Nitrogen Use Efficiency Regulates Drought Stress in Pearl Millet Genotypes: Morpho-Physiological Evaluation
Abstract
1. Introduction
2. Materials and Methods
2.1. Experimental Details
2.2. Morphometric Parameters
2.3. Physio–Biochemical Parameters
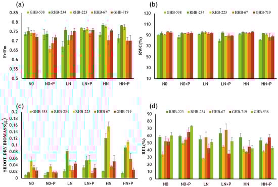
2.3.1. Relative Water Content
2.3.2. Chlorophyll Fluorescence
2.3.3. Relative Electrolyte Leakage
2.3.4. Lipid Peroxidation
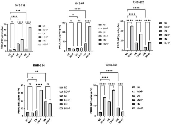
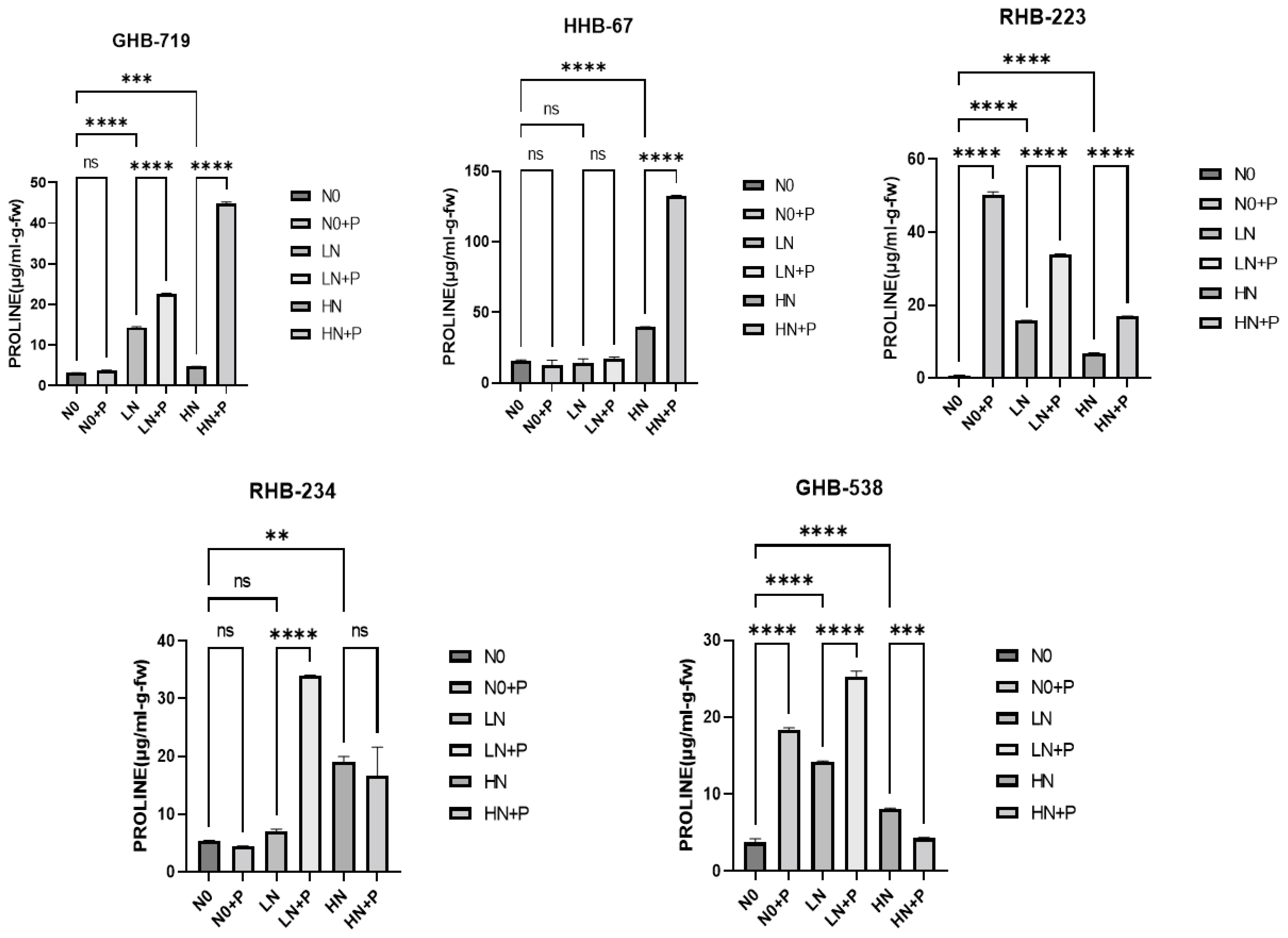
2.3.5. Proline Content
2.3.6. Hydrogen Peroxide
2.4. Statistical Analysis
3. Results
3.1. Morpho–Physiological Attributes
3.2. Biochemical Attributes
3.2.1. Proline Accumulation
3.2.2. Lipid Peroxidation
3.2.3. Hydrogen Peroxide
4. Discussion
5. Conclusions
Supplementary Materials
Author Contributions
Funding
Institutional Review Board Statement
Informed Consent Statement
Data Availability Statement
Acknowledgments
Conflicts of Interest
References
- Ausiku, A.P.; Annandale, J.G.; Steyn, J.M.; Sanewe, A.J. Improving Pearl Millet (Pennisetum glaucum) productivity through adaptive management of water and nitrogen. Water 2020, 12, 422. [Google Scholar] [CrossRef]
- Saleem, S.; Mushtaq, N.U.; Shah, W.H.; Rasool, A.; Hakeem, K.R.; Rehman, R.U. Morpho-Physiological, biochemical and molecular adaptation of millets to abiotic stresses: A review. Phyton 2021, 90, 1363. [Google Scholar] [CrossRef]
- Yadav, C.B.; Tokas, J.; Yadav, D.; Winters, A.; Singh, R.B.; Yadav, R.; Gangashetty, P.I.; Srivastava, R.K.; Yadav, R.S. Identifying Anti-Oxidant Biosynthesis Genes in Pearl Millet [Pennisetum glaucum (L.) R. Br.] Using Genome—Wide Association Analysis. Front. Plant Sci. 2021, 12, 599649. [Google Scholar] [CrossRef] [PubMed]
- Dudhate, A.; Shinde, H.; Tsugama, D.; Liu, S.; Takano, T. Transcriptomic analysis reveals the differentially expressed genes and pathways involved in drought tolerance in pearl millet [Pennisetum glaucum (L.) R. Br]. PLoS ONE 2018, 13, e0195908. [Google Scholar] [CrossRef] [PubMed]
- Bartels, D.; Sunkar, R. Drought and salt tolerance in plants. Crit. Rev. Plant Sci. 2005, 24, 23–58. [Google Scholar] [CrossRef]
- Ji, Y.; Lu, X.; Zhang, H.; Luo, D.; Zhang, A.; Sun, M.; Wu, Q.; Wang, X.; Huang, L. Transcriptome Reveals the Dynamic Response Mechanism of Pearl Millet Roots under Drought Stress. Genes 2021, 12, 1988. [Google Scholar] [CrossRef]
- Saud, S.; Fahad, S.; Yajun, C.; Ihsan, M.Z.; Hammad, H.M.; Nasim, W.; Arif, M.; Alharby, H. Effects of nitrogen supply on water stress and recovery mechanisms in Kentucky bluegrass plants. Front. Plant Sci. 2017, 8, 983. [Google Scholar] [CrossRef]
- Nilsen, E.T.; Orcutt, D.M. Physiology of Plants Under Stress: Abiotic Factors; John Wiley and Sons: Hoboken, NJ, USA, 1996. [Google Scholar]
- Lessani, H.; Mojtahedi, M. Introduction to Plant Physiology (Translation); Tehran University Press: Tehran, Iran, 2002. [Google Scholar]
- Song, C.-J.; Ma, K.-M.; Qu, L.-Y.; Liu, Y.; Xu, X.-L.; Fu, B.-J.; Zhong, J.-F. Interactive effects of water, nitrogen and phosphorus on the growth, biomass partitioning and water-use efficiency of Bauhinia faberi seedlings. J. Arid. Environ. 2010, 74, 1003–1012. [Google Scholar] [CrossRef]
- Rostamza, M.; Chaichi, M.-R.; Jahansooz, M.R.; Mashhadi, H.R.; Sharifi, H.-R. Effects of water stress and nitrogen fertilizer on multi-cut forage pearl millet yield, nitrogen, and water use efficiency. Commun. Soil Sci. Plant Anal. 2011, 42, 2427–2440. [Google Scholar] [CrossRef]
- Ajeigbe, H.A.; Akinseye, F.M.; Kamara, A.Y.; Tukur, A.; Inuwa, A.H. Productivity, water-and nitrogen-use efficiency, and profitability of pearl millet (Pennisetum glaucum) under different nitrogen applications in semiarid region of Nigeria. Int. J. Agron. 2020, 2020, 1802460. [Google Scholar] [CrossRef]
- Hoang, D.T.; Hiroo, T.; Yoshinobu, K. Nitrogen use efficiency and drought tolerant ability of various sugarcane varieties under drought stress at early growth stage. Plant Prod. Sci. 2019, 22, 250–261. [Google Scholar] [CrossRef]
- Menz, J.; Range, T.; Trini, J.; Ludewig, U.; Neuhäuser, B. Molecular basis of differential nitrogen use efficiencies and nitrogen source preferences in contrasting Arabidopsis accessions. Sci. Rep. 2018, 8, 3373. [Google Scholar] [CrossRef] [PubMed]
- Arnon, D.I. Microelements in culture-solution experiments with higher plants. Am. J. Bot. 1938, 25, 322–325. [Google Scholar] [CrossRef]
- Upadhyaya, H.; Panda, S.K. Responses of Camellia sinensis to drought and rehydration. Biol. Plant. 2004, 48, 597–600. [Google Scholar] [CrossRef]
- Choudhary, M.; Padaria, J.C. Transcriptional profiling in pearl millet (Pennisetum glaucum LR Br.) for identification of differentially expressed drought responsive genes. Physiol. Mol. Biol. Plants 2015, 21, 187–196. [Google Scholar] [CrossRef]
- Saha, B.; Swain, D.; Borgohain, P.; Rout, G.; Koyama, H.; Panda, S.K. Enhanced exudation of malate in the rhizosphere due to AtALMT1 overexpression in blackgram (Vigna mungo L.) confers increased aluminium tolerance. Plant Biol. 2020, 22, 701–708. [Google Scholar] [CrossRef] [PubMed]
- Rungrat, T.; Awlia, M.; Brown, T.; Cheng, R.; Sirault, X.; Fajkus, J.; Trtilek, M.; Furbank, B.; Badger, M.; Tester, M.; et al. Using phenomic analysis of photosynthetic function for abiotic stress response gene discovery. Arab. Book 2016, 14, e0185. [Google Scholar] [CrossRef]
- Bhushan, D.; Pandey, A.; Choudhary, M.K.; Datta, A.; Chakraborty, S.; Chakraborty, N. Comparative proteomics analysis of differentially expressed proteins in chickpea extracellular matrix during dehydration stress. Mol. Cell. Proteom. 2007, 6, 1868–1884. [Google Scholar] [CrossRef]
- Pang, Q.; Chen, S.; Dai, S.; Chen, Y.; Wang, Y.; Yan, X. Comparative proteomics of salt tolerance in Arabidopsis thaliana and Thellungiella halophila. J. Proteome Res. 2010, 9, 2584–2599. [Google Scholar] [CrossRef]
- Bajji, M.; Kinet, J.-M.; Lutts, S. The use of the electrolyte leakage method for assessing cell membrane stability as a water stress tolerance test in durum wheat. Plant Growth Regul. 2002, 36, 61–70. [Google Scholar] [CrossRef]
- Sahoo, S.; Borgohain, P.; Saha, B.; Moulick, D.; Tanti, B.; Panda, S.K. Seed priming and seedling pre-treatment induced tolerance to drought and salt stress: Recent advances. In Priming and Pretreatment of Seeds and Seedlings; Springer: Berlin/Heidelberg, Germany, 2019; pp. 253–263. [Google Scholar]
- Hodges, D.M.; DeLong, J.M.; Forney, C.F.; Prange, R.K. Improving the thiobarbituric acid-reactive-substances assay for estimating lipid peroxidation in plant tissues containing anthocyanin and other interfering compounds. Planta 1999, 207, 604–611. [Google Scholar] [CrossRef]
- Dash, S.P.; Dixit, S.; Sahoo, S. Phytochemical and biochemical characterizations from leaf extracts from Azadirachta Indica: An important medicinal plant. Biochem. Anal. Biochem. 2017, 6, 2161-1009.1000323. [Google Scholar]
- Ábrahám, E.; Hourton-Cabassa, C.; Erdei, L.; Szabados, L. Methods for determination of proline in plants. In Plant Stress Tolerance; Springer: Berlin/Heidelberg, Germany, 2010; pp. 317–331. [Google Scholar]
- Borgohain, P.; Saha, B.; Agrahari, R.; Chowardhara, B.; Sahoo, S.; van der Vyver, C.; Panda, S.K. SlNAC2 overexpression in Arabidopsis results in enhanced abiotic stress tolerance with alteration in glutathione metabolism. Protoplasma 2019, 256, 1065–1077. [Google Scholar] [CrossRef]
- Junglee, S.; Urban, L.; Sallanon, H.; Lopez-Lauri, F. Optimized assay for hydrogen peroxide determination in plant tissue using potassium iodide. Am. J. Anal. Chem. 2014, 5, 730. [Google Scholar] [CrossRef]
- Jack, C.N.; Rowe, S.L.; Porter, S.S.; Friesen, M. A high-throughput method of analyzing multiple plant defensive compounds in minimized sample mass. Appl. Plant Sci. 2019, 7, e01210. [Google Scholar] [CrossRef] [PubMed]
- Ashfaque, F.; Khan, M.I.R.; Khan, N.A. Exogenously applied H2O2 promotes proline accumulation, water relations, photosynthetic efficiency and growth of wheat (Triticum aestivum L.) under salt stress. Annu. Res. Rev. Biol. 2014, 4, 105–120. [Google Scholar] [CrossRef]
- Pandey, R.; Maranville, J.; Bako, Y. Nitrogen fertilizer response and use efficiency for three cereal crops in Niger. Commun. Soil Sci. Plant Anal. 2001, 32, 1465–1482. [Google Scholar] [CrossRef]
- Bollam, S.; Pujarula, V.; Srivastava, R.K.; Gupta, R. Genomic approaches to enhance stress tolerance for productivity improvements in pearl millet. In Biotechnologies of Crop Improvement; Springer: Berlin/Heidelberg, Germany, 2018; Volume 3, pp. 239–264. [Google Scholar]





Disclaimer/Publisher’s Note: The statements, opinions and data contained in all publications are solely those of the individual author(s) and contributor(s) and not of MDPI and/or the editor(s). MDPI and/or the editor(s) disclaim responsibility for any injury to people or property resulting from any ideas, methods, instructions or products referred to in the content. |
© 2023 by the authors. Licensee MDPI, Basel, Switzerland. This article is an open access article distributed under the terms and conditions of the Creative Commons Attribution (CC BY) license (https://creativecommons.org/licenses/by/4.0/).
Share and Cite
Shukla, S.S.; Panda, S.K. Nitrogen Use Efficiency Regulates Drought Stress in Pearl Millet Genotypes: Morpho-Physiological Evaluation. Agriculture 2023, 13, 680. https://doi.org/10.3390/agriculture13030680
Shukla SS, Panda SK. Nitrogen Use Efficiency Regulates Drought Stress in Pearl Millet Genotypes: Morpho-Physiological Evaluation. Agriculture. 2023; 13(3):680. https://doi.org/10.3390/agriculture13030680
Chicago/Turabian StyleShukla, Shiv Shankar, and Sanjib Kumar Panda. 2023. "Nitrogen Use Efficiency Regulates Drought Stress in Pearl Millet Genotypes: Morpho-Physiological Evaluation" Agriculture 13, no. 3: 680. https://doi.org/10.3390/agriculture13030680
APA StyleShukla, S. S., & Panda, S. K. (2023). Nitrogen Use Efficiency Regulates Drought Stress in Pearl Millet Genotypes: Morpho-Physiological Evaluation. Agriculture, 13(3), 680. https://doi.org/10.3390/agriculture13030680
