Estimation of Energy Value and Digestibility and Prediction Equations for Sheep Fed with Diets Containing Leymus chinensis Hay
Abstract
1. Introduction
2. Materials and Methods
2.1. Experimental Animals and Diets
2.2. Sample Collection, Storage, and Chemical Analysis
2.3. Energy Determination
2.4. Calculations
2.5. Statistical Data Analysis
3. Results
3.1. Chemical Compositions of Sheepgrass
3.2. The DMI, Digestibility, and Energy Values of Sheepgrass
3.3. Correlation between Chemical Compositions and DMI, Digestibility, and Energy Values of Sheepgrass
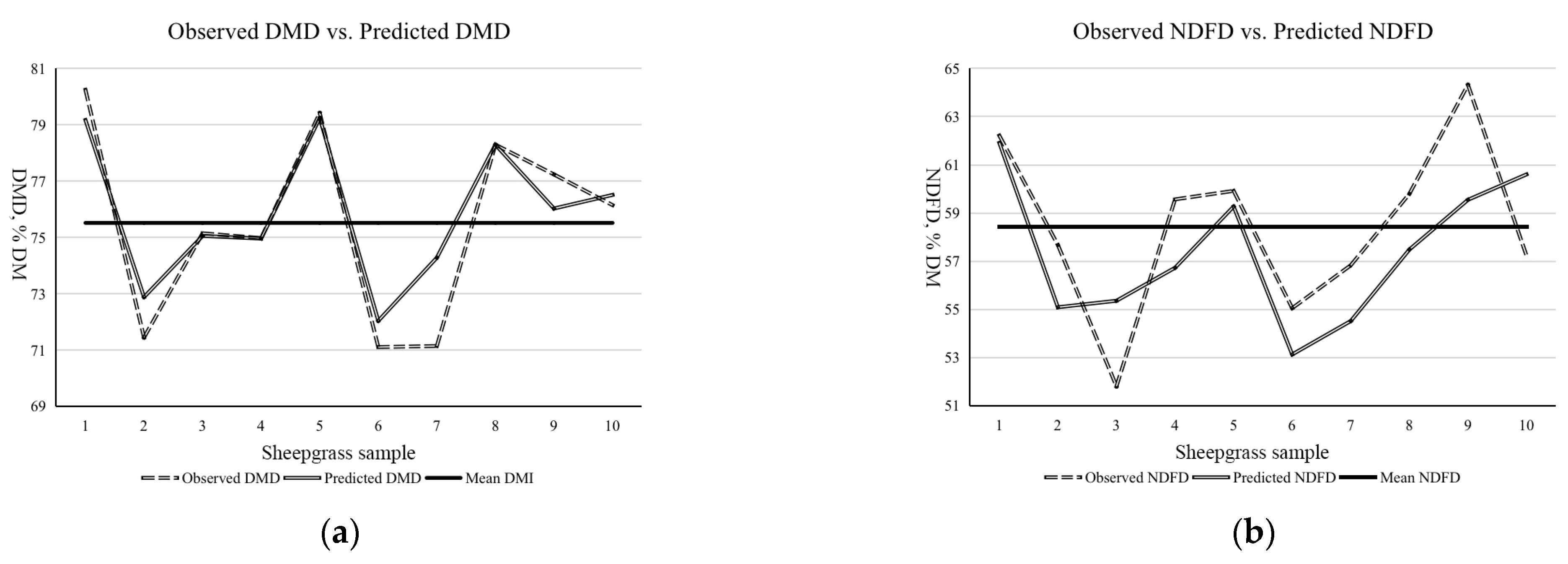
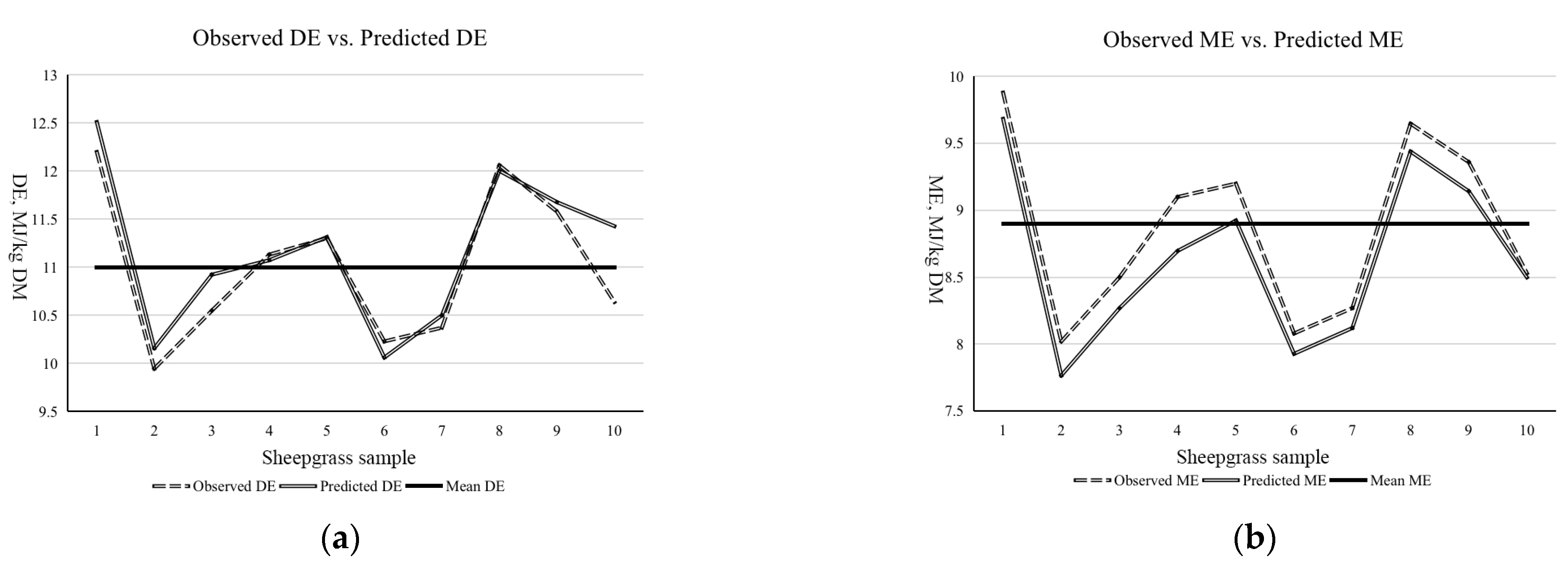
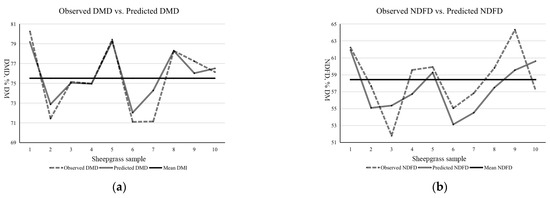
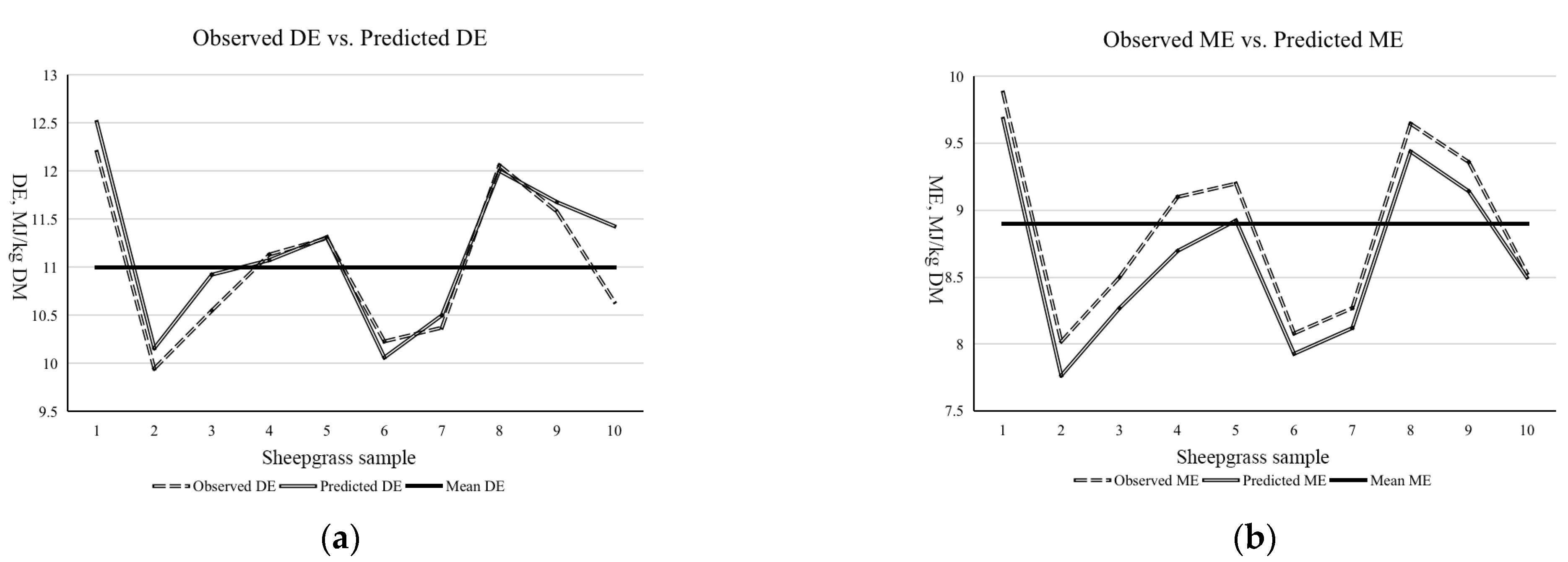
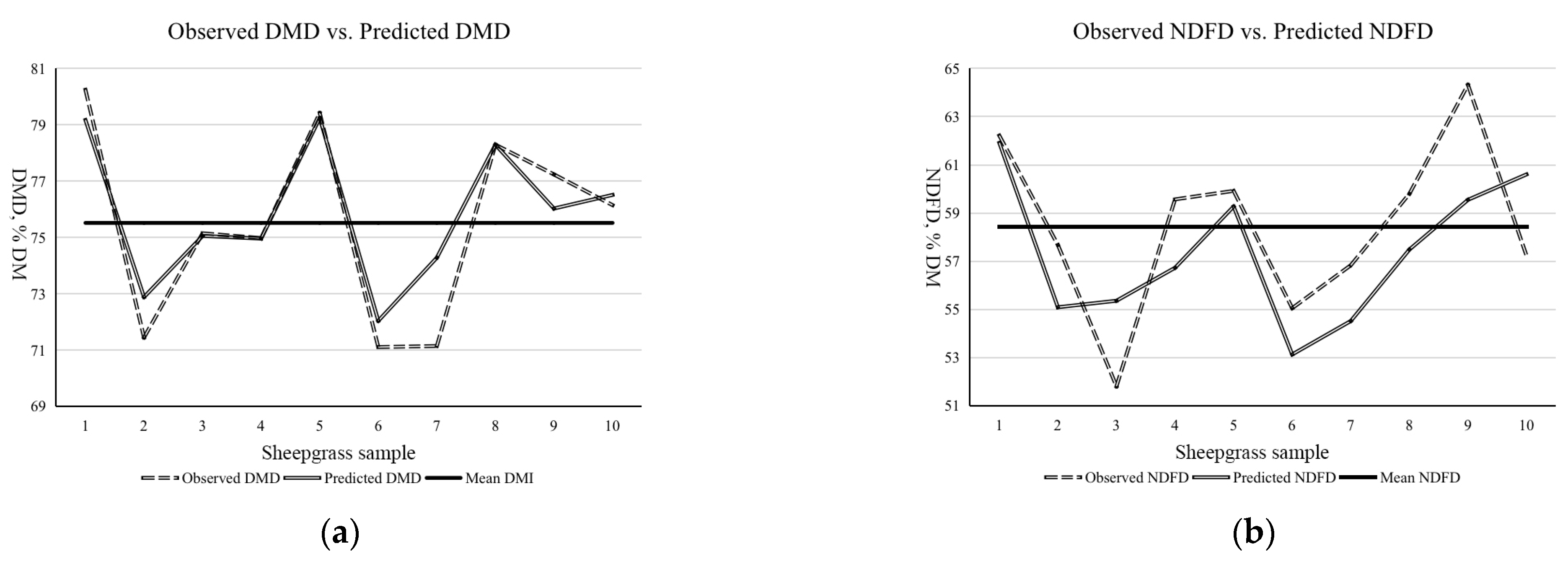
3.4. Prediction Equation
4. Discussion
4.1. Chemical Composition of Sheepgrass
4.2. Correlation between the Chemical Characteristics and DMI, DE, ME, and Nutrient Digestibility of Sheepgrass
4.3. Prediction Equations for DMI, DE, ME, and Nutrient Digestibility of Sheepgrass
5. Conclusions
Author Contributions
Funding
Institutional Review Board Statement
Data Availability Statement
Conflicts of Interest
References
- Wang, D.L.; Fang, J.; Xing, F.; Yang, L. Alfalfa as a supplement of dried cornstalk diets: Associative effects on intake, digestibility, nitrogen metabolisation, rumen environment and hematological parameters in sheep. Livest. Sci. 2008, 113, 87–97. [Google Scholar] [CrossRef]
- Khounsy, S.; Nampanya, S.; Inthavong, P.; Yang, M.; Khamboungheung, B.; Avery, M.; Bush, R.; Rast, L.; Windsor, P.A. Signifificant mortality of large ruminants due to hypothermia in northern and central Lao PDR. Trop. Anim. Health Prod. 2012, 44, 835–842. [Google Scholar] [CrossRef] [PubMed]
- Liu, Z.P.; Li, X.F.; Li, H.J.; Yang, Q.C.; Liu, G.S. The Genetic Diversity of Perennial Leymus chinensis Originating from China. Grass Forage Sci. 2007, 62, 27–34. [Google Scholar] [CrossRef]
- Xianjun, P.; Xingyong, M.; Weihong, F.; Man, S.; Liqin, C.; Alam, I.; Lee, B.-H.; Dongmei, Q.; Shihua, S.; Gongshe, L. Improved Drought and Salt Tolerance of Arabidopsis Thaliana by Transgenic Expression of a Novel DREB Gene from Leymus chinensis. Plant Cell Rep. 2011, 30, 1493–1502. [Google Scholar] [CrossRef]
- Liu, B.; Kang, C.; Wang, X.; Bao, G. Tolerance Mechanisms of Leymus chinensis to Salt-Alkaline Stress. Acta Agric. Scand. Sect. B-Soil Plant Sci. 2015, 65, 723–734. [Google Scholar] [CrossRef]
- Li, X.; Liu, Z.; Liu, P.; Yuan, G.; Liu, S. Seed Traits and Germination Characteristics of Sheepgrass (Leymus chinensis); Liu, G., Li, X., Zhang, Q., Eds.; Springer-Verlag Singapore Pte Ltd: Singapore, 2019; pp. 101–115. ISBN 9789811386336. [Google Scholar]
- Chen, S.; Huang, X.; Yan, X.; Zhang, L.; Zhao, P. Advances on Gene Resource Mining in Sheepgrass (Leymus chinensis). In Sheepgrass (Leymus chinensis): An Environmentally Friendly Native Grass for Animals; Liu, G., Li, X., Zhang, Q., Eds.; Springer Singapore: Singapore, 2019; pp. 231–245. ISBN 9789811386329. [Google Scholar]
- Hao, W.; Tian, P.; Zheng, M.; Wang, H.; Xu, C. Characteristics of Proteolytic Microorganisms and Their Effects on Proteolysis in Total Mixed Ration Silages of Soybean Curd Residue. Asian-Australas. J. Anim. Sci. 2020, 33, 100–110. [Google Scholar] [CrossRef]
- Zhang, X.Q.; Jiang, C.; Jin, Y.M.; Li, P.; Zhong, J.F. The Effect of Substitution of Mixed Grass Hay with Urtica Cannabina Hay and/or Leymus chinensis Hay on Blood Biochemical Profile, Carcass Traits, and Intramuscular Fatty Acid Composition in Finishing Lambs. Anim. Feed Sci. Technol. 2021, 272, 114780. [Google Scholar] [CrossRef]
- Bender, R.W.; Lopes, F.; Cook, D.E.; Combs, D.K. Effects of Partial Replacement of Corn and Alfalfa Silage with Tall Fescue Hay on Total-Tract Digestibility and Lactation Performance in Dairy Cows. J. Dairy Sci. 2016, 99, 5436–5444. [Google Scholar] [CrossRef]
- Menke, K.H.; Raab, L.; Salewski, A.; Steingass, H.; Fritz, D.; Schneider, W. The Estimation of the Digestibility and Metabolizable Energy Content of Ruminant Feedingstuffs from the Gas Production When They Are Incubated with Rumen Liquor in Vitro. J. Agric. Sci. 1979, 93, 217–222. [Google Scholar] [CrossRef]
- National Research Council (NRC). Nutrient Requirements of Small Ruminants: Sheep, Goats, Cervids and New World Camelids, 7th ed.; National Academy Press: Washington, DC, USA, 2007; pp. 1–347. [Google Scholar]
- AOAC Int. AOAC Official Methods of Analysis of AOAC International, 18th ed.; Hortwitz, W., Latimer, G.W., Jr., Eds.; Rev. 2; AOAC Int.: Gaithersburg, MD, USA, 2007. [Google Scholar]
- Van Soest, P.J.; Robertson, J.B.; Lewis, B.A. Methods for Dietary Fiber, Neutral Detergent Fiber, and Nonstarch Polysaccharides in Relation to Animal Nutrition. J. Dairy Sci. 1991, 74, 3583–3597. [Google Scholar] [CrossRef]
- Adeola, O. Digestion and Balance Techniques in Pigs; CRC Press: Boca Raton, FL, USA, 2000; ISBN 978-0-8493-0696-9. [Google Scholar]
- Blaxter, K.L.; Clapperton, J.L. Prediction of the Amount of Methane Produced by Ruminants. Br. J. Nutr. 1965, 19, 511–522. [Google Scholar] [CrossRef]
- Yang, P.; Fan, Y.; Zhu, M.; Yang, Y.; Ma, Y. Energy Content, Nutrient Digestibility Coefficient, Growth Performance and Serum Parameters of Pigs Fed Diets Containing Tomato Pomace. J. Appl. Anim. Res. 2018, 46, 1483–1489. [Google Scholar] [CrossRef]
- Kong, C.; Adeola, O. Evaluation of Amino Acid and Energy Utilization in Feedstuff for Swine and Poultry Diets. Asian-Australas. J. Anim. Sci. 2014, 27, 917–925. [Google Scholar] [CrossRef] [PubMed]
- Fisher, D.S.; Mayland, H.F.; Burns, J.C. Variation in Ruminants’ Preference for Tall Fescue Hays Cut Either at Sundown or at Sunup. J. Anim. Sci. 1999, 77, 762–768. [Google Scholar] [CrossRef] [PubMed]
- Volesky, J.D.; Anderson, B.E. Defoliation Effects on Production and Nutritive Value of Four Irrigated Cool-Season Perennial Grasses. Agron. J. 2007, 99, 494–500. [Google Scholar] [CrossRef]
- Leeson, S.; Yersin, A.; Volker, L. Nutritive Value of the 1992 Corn Crop. J. Appl. Poult. Res. 1993, 2, 208–213. [Google Scholar] [CrossRef]
- Latham, R.E.; Williams, M.P.; Flores, C.; Masey O’Neill, H.V.; York, T.W.; Lee, J.T. Impact of Variable Corn Nutrient Content, AME Prediction, and Xylanase Inclusion on Growth Performance. J. Appl. Poult. Res. 2016, 25, 338–351. [Google Scholar] [CrossRef]
- Noblet, J.; Perez, J.M. Prediction of Digestibility of Nutrients and Energy Values of Pig Diets from Chemical Analysis. J. Anim. Sci. 1993, 71, 3389–3398. [Google Scholar] [CrossRef]
- An, X.; Zhang, L.; Luo, J.; Zhao, S.; Jiao, T. Effects of Oat Hay Content in Diets on Nutrient Metabolism and the Rumen Microflora in Sheep. Animals 2020, 10, 2341. [Google Scholar] [CrossRef]
- Cooper, S.D.B.; Kyriazakis, I.; Oldham, J.D. The Effect of Late Pregnancy on the Diet Selections Made by Ewes. Livest. Prod. Sci. 1994, 40, 263–275. [Google Scholar] [CrossRef]
- Owen-Smith, N. Foraging Responses of Kudus to Seasonal Changes in Food Resources: Elasticity in Constraints. Ecology 1994, 75, 1050–1062. [Google Scholar] [CrossRef]
- Molle, G.; Decandia, M.; Giovanetti, V.; Cabiddu, A.; Fois, N.; Sitzia, M. Responses to Condensed Tannins of Flowering Sulla (Hedysarum coronarium L.) Grazed by Dairy Sheep: Part 1: Effects on Feeding Behaviour, Intake, Diet Digestibility and Performance. Livest. Sci. 2009, 123, 138–146. [Google Scholar] [CrossRef]
- Yang, Z.; Wang, Y.; Yuan, X.; Wang, L.; Wang, D. Forage Intake and Weight Gain of Ewes Is Affected by Roughage Mixes during Winter in Northeastern China. Anim. Sci. J. Nihon Chikusan Gakkaiho 2017, 88, 1058–1065. [Google Scholar] [CrossRef]
- Mertens, D.R.; Ely, L.O. Relationship of Rate and Extent of Digestion to Forage Utilization-A Dynamic Model Evaluation. J. Anim. Sci. 1982, 54, 895–905. [Google Scholar] [CrossRef]
- Adesogan, A.T.; Owen, E.; Givens, D.I. Prediction of the in Vivo Digestibility of Whole Crop Wheat from in Vitro Digestibility, Chemical Composition, in Situ Rumen Degradability, in Vitro Gas Production and near Infrared Reflectance Spectroscopy. Anim. Feed Sci. Technol. 1998, 74, 259–272. [Google Scholar] [CrossRef]
- Detmann, E.; Valadares Filho, S.C.; Pina, D.S.; Henriques, L.T.; Paulino, M.F.; Magalhães, K.A.; Silva, P.A.; Chizzotti, M.L. Prediction of the Energy Value of Cattle Diets Based on the Chemical Composition of the Feeds under Tropical Conditions. Anim. Feed Sci. Technol. 2008, 143, 127–147. [Google Scholar] [CrossRef]
- Li, Q.; Zang, J.; Liu, D.; Piao, X.; Lai, C.; Li, D. Predicting Corn Digestible and Metabolizable Energy Content from Its Chemical Composition in Growing Pigs. J. Anim. Sci. Biotechnol. 2014, 5, 11. [Google Scholar] [CrossRef]
- Ma, D.; Li, J.; Huang, C.; Yang, F.; Wu, Y.; Liu, L.; Jiang, W.; Jia, Z.; Zhang, P.; Liu, X.; et al. Determination of the Energy Contents and Nutrient Digestibility of Corn, Waxy Corn and Steam-Flaked Corn Fed to Growing Pigs. Asian-Australas. J. Anim. Sci. 2019, 32, 1573–1579. [Google Scholar] [CrossRef]
- Yang, P.; Ni, J.J.; Zhao, J.B.; Zhang, G.; Huang, C.F. Regression Equations of Energy Values of Corn, Soybean Meal, and Wheat Bran Developed by Chemical Composition for Growing Pigs. Animals 2020, 10, 1490. [Google Scholar] [CrossRef]
- Brunette, T.; Baurhoo, B.; Mustafa, A.F. Effects of Replacing Grass Silage with Forage Pearl Millet Silage on Milk Yield, Nutrient Digestion, and Ruminal Fermentation of Lactating Dairy Cows. J. Dairy Sci. 2016, 99, 269–279. [Google Scholar] [CrossRef]
- Cheng, L.; Wheadon, N.; Woodward, S.; Edwards, G.; Dewhurst, R. Evaluation of Equations to Predict Dry Matter Intake and Nitrogen Use Efficiency for Dairy Cows on Pasture Feeding Experiments. In Proceedings of the 5th Australasian Dairy Science Symposium, Melbourne, Australia, 13–15 November 2012; pp. 450–451. [Google Scholar]
- Gallo, S.; Tedeschi, L. Developing a Continuous Adjustment Factor for Dry Matter Intake of Gestating and Lactating Ewes. Sci. Agric. 2021, 78, e20190082. [Google Scholar] [CrossRef]
- Moore, J.E.; Coleman, S. Forage Intake, Digestibility, NDF, and ADF: How Well Are They Related? Proc. Am. Forage Grassl. Counc. 2001, 10, 238–242. [Google Scholar]
- Agriculture and Resource Management Council of Australia and New Zealand; Standing Committee on Agriculture and Resource Management; Ruminants Sub-Committee. Feeding Standards for Australian Livestock: Ruminants; CSIRO Publishing: Clayton, Australia, 1990.
- Nousiainen, J.; Rinne, M.; Hellämäki, M.; Huhtanen, P. Prediction of the Digestibility of Primary Growth and Regrowth Grass Silages from Chemical Composition, Pepsin-Cellulase Solubility and Indigestible Cell Wall Content. Anim. Feed Sci. Technol. 2003, 110, 61–74. [Google Scholar] [CrossRef]
- Ammar, H.; López, S.; González, J.S.; Ranilla, M.J. Seasonal Variations in the Chemical Composition and in Vitro Digestibility of Some Spanish Leguminous Shrub Species. Anim. Feed Sci. Technol. 2004, 115, 327–340. [Google Scholar] [CrossRef]
- Owens, F.N.; Sapienza, D.A.; Hassen, A.T. Effect of Nutrient Composition of Feeds on Digestibility of Organic Matter by Cattle: A Review. J. Anim. Sci. 2010, 88, E151–E169. [Google Scholar] [CrossRef] [PubMed]
- Zhao, M.; Tao, M.A.; Junnan, M.A.; Mao, J.; Zhao, J.; Deng, K.; Yang, K.; Diao, Q. Prediction and Equation of Effective Energy Values of Common Roughages for Mutton Sheep. Chin. J. Anim. Nutr. 2016, 28, 2385–2395. [Google Scholar]
- Theriez, M.; Castrillo, C.; Villette, Y. Influence of Metabolizable Energy Content of the Diet and of Feeding Level on Lamb Performances II. Utilization of Metabolizable Energy for Growth and Fattening. Livest. Prod. Sci. 1982, 9, 487–500. [Google Scholar] [CrossRef]
- Deaville, E.R.; Humphries, D.J.; Givens, D.I. Whole Crop Cereals: 2. Prediction of Apparent Digestibility and Energy Value from in Vitro Digestion Techniques and near Infrared Reflectance Spectroscopy and of Chemical Composition by near Infrared Reflectance Spectroscopy. Anim. Feed Sci. Technol. 2009, 149, 114–124. [Google Scholar] [CrossRef]
- Losada, B.; García-Rebollar, P.; Álvarez, C.; Cachaldora, P.; Ibáñez, M.A.; Méndez, J.; De Blas, J.C. The Prediction of Apparent Metabolisable Energy Content of Oil Seeds and Oil Seed By-Products for Poultry from Its Chemical Components, in Vitro Analysis or near-Infrared Reflectance Spectroscopy. Anim. Feed Sci. Technol. 2010, 160, 62–72. [Google Scholar] [CrossRef]
- Zhao, M.; Tao, M.A.; Junnan, M.A.; Jia, P.; Zhao, J.; Deng, K.; Yang, K.; Diao, Q. A Study on Prediction Models of Dietary Nutrient Digestibility and Metabolizable Energy of Mutton Sheep. Chin. J. Anim. Nutr. 2017, 29, 416–425. [Google Scholar]




| Item | Chemical Composition | SEM | p-Value | |
|---|---|---|---|---|
| Millet Silage | Sheepgrass Hay | |||
| CP | 10.53 | 8.34 | 1.10 | <0.01 |
| Ash | 4.83 | 1.2 | 1.82 | <0.01 |
| EE | 3.37 | 1.44 | 0.97 | <0.01 |
| ADF | 39.1 | 41.06 | 0.98 | 0.38 |
| NDF | 61.64 | 72.36 | 5.36 | <0.01 |
| OM | 81.05 | 92.45 | 5.70 | 0.21 |
| No. | Province | Growing Stage |
|---|---|---|
| 1 | Heilongjiang 1 | Ripening |
| 2 | Hebei | Ripening |
| 3 | Nenmenggu 1 | Ripening |
| 4 | Heilongjiang 2 | Ripening |
| 5 | Heilongjiang 3 | Ripening |
| 6 | Liaoning 1 | Ripening |
| 7 | Liaoning 2 | Ripening |
| 8 | Nenmenggu 2 | Ripening |
| 9 | Jilin 1 | Ripening |
| 10 | Jilin 2 | Ripening |
| Ingredient | Reference Diet | Experimental Diets |
|---|---|---|
| Millet grass silage | 50 | 21.5 |
| Corn grain | 30 | 30 |
| Sheepgrass | - | 28.5 |
| Soybean meal | 10 | 10 |
| Canola meal | 5 | 5 |
| Vitamin and mineral premixes 1 | 5 | 5 |
| Chemical composition | ||
| NDF | 49.01 | 52.17 |
| ADF | 24.00 | 23.94 |
| CP | 14.64 | 12.83 |
| Ca | 0.91 | 0.87 |
| P | 0.34 | 0.35 |
| Item | Treatments | SEM | p-Value | |
|---|---|---|---|---|
| Millet Silage | Sheepgrass | |||
| Intake (g/d) | ||||
| DM | 1108.91 | 922.02 | 41.79 | <0.01 ** |
| OM | 939.91 | 850.29 | 20.05 | <0.01 ** |
| NDF | 543.48 | 490.24 | 11.92 | <0.01 ** |
| CP | 160.35 | 118.30 | 9.42 | <0.01 ** |
| EE | 35.49 | 28.21 | 1.71 | <0.01 ** |
| Gross energy (MJ/kg) | 15.34 | 15.58 | 0.10 | 0.16 |
| Fecal excretion (g/d) | ||||
| DM | 229.19 | 257.38 | 6.32 | <0.01 ** |
| OM | 224.38 | 251.20 | 6.02 | <0.01 ** |
| NDF | 74.62 | 80.41 | 1.39 | <0.01 ** |
| CP | 30.41 | 39.43 | 2.08 | <0.01 ** |
| EE | 5.27 | 8.24 | 0.84 | 0.06 |
| Gross energy (MJ/kg) | 15.63 | 15.76 | 0.04 | 0.58 |
| Total tract digestion (%) | ||||
| DM | 76.34 | 78.00 | 0.64 | 0.22 |
| OM | 86.56 | 88.70 | 0.70 | 0.14 |
| NDF | 60.21 | 58.10 | 0.70 | 0.14 |
| CP | 74.83 | 77.20 | 0.74 | 0.11 |
| EE | 77.34 | 82.32 | 1.23 | 0.01 * |
| Diet DE (MJ/kg) | 11.23 | 11.24 | 0.10 | 0.12 |
| Diet ME (MJ/kg) | 9.21 | 9.35 | 0.07 | 0.04 * |
| Sheepgrass hay DE (MJ/kg) | 11.05 | - | - | - |
| Sheepgrass hay ME (MJ/kg) | 8.90 | - | - | - |
| No. 2 | GE (MJ/kg) | Chemical Composition | ||||||
|---|---|---|---|---|---|---|---|---|
| DM | CP | Ash | EE | ADF | NDF | OM | ||
| 1 | 15.44 | 92.81 | 9.23 | 1.18 | 1.57 | 38.34 | 70.32 | 93.83 |
| 2 | 15.21 | 92.79 | 7.15 | 1.21 | 0.87 | 45.09 | 73.71 | 91.38 |
| 3 | 15.73 | 94.05 | 8.11 | 1.19 | 1.06 | 43.38 | 73.69 | 91.86 |
| 4 | 14.87 | 93.63 | 8.52 | 1.22 | 1.30 | 40.52 | 71.84 | 93.22 |
| 5 | 15.76 | 90.63 | 9.18 | 1.23 | 2.53 | 41.10 | 71.41 | 91.67 |
| 6 | 16.29 | 93.12 | 8.23 | 1.17 | 0.93 | 44.16 | 74.19 | 90.92 |
| 7 | 15.58 | 94.23 | 7.32 | 1.24 | 1.84 | 39.00 | 73.71 | 91.72 |
| 8 | 15.48 | 96.18 | 9.18 | 1.18 | 1.76 | 38.69 | 72.15 | 93.80 |
| 9 | 16.11 | 94.69 | 8.77 | 1.18 | 1.19 | 39.69 | 71.38 | 92.67 |
| 10 | 15.36 | 94.36 | 7.68 | 1.24 | 1.39 | 40.65 | 71.24 | 93.39 |
| Mean | 15.58 | 93.65 | 8.34 | 1.20 | 1.44 | 41.06 | 72.36 | 92.45 |
| Min. | 14.87 | 90.63 | 7.15 | 1.17 | 0.87 | 38.34 | 70.32 | 90.92 |
| Max. | 16.29 | 96.18 | 9.23 | 1.24 | 2.53 | 45.09 | 74.19 | 93.83 |
| SD | 0.42 | 1.47 | 0.77 | 0.03 | 0.50 | 2.38 | 1.35 | 1.07 |
| CV | 2.67 | 1.57 | 9.27 | 2.26 | 34.87 | 5.79 | 1.86 | 1.15 |
| No. 2 | DMI (g/d·W0.75) | Digestibility (%) | Energy Value (MJ/kg) | ||
|---|---|---|---|---|---|
| DMI | DMD | NDFD | DE | ME | |
| 1 | 62.01 a | 80.37 a | 62.39 a | 12.20 a | 9.88 a |
| 2 | 59.14 b | 72.77 b | 44.61 a | 9.95 bc | 8.02 b |
| 3 | 59.84 bc | 80.37 ab | 61.52 b | 10.25 ac | 8.24 ab |
| 4 | 59.23 bc | 77.78 b | 57.81 a | 11.87 ac | 9.79 ab |
| 5 | 60.70 ac | 78.68 a | 60.66 a | 11.3 ac | 9.20 ab |
| 6 | 58.94 bc | 77.05 b | 58.13 a | 10.23 ac | 8.08 b |
| 7 | 59.38 bc | 79.62 b | 58.25 a | 10.37 ac | 8.27 ab |
| 8 | 60.31 bc | 80.24 a | 59.77 a | 12.06 a | 9.65 ab |
| 9 | 59.94 bc | 77.24 b | 64.32 b | 11.58 ac | 9.36 ab |
| 10 | 59.95 bc | 76.15 b | 57.23 a | 10.64 ac | 8.53 ab |
| Mean | 59.95 | 78.00 | 58.10 | 11.05 | 8.90 |
| Min. | 62.01 | 80.37 | 61.52 | 9.95 | 8.02 |
| Max. | 58.94 | 72.77 | 44.61 | 12.20 | 9.88 |
| SD | 1.24 | 2.96 | 6.32 | 0.85 | 0.75 |
| CV | 1.54 | 0.02 | 0.05 | 7.70 | 8.38 |
| p-value | <0.05 | <0.05 | <0.05 | <0.05 | <0.05 |
| Item | DM | CP | EE | ADF | NDF | OM |
|---|---|---|---|---|---|---|
| DMI | −0.29 | 0.67 ** | 0.57 ** | −0.69 ** | −0.91 ** | 0.77 ** |
| Item | DM | CP | EE | ADF | NDF | OM |
|---|---|---|---|---|---|---|
| DMD | −0.29 | 0.64 ** | 0.69 ** | −0.70 ** | −0.87 ** | 0.77 ** |
| NDFD | −0.24 | 0.44 * | 0.48 ** | −0.54 ** | −0.80 ** | 0.67 ** |
| Item | DE | ME | DM | CP | EE | ADF | NDF | OM |
|---|---|---|---|---|---|---|---|---|
| DE | 1 | |||||||
| ME | 0.99 ** | 1 | ||||||
| DM | −0.07 | −0.11 | 1 | |||||
| CP | 0.74 ** | 0.73 ** | −0.16 | 1 | ||||
| EE | 0.52 * | 0.54 ** | −0.40 | 0.39 | 1 | |||
| ADF | −0.74 ** | −0.74 ** | −0.06 | −0.46 * | −0.73 ** | 1 | ||
| NDF | −0.92 ** | −0.92 ** | 0.34 | −0.68 ** | −0.61 ** | 0.69 ** | 1 | |
| OM | 0.90 ** | 0.89 ** | 0.14 | 0.58 ** | 0.41 | −0.77 ** | −0.84 ** | 1 |
| No. | Prediction Equations | Model Statistics | ||||
|---|---|---|---|---|---|---|
| R2 | RESM | AIC | BIC | p-Value | ||
| 1 | DMI (g/d·W0.75) = 104.04 − 0.61NDF (%) | 0.83 | 0.50 | 37.10 | 39.37 | <0.01 |
| 2 | DMI (g/d·W0.75) = −2.45 + 0.68OM (%) | 0.59 | 0.76 | 57.52 | 59.79 | <0.01 |
| 3 | DMI (g/d·W0.75) = 99.80 + 0.07CP (%) − 0.8EE (%) − 0.05ADF (%) − 0.52NDF (%) | 0.84 | 0.48 | 41.57 | 47.24 | <0.01 |
| 4 | DMI (g/d·W0.75) = 121.75 + 0.06CP (%) − 0.24EE (%) − 0.10ADF (%) − 0.60NDF (%) − 0.15OM (%) | 0.85 | 0.47 | 42.97 | 49.78 | <0.01 |
| No. | Prediction Equations | Model Statistics | ||||
|---|---|---|---|---|---|---|
| R2 | RESM | AIC | BIC | p-Value | ||
| 1 | DMD (%) = 221.61 − 2.02NDF (%) | 0.76 | 2.09 | 103.22 | 105.49 | <0.01 |
| 2 | DMD (%) = −141.36 + 2.35OM (%) | 0.59 | 2.72 | 115.26 | 117.53 | <0.01 |
| 3 | DMD (%) = 179.74 + 0.23CP (%) + 1.64EE (%) − 0.06ADF (%) − 1.47NDF (%) | 0.80 | 1.88 | 104.31 | 109.99 | <0.01 |
| 4 | DMD (%) = −1.37 + 0.23CP (%) + 2.96EE (%) + 0.32ADF (%) − 0.82NDF (%) + 1.27OM (%) | 0.83 | 1.77 | 103.50 | 110.31 | <0.01 |
| No. | Prediction Equations | Model Statistics | ||||
|---|---|---|---|---|---|---|
| R2 | RESM | AIC | BIC | p-Value | ||
| 1 | NDFD (%) = 208.72 − 2.07NDF (%) | 0.64 | 2.09 | 103.22 | 105.49 | <0.01 |
| 2 | NDFD (%) = −152.03 + 2.28OM (%) | 0.45 | 3.51 | 127.03 | 129.30 | <0.01 |
| 3 | NDFD (%) = 244.23 − 0.59CP (%) − 0.09EE (%) + 0.06ADF (%) − 2.52NDF (%) | 0.67 | 2.72 | 121.28 | 126.95 | <0.01 |
| 4 | NDFD (%) = 225.58 − 0.59CP (%) + 0.04EE (%) + 0.09ADF (%) − 2.46NDF (%) + 0.12OM (%) | 0.67 | 1.77 | 123.27 | 120.08 | <0.01 |
| No. | Prediction Equations | Model Statistics | ||||
|---|---|---|---|---|---|---|
| R2 | RESM | AIC | BIC | p-Value | ||
| 1 | DE (MJ/kg) = 56.51 − 0.63NDF (%) | 0.82 | 0.53 | 40.15 | 42.42 | <0.01 |
| 2 | DE (MJ/kg) = −64.48 + 0.82OM (%) | 0.81 | 0.56 | 42.40 | 44.67 | <0.01 |
| 3 | DE (MJ/kg) = 1.95 + 0.39OM (%) − 0.35NDF (%) − 0.02ADF (%) | 0.89 | 0.42 | 33.67 | 38.21 | <0.01 |
| 4 | DE (MJ/kg) = −5.19 + 0.38OM (%) − 0.26NDF (%) − 0.03ADF (%) + 0.16CP (%) | 0.91 | 0.38 | 30.36 | 36.04 | <0.01 |
| 5 | ME (MJ/kg) = 46.93 − 0.52NDF (%) | 0.85 | 0.40 | 27.53 | 29.80 | <0.01 |
| 6 | ME (MJ/kg) = −53.00 + 0.67OM (%) | 0.80 | 0.47 | 34.20 | 36.47 | <0.01 |
| 7 | ME (MJ/kg) = 7.39 − 0.32NDF (%) + 0.28OM (%) − 0.02ADF (%) | 0.90 | 0.33 | 21.97 | 26.51 | <0.01 |
| 8 | ME (MJ/kg) = 2.01 + 0.27OM (%) − 0.25NDF (%) − 0.02ADF (%) + 0.12CP (%) | 0.92 | 0.29 | 19.02 | 24.70 | <0.01 |
| 9 | ME (MJ/kg) = −0.08 + 0.81DE (MJ/kg) | 0.97 | 0.17 | −12.56 | −10.29 | <0.01 |
| 10 | ME (MJ/kg) = 5.55 + 0.67DE (MJ/kg) + 0.01CP (%) − 0.01ADF (%) − 0.08NDF (%) + 0.02OM (%) | 0.98 | 0.16 | −8.64 | −1.82 | <0.01 |
Disclaimer/Publisher’s Note: The statements, opinions and data contained in all publications are solely those of the individual author(s) and contributor(s) and not of MDPI and/or the editor(s). MDPI and/or the editor(s) disclaim responsibility for any injury to people or property resulting from any ideas, methods, instructions or products referred to in the content. |
© 2023 by the authors. Licensee MDPI, Basel, Switzerland. This article is an open access article distributed under the terms and conditions of the Creative Commons Attribution (CC BY) license (https://creativecommons.org/licenses/by/4.0/).
Share and Cite
Chen, H.; Xiong, F.; Wu, Q.; Wang, W.; Cui, Z.; Zhang, F.; Wang, Y.; Lv, L.; Liu, Y.; Bo, Y.; et al. Estimation of Energy Value and Digestibility and Prediction Equations for Sheep Fed with Diets Containing Leymus chinensis Hay. Agriculture 2023, 13, 1213. https://doi.org/10.3390/agriculture13061213
Chen H, Xiong F, Wu Q, Wang W, Cui Z, Zhang F, Wang Y, Lv L, Liu Y, Bo Y, et al. Estimation of Energy Value and Digestibility and Prediction Equations for Sheep Fed with Diets Containing Leymus chinensis Hay. Agriculture. 2023; 13(6):1213. https://doi.org/10.3390/agriculture13061213
Chicago/Turabian StyleChen, Hewei, Fengliang Xiong, Qichao Wu, Weikang Wang, Zhaoyang Cui, Fan Zhang, Yanlu Wang, Liangkang Lv, Yingyi Liu, Yukun Bo, and et al. 2023. "Estimation of Energy Value and Digestibility and Prediction Equations for Sheep Fed with Diets Containing Leymus chinensis Hay" Agriculture 13, no. 6: 1213. https://doi.org/10.3390/agriculture13061213
APA StyleChen, H., Xiong, F., Wu, Q., Wang, W., Cui, Z., Zhang, F., Wang, Y., Lv, L., Liu, Y., Bo, Y., Zhang, L., & Yang, H. (2023). Estimation of Energy Value and Digestibility and Prediction Equations for Sheep Fed with Diets Containing Leymus chinensis Hay. Agriculture, 13(6), 1213. https://doi.org/10.3390/agriculture13061213
