteristics for fricţion materials. INMATEH-Agric. Eng. 2008, 28, 120–123. [Google Scholar]
  12. Moitzi, G.; Neugschwandtner, R.W.; Kaul, H.-P.; Wagentristl, H. Effect of tillage systems on energy input and energy efficiency for sugar beet and soybean under Pannonian climate conditions. Plant Soil Environ. 2021, 67, 137–146. [Google Scholar] [CrossRef]
  13. Kushawaha, R.L.; Chi, L.; Roy, C. Investigation of agricultural tools with plasma-sprayed coatings. Tribol. Int. 1990, 23, 297–300. [Google Scholar] [CrossRef]
  14. Gill, W.R.; Vandenberg, G.E. Soil Dynamics in Tillage and Traction, U.S.A; Handbook 316; Department of Agriculture: Washington, DC, USA, 1968. [Google Scholar]
  15. Iovanas, R.; Iovanas, D.M. Reconditionarea și Remanierea Produselor Sudate; Transilvania University Publishing House: Brașov, Romania, 2006; ISBN 973-635-416-2. [Google Scholar]
  16. Lacey, P.; Torrance, A.A. The calculation of wear coefficients for plastic contact, Elsevier Sequia-Nederlands. Wear 1991, 145, 367–383. [Google Scholar] [CrossRef]
  17. Xie, Y.; Wilfams, J.A. The prediction of friction and wear when a soft surface slides against a harder rough surface. Wear 1996, 196, 21–34. [Google Scholar] [CrossRef]
  18. Challen, J.M.; Oxley, P.L.B.; Doyle, E.D. The Effect of Strain Hardening on the critical angle for abrasive (Chip Formation), Elsevier Sequoias -Netherland. Wear 1983, 88, 1–12. [Google Scholar] [CrossRef]
  19. Archard, J.F. Contact and rubbing of flat surfaces. J. Appl. Phys. 1953, 24, 981–988. [Google Scholar] [CrossRef]
  20. Varenberg, M. Adjusting for running-in: Extension of the Archard wear equation. Tribol. Lett. 2022, 70, 59. [Google Scholar] [CrossRef]
  21. Kapoor, A.; Franklin, F.J.; Wong, S.K.; Ishida, M. Surface roughness and plastic flow in rail wheel contact. Wear 2002, 253, 257–264. [Google Scholar] [CrossRef]
  22. Williams, J.A.; Xie, Y. The generation of wear surfaces. J. Phys. D Appl. Phys. 1992, 25, A158–Al64. [Google Scholar] [CrossRef]
  23. Shmulevich, I.; Asaf, Z.; Rubinstein, D. Interaction between soil and a wide cutting blade using the discrete element method. Soil Tillage Res. 2007, 97, 37–50. [Google Scholar] [CrossRef]
  24. Wolffsohn, J.S.; Drew, T.; Dhallu, S.; Sheppard, A.; Hofmann, G.J.; Prince, M. Impact of soft contact lens edge design and midperipheral lens shape on the epithelium and its indentation with lens mobility. Investig. Ophthalmol. Vis. Sci. 2013, 54, 6190–6196. [Google Scholar] [CrossRef]
  25. Zmitrowicz, A. Wear Patterns and Laws of wear—A review. J. Theor. Appl. Mech. 2006, 44, 219–253. [Google Scholar]
  26. Wang, B.; Mengji, C.; Jinfeng, W.; Guanghua, L.; Kunyong, L. Bionic Optimization Design of Rotary Tiller Based on Fuzzy Algorithm. Mob. Inf. Syst. 2022, 2022, 1203973. [Google Scholar] [CrossRef]
  27. Kapoor, A.; Williams, J.A.; Johnson, K.L. The steady state sliding of rough surface. Wear 1994, 175, 81–92. [Google Scholar] [CrossRef]
  28. Zelenak, M.; Valicek, J.; Brumek, J.; Hlavacek, P.; Haluzikova, B.; Vylezik, M.; Kubena, V. Measurement and analysis of the hardness of aluminium surface layers by the nanoindentation and scratch tests. Chem. Listy 2011, 105, 680–683. [Google Scholar]
  29. Braharu, D.; Gângu, V.; Vlăduţ, V.; Postelnicu, E.; Băjenaru, S. Fundamental Research Regarding the Methods of Anti-Wear Deposit, Adaptable to Components for Agricultural Equipments; Annals of the University of Craiova—Agriculture, Montanology, Cadastre series: Craiova, Romania, 2007; Volume XXXVII, pp. 36–47. ISSN 1841-8317. [Google Scholar]
  30. Schroth, M.H.; Istok, J.D.; Ahearn, S.J.; Selker, J.S. Characterization of Miller-Similar Silica Sands for Laboratory Hydrologic Studies. Soil Sci. Soc. Am. J. 1996, 60, 1331–1339. [Google Scholar] [CrossRef]
  31. Vladutoiu, L.C.; Fechete, T.L.; Grigore, I.A.; Sorica, E.; Petre, A.; Cristea, O.D. Experimental research on determination of wear of working part of chisel type made of three types of materials. INMATEH-Agric. Eng. 2020, 62, 269–276. [Google Scholar] [CrossRef]
  32. Grigore, I.A.; Petrea, A.A. Experimental research on determining the wear of chisel knife made of three types of materials. INMATEH-Agric. Eng. 2020, 62, 3. [Google Scholar]
  33. Vladutoiu, L.; Persu, C.; Grigore, A.I.; Sorică, E.; Petre, A.A.; Cristea, M.; Cristea, O.D.; Grigore, I. Experimental research on determination of deformations in the cutting process in wet sandy soils. Ann. Univ. Craiova-Agric. Mont. Cadastre Ser. 2020, 50, 603–608. [Google Scholar]
  34. Vladutoiu, L.; Tudor, A.; Fechete, L.; Marin, E.; Vladut, V.; Matache, M.; Dumitru, I. Determining the wear of active organs for processing soil depending on the working depth. Ann. Univ. Craiova-Agric. Mont. Cadastre Ser. 2015, 45, 253–258. [Google Scholar]
Figure 1. The contact of a sphere against a surface of chisel knife. (a) Hertzian contact sphere on flat plane, when there is an elastic sphere and the flat surface is a rigid plan of a chisel knife. a is contact area radius, R 1 is the radius of a sphere particle and δ is the penetration depth; (b) attack angle of the particle with the surface of a chisel knife, ψ v – speed of chisel knife.
Figure 1. The contact of a sphere against a surface of chisel knife. (a) Hertzian contact sphere on flat plane, when there is an elastic sphere and the flat surface is a rigid plan of a chisel knife. a is contact area radius, R 1 is the radius of a sphere particle and δ is the penetration depth; (b) attack angle of the particle with the surface of a chisel knife, ψ v – speed of chisel knife.
Agriculture 13 01235 g001
Figure 2. The critical distance between two adjacent tracks of the hard particle as a function of the angle of attack.
Figure 2. The critical distance between two adjacent tracks of the hard particle as a function of the angle of attack.
Agriculture 13 01235 g002
Figure 3. Global abrasive coefficient of friction in microchip wear of the knife by the particle.
Figure 3. Global abrasive coefficient of friction in microchip wear of the knife by the particle.
Agriculture 13 01235 g003
Figure 4. The coefficient of wear by microchipping, depending on the angle of attack.
Figure 4. The coefficient of wear by microchipping, depending on the angle of attack.
Agriculture 13 01235 g004
Figure 5. The global coefficient of plowing friction, depending on the attack angle.
Figure 5. The global coefficient of plowing friction, depending on the attack angle.
Agriculture 13 01235 g005
Figure 6. Coefficient of wear by plowing, depending on the attack angle ψ .
Figure 6. Coefficient of wear by plowing, depending on the attack angle ψ .
Agriculture 13 01235 g006
Figure 7. Three types of steel materials were tested: (a)—untreated, (b)—heat-treated C45 and (c)—E295.
Figure 7. Three types of steel materials were tested: (a)—untreated, (b)—heat-treated C45 and (c)—E295.
Agriculture 13 01235 g007
Figure 8. Experimental stand for testing chisel-type knives. Close-up view of the chisel knife on the experimental stand.
Figure 8. Experimental stand for testing chisel-type knives. Close-up view of the chisel knife on the experimental stand.
Agriculture 13 01235 g008
Figure 9. Chisel-type knife mounted on the experimental stand [31].
Figure 9. Chisel-type knife mounted on the experimental stand [31].
Agriculture 13 01235 g009
Figure 10. Attack angle of the chisel knife with the soil sand.
Figure 10. Attack angle of the chisel knife with the soil sand.
Agriculture 13 01235 g010
Figure 11. Theta Probe soil moisture sensor.
Figure 11. Theta Probe soil moisture sensor.
Agriculture 13 01235 g011
Figure 12. Variation in the weight with time for 3 types of steel in dry sand.
Figure 12. Variation in the weight with time for 3 types of steel in dry sand.
Agriculture 13 01235 g012
Figure 13. Evolution of the wear in time for 3 types of steel in dry sand.
Figure 13. Evolution of the wear in time for 3 types of steel in dry sand.
Agriculture 13 01235 g013
Figure 14. Variation in the weight with time for 3 types of steel in wet sand.
Figure 14. Variation in the weight with time for 3 types of steel in wet sand.
Agriculture 13 01235 g014
Figure 15. Evolution of wear in time for 3 types of steel in wet sand.
Figure 15. Evolution of wear in time for 3 types of steel in wet sand.
Agriculture 13 01235 g015
Figure 16. Experimental determination of the Archard wear coefficient, k, for different loads (Fn) at different working depths (W.Ds).
Figure 16. Experimental determination of the Archard wear coefficient, k, for different loads (Fn) at different working depths (W.Ds).
Agriculture 13 01235 g016
Table 1. Evolution of the weight loss of three types of steel in dry sand.
Table 1. Evolution of the weight loss of three types of steel in dry sand.
Knife TypeWeight of the Chisel Knife, after Weighing at a Test Time Interval on the Experimental Stand (g)
BeforeAfter 1 hAfter 2 hAfter 3 hAfter 4 hAfter 5 hAfter 6 hAfter 7 hAfter 8 hTotal Wear
C45259.19258.91258.66258.23257.91257.68257.25256.96256.762.43
C45 heat-treated by quenching259.66259.49259.25259.03258.89258.79258.64258.51258.41.26
E295240.33240.11239.95239.81239.71239.57239.46239.37239.281.05
Table 2. Mass differences (effective wear) after each hour of testing in dry sand.
Table 2. Mass differences (effective wear) after each hour of testing in dry sand.
Knife TypeWear over Time in Dry Sand (g):
After 1 hAfter 2 hAfter 3 hAfter 4 hAfter 5 hAfter 6 hAfter 7 hAfter 8 h
C450.280.530.961.281.511.942.232.43
C45 heat-treated by quenching0.170.410.630.770.871.021.151.26
E2950.220.380.520.620.760.870.961.05
Table 3. Evolution of the weight loss of three types of steel in wet sand.
Table 3. Evolution of the weight loss of three types of steel in wet sand.
Knife TypeThe Weight of the Chisel-Type Knife, after Weighing at a Test Time Interval on the Experimental Stand (g)
BeforeAfter 1 hAfter 2 hAfter 3 hAfter 4 hAfter 5 hAfter 6 hAfter 7 hAfter 8 hTotal Wear
C45256.76254.91252.92251.19249.58247.8246.25244.51242.4614.3
C45 heat-treated by quenching258.4256.67254.99253.38251.86250.37248.71247.14245.8512.55
E295239.28238.14236.74235.72234.54233.24232.15230.85229.749.54
Table 4. Mass differences (effective wear) after each hour of testing in wet sand.
Table 4. Mass differences (effective wear) after each hour of testing in wet sand.
Knife TypeWear over Time in Wet Sand (g)
After 1 hAfter 2 hAfter 3 hAfter 4 hAfter 5 hAfter 6 hAfter 7 hAfter 8 h
C451.853.845.577.188.9610.5112.2514.3
C45 heat-treated by quenching1.733.415.026.548.039.6411.2112.55
E2951.142.543.564.746.047.138.439.54
Table 5. Normal load force.
Table 5. Normal load force.
Depth, mm
123456
50100150200250300
Resistance force to soil penetration [N]2040.870.4100119.4139.8
F n [N]326194252456747
Table 6. Hardness for three types of knives.
Table 6. Hardness for three types of knives.
Knife TypeHardness, HRC
C4525
C45 heat-treated by quenching40
E29550
Table 7. Results of the experimental Archard coefficient.
Table 7. Results of the experimental Archard coefficient.
C45C45 Heat-Treated by QuenchingE295
The Experimental Archard CoefficientDry SandWet SandDry SandWet SandDry SandWet Sand
k12.2732 × 10−50.000133771.47334 × 10−50.000146746.13891 × 10−60.0002980
k23.7238 × 10−50.000219132.41356 × 10−50.000240391.00565 × 10−50.0003489
k36.7383 × 10−50.000396534.3674 × 10−50.000435001.81975 × 10−50.0004166
k40.000180640.001063040.000117080.001166184.87848 × 10−50.0005918
k50.000278370.001638130.000180420.001797077.51765 × 10−50.0010212
k60.000530640.003122680.000343930.003425670.0001433050.0020832
Disclaimer/Publisher’s Note: The statements, opinions and data contained in all publications are solely those of the individual author(s) and contributor(s) and not of MDPI and/or the editor(s). MDPI and/or the editor(s) disclaim responsibility for any injury to people or property resulting from any ideas, methods, instructions or products referred to in the content.

Share and Cite

MDPI and ACS Style

Vlăduțoiu, L.C.; Chişiu, G.; Tudor, A.; Vlăduț, N.-V.; Fechete Tutunaru, L.; Marin, E.; Grigore, I.-A. Tribological Study of Chisel Knives in Sandy Soil. Agriculture 2023, 13, 1235. https://doi.org/10.3390/agriculture13061235

AMA Style

Vlăduțoiu LC, Chişiu G, Tudor A, Vlăduț N-V, Fechete Tutunaru L, Marin E, Grigore I-A. Tribological Study of Chisel Knives in Sandy Soil. Agriculture. 2023; 13(6):1235. https://doi.org/10.3390/agriculture13061235

Chicago/Turabian Style

Vlăduțoiu, Laurențiu Constantin, Georgiana Chişiu, Andrei Tudor, Nicolae-Valentin Vlăduț, Lucian Fechete Tutunaru, Eugen Marin, and Iulia-Andrea Grigore. 2023. "Tribological Study of Chisel Knives in Sandy Soil" Agriculture 13, no. 6: 1235. https://doi.org/10.3390/agriculture13061235

APA Style

Vlăduțoiu, L. C., Chişiu, G., Tudor, A., Vlăduț, N.-V., Fechete Tutunaru, L., Marin, E., & Grigore, I.-A. (2023). Tribological Study of Chisel Knives in Sandy Soil. Agriculture, 13(6), 1235. https://doi.org/10.3390/agriculture13061235

Note that from the first issue of 2016, this journal uses article numbers instead of page numbers. See further details here.

Article Metrics

Back to TopTop