Effect of Fertigation on the Physicochemical Quality and Antioxidant System of ‘Fino’ Lemons during Postharvest Storage
Abstract
1. Introduction
2. Materials and Methods
2.1. Experimental Field Design and Postharvest Storage Conditions
2.2. Physiological and Quality Parameters
2.3. Total Phenolics and Total Antioxidant Activity
2.4. Statistical Analysis
3. Results and Discussion
3.1. Total Phenolic Content and Antioxidant Activity
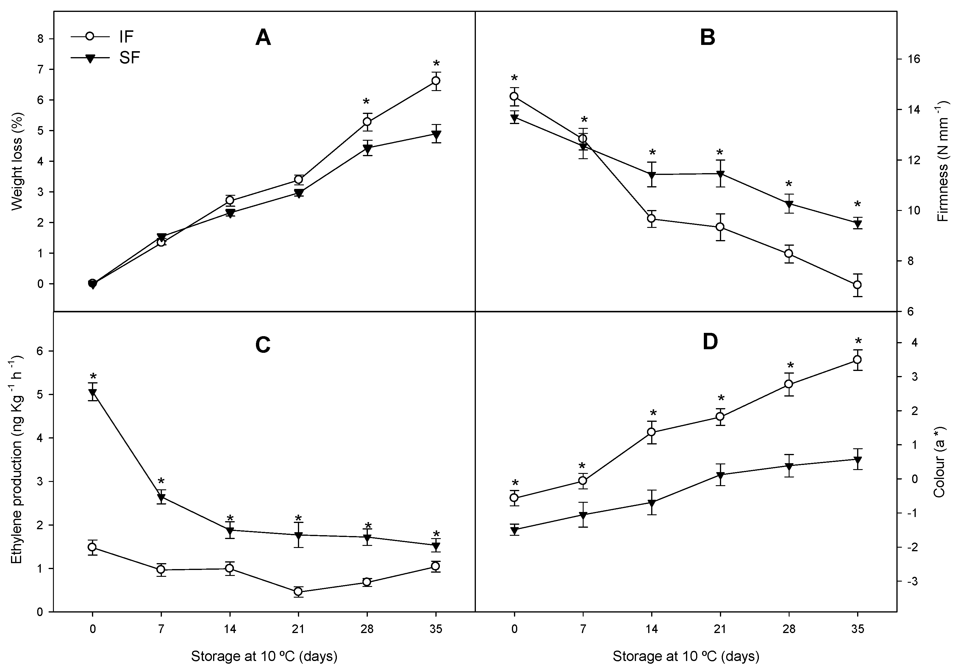
3.2. Crop yield and Quality Parameters
4. Conclusions
Author Contributions
Funding
Institutional Review Board Statement
Data Availability Statement
Conflicts of Interest
References
- Campbell, B.L.; Nelson, R.G.; Ebel, R.C.; Dozier, W.A.; Adrian, J.L.; Hockema, B.R. Fruit quality characteristics that affect consumer preferences for satsuma mandarins. HortScience 2004, 39, 1664–1669. [Google Scholar] [CrossRef]
- Serna-Escolano, V.; Valverde, J.M.; García-Pastor, M.E.; Valero, D.; Castillo, S.; Guillén, F.; Martínez-Romero, D.; Zapata, P.J.; Serrano, M. Pre-harvest methyl jasmonate treatments increase antioxidant systems in lemon fruit without affecting yield or other fruit quality parameters. J. Sci. Food. Agric. 2019, 99, 5035–5043. [Google Scholar] [CrossRef] [PubMed]
- Ross, J.A.; Kasum, C.M. Dietary flavonoids: Bioavailability, metabolic effects, and safety. Ann. Rev. Nutr. 2002, 22, 19–34. [Google Scholar] [CrossRef] [PubMed]
- Romero, P.; Navarro, J.M.; Pérez-Pérez, J.G.; García-Sánchez, F.; Gómez-Gómez, A.; Martínez, V.; Porras, I.; Botía, P. Effects of deficit irrigation on water relations, vegetative development, yield, fruit quality and mineral nutrition of clemenules mandarin on two rootstocks. Tree Physiol. 2006, 26, 1537–1548. [Google Scholar] [CrossRef] [PubMed]
- Yakushiji, H.; Morinaga, K.; Nonami, H. Sugar accumulation and partitioning in Satsuma mandarin tree tissues and fruit in response to drought stress. J. Am. Soc. Hortic. Sci. 1998, 123, 719–726. [Google Scholar] [CrossRef]
- Aguado, A.; Frías, J.; García-Tejero, I.; Romero, F.; Muriel, J.; Capote, N. Towards the improvement of fruit-quality parameters in citrus under deficit irrigation strategies. Agronomy 2012, 2012, 940896. [Google Scholar] [CrossRef]
- Navarro, J.M.; Botía, P.; Pérez-Pérez, J.G. Analysis of the changes in grapefruit quality produced by deficit irrigation treatments. Food Chem. 2014, 119, 329–336. [Google Scholar]
- Ginestar, C.; Castel, J.R. Response of young ‘Clementine’ citrus trees to water stress during different phenological periods. J. Hort. Sci. 1996, 71, 551–559. [Google Scholar] [CrossRef]
- Stefaniak, J.; Stasiak, A.; Latocha, P.; Łata, B. Effect of nitrogen fertilization on Actinidia arguta plants vigour and soil characteristics. J. Int. Sci. Publ. Agric. Food 2017, 5, 314–323. [Google Scholar]
- Gill, S.S.; Tuteja, N. Reactive oxygen species and antioxidant machinery in abiotic stress tolerance in crop plants. Plant Physiol. Biochem. 2010, 48, 909–930. [Google Scholar] [CrossRef] [PubMed]
- Lester, G.E.; Jifon, J.L.; Makus, D.J. Impact of potassium nutrition on postharvest fruit quality: Melon (Cucumis melo L) case study. Plant Soil 2010, 335, 117–131. [Google Scholar] [CrossRef]
- Tavallali, V.; Esmaili, S.; Karimi, S. Nitrogen and potassium requirements of tomato plants for the optimization of fruit quality and antioxidative capacity during storage. Food Measure 2018, 12, 755–762. [Google Scholar] [CrossRef]
- Constán-Aguilar, C.; Leyva, R.; Romero, L.; Soriano, T.; Blasco, B.; Ruiz, J.M. The effect of potassium biofortification over yield and nutritional quality of cherry tomato fruits. Am. J. Adv. Food Sci. Technol. 2015, 3, 67–93. [Google Scholar] [CrossRef]
- Shehata, S.A.; El-Mogy, M.M.; Mohamed, H.F.Y. Postharvest quality and nutrient contents of long sweet pepper enhanced by supplementary potassium foliar application. Int. J. Veg. Sci. 2019, 25, 196–209. [Google Scholar] [CrossRef]
- Fiaz, M.; Wang, C.; Zia, U.; Haq, M.; Haider, M.S.; Zheng, T.; Mengqing, G.; Jia, H.; Jiu, S.; Fang, J. Molecular evaluation of ‘Kyoho’ grape leaf and berry characteristics influenced by different NPK fertilizers. Plants 2021, 10, 1578. [Google Scholar] [CrossRef]
- Martínez-Esplá, A.; Zapata, P.J.; Valero, D.; Martínez-Romero, D.; Díaz-Mula, H.M.; Serrano, M. Preharvest treatments with salicylates enhance nutrient and antioxidant compounds in plum at harvest and after storage. J. Sci. Food Agric. 2018, 98, 2742–2750. [Google Scholar] [CrossRef]
- Venezia, A.; Colla, G.; Di Cesare, C.; Stipic, M.; Massa, D. The effect of different fertigation strategies on salinity and nutrient dynamics of cherry tomato grown in a gutter subirrigation system. LWT 2022, 262, 107408. [Google Scholar] [CrossRef]
- Asencio, A.D.; Serrano, M.; García-Martínez, S.; Pretel, M.T. Organic acids, sugars, antioxidant activity, sensorial and other fruit characteristics of nine traditional Spanish Citrus fruits. Eur. Food Res. Technol. 2018, 244, 1497–1508. [Google Scholar] [CrossRef]
- Serna-Escolano, V.; Giménez, M.J.; García-Pastor, M.E.; Dobón-Suárez, A.; Pardo-Pina, S.; Zapata, P.J. Effects of degreening treatment on quality and shelf-life of organic lemons. Agronomy 2022, 12, 270. [Google Scholar] [CrossRef]
- Dong, X.; Hu, Y.; Li, Y.; Zhou, Z. The maturity degree, phenolic compounds antioxidant activity of Eureka lemon [Citrus limon (L.) Burm. f.]: A negative correlation between total phenolic content, antioxidant capacity and soluble solid content. Sci. Hort. 2019, 243, 281–289. [Google Scholar] [CrossRef]
- Tzortzakis, N.; Gouma, S.; Dagianta, E.; Saridakis, C.; Papamichalaki, M.; Goumas, D.; Manios, T. Use of fertigation and municipal solid waste compost for greenhouse pepper cultivation. Sci. World J. 2012, 2012, 973193. [Google Scholar] [CrossRef]
- Navarro, J.M.; Pérez-Pérez, J.G.; Romero, P.; Botía, P. Analysis of the changes in quality in mandarin fruit, produced by deficit irrigation treatments. Food Chem. 2010, 119, 1591–1596. [Google Scholar] [CrossRef]
- Vashisth, T.; Olmstead, M.A.; Olmstead, J.; Colquhoun, T.A. Effects of nitrogen fertilization on subtropical peach fruit quality: Organic acids, phytochemical content, and total antioxidant capacity. J. Amer. Soc. Hort. Sci. 2017, 142, 393–404. [Google Scholar] [CrossRef]
- Bongue-Bartelsman, M.; Phillips, D.A. Nitrogen stress regulates gene expression of enzymes in the flavonoid biosynthetic pathway of tomato. Plant Physiol. Biochem. 1995, 33, 539–546. [Google Scholar]
- Fortier, E.; Desjardins, Y.; Tremblay, N.; Belec, C.; Cote, M. Influence of irrigation and nitrogen fertilization on broccoli polyphenolics concentration. Acta Hort. 2010, 856, 55–62. [Google Scholar] [CrossRef]
- Olivos, A.; Johnson, S.; Xiaoqiong, Q.; Crisosto, C.H. Fruit phosphorous and nitrogen deficiencies affect ‘Grand Pearl’ nectarine flesh browning. HorstScience 2012, 47, 391–394. [Google Scholar] [CrossRef]
- Ruiz-García, Y.; Gómez-Plaza, E. Elicitors: A tool for improving fruit phenolic content. Agriculture 2013, 3, 1–20. [Google Scholar] [CrossRef]
- Siboza, X.; Bertling, I.; Odindo, A.O. Salicylic acid and methyl jasmonate improve chilling tolerance in cold-stored lemon fruit (Citrus limon). J. Plant Physiol. 2014, 171, 1722–1731. [Google Scholar] [CrossRef]
- Serna-Escolano, V.; Martínez-Romero, D.; Giménez, M.J.; Serrano, M.; García-Martínez, S.; Valero, D.; Valverde, J.M.; Zapata, P.J. Enhancing antioxidant systems by preharvest treatments with methyl jasmonate and salicylic acid leads to maintain lemon quality during cold storage. Food chem. 2021, 338, 128044. [Google Scholar] [CrossRef]
- Hou, J.; Liang, L.; Su, M.; Yang, T.; Mao, X.; Wang, Y. Variations in phenolic acids and antioxidant activity of navel orange at different growth stages. Food chem. 2021, 360, 129980. [Google Scholar] [CrossRef]
- Wang, X.; Xing, Y. Evaluation of the effects of irrigation and fertilization on tomato fruit yield and quality: A principal component analysis. Sci. Rep. 2017, 7, 350. [Google Scholar] [CrossRef] [PubMed]
- Sun, G.; Hu, T.; Liu, X.; Peng, Y.; Leng, X.; Li, Y.; Yang, Q. Optimizing irrigation and fertilization at various growth stages to improve mango yield, fruit quality and water-fertilizer use efficiency in xerothermic regions. AWT 2022, 260, 107296. [Google Scholar] [CrossRef]
- Valero, D.; Serrano, M. Postharvest Biology and Technology for Preserving Fruit Quality; CRC-Taylor & Francis: Boca Raton, FL, USA, 2010. [Google Scholar]
- Pagán, E.; Pérez-Pastor, A.; Pérez-Reverte, R.; Provencio, A.B.; Martínez-López, J.A.; Domingo, R.; Robles, J.M.; Fernández-Trujillo, J.P. Regulated deficit irrigation in ‘Fortune’ mandarin trees improves the fruit quality at harvest and during storage. Acta Hort. 2011, 892, 155–161. [Google Scholar] [CrossRef]
- Sun, Y.; Singh, Z.; Tokala, V.Y.; Heather, B. Harvest maturity stage and cold storage period influence lemon fruit quality. Sci. Hort. 2019, 249, 322–328. [Google Scholar] [CrossRef]
- Paradkkovic, N.; Teklic, T.; Vinkovic, T.; Saric, G.K.; Lisjak, M.; Mustapic-Karlic, J.; Bucan, L. The incidence of BER-affected tomato fruits under influence of the form of N fertilizer. J. Food Agric. Env. 2010, 8, 201–205. [Google Scholar]
- Fikry, A.M.; Radhi, K.S.; Abourehab, M.A.S.; Abou Sayed-Ahmed, T.A.M.; Ibrahim, M.M.; Mohsen, F.S.; Abdou, N.A.; Omar, A.A.; Eid Elesawi, I.; El-Saadony, M.T. Effect of inorganic and organic nitrogen sources and biofertilizer on ‘Murcott’ mandarin fruit quality. Life 2022, 12, 2120. [Google Scholar] [CrossRef]
- Ortuño, A.; Nemsa, I.; Alvarez, N.; Lacasa, A.; Porras, I.; Garcia-Lidón, A.; Del-Río, J.A. Correlation of ethylene synthesis in Citrus fruits and their susceptibility to Alternaria alternata pv. citri. Physiol. Mol. Plant Pathol. 2009, 72, 162–166. [Google Scholar] [CrossRef]
- Wen, M.; Zhang, J.; Zheng, Y.; Yi, S. Effects of combined potassium and organic fertilizer application on ‘Newhall Navel’ orange nutrient uptake, yield, and quality. Agronomy 2021, 11, 1990. [Google Scholar] [CrossRef]
- Davies, J.N.; Winsor, G.W. Effect of nitrogen, phosphorus, potassium, magnesium and liming on the composition of tomato fruit. J. Sci. Food Agric. 1967, 18, 459–466. [Google Scholar] [CrossRef]
- Liao, L.; Dong, T.; Qiu, X.; Rong, Y.; Wang, Z.; Zhu, J. Nitrogen nutrition is a key modulator of the sugar and organic acid content in citrus fruit. PLoS ONE 2019, 14, e0223356. [Google Scholar] [CrossRef]
- Javarina, S.; Khan, M.Q.; Bakhsh, I. Effect of potassium on chemical and sensory attributes of tomato fruit. J. Anim. Plant Sci. 2012, 22, 1081–1085. [Google Scholar]
- Yun, Z.; Gao, H.; Liu, P.; Liu, S.; Luo, T.; Jin, S.; Xu, Q.; Xu, J.; Cheng, Y.; Deng, X. Comparative proteomic and metabolomic profiling of citrus fruit with enhancement of disease resistance by postharvest heat treatment. BMC Plant Biol. 2013, 13, 44. [Google Scholar] [CrossRef] [PubMed]




| Stages | IF | SF | ||||
|---|---|---|---|---|---|---|
| Irrigation | Nitrogen | Potassium | Irrigation | Nitrogen | Potassium | |
| Flowering | 150 | 10 | 20 | 150 | 10 | 20 |
| Fruit growth | 600 | 60 | 120 | 300 | 30 | 40 |
| Fruit ripening | 200 | 0 | 10 | 200 | 0 | 10 |
| Total | 950 | 70 | 150 | 550 | 40 | 70 |
| Strategy | Yield (kg tree−1) | Fruit Tree−1 | Fruit Mass (g) |
|---|---|---|---|
| IF | 85.27 ± 3.34 a | 653 ± 18 a | 130.12 ± 2.87 a |
| SF | 68.17 ± 2.55 b | 589 ± 12 b | 117.29 ± 3.10 b |
Disclaimer/Publisher’s Note: The statements, opinions and data contained in all publications are solely those of the individual author(s) and contributor(s) and not of MDPI and/or the editor(s). MDPI and/or the editor(s) disclaim responsibility for any injury to people or property resulting from any ideas, methods, instructions or products referred to in the content. |
© 2023 by the authors. Licensee MDPI, Basel, Switzerland. This article is an open access article distributed under the terms and conditions of the Creative Commons Attribution (CC BY) license (https://creativecommons.org/licenses/by/4.0/).
Share and Cite
Serna-Escolano, V.; Dobón-Suárez, A.; Giménez, M.J.; Zapata, P.J.; Gutiérrez-Pozo, M. Effect of Fertigation on the Physicochemical Quality and Antioxidant System of ‘Fino’ Lemons during Postharvest Storage. Agriculture 2023, 13, 766. https://doi.org/10.3390/agriculture13040766
Serna-Escolano V, Dobón-Suárez A, Giménez MJ, Zapata PJ, Gutiérrez-Pozo M. Effect of Fertigation on the Physicochemical Quality and Antioxidant System of ‘Fino’ Lemons during Postharvest Storage. Agriculture. 2023; 13(4):766. https://doi.org/10.3390/agriculture13040766
Chicago/Turabian StyleSerna-Escolano, Vicente, Alicia Dobón-Suárez, María J. Giménez, Pedro J. Zapata, and María Gutiérrez-Pozo. 2023. "Effect of Fertigation on the Physicochemical Quality and Antioxidant System of ‘Fino’ Lemons during Postharvest Storage" Agriculture 13, no. 4: 766. https://doi.org/10.3390/agriculture13040766
APA StyleSerna-Escolano, V., Dobón-Suárez, A., Giménez, M. J., Zapata, P. J., & Gutiérrez-Pozo, M. (2023). Effect of Fertigation on the Physicochemical Quality and Antioxidant System of ‘Fino’ Lemons during Postharvest Storage. Agriculture, 13(4), 766. https://doi.org/10.3390/agriculture13040766

