Drought Impact on the Morpho-Physiological Parameters of Perennial Rhizomatous Grasses in the Mediterranean Environment
Abstract
1. Introduction
2. Materials and Methods
2.1. Plant Material
2.2. Experimental Design and Water Conditions
2.3. Physiological Measurements
2.3.1. Leaf Gas Exchange Parameters
2.3.2. Chlorophyll Fluorescence Analysis
2.3.3. Relative Water Content and Leaf Greenness
2.4. Growth and Biomass Production
2.5. Statistical Analysis
3. Results
3.1. Meteorological Conditions
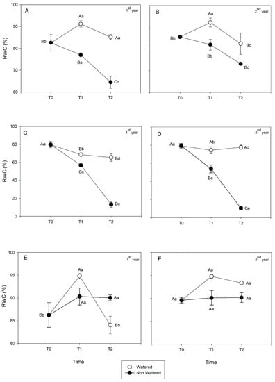
3.2. Physiological Measurements
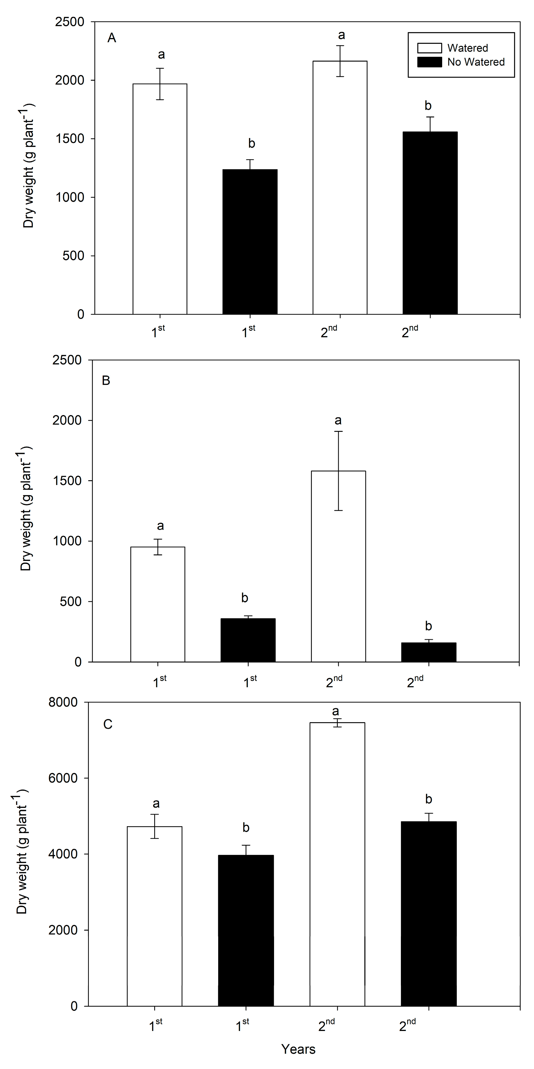
3.3. Agronomic Measurements
4. Discussion
5. Conclusions
Supplementary Materials
Author Contributions
Funding
Institutional Review Board Statement
Data Availability Statement
Acknowledgments
Conflicts of Interest
References
- Taylor, G.; Donnison, I.S.; Murphy-Bokern, D.; Morgante, M.; Bogeat-Triboulot, M.B.; Bhalerao, R.; Hertzberg, M.; Polle, A.; Harfouche, A.; Alasia, F.; et al. Sustainable Bioenergy for Climate Mitigation: Developing Drought-Tolerant Trees and Grasses. Ann. Bot. 2019, 124, 513–520. [Google Scholar] [CrossRef] [PubMed]
- Oliver, R.J.; Finch, J.W.; Taylor, G. Second Generation Bioenergy Crops and Climate Change: A Review of the Effects of Elevated Atmospheric CO2 and Drought on Water Use and the Implications for Yield. GCB Bioenergy 2009, 1, 97–114. [Google Scholar] [CrossRef]
- International Energy Agency Renewables 2018. Available online: https://www.iea.org/reports/renewables-2018 (accessed on 20 January 2023).
- Clifton-Brown, J.; Hastings, A.; von Cossel, M.; Murphy-Bokern, D.; McCalmont, J.; Whittaker, J.; Alexopoulou, E.; Amaducci, S.; Andronic, L.; Ashman, C.; et al. Perennial Biomass Cropping and Use: Shaping the Policy Ecosystem in European Countries. GCB Bioenergy 2023, 15, 538–558. [Google Scholar] [CrossRef]
- Blair, M.J.; Gagnon, B.; Klain, A.; Kulišić, B.K. Contribution of Biomass Supply Chains for Bioenergy to Sustainable Development Goals. Land 2021, 10, 181. [Google Scholar] [CrossRef]
- Hu, S.; Wu, L.; Persson, S.; Peng, L.; Feng, S. Sweet Sorghum and Miscanthus: Two Potential Dedicated Bioenergy Crops in China. J. Integr. Agric. 2017, 16, 1236–1243. [Google Scholar] [CrossRef]
- Lewandowski, I.; Scurlock, J.M.O.; Lindvall, E.; Christou, M. The Development and Current Status of Perennial Rhizomatous Grasses as Energy Crops in the US and Europe. Biomass Bioenergy 2003, 25, 335–361. [Google Scholar] [CrossRef]
- Scordia, D.; Testa, G.; Cosentino, S.L. Perennial Grasses as Lignocellulosic Feedstock for Second-Generation Bioethanol Production in Mediterranean Environment. Ital. J. Agron. 2014, 9, 84–92. [Google Scholar] [CrossRef]
- Hashemi, M.; Sadeghpour, A. Establishment and Production of Switchgrass Grown for Combustion: A Review. Int. J. Plant Biol. Res. 2013, 1, 1002. [Google Scholar]
- Greef, J.M.; Deuter, M. Miscanthus Gigantheus, J.M. Greef & Deuter. Angew. Bot. 1993, 67, 87–90. [Google Scholar]
- Faralli, M.; Williams, K.; Corke, F.; Li, M.; Doonan, J.H.; Varotto, C. Interspecific and Intraspecific Phenotypic Diversity for Drought Adaptation in Bioenergy Arundo Species. GCB Bioenergy 2021, 13, 753–769. [Google Scholar] [CrossRef]
- Rossa, B.; Tuffers, A.V.; Naidoo, G.; von Willert, D.J. Arundo donax L. (Poaceae)—A C-3 Species with Unusually High Photosynthetic Capacity. Bot. Acta 1998, 111, 216–221. [Google Scholar] [CrossRef]
- Sánchez, E.; Rivera-Vargas, P.; Serrat, X.; Nogués, S. Arundo donax L.: How High Photosynthetic Capacity Is Maintained under Water Scarcity Conditions. Agronomy 2021, 11, 1089. [Google Scholar] [CrossRef]
- Ceotto, E.; di Candilo, M.; Castelli, F.; Badeck, F.-W.; Rizza, F.; Soave, C.; Volta, A.; Villani, G.; Marletto, V. Comparing Solar Radiation Interception and Use Efficiency for the Energy Crops Giant Reed (Arundo donax L.) and Sweet Sorghum (Sorghum bicolor L. Moench). Field Crops Res. 2013, 149, 159–166. [Google Scholar] [CrossRef]
- Taylor, G. Biofuels and the Biorefinery Concept. Energy Policy 2008, 36, 4406–4409. [Google Scholar] [CrossRef]
- Pulighe, G.; Bonati, G.; Colangeli, M.; Morese, M.M.; Traverso, L.; Lupia, F.; Khawaja, C.; Janssen, R.; Fava, F. Ongoing and Emerging Issues for Sustainable Bioenergy Production on Marginal Lands in the Mediterranean Regions. Renew. Sustain. Energy Rev. 2019, 103, 58–70. [Google Scholar] [CrossRef]
- Angelini, L.G.; Ceccarini, L.; Nassi o Di Nasso, N.; Bonari, E. Comparison of Arundo donax L. and Miscanthus × Giganteus in a Long-Term Field Experiment in Central Italy: Analysis of Productive Characteristics and Energy Balance. Biomass Bioenergy 2009, 33, 635–643. [Google Scholar] [CrossRef]
- Heaton, E.A.; Clifton-Brown, J.; Voigt, T.B.; Jones, M.B.; Long, S.P. Miscanthus for Renewable Energy Generation: European Union Experience and Projections for Illinois. Mitig. Adapt. Strateg. Glob. Change 2004, 9, 433–451. [Google Scholar] [CrossRef]
- Fernando, A.L.; Costa, J.; Barbosa, B.; Monti, A.; Rettenmaier, N. Environmental Impact Assessment of Perennial Crops Cultivation on Marginal Soils in the Mediterranean Region. Biomass Bioenergy 2017, 111, 174–186. [Google Scholar] [CrossRef]
- Adler, C.; Wester, P.; Bhatt, I.; Huggel, C.; Insarov, G.E.; Morecroft, M.D.; Muccione, V.; Prakash, A. Climate Change 2022: Impacts, Adaptation and Vulnerability. In Contribution of Working Group II to the Sixth Assessment Report of the Intergovernmental Panel on Climate Change; Pörtner, H.O., Roberts, D.C., Tignor, M., Poloczanska, E.S., Mintenbeck, K., Alegría, A., Craig, M., Langsdorf, S., Löschke, S., Möller, V., et al., Eds.; Cambridge University Press: Cambridge, UK; New York, NY, USA, 2022; pp. 2273–2318. ISBN 9781009325844. [Google Scholar]
- Gulías, J.; Melis, R.; Scordia, D.; Cifre, J.; Testa, G.; Cosentino, S.L.; Porqueddu, C. Exploring the Potential of Wild Perennial Grasses as a Biomass Source in Semi-Arid Mediterranean Environments. Ital. J. Agron. 2018, 13, 103–111. [Google Scholar] [CrossRef]
- Freitas, E.N.; Salgado, J.C.S.; Alnoch, R.C.; Contato, A.G.; Habermann, E.; Michelin, M.; Martínez, C.A.; Polizeli, M.d.L. Challenges of Biomass Utilization for Bioenergy in a Climate Change Scenario. Biology 2021, 10, 1277. [Google Scholar] [CrossRef]
- Moustakas, M.; Sperdouli, I.; Moustaka, J.; Şaş, B.; İşgören, S.; Morales, F. Mechanistic Insights on Salicylic Acid Mediated Enhancement of Photosystem II Function in Oregano Seedlings Subjected to Moderate Drought Stress. Plants 2023, 12, 518. [Google Scholar] [CrossRef]
- Sanad, M.N.M.E.; Smertenko, A.; Garland-Campbell, K.A. Differential Dynamic Changes of Reduced Trait Model for Analyzing the Plastic Response to Drought Phases: A Case Study in Spring Wheat. Front. Plant Sci. 2019, 10, 504. [Google Scholar] [CrossRef]
- Kherif, O.; Haddad, B.; Bouras, F.-Z.; Seghouani, M.; Zemmouri, B.; Gamouh, R.; Hamzaoui, N.; Larbi, A.; Rebouh, N.-Y.; Latati, M. Simultaneous Assessment of Water and Nitrogen Use Efficiency in Rain-Fed Chickpea-Durum Wheat Intercropping Systems. Agriculture 2023, 13, 947. [Google Scholar] [CrossRef]
- Bouras, F.-Z.; Hadjout, S.; Haddad, B.; Malek, A.; Aitmoumene, S.; Gueboub, F.; Metrah, L.; Zemmouri, B.; Kherif, O.; Rebouh, N.-Y.; et al. The Effect of Nitrogen Supply on Water and Nitrogen Use Efficiency by Wheat–Chickpea Intercropping System under Rain-Fed Mediterranean Conditions. Agriculture 2023, 13, 338. [Google Scholar] [CrossRef]
- Sánchez, E.; Lino, G.; Arias, C.; Serrat, X.; Nogués, S. Photosynthesis, Resource Acquisition and Growth Responses of Two Biomass Crops Subjected to Water Stress. J. Plant Sci. 2018, 6, 68–86. [Google Scholar]
- International Seed Testing Association (ISTA). The Germination Test. In International Rules for Seed Testing; International Seed Testing Association: Zurich, Switzerland, 2015; pp. 5–56. [Google Scholar]
- Sauras-Yera, T.; Vallejo, V.R.; Valcke, E.; Colle, C.; Förstel, H.; Millán, R.; Jouglet, H. 137Cs and 90Sr Root Uptake Prediction under Close-to-Real Controlled Conditions. J. Environ. Radioact. 1999, 45, 191–217. [Google Scholar] [CrossRef]
- Cosentino, S.; Patanè, C.; Sanzone, E.; Testa, G.; Scordia, D. Leaf gas exchange, water status and radiation use efficiency of giant reed (Arundo donax L.) in a changing soil nitrogen fertilization and soil water availability in a semi-arid Mediterranean area. Eur. J. Agron. 2016, 72, 56–69. [Google Scholar] [CrossRef]
- von Caemmerer, S.; Farquhar, G.D. Some Relationships between the Biochemistry of Photosynthesis and the Gas Exchange of Leaves. Planta 1981, 153, 376–387. [Google Scholar] [CrossRef]
- Webster, R.J.; Driever, S.M.; Kromdijk, J.; McGrath, J.; Leakey, A.D.B.; Siebke, K.; Demetriades-Shah, T.; Bonnage, S.; Peloe, T.; Lawson, T.; et al. High C3 Photosynthetic Capacity and High Intrinsic Water Use Efficiency Underlies the High Productivity of the Bioenergy Grass Arundo donax. Sci. Rep. 2016, 6, 20694. [Google Scholar] [CrossRef]
- McMurtrie, R.E.; Wang, Y.P. Mathematical Models of the Photosynthetic Response of Tree Stands to Rising CO2 Concentrations and Temperatures. Plant Cell Environ. 1993, 16, 1–13. [Google Scholar] [CrossRef]
- Nogues, S.; Allen, D.J.; Morison, J.I.; Baker, N.R. Ultraviolet-B Radiation Effects on Water Relations, Leaf Development, and Photosynthesis in Droughted Pea Plants. Plant Physiol. 1998, 117, 173–181. [Google Scholar] [CrossRef] [PubMed]
- González, L.; González-Vilar, M. Determination of Relative Water Content. In Handbook of Plant Ecophysiology Techniques; Reigosa Roger, M.J., Ed.; Springer Netherlands: Dordrecht, The Netherlands, 2001; pp. 207–212. ISBN 978-0-306-48057-7. [Google Scholar]
- Uddling, J.; Gelang-Alfredsson, J.; Piikki, K.; Pleijel, H. Evaluating the Relationship between Leaf Chlorophyll Concentration and SPAD-502 Chlorophyll Meter Readings. Photosynth. Res. 2007, 91, 37–46. [Google Scholar] [CrossRef] [PubMed]
- Cosentino, S.L.; Scordia, D.; Sanzone, E.; Testa, G.; Copani, V. Response of Giant Reed (Arundo donax L.) to Nitrogen Fertilization and Soil Water Availability in Semi-Arid Mediterranean Environment. Eur. J. Agron. 2014, 60, 22–32. [Google Scholar] [CrossRef]
- Scordia, D.; Testa, G.; Cosentino, S.L.; Copani, V.; Patanè, C. Soil Water Effect on Crop Growth, Leaf Gas Exchange, Water and Radiation Use Efficiency of Saccharum spontaneum L. ssp. aegyptiacum (Willd.) Hackel in Semi-Arid Mediterranean Environment. Ital. J. Agron. 2015, 10, 185–191. [Google Scholar] [CrossRef]
- Zegada-Lizarazu, W.; Wolter Elbersen, H.; Cosentino, S.L.; Zatta, A.; Alexopoulou, E.; Monti, A. Agronomic Aspects of Future Energy Crops in Europe. Biofuels Bioprod. Bioref. 2010, 4, 674–691. [Google Scholar] [CrossRef]
- van der Weijde, T.; Alvim Kamei, C.L.; Torres, A.F.; Vermerris, W.; Dolstra, O.; Visser, R.G.; Trindade, L.M. The Potential of C4 Grasses for Cellulosic Biofuel Production. Front. Plant Sci. 2013, 4, 107. [Google Scholar] [CrossRef]
- DiTomaso, J.M. Biology and Ecology of Giant Reed. In Proceedings of the Arundo and Saltcedar: The Deadly Duo, Toronto, ON, Canada, 17 June 1998; Bell, C.E., Ed.; University of California Cooperative Extension: Napa, CA, USA, 1998; pp. 1–5. [Google Scholar]
- Nogués, S.; Alegre, L. An Increase in Water Deficit Has No Impact on the Photosynthetic Capacity of Field-Grown Mediterranean Plants. Funct. Ecol. 2002, 29, 621–630. [Google Scholar] [CrossRef]
- Lawlor, D.W.; Cornic, G. Photosynthetic Carbon Assimilation and Associated Metabolism in Relation to Water Deficits in Higher Plants. Plant Cell Environ. 2002, 25, 275–294. [Google Scholar] [CrossRef]
- Passioura, J.B. Drought and Drought Tolerance. Plant Growth Regul. 1996, 20, 79–83. [Google Scholar] [CrossRef]
- Papazoglou, E.G.; Karantounias, G.A.; Vemmos, S.N.; Bouranis, D.L. Photosynthesis and Growth Responses of Giant Reed (Arundo donax L.) to the Heavy Metals Cd and Ni. Environ. Int. 2005, 31, 243–249. [Google Scholar] [CrossRef]
- Nackley, L.L.; Vogt, K.A.; Kim, S.-H. Arundo donax Water Use and Photosynthetic Responses to Drought and Elevated CO2. Agric. Water Manag. 2014, 136, 13–22. [Google Scholar] [CrossRef]
- Xu, J.; Trainotti, L.; Li, M.; Varotto, C. Overexpression of Isoprene Synthase Affects ABA- and Drought-Related Gene Expression and Enhances Tolerance to Abiotic Stress. Int. J. Mol. Sci. 2020, 21, 4276. [Google Scholar] [CrossRef]
- Flexas, J.; Diaz-Espejo, A.; Gago, J.; Gallé, A.; Galmés, J.; Gulías, J.; Medrano, H. Photosynthetic Limitations in Mediterranean Plants: A Review. Environ. Exp. Bot. 2014, 103, 12–23. [Google Scholar] [CrossRef]
- Nogues, S.; Baker, N.R. Effects of Drought on Photosynthesis in Mediterranean Plants Grown under Enhanced UV-B Radiation. J. Exp. Bot. 2000, 51, 1309–1317. [Google Scholar] [CrossRef]
- Nasar, J.; Khan, W.; Khan, M.Z.; Gitari, H.I.; Gbolayori, J.F.; Moussa, A.A.; Mandozai, A.; Rizwan, N.; Anwari, G.; Maroof, S.M. Photosynthetic Activities and Photosynthetic Nitrogen Use Efficiency of Maize Crop Under Different Planting Patterns and Nitrogen Fertilization. J. Soil Sci. Plant Nutr. 2021, 21, 2274–2284. [Google Scholar] [CrossRef]
- Santos, C.V. Regulation of Chlorophyll Biosynthesis and Degradation by Salt Stress in Sunflower Leaves. Sci. Hortic. 2004, 103, 93–99. [Google Scholar] [CrossRef]
- Ghannoum, O. C4 Photosynthesis and Water Stress. Ann. Bot. 2009, 103, 635–644. [Google Scholar] [CrossRef] [PubMed]
- Ghannoum, O.; von Caemmerer, S.; Conroy, J.P. The Effect of Drought on Plant Water Use Efficiency of Nine NAD-ME and Nine NADP-ME Australian C4 Grasses. Funct. Plant Biol. 2002, 29, 1337–1348. [Google Scholar] [CrossRef]
- de Stefano, R.; Cappetta, E.; Guida, G.; Mistretta, C.; Caruso, G.; Giorio, P.; Albrizio, R.; Tucci, M. Screening of Giant Reed (Arundo donax L.) Ecotypes for Biomass Production under Salt Stress. Plant Biosyst. 2018, 152, 911–917. [Google Scholar] [CrossRef]
- Maxwell, K.; Johnson, G.N. Chlorophyll Fluorescence—A Practical Guide. J. Exp. Bot. 2000, 51, 659–668. [Google Scholar] [CrossRef]



| Panicum virgatum L. | Miscanthus × giganteus | Arundo donax L. | ||||||
|---|---|---|---|---|---|---|---|---|
| Parameter | Time | Treatment | 1st Year | 2nd Year | 1st Year | 2nd Year | 1st Year | 2nd Year |
| Asat | T0 | WA | 19.33 ± 1.45 Aa | 17.00 ± 1.00 Aa | 17.67 ± 1.86 Aa | 18.50 ± 1.50 Aa | 25.00 ± 1.53 Aa | 23.50 ± 2.50 Aa |
| T0 | NW | 19.33 ± 1.45 Aa | 17.00 ± 1.00 Aa | 17.67 ± 1.86 Aa | 18.50 ± 1.50 Aa | 25.00 ± 1.53 Aa | 23.50 ± 2.50 Aa | |
| T1 | WA | 21.00 ± 1.50 Aa | 19.83 ± 3.35 Aa | 16.17 ± 1.64 Aa | 17.33 ± 0.44 Aa | 18.67 ± 3.59 Ab | 22.67 ± 0.67 Aa | |
| T1 | NW | 4.50 ± 0.50 Bb | 5.07 ± 1.39 Bb | 2.50 ± 0.76 Bb | 7.00 ± 2.21 Cc | 14.83 ± 1.59 Cc | 15.67 ± 1.17 Cb | |
| T2 | WA | 15.50 ± 2.18 Cc | 16.17 ± 1.17 Cc | 9.83 ± 2.92 Cc | 21.50 ± 0.50 Aa | 22.50 ± 3.50 Aa | 18.25 ± 3.75 Ac | |
| T2 | NW | 3.17 ± 0.93 Bb | 5.33 ± 0.17 Bb | nd | nd | 7.14 ± 1.30 Dd | 10.33 ± 2.03 Ddc | |
| gs | T0 | WA | 0.130 ± 0.010 Aa | 0.120 ± 0.010 Aa | 0.124 ± 0.012 Aa | 0.135 ± 0.005 Aa | 0.320 ± 0.020 Aa | 0.360 ± 0.050 Aa |
| T0 | NW | 0.130 ± 0.010 Aa | 0.120 ± 0.010 Aa | 0.124 ± 0.012 Aa | 0.135 ± 0.005 Aa | 0.320 ± 0.020 Aa | 0.360 ± 0.050 Aa | |
| T1 | WA | 0.120 ± 0.004 Aa | 0.210 ± 0.005 Bb | 0.120 ± 0.005 Aa | 0.104 ± 0.004 Bb | 0.280 ± 0.050 Aa | 0.270 ± 0.050 Aa | |
| T1 | NW | 0.014 ± 0.010 Cc | 0.030 ± 0.010 Cc | 0.020 ± 0.003 Cb | 0.035 ± 0.013 Cc | 0.110 ± 0.020 Bb | 0.109 ± 0.015 Bb | |
| T2 | WA | 0.090 ± 0.003 Dd | 0.120 ± 0.003 Aa | 0.060 ± 0.020 Dc | 0.160 ± 0.028 Ed | 0.300 ± 0.020 Aa | 0.330 ± 0.080 Aa | |
| T2 | NW | 0.016 ± 0.004 Ce | 0.030 ± 0.010 Cc | nd | nd | 0.100 ± 0.040 Bb | 0.082 ± 0.020 Cc | |
Disclaimer/Publisher’s Note: The statements, opinions and data contained in all publications are solely those of the individual author(s) and contributor(s) and not of MDPI and/or the editor(s). MDPI and/or the editor(s) disclaim responsibility for any injury to people or property resulting from any ideas, methods, instructions or products referred to in the content. |
© 2023 by the authors. Licensee MDPI, Basel, Switzerland. This article is an open access article distributed under the terms and conditions of the Creative Commons Attribution (CC BY) license (https://creativecommons.org/licenses/by/4.0/).
Share and Cite
Arias, C.; Lino, G.; Sánchez, E.; Nogués, S.; Serrat, X. Drought Impact on the Morpho-Physiological Parameters of Perennial Rhizomatous Grasses in the Mediterranean Environment. Agriculture 2023, 13, 1233. https://doi.org/10.3390/agriculture13061233
Arias C, Lino G, Sánchez E, Nogués S, Serrat X. Drought Impact on the Morpho-Physiological Parameters of Perennial Rhizomatous Grasses in the Mediterranean Environment. Agriculture. 2023; 13(6):1233. https://doi.org/10.3390/agriculture13061233
Chicago/Turabian StyleArias, Claudia, Gladys Lino, Elena Sánchez, Salvador Nogués, and Xavier Serrat. 2023. "Drought Impact on the Morpho-Physiological Parameters of Perennial Rhizomatous Grasses in the Mediterranean Environment" Agriculture 13, no. 6: 1233. https://doi.org/10.3390/agriculture13061233
APA StyleArias, C., Lino, G., Sánchez, E., Nogués, S., & Serrat, X. (2023). Drought Impact on the Morpho-Physiological Parameters of Perennial Rhizomatous Grasses in the Mediterranean Environment. Agriculture, 13(6), 1233. https://doi.org/10.3390/agriculture13061233

