Assessment of the Effects of the Herbicide Aclonifen and Its Soil Metabolites on Soil and Aquatic Environments
Abstract
1. Introduction
2. Materials and Methods
2.1. Materials
2.2. Soil Sampling and Treatment
2.3. Monitoring of the Physicochemical Properties of the Soil
2.4. Biochemical Analyses
2.5. Predictions of the Effects of Aclonifen and of Its Soil Metabolites on Aquatic Organisms
2.6. Molecular Docking Study
2.7. Statistical Analysis
3. Results
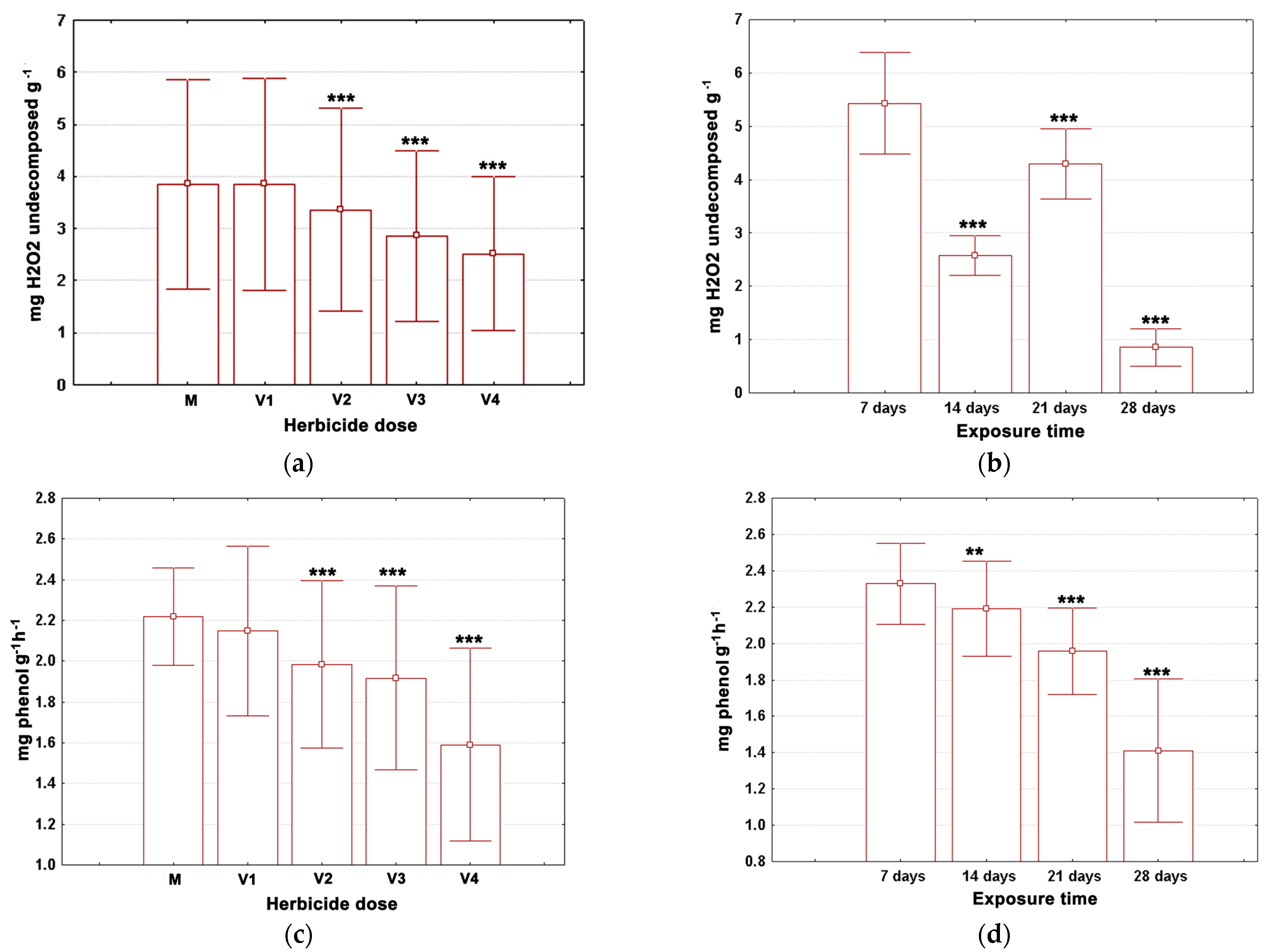
3.1. Assessment of the Effects of Aclonifen on Enzymatic Activities
3.2. Correlations between the Enzymatic Activities and Physicochemical Properties of the Soil
3.3. Predicted Toxicity of Aclonifen and of Its Soil Metabolites against Aquatic Organisms
3.4. Computational Assessment of the Interactions of Aclonifen and of Its Soil Metabolites with Enzymes Found in Soil
4. Discussion
5. Conclusions
Supplementary Materials
Author Contributions
Funding
Institutional Review Board Statement
Data Availability Statement
Acknowledgments
Conflicts of Interest
References
- FAO. Agricultural Consumption of Pesticides Worldwide from 1990 to 2020 (in mIllion Metric Tons). Available online: https://www.statista.com/statistics/1263077/global-pesticide-agricultural-use/ (accessed on 24 May 2023).
- Mehdizadeh, M. Effect of pesticide residues on agricultural food production; a case study: Sensitivity of oilseed rape to triasulfuron herbicide soil residue. MOJ Food Process Technol. 2016, 2, 187–189. [Google Scholar] [CrossRef]
- Mehdizadeh, M.; Mushtaq, W.; Anusha Siddiqui, S.; Ayadi, S.; Kaur, P.; Yeboah, S.; Mazraedoost, S.; AL-Taey, D.K.A.; Tampubolon, K. Herbicide residues in agroecosystems: Fate, detection, and effect on non-target plants. Rev. Agric. Sci. 2021, 9, 157–167. [Google Scholar] [CrossRef] [PubMed]
- Pal, R.; Chakrabarti, K.; Chakraborty, A.; Chowdhury, A. Degradation and effects of pesticides on soil microbiological parameters—A review. Int. J. Agric. Res. 2006, 1, 240–258. [Google Scholar] [CrossRef]
- Ortiz-Hernández, L.; Sánchez-Salinas, E.; Dantán-González, E.; Castrejón-Godínez, M.L. Pesticide biodegradation: Mechanisms, genetics and strategies to enhance the process. In Biodegradation–Life of Science, Rolando Chamy and Francisca Rosenkranz; IntechOpen: London, UK, 2013. [Google Scholar] [CrossRef]
- Aislabie, J.; Lloyd-Jones, G. A review of bacterial-degradation of pesticides. Aust. J. Soil Res. 1995, 33, 925–942. [Google Scholar] [CrossRef]
- Trigo, A.; Valencia, A. Cases I systemic approaches to biodegradation. FEMS Microbiol. Rev. 2009, 33, 98–108. [Google Scholar] [CrossRef]
- Liu, X.M.; Li, Q.; Liang, W.J.; Jiang, Y. Distribution of soil enzyme activities and microbial biomass along a latitudinal gradient in farmlands of songliao plain, Northeast China. Pedosphere 2008, 18, 431. [Google Scholar] [CrossRef]
- Hussain, S.; Siddique, T.; Saleem, M.; Arshad, M.; Khalid, A. Impact of pesticides on soil microbial diversity, enzymes and biochemical reactions. Adv. Agron. 2009, 102, 159–200. [Google Scholar] [CrossRef]
- Yao, X.H.; Min, H.; Lu, Z.H.; Yuan, H.P. Influence of acetamiprid on soil enzymatic activities and respiration. Eur. J. Soil Biol. 2006, 42, 120–126. [Google Scholar] [CrossRef]
- Xiong, D.; Gao, Z.; Fu, B.; Sun, H.; Tian, S.; Xiao, Y.; Qin, Z. Effect of pyrimorph on soil enzymatic activities and respiration. Eur. J. Soil Biol. 2013, 56, 44–48. [Google Scholar] [CrossRef]
- Filimon, M.N.; Voia, O.S.; Vlădoiu, D.L.; Isvoran, A.; Ostafe, V. Temperature dependent effect of difenoconazole on enzymatic activity from the soil. J. Serb. Chem. Soc. 2015, 80, 1127–1137. [Google Scholar] [CrossRef]
- Nguyen, B.T.; Trinh, N.N.; Le, C.M.T.; Nguyen, T.T.; Tran, T.V.; Thai, B.V.; Le, T.V. The interactive effects of biochar and cow manure on rice growth and selected properties of salt-affected soil. Arch. Agron. Soil 2018, 64, 1744–1758. [Google Scholar] [CrossRef]
- Filimon, M.N.; Roman, D.L.; Caraba, I.V.; Isvoran, A. Assessment of the effect of application of the herbicide s-metolachlor on the activity of some enzymes found in soil. Agriculture 2021, 11, 469. [Google Scholar] [CrossRef]
- Diez, C.J.M.; Gallardo, A.F.; Saavedra, G.; Mara Cea, L.; Gianfreda, L.; Alvear, Z.M. Effect of pentachlorophenol on selected soil enzyme activities in a Chilean Andisol. J. Soil Sci. Plant Nutr. 2006, 6, 40–51. [Google Scholar] [CrossRef]
- Bello, D.; Trasar-Cepeda, C.; Leiros, M.C.; Gil-Sotres, F. Evaluation of various tests for the diagnosis of soil contamination by 2,4,5-trichlorophenol (2,4,5-TCP). Environ. Pollut. 2008, 156, 611–617. [Google Scholar] [CrossRef]
- Xia, X.M.; Zhao, M.; Wang, H.Y.; Ma, H. Influence of butachlor on soil enzymes and microbial growth. J. Food Agric. Environ. 2011, 9, 753–756. [Google Scholar]
- Floch, C.; Chevremont, A.C.; Joanico, K.; Capowiez, Y.; Criquet, S. Indicators of pesticide contamination: Soil enzyme compared to functional diversity of bacterial communities via Biolog Ecoplates. Eur. J. Soil Biol. 2011, 47, 256–263. [Google Scholar] [CrossRef]
- Filimon, M.N.; Voia, O.S.; Popescu, R.; Dumitrescu, G.; Petculescu, C.L.; Mituletu, M.; Vlad, D.C. The effect of some insecticides on soil microorganisms based on enzymatic and bacteriological analyses. Rom. Biotech. Lett. 2015, 20, 10439–10447. [Google Scholar]
- Menon, P.; Gopal, M.; Parsad, R. Effects of chlorpyrifos and quinalphos on dehydrogenase activities and reduction of Fe3+ in the soils of two semi-arid fields of tropical India. Agric. Ecosyst. Environ. 2005, 108, 73–83. [Google Scholar] [CrossRef]
- Caceres, T.P.; He, W.X.; Megharaj, M.; Naidu, R. Effect of insecticide fenamiphos on soil microbial activities in Australian and Ecuadorean soils. J. Environ. Sci. Health 2009, B44, 13–17. [Google Scholar] [CrossRef]
- Filimon, M.N.; Voia, O.S.; Popescu, R.; Bordean, D.M.; Vladoiu, D.L.; Mituletu, M.; Ostafe, V. The effect of chlorsulfurone and MCPB-Na on the enzymatic activity of microorganisms. J. Serb. Chem. 2014, 79, 1075–1084. [Google Scholar] [CrossRef]
- Vladoiu, D.L.; Filimon, M.N.; Ostafe, V.; Isvoran, A. Effects of herbicides and fungicides on the soil chitinolytic activity. A molecular docking approach. Ecol. Chem. Eng. S 2015, 22, 439–450. [Google Scholar] [CrossRef]
- Filimon, M.N.; Popescu, R.; Verdes, D.; Dumitrescu, G.; Voia, O.S.; Ahmadi, M.; Dronca, D. The effects of difenoconazole treatment on microorganism from soil. Rev. Chim. 2018, 69, 1129–1133. [Google Scholar] [CrossRef]
- Filimon, M.N.; Roman, D.L.; Bordean, D.; Isvoran, A. Impact of the herbicide oxyfluorfen on the activities of some enzymes found in soil and on populations of soil microorganisms. Agronomy 2021, 11, 1702. [Google Scholar] [CrossRef]
- Roman, D.L.; Voiculescu, D.I.; Ostafe, V.; Ciorsac, A.; Isvoran, A. A review of the toxicity of triazole fungicides approved to be used in European Union to the soil and aqueous environment. Ovidius Univ. Ann. Chem. 2022, 33, 113–120. [Google Scholar] [CrossRef]
- Roman, D.L.; Voiculescu, D.I.; Matica, M.A.; Baerle, V.; Filimon, M.N.; Ostafe, V.; Isvoran, A. Assessment of the effects of triticonazole on the soil and on the human health. Molecules 2022, 27, 6554. [Google Scholar] [CrossRef]
- Isvoran, A. Computational study concerning the effect of some pesticides on the Proteus Mirabilis catalase activity. AIP Conf. Proc. 2016, 1722, 310004. [Google Scholar] [CrossRef]
- Vladoiu, D.L.; Filimon, M.N.; Ostafe, V.; Isvoran, A. Assessment of pesticides interactions with bacillus pasteurii urease. A computational study. Rom. J. Phys. 2015, 60, 583–592. [Google Scholar]
- Shefali, G.; Kumar, R.; Sankhla, M.S.; Kumar, R.; Sonone, S.S. Impact of pesticide toxicity in aquatic environment. Biointerface Res. Appl. Chem. 2021, 11, 10131–10140. [Google Scholar] [CrossRef]
- Islam, M.A.; Nurul Amin, S.M.; Rahman, M.A.; Juraimi, A.S.; Uddin, M.K.; Brown, C.L.; Arshad, A. Chronic effects of organic pesticides on the aquatic environment and human health: A review. Environ. Nanotechnol. 2022, 18, 100740. [Google Scholar] [CrossRef]
- Kılınç, Ö.; Reynaud, S.; Perez, L.; Tissut, M.; Ravanel, P. Physiological and biochemical modes of action of the diphenylether aclonifen. Pestic. Biochem. Physiol. 2009, 93, 65–71. [Google Scholar] [CrossRef]
- Lewis, K.; Tzilivakis, J. Development of a data set of pesticide dissipation rates in/on various plant matrices for the Pesticide Properties Database (PPDB). Data 2017, 2, 28. [Google Scholar] [CrossRef]
- Report Detail Global Aclonifen (CAS 74070-46-5) Market, 2021–2027. Available online: https://www.reportsnreports.com/reports/4898287-global-aclonifen-cas-74070-46-5-market-2021-2027.html (accessed on 8 April 2023).
- Kim, S.; Chen, J.; Cheng, T.; Gindulyte, A.; He, J.; He, S.; Li, Q.; Shoemaker, B.A.; Thiessen, P.A.; Yu, B.; et al. PubChem 2019 update: Improved access to chemical data. Nucleic Acids Res. 2019, 47, D1102–D1109. [Google Scholar] [CrossRef]
- Bordean, D.M.; Borozan, A.B.; Cojocariu, L.; Moigradean, D.; Cojocariu, A.; Nica, D.; Pirvulescu, L. Luminita, P.; Alda, S.Simion, A.; Marinel, Horablaga, M. Seasonal variation in nutrient content of some leafy vegetables from Banat County, Romania. Rev. Agric. Rural Dev. 2013, 2, 170–174. [Google Scholar]
- Gergen, I. Analiza Produselor Agroalimentare; Editura Eurostampa: Timisoara, Romania, 2004; p. 316. [Google Scholar]
- Baethgen, W.E.; Alley, M.M. A manual colorimetric procedure for measuring ammonium nitrogen in soil and plant Kjeldahl digests. Commun. Soil Sci. Plant Anal. 1989, 20, 961–969. [Google Scholar] [CrossRef]
- Amponsah, D.; Etsey, G.; Nagai, H. Determination of amount of phosphate and sulphate in soil samples from university of Cape Coast Farm. Int. J. Sci. Tech. Res. 2014, 3, 211–215. [Google Scholar]
- Uwah, E.I.; Abah, J.; Ndahi, N.P.; Ogugbuaja, V.O. Concentration levels of nitrate and nitrite in soils and some leafy vegetables obtained in Maiduguri, Nigeria. J. Appl. Sci. Environ. Sanit. 2009, 4, 233–244. [Google Scholar]
- Schinner, F.; Öhlinger, R.; Kandeler, E.; Margesin, R. Methods in Soil Biology; Springer: Berlin/Heidelberg, Germany, 1996; p. 241. [Google Scholar]
- Alef, K.; Nannipieri, P. Methods in Applied Soil Microbiology and Biochemistry; Academic Press: London, UK, 1995; p. 316. [Google Scholar]
- Dragan-Bularda, M. Microbiologie Generala-Lucrari Practice; Editura Universitatii Babes-Bolyai: Cluj-Napoca, Romania, 2000; pp. 175–176. (In Romanian) [Google Scholar]
- U.S. EPA. “User’s Guide for T.E.S.T. (Version 5.1). Toxicity Estimation Software Tool: A Program to Estimate Toxicity from Molecular Structure. 2020. Available online: https://www.epa.gov/sites/default/files/2016-05/documents/600r16058.pdf (accessed on 12 April 2023).
- Berman, H.M.; Westbrook, J.; Feng, Z.; Gilliland, G.; Bhat, T.N.; Weissig, H.; Shindyalov, I.N.; Bourne, P.E. The Protein Data Bank. Nucleic Acids Res. 2000, 28, 235–242. [Google Scholar] [CrossRef] [PubMed]
- Korkhin, Y.; Frolow, F.; Bogin, O.; Peretz, M.; Kalb, A.J.; Burstein, Y. Crystalline alcohol dehydrogenases from the mesophilic bacterium Clostridium beijerinckii and the thermophilic bacterium Thermoanaerobium brockii: Preparation, characterization and molecular symmetry. Acta Cryst. 1996, D52, 882–886. [Google Scholar] [CrossRef]
- Benini, S.; Kosikowska, P.; Cianci, M.; Mazzei, L.; Gonzalez Vara, A.; Berlicki, Ł.; Ciurli, S. The crystal structure of Sporosarcina pasteurii urease in a complex with citrate provides new hints for inhibitor design. J. Biol. Inorg. Chem. 2013, 18, 391–399. [Google Scholar] [CrossRef]
- Gallego del Sol, F.; Marina, A. Structural Basis of Rap Phosphatase Inhibition by Phr Peptides. PLoS Biol. 2013, 11, e1001511. [Google Scholar] [CrossRef]
- Varadi, M.; Anyango, S.; Deshpande, M.; Nair, S.; Natassia, C.; Yordanova, G.; Yuan, D.; Stroe, O.; Wood, G.; Laydon, A.; et al. AlphaFold protein structure database: Massively expanding the structural coverage of protein-sequence space with high-accuracy models. Nucleic Acids Res. 2021, 50, D439–D444. [Google Scholar] [CrossRef]
- Pettersen, E.F.; Goddard, T.D.; Huang, C.C.; Couch, G.S.; Greenblatt, D.M.; Meng, E.C.; Ferrin, T.E. UCSF Chimera—A visualization system for exploratory research and analysis. J. Comput. Chem. 2004, 25, 1605–1612. [Google Scholar] [CrossRef]
- Grosdidier, A.; Zoete, V.; Michielin, O. SwissDock, a protein-small molecule docking web service based on EADock DSS. Nucleic Acids Res. 2011, 39, W270–W277. [Google Scholar] [CrossRef]
- Nica, D.V.; Filimon, M.N.; Bordean, D.M.; Harmanescu, M.; Draghici, G.A.; Dragan, S.; Gergen, I. Impact of soil cadmium on land snails: A two-stage exposure approach under semi-field conditions using bioaccumulative and conchological end-points of exposure. PLoS ONE 2015, 10, e0116397. [Google Scholar] [CrossRef]
- Hammer, O.; Harper, D.A.T.; Ryan, P.D. Past: Paleontological statistics software package for education and data analysis. Palaeontol. Electron. 2001, 4, 1–9. [Google Scholar]
- Rumsey, D.J. How to interpret a correlation coefficient R. In Statistics for Dummies, 2nd ed.; John Wiley & Sons Ltd: Hoboken, NJ, USA, 2003; Volume 286, ISBN 978-0470537039. [Google Scholar]
- Wolińska, A.; Stepniewska, Z. Dehydrogenase Activity in the Soil Environment, 2012. In Dehydrogenases; Canuto, R.A., Ed.; Intech: London, UK, 2020; Chapter 8. [Google Scholar] [CrossRef]
- Yan, H.; Wang, D.D.; Dong, B.; Tang, F.F.; Wang, B.C.; Fang, H.; Yu, Y.L. Dissipation of carbendazim and chloramphenicol alone and in combination and their effects on soil fungal: Bacterial ratios and soil enzyme activities. Chemosphere 2011, 84, 634–641. [Google Scholar] [CrossRef]
- Bacmaga, M.; Boros, E.; Kucharski, J.; Wyszkowska, J. Enzymatic activity in soil contaminated with the Aurora 40 Wg herbicide. Environ. Prot. Eng. 2012, 38, 91–102. [Google Scholar]
- Attia, A.; Abdel-Nasser, G.; Massoud, M.; Barakat, A. Impact of Selected Pesticides on Some Soil Enzymes Activity in Soil Cultivated with Wheat Crop. AJSWS 2018, 2, 66–83. [Google Scholar] [CrossRef]
- Liu, J.; Xie, J.; Chu, Y.; Sun, C.; Chen, C.; Wang, Q. Combined effect of cypermethrin and copper on catalase activity in soil. J. Soils Sediments 2008, 8, 327–332. [Google Scholar] [CrossRef]
- George, T.S.; Turner, B.L.; Gregory, P.J.; Cademenum, B.J.; Richardson, A.E. Depletion of or-ganic phosphorus from Oxisols in relation to phosphatase activities in the rhizosphere. Eur. J. Soil Sci. 2006, 57, 47–57. [Google Scholar] [CrossRef]
- Zhang, Q.; Zhu, L.; Wang, J.; Xie, H.; Wang, J.; Wang, F.; Sun, F. Effects of fomesafen on soil enzyme activity, microbial population, and bacterial community composition. Environ. Monit. Assess. 2014, 186, 2801–2812. [Google Scholar] [CrossRef] [PubMed]
- Roman, D.L.; Voiculescu, D.I.; Filip, M.; Ostafe, V.; Isvoran, A. Effects of triazole fungicides on soil microbiota and on the activities of enzymes found in soil: A review. Agriculture 2021, 11, 893. [Google Scholar] [CrossRef]
- Kwiatkowski, C.A.; Harasim, E.; Feledyn-Szewczyk, B.; Antonkiewicz, J. Enzymatic activity of loess soil in organic and conventional farming systems. Agriculture 2020, 10, 135. [Google Scholar] [CrossRef]
- Kompała-Bąba, A.; Bierza, W.; Sierka, E.; Błońska, A.; Besenyei, L.; Woźniak, G. The role of plants and soil properties in the enzyme activities of substrates on hard coal mine spoil heaps. Sci. Rep. 2021, 11, 5155. [Google Scholar] [CrossRef] [PubMed]





| Experimental Variants | Dose | Explanation |
|---|---|---|
| M | 0 | control soil (soil not treated with aclonifen) |
| V1 | D/2 | 2.1 g aclonifen/ha |
| V2 | D | 4.2 g aclonifen/ha |
| V3 | 2×D | 8.4 g aclonifen/ha |
| V4 | 3×D | 12.6 g aclonifen/ha |
| Time | Experimental Variant | DHA mg TPF g−1 Soil | UA mg NH3-N g−1h−1 Soil | CA mg H2O2 Undecomposed g−1 Soil | PhA mg Phenol g−1 Soil |
|---|---|---|---|---|---|
| 7 days | M | 3.95 ± 0.09 | 1.45 ± 0.04 | 6.48 ± 0.16 | 2.58 ± 0.07 |
| V1 | 3.75 ± 0.04 | 0.90 ± 0.02 *** | 6.11 ± 0.13 *** | 2.30 ± 0.26 | |
| V2 | 2.73 ± 0.04 *** | 1.04 ± 0.04 *** | 5.91 ± 0.06 *** | 2.43 ± 0.14 | |
| V3 | 2.52 ± 0.07 *** | 0.86 ± 0.01 *** | 4.46 ± 0.05 *** | 2.29 ± 0.03 | |
| V4 | 1.11 ± 0.03 *** | 0.62 ± 0.05 *** | 4.21 ± 0.07 *** | 2.03 ± 0.07 *** | |
| 14 days | M | 3.10 ± 0.16 | 1.28 ± 0.03 | 3.05 ± 0.12 | 2.14 ± 0.15 |
| V1 | 3.20 ± 0.19 | 1.11 ± 0.03 | 2.96 ± 0.02 | 2.64 ± 0.08 *** | |
| V2 | 1.68 ± 0.04 *** | 0.95 ± 0.07 *** | 2.38 ± 0.04 *** | 2.13 ± 0.14 | |
| V3 | 1.61 ± 0.06 *** | 0.86 ± 0.06 *** | 2.30 ± 0.02 *** | 2.12 ± 0.03 | |
| V4 | 0.39 ± 0.00 *** | 0.78 ± 0.03 *** | 2.21 ± 0.09 *** | 1.92 ± 0.05 | |
| 21 days | M | 2.49 ± 0.09 | 2.48 ± 0.02 | 4.63 ± 0.14 | 2.14 ± 0.00 |
| V1 | 1.16 ± 0.05 *** | 1.50 ± 0.03 *** | 5.20 ± 0.08 *** | 2.07 ± 0.01 | |
| V2 | 0.62 ± 0.06 *** | 1.08 ± 0.02 *** | 4.21 ± 0.06 *** | 1.99 ± 0.06 | |
| V3 | 0.51 ± 0.06 *** | 0.85 ± 0.07 *** | 4.14 ± 0.05 *** | 2.07 ± 0.09 | |
| V4 | 0.33 ± 0.06 *** | 0.95 ± 0.05 *** | 3.28 ± 0.02 *** | 1.52 ± 0.09 *** | |
| 28 days | M | 2.21 ± 0.08 | 2.49 ± 0.11 | 1.27 ± 0.01 | 2.01 ± 0.05 |
| V1 | 1.54 ± 0.03 *** | 1.43 ± 0.11 *** | 1.13 ± 0.01 *** | 1.59 ± 0.07 *** | |
| V2 | 1.26 ± 0.03 *** | 1.06 ± 0.01 *** | 0.95 ± 0.01 *** | 1.38 ± 0.01 *** | |
| V3 | 1.13 ± 0.01 *** | 0.82 ± 0.06 *** | 0.54 ± 0.01 *** | 1.19 ± 0.01 *** | |
| V4 | 0.78 ± 0.06 *** | 0.58 ± 0.05 *** | 0.38 ± 0.01 *** | 0.89 ± 0.10 *** |
| Physicochemical Parameters/Enzymatic Activity | DHA | UA | CA | PhA |
|---|---|---|---|---|
| pH | 0.46 * | 0.42 | 0.10 | 0.27 |
| EC | 0.20 | 0.42 | 0.01 | 0.41 |
| Soil moisture | 0.13 | 0.28 | 0.10 | 0.27 |
| OM (mg/g) | 0.71 *** | 0.40 | 0.73 *** | 0.53 * |
| N-NO3 (mg/g) | 0.35 | 0.45 * | 0.23 | 0.28 |
| N-NH4 (mg/kg) | 0.66 *** | −0.08 | 0.58 ** | 0.32 |
| Available phosphorus (mg/kg) | 0.49 * | 0.22 | 0.49 * | 0.49 * |
| Chemical Compound | LC50FM 96 h (mg/L) | LC50DM 48 h (mg/L) | IGC50TP 48 h (mg/L) |
|---|---|---|---|
| aclonifen | 1.03 | 0.87 | 2.49 |
| 2-amino-3-chloro-4-nitrophenol | 19.56 | 1.47 | 12.97 |
| 3,4-diamino-2-chlorophenol | 73.3 | 2.32 | 83.22 |
| 4-(3-amino-2-chloro-4-nitrophenoxy)phenol | 1.04 | 0.82 | 2.10 |
| 3-chloro-4-phenoxybenzene-1,2-diamine | 3.54 | 0.93 | 7.97 |
| Chemical Compound/Interaction Energy | ΔG (kcal/mol) | ||
|---|---|---|---|
| Dehydrogenase | Phosphatase | Catalase 2 | |
| aclonifen | −7.50 | −6.81 | −7.60 |
| 2-amino-3-chloro-4-nitrophenol | −6.43 | −5.95 | −6.72 |
| 3,4-diamino-2-chlorophenol | −6.75 | −6.42 | −7.17 |
| 4-(3-amino-2-chloro-4-nitrophenoxy)phenol | −7.53 | −6.76 | −7.72 |
| 3-chloro-4-phenoxybenzene-1,2-diamine | −7.28 | −6.95 | −7.45 |
Disclaimer/Publisher’s Note: The statements, opinions and data contained in all publications are solely those of the individual author(s) and contributor(s) and not of MDPI and/or the editor(s). MDPI and/or the editor(s) disclaim responsibility for any injury to people or property resulting from any ideas, methods, instructions or products referred to in the content. |
© 2023 by the authors. Licensee MDPI, Basel, Switzerland. This article is an open access article distributed under the terms and conditions of the Creative Commons Attribution (CC BY) license (https://creativecommons.org/licenses/by/4.0/).
Share and Cite
Caraba, M.N.; Roman, D.L.; Caraba, I.V.; Isvoran, A. Assessment of the Effects of the Herbicide Aclonifen and Its Soil Metabolites on Soil and Aquatic Environments. Agriculture 2023, 13, 1226. https://doi.org/10.3390/agriculture13061226
Caraba MN, Roman DL, Caraba IV, Isvoran A. Assessment of the Effects of the Herbicide Aclonifen and Its Soil Metabolites on Soil and Aquatic Environments. Agriculture. 2023; 13(6):1226. https://doi.org/10.3390/agriculture13061226
Chicago/Turabian StyleCaraba, Marioara Nicoleta, Diana Larisa Roman, Ion Valeriu Caraba, and Adriana Isvoran. 2023. "Assessment of the Effects of the Herbicide Aclonifen and Its Soil Metabolites on Soil and Aquatic Environments" Agriculture 13, no. 6: 1226. https://doi.org/10.3390/agriculture13061226
APA StyleCaraba, M. N., Roman, D. L., Caraba, I. V., & Isvoran, A. (2023). Assessment of the Effects of the Herbicide Aclonifen and Its Soil Metabolites on Soil and Aquatic Environments. Agriculture, 13(6), 1226. https://doi.org/10.3390/agriculture13061226

