Predicting the Nitrogen Quota Application Rate in a Double Rice Cropping System Based on Rice–Soil Nitrogen Balance and 15N Labelling Analysis
Abstract
1. Introduction
2. Materials and Methods
2.1. Experimental Site Description
2.2. Experiment Design
2.3. Monitoring of Environmental Nitrogen Input
2.4. Isotope 15N Tracer Test
2.5. Sampling and Analysis
2.5.1. Rice and Soil Samples
2.5.2. Analysis of Samples in the 15N Microregion
2.6. Calculation and Analysis
2.6.1. Apparent N Balance in the Soil-Plant System
2.6.2. Measurements of N Use Efficiency
2.6.3. Measurements of 15N-Labeled Fertilizer Nitrogen
2.7. Data Statistics and Analysis
3. Results
3.1. Rice Yield and Its Yield Components
3.2. N Fate in the Soil-Rice System
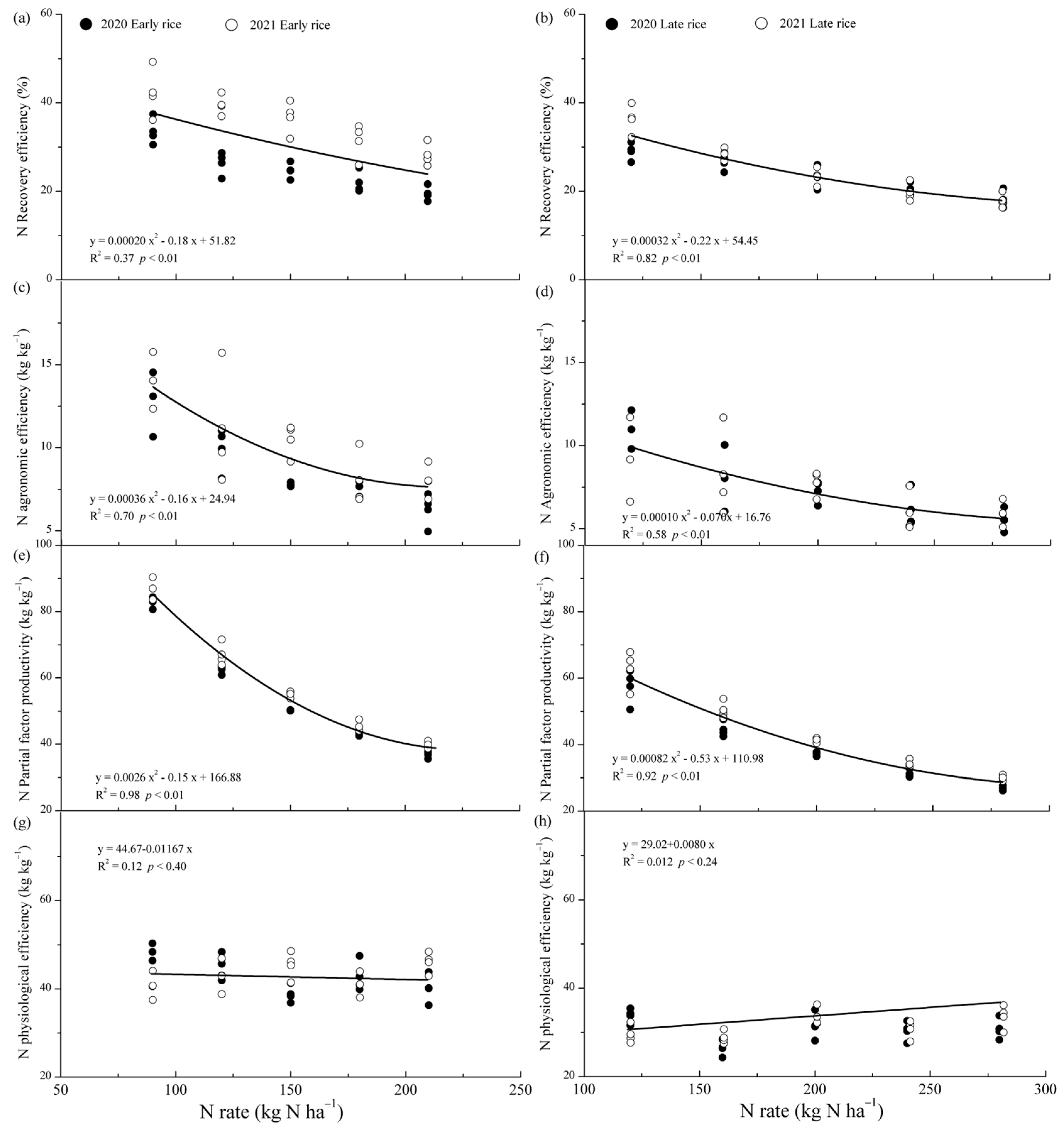
3.3. Rice N Use Efficiency
3.4. Soil Residual Mineral N
3.5. Rice 15N Uptake Derived from Fertilizer and Soil N Sources
4. Discussion
4.1. Rice Yield and Nitrogen Use Efficiency
4.2. N Fate in the Soil-Rice System
4.3. Nitrogen Accumulation in Soil
5. Conclusions
Supplementary Materials
Author Contributions
Funding
Institutional Review Board Statement
Informed Consent Statement
Data Availability Statement
Conflicts of Interest
References
- An, N.; Wei, W.; Qiao, L.; Zhang, F.; Christie, P.; Jiang, R.; Dobermann, A.; Goulding, K.W.T.; Fan, J.; Fan, M. Agronomic and environmental causes of yield and nitrogen use efficiency gaps in Chinese rice farming systems. Europ. J. Agron. 2018, 93, 40–49. [Google Scholar] [CrossRef]
- Fan, P.; Liu, W.; Tian, C.; Xiang, H.; Yang, Y.; Zhang, Z. Nitrogen absorption and balance of typical double cropping rice fields in Southern China. J. Soil Water Conserv. 2021, 35, 259–267. (In Chinese) [Google Scholar]
- Wen, M.; Yang, S.; Wang, C.; Huo, L.; Jiang, W. Effect of Fertilizer recommendation based on Nutrient Expert system on yield and quality of melon and soil nitrogen leaching. Plant Nutr. Fertil. 2021, 26, 2223–2233. (In Chinese) [Google Scholar]
- Vitousek, P.M.; Naylor, R.; Crews, T.; David, M.B.; Drinkwater, L.; Holland, E.A.; Johnes, J.P.; Katzenberger, K.; Martinelli, L.A.; Matson, P.A.; et al. Nutrient imbalances in agricultural development. Science 2009, 324, 1519–1520. [Google Scholar] [CrossRef]
- Peng, S.; Buresh, R.; Huang, J.; Zhong, X.; Zou, Y.; Yang, J.; Wang, G.; Liu, Y.; Hu, R.; Tang, Q.; et al. Improving nitrogen fertilization in rice by site-specific N management. A review. Agron. Sustain. Dev. 2010, 30, 649–656. [Google Scholar] [CrossRef]
- Mikkelsen, R.; Hartz, T. Nitrogen sources for organic crop production. Better Crop. 2008, 92, 16–19. [Google Scholar]
- Azusa, O.; Arunima, M.; Keiichiro, K.; Arne, G.; Shota, N.; Manfred, L. Substantial nitrogen pollution embedded in international trade. Nat. Geosci. 2016, 9, 111–115. [Google Scholar]
- Chen, X.; Cui, Z.; Fan, M.; Vitousek, P.; Zhao, M.; Ma, W.; Wang, Z.; Zhang, W.; Yan, X.; Yang, J.; et al. Producing more grain with lower environmental costs. Nature 2014, 514, 486–489. [Google Scholar] [CrossRef]
- Erisman, J.W.; Galloway, J.; Seitzinger, S.; Bleeker, A.; Butterbach-Bahl, K. Reactive nitrogen in the environment and its effect on climate change. Curr. Opin. Environ. Sustain. 2011, 3, 281–290. [Google Scholar] [CrossRef]
- Xu, Z.; He, P.; Yin, X.; Struik, P.C.; Ding, W.; Liu, K.; Huang, Q. Simultaneously improving yield and nitrogen use efficiency in a double rice cropping system in China. Europ. J. Agron. 2022, 137, 126513. [Google Scholar] [CrossRef]
- Mueller, N.; Gerber, J.; Johnston, M.; Ray, K.; Ramankutty, N.; Foley, J. Closing yield gaps through nutrient and water management. Nature 2012, 490, 254–257. [Google Scholar] [CrossRef]
- Pan, S.; Huang, S.; Zhai, J.; Wang, J.; Cao, C.; Cai, M.; Zhan, M.; Tang, X. Effects of N management on yield and N uptake of rice in central China. J. Integr Agric. 2012, 11, 1993–2000. [Google Scholar] [CrossRef]
- Wang, C. Nitrogen Cycling in Double Cropping Rice System; Chinese Academy of Agricultural Sciences: Beijing, China, 2012. (In Chinese) [Google Scholar]
- Zhu, Z.; Xing, G. Nitrogen Cycle, Related to Agricultural Production, Environmental Protection and Human Health; revised edition; Tsinghua University Press: Beijing, China, 2010. (In Chinese) [Google Scholar]
- Ju, X.; Kou, C.; Zhang, F.; Christie, P. Nitrogen balance and groundwater nitrate contamination: Comparison among three intensive cropping systems on the North China Plain. Environ. Pollut. 2006, 143, 117–125. [Google Scholar] [CrossRef]
- Fan, M.; Lu, S.; Jiang, R.; Liu, X.; Zhang, F. Triangular transplanting pattern and split nitrogen fertilizer application increase rice yield and nitrogen fertilizer recovery. Agron. J. 2009, 101, 1421–1425. [Google Scholar] [CrossRef]
- Ghorbani, M.; Konvalina, P.; Neugschwandtner, R.W.; Kopecký, M.; Amirahmadi, E.; Bucur, D.; Walkiewicz, A. Interaction of biochar with chemical, green and biological nitrogen fertilizers on nitrogen use efficiency indices. Agronomy 2022, 12, 2106. [Google Scholar] [CrossRef]
- Zhang, H.; Yu, C.; Kong, X.; Hou, D.; Gu, J.; Liu, L.; Wang, Z.; Yang, J. Progressive integrative crop managements increase grain yield, nitrogen use efficiency and irrigation water productivity in rice. Field Crop. Res. 2018, 215, 1–11. [Google Scholar] [CrossRef]
- Peng, S.; Wang, H.; Zhang, W.; Hou, H.; Chen, A.; Wei, W.; Wan, Y.; Yuan, H. Effect of long-term reduction and deep placement of nitrogen fertilizer on rice yield and soil fertility in a double rice cropping system. J. Plant Nutr. Ferti. 2020, 26, 999–1007. (In Chinese) [Google Scholar]
- Rolbiecki, R.; Rolbiecki, S.; Figas, A.; Jagosz, B.; Wichrowska, D.; Ptach, W.; Prus, P.; Sadan, H.; Ferenc, P.F.; Stachowski, P.; et al. Effect of drip fertigation with nitrogen on yield and nutritive Value of melon cultivated on a very light soil. Agronomy 2021, 11, 934. [Google Scholar] [CrossRef]
- Yan, X.; Ti, C.; Vitousek, P.; Chen, D.; Leip, A.; Cai, Z.; Zhu, Z. Fertilizer nitrogen recovery efficiencies in crop production systems of China with and without consideration of the residual effect of nitrogen. Environ. Res. Lett. 2014, 9, 095002. [Google Scholar] [CrossRef]
- Xia, W. Nitrogen Cycling in Rice-Wheat Rotation System under Optimized Nitrogen Management; Chinese Academy of Agriculture Sciences: Beijing, China, 2011. [Google Scholar]
- Cao, X.; Zhang, J.; Yu, Y.; Ma, Q.; Kong, Y.; Pan, W.; Wu, L.; Jin, Q. Alternate wetting-drying enhances soil nitrogen availability by altering organic nitrogen partitioning in rice-microbe system. Geoderma 2022, 424, 115993. [Google Scholar] [CrossRef]
- Ju, X.; Liu, X.; Pan, J.; Zhang, F. Fate of 15N-labeled urea under a winter wheat-summer maize rotation on the north china plain. Pedosphere 2007, 17, 52–61. [Google Scholar] [CrossRef]
- Kaštovská, E.; Šantrůčková, H. Comparison of uptake of different N forms by soil microorganisms and two wet-grassland plants: A pot study. Soil Biol. Biochem. 2011, 43, 1285–1291. [Google Scholar] [CrossRef]
- Ge, T.; Li, B.; Zhu, Z.; Hu, Y.; Yuan, H.; Dorodnikov, M.; Jones, D.L.; Wu, J.; Kuzyakov, Y. Rice rhizodeposition and its utilization by microbial groups depends on N fertilization. Biol. Ferti. Soils 2017, 53, 37–48. [Google Scholar] [CrossRef]
- Pan, J.; Liu, Y.; Zhong, X.; Lampayan, R.M.; Singleton, G.R.; Huang, N.; Liang, K.; Peng, B.; Tian, K. Grain yield, water productivity and nitrogen use efficiency of rice under different water management and fertilizer-N inputs in South China. Agric. Water Manag. 2017, 184, 191–200. [Google Scholar] [CrossRef]
- Hauck, R.D.; Bremner, J.M. Use of tracers for soil and fertilizer nitrogen research. Adv. Agron. 1976, 28, 219–266. [Google Scholar]
- Schmidt, J.P.; DeJoia, A.J.; Ferguson, R.B.; Taylor, R.K.; Young, R.K.; Havlin, J.L. 2002. Corn yield response to nitrogen at multiple in-field locations. Agron. J. 2002, 94, 798–806. [Google Scholar]
- Zhang, B.; Li, Q.; Cao, J.; Zhang, C.; Song, Z.; Zhang, F.; Chen, X. Reducing nitrogen leaching in a subtropical vegetable system. Agric. Ecosyst. Environ. 2017, 241, 133–141. [Google Scholar] [CrossRef]
- Zhang, J.; He, P.; Ding, W.; Ullah, S.; Abbas, T.; Li, M.; Ai, C.; Zhou, W. Identifying the critical nitrogen fertilizer rate for optimum yield and minimum nitrate leaching in a typical field radish cropping system in China. Environ. Pollut. 2021, 268, 115004. [Google Scholar] [CrossRef]
- Ju, X.; Xing, G.; Chen, X.; Zhang, S.; Zhang, L.; Liu, X.; Cui, Z.; Yin, B.; Christie, P.; Zhu, Z. Reducing environmental risk by improving N management in intensive Chinese agricultural systems. Proc. Natl. Acad. Sci. USA 2009, 106, 3041–3046. [Google Scholar] [CrossRef]
- Zhu, Q.; Lu, Y.; Liao, Y.; Nie, J.; Zhou, X.; Nie, X.; Cheng, H. Effects of nitrogen application rates on yield and nitrogen, phosphorus and potassium uptake of double cropping rice. J. Soil Water Conserv. 2019, 33, 183–188. (In Chinese) [Google Scholar]
- Yang, X.; Lu, Y.; Ding, Y.; Yin, X.; Raza, S.; Tong, Y. Optimising nitrogen fertilisation: A key to improving nitrogen-use efficiency and minimising nitrate leaching losses in an intensive wheat/maize rotation (2008–2014). Field Crop. Res. 2017, 206, 1–10. [Google Scholar] [CrossRef]
- Fait, A.; Fromm, H.; Walter, D.; Galili, G.; Fernie, A.R. Highway or byway: The metabolic role of the GABA shunt in plants. Trends Plant Sci. 2008, 13, 14–19. [Google Scholar] [CrossRef] [PubMed]
- Kong, A.; Xie, Y.; Hu, L.; Si, J.; Wang, Z. Excessive nitrogen application dampens antioxidant capacity and grain filling in wheat as revealed by metabolic and physiological analyses. Sci. Rep. 2017, 7, 43363. [Google Scholar] [CrossRef]
- Qiu, S.; He, P.; Zhao, S.; Li, W.; Xie, J.; Hou, Y.; Grant, C.A.; Zhou, W.; Jin, J. Impact of nitrogen rate on maize yield and nitrogen use efficiencies in Northeast China. Agron. J. 2015, 107, 305–313. [Google Scholar] [CrossRef]
- Wang, X.; Xu, X.; Sun, G.; Sun, J.; Liang, G.; Liu, G.; Zhou, W. Effects of nitrogen fertilization on grain yield and nitrogen use efficiency of double cropping rice. J. Plant Nutr. Ferti. 2013, 19, 1279–1286. (In Chinese) [Google Scholar]
- Jia, S.; Wang, X.; Yang, Y.; Dai, K.; Meng, C.; Zhao, Q.; Zhang, X.; Zhang, D.; Feng, Z.; Sun, Y. Fate of labeled urea-15N as basal and topdressing applications in an irrigated wheat-maize rotation system in North China Plain: I winter wheat. Nutr. Cycl. Agroecosyst. 2011, 90, 331–346. [Google Scholar] [CrossRef]
- Ding, W.; Li, S.; He, P.; Huang, S. Contribution and fate of maize residue-N-15 and urea-N-15 as affected by N fertilization regime. PLoS ONE 2019, 14, 17. [Google Scholar] [CrossRef]
- Luo, Z.; Liu, H.; Li, W.; Zhao, Q.; Dai, J.; Tian, L.; Dong, H. Effects of reduced nitrogen rate on cotton yield and nitrogen use efficiency as mediated by application mode or plant density. Field Crop. Res. 2018, 218, 150–157. [Google Scholar] [CrossRef]
- Zhu, Y.; Liao, S.; Liu, Y.; Li, X.; Ren, T.; Cong, R.; Lu, J. Differences of annual nutrient budgets between rapeseed−rice and wheat−rice rotations in the Yangtze River Basin. J. Plant Nutr. Ferti. 2019, 25, 64–73. (In Chinese) [Google Scholar]
- Macdonald, A.J.; Poulton, P.R.; Stockdale, E.A.; Powlson, D.S.; Jenkinson, D.S. The fate of residual 15N-labelled fertilizer in arable soils: Its availability to subsequent crops and retention in soil. Plant Soil 2002, 246, 123–137. [Google Scholar] [CrossRef]
- Mohammad, M.J. Utilization of applied fertilizer nitrogen and irrigation water by drip-fertigated squash as determined by nuclear and traditional techniques. Nutr. Cycl. Agroecosyst. 2004, 68, 1–11. [Google Scholar] [CrossRef]
- Li, P.; Li, X.; Hou, W.; Ren, T.; Cong, R.; Du, C.; Xing, L.; Wang, S.; Lu, J. Studying the fate and recovery efficiency of controlled release urea in paddy soil using 15N tracer technique. Sci. Agric. Sin. 2018, 51, 3961–3971. (In Chinese) [Google Scholar]
- Ma, Q.; Wu, L.; Wang, J.; Ma, J.; Zheng, N.; Hill, P.; Chadwick, D.; Jones, D. Fertilizer regime changes the competitive uptake of organic nitrogen by wheat and soil microorganisms: An in-situ uptake test using 13C, 15N labelling, and 13C-PLFA analysis. Soil Biol. Biochem. 2018, 125, 319–327. [Google Scholar] [CrossRef]
- Cao, Z.; De Datta, S.K.; Fillery, I.R.P. Nitrogen-15 balance and residual effects of urea-N in wetland rice fields as affected by deep placement techniques. Soil Sci. Soc. Am. J. 1984, 48, 203–208. [Google Scholar] [CrossRef]
- Zuo, H.; Bai, Y.; Lu, Y.; Wang, L.; Wang, H.; Wang, Z. Fate of fertilizer nitrogen applied to winter wheat in north China plain based on high abundance of 15N. Sci. Agric. Sin. 2012, 45, 3093–3099. (In Chinese) [Google Scholar]
- Cameron, K.C.; Di, H.J.; Moir, J.L. Nitrogen losses from the soil-plant system: A review. Ann. Appl. Biol. 2013, 162, 145–173. [Google Scholar] [CrossRef]
- Ding, W.; He, P.; Zhang, J.; Liu, Y.; Xu, X.; Ullah, S.; Cui, Z.; Zhou, W. Optimizing rates and sources of nutrient input to mitigate nitrogen, phosphorus, and carbon losses from rice paddies. J. Clean. Prod. 2020, 206, 120603. [Google Scholar] [CrossRef]
- Xu, Z.; Yang, Z.; Ju, M.; Wang, S.; Xing, G. Nitrogen runoff dominates water nitrogen pollution from rice-wheat rotation in the Taihu Lake region of China. Agric. Ecosyst. Environ. 2012, 156, 1–11. [Google Scholar]
- Hu, A.; Liu, Q.; Sun, X.; Zhang, Y. Nitrogen balance in paddy fields under different rotation systems in the Taihu Lake region. Chin. J. Eco-Agric. 2014, 22, 509–515. (In Chinese) [Google Scholar]




| Treatments | Yielda | Effective Panicles | Spikelets | 1000 Grain Weight | Grain Filling Rate | ||
|---|---|---|---|---|---|---|---|
| kg ha−1 | 104 | g | % | ||||
| 2020 | Early rice | N0 | 6256.5 ± 198.0 c | 9.2 ± 0.7 c | 142.1+6.7 b | 27.3 ± 0.1 a | 84.5 ± 2.5 a |
| N90 | 7461.0 ± 178.5 b | 11.2 ± 0.9 b | 152.5 ± 16.4 b | 28.4 ± 0.8 a | 84.5 ± 2.1 a | ||
| N120 | 7510.5 ± 177.0 b | 11.0 ± 0.3 b | 144.3+10.0 b | 28.5 ± 0.2 a | 88.9 ± 1.8 a | ||
| N150 | 7518.0 ± 19.5 b | 11.3 ± 0.7 b | 180.5 ± 16.0 a | 27.6 ± 0.3 a | 87.3 ± 2.8 a | ||
| N180 | 7753.5 ± 91.5 a | 11.4 ± 0.6 b | 177.5 ± 17.6 a | 27.3 ± 0.6 a | 85.6 ± 5.4 a | ||
| N210 | 7726.5 ± 231.0 a | 13.2 ± 1.2 a | 177.9 ± 10.7 a | 27.3 ± 1.1 a | 84.3 ± 4.6 a | ||
| Late rice | N0 | 6001.5 ± 258.0 c | 9.8 ± 0.4 c | 198.6 ± 10.1 c | 23.0 ± 0.5 a | 83.1 ± 3.7 a | |
| N120 | 6901.5 ± 300.0 b | 11.4 ± 0.2 b | 194.2 ± 4.9 c | 22.2 ± 0.7 bc | 82.6 ± 1.9 a | ||
| N160 | 7122.0 ± 174.0 b | 11.7 ± 0.2 b | 214.5 ± 6.2 a | 22.2 ± 0.7 bc | 83.1 ± 2.7 a | ||
| N200 | 7456.5 ± 63.0 a | 12.0 ± 0.4 ab | 212.8 ± 1.9 a | 22.6 ± 0.3 b | 82.9 ± 2.4 a | ||
| N240 | 7477.5 ± 127.5 a | 12.7 ± 0.4 a | 208.3 ± 11.0 ab | 21.8 ± 0.4 c | 78.5 ± 2.1 b | ||
| N280 | 7551.0 ± 87.0 a | 12.1 ± 0.2 ab | 206.2 ± 3.7 b | 22.7 ± 0.1 ab | 78.6 ± 2.6 b | ||
| 2021 | Early rice | N0 | 6523.5 ± 169.5 c | 10.4 ± 0.6 c | 150.9 ± 5.8 b | 28.0 ± 0.1 ab | 85.8 ± 2.1 a |
| N90 | 7761.0 ± 157.5 b | 12.6 ± 0.8 ab | 161.9 ± 14.2 b | 29.1 ± 0.7 a | 85.7 ± 1.7 a | ||
| N120 | 7797.0 ± 147.0 b | 12.4 ± 0.3 b | 153.3 ± 8.6 b | 29.0 ± 0.1 ab | 90.2 ± 1.4 a | ||
| N150 | 7794.0 ± 166.5 b | 12.7 ± 0.7 ab | 191.7 ± 13.8 a | 28.2 ± 0.2 ab | 86.8 ± 4.5 a | ||
| N180 | 8044.5 ± 76.5 a | 12.8 ± 0.6 a | 188.5 ± 15.2 a | 27.9 ± 0.5 b | 88.6 ± 2.3 a | ||
| N210 | 8031.0 ± 195.0 a | 13.1 ± 1.0 a | 188.9 ± 9.2 a | 27.9 ± 0.9 b | 85.6 ± 3.8 a | ||
| Late rice | N0 | 6723.0 ± 294.0 c | 10.9 ± 0.4 c | 210.8 ± 11.2 b | 22.8 ± 0.4 a | 81.5 ± 7.6 a | |
| N120 | 7522.5 ± 177.0 b | 13.0 ± 0.2 b | 205.4 ± 5.5 b | 22.3 ± 0.5 a | 79.3 ± 3.7 ab | ||
| N160 | 8049.0 ± 198.0 b | 12.8 ± 0.3 b | 227.2 ± 6.9 a | 22.4 ± 0.3 a | 75.1 ± 4.0 b | ||
| N200 | 8277.0 ± 70.5 a | 13.5 ± 0.5 ab | 226.7 ± 4.3 a | 22.6 ± 0.4 a | 79.9 ± 5.3 ab | ||
| N240 | 8149.5 ± 138.0 ab | 14.3 ± 0.5 a | 221.1 ± 12.2 a | 22.2 ± 0.2 a | 75.8 ± 5.1 b | ||
| N280 | 8382.0 ± 96.0 a | 13.6 ± 0.2 ab | 218.5 ± 8.2 ab | 22.6 ± 0.1 a | 80.5 ± 4.6 a | ||
| ANOVA | N | * | ** | * | ns | ns | |
| Y | ns | ns | * | ns | ns | ||
| N × Y | ns | * | * | ns | ns | ||
| Treatments | N Input (kg N hm−2) | N Fate (kg N hm−2) | Ratio of N Fate (%) | NApp Recovery Rate (%) | NApp Residue Rate (%) | NApp Loss Rate (%) | |||||
|---|---|---|---|---|---|---|---|---|---|---|---|
| Nuptake | Nresidue | Nloss | Nuptake | Nresidue | Nloss | ||||||
| Early rice | N0 | 218.2 ± 5.2 f | 135.5 ± 2.7 e | 67.1 ± 3.2 f | 15.6 ± 1.1 e | 62.1 ± 0.8 a | 30.8 ± 0.9 a | 7.2 ± 0.2 c | - | - | - |
| N90 | 318.4 ± 4.0 e | 177.1 ± 4.3 d | 80.8 ± 3.4 e | 60.5 ± 3.3 d | 55.6 ± 0.8 b | 25.4 ± 0.8 c | 19.0 ± 1.3 b | 23.5 ± 1.8 c | 17.0 ± 3.7 d | 74.2 ± 3.7 a | |
| N120 | 350.4 ± 4.8 d | 183.6 ± 2.8 c | 91.9 ± 2.1 d | 74.8 ± 5.4 cd | 52.4 ± 1.5 c | 26.2 ± 0.3 bc | 21.3 ± 1.3 ab | 26.2 ± 1.4 bc | 27.0 ± 1.8 c | 79.1 ± 4.5 a | |
| N150 | 389.0 ± 4.5 c | 189.0 ± 1.5 b | 106.9 ± 5.4 c | 92.4 ± 9.1 bc | 48.7 ± 0.8 d | 27.5 ± 1.5 bc | 23.8 ± 2.2 ab | 28.3 ± 1.0 b | 37.2 ± 3.6 ab | 83.1 ± 6.0 a | |
| N180 | 424.4 ± 3.8 b | 197.3 ± 1.5 a | 116.0 ± 3.3 b | 98.1 ± 13.9 b | 46.5 ± 0.2 e | 27.3 ± 0.8 b c | 23.1 ± 3.3 ab | 31.3 ± 0.8 ab | 42.2 ± 1.8 a | 84.1 ± 7.7 a | |
| N210 | 460.1 ± 3.8 a | 206.4 ± 3.7 a | 126.8 ± 4.5 a | 120.4 ± 10.6 a | 43.7 ± 0.8 f | 27.6 ± 1.2 b | 26.2 ± 4.5 a | 34.4 ± 1.4 a | 47.1 ± 2.1 a | 87.0 ± 10.1 a | |
| Late rice | N0 | 218.0 ± 8.1 f | 129.1 ± 4.7 c | 72.0 ± 3.7 e | 16.9 ± 1.4 f | 59.2 ± 0.5 a | 33.0 ± 0.6 a | 7.7 ± 0.3 e | - | - | - |
| N120 | 351.6 ± 8.4 e | 192.22 ± 4.7 b | 97.3 ± 2.5 d | 59.3 ± 5.2 e | 54.7 ± 2.4 b | 27.7 ± 1.0 b | 16.8 ± 4.0 d | 32.8 ± 1.9 b | 26.0 ± 2.1 c | 71.5 ± 6.2 c | |
| N160 | 402.8 ± 7.2 d | 198.8 ± 3.4 ab | 101.5 ± 2.3 d | 102.4 ± 7.9 d | 49.4 ± 0.3 c | 25.2 ± 1.0 c | 25.4 ± 0.8 c | 35.1 ± 1.1 ab | 29.1 ± 1.4 c | 83.5 ± 1.2 b | |
| N200 | 457.7 ± 6.3 c | 205.8 ± 3.9 a | 118.0 ± 3.7 c | 133.9 ± 1.8 c | 45.0 ± 0.4 d | 25.8 ± 0.5 c | 29.3 ± 0.7 c | 37.3 ± 1.0 a | 39.0 ± 1.9 b | 87.4 ± 2.9 ab | |
| N240 | 506.8 ± 4.7 b | 205.1 ± 6.0 a | 128.2 ± 4.0 b | 173.5 ± 7.0 b | 40.5 ± 1.5 e | 25.3 ± 0.6 c | 34.2 ± 1.1 b | 37.1 ± 2.5 a | 43.8 ± 1.6 ab | 90.3 ± 2.9 a | |
| N280 | 557.7 ± 5.1 a | 205.0 ± 9.1 a | 137.9 ± 3.6 a | 214.8 ± 1.0 a | 36.8 ± 1.3 f | 24.7 ± 0.8 c | 38.5 ± 0.5 a | 37.1 ± 2.3 a | 47.8 ± 1.3 a | 92.1 ± 3.4 a | |
| Treatments | 0–20 cm (kg N ha−1) | 20–40 cm (kg N ha−1) | 40–60 cm (kg N ha−1) | 60–80 cm (kg N ha−1) | 80–100 cm (kg N ha−1) | 0–100 cm (kg N ha−1) | ||||||
|---|---|---|---|---|---|---|---|---|---|---|---|---|
| NH4+ | NO3− | NH4+ | NO3− | NH4+ | NO3− | NH4+ | NO3− | NH4+ | NO3− | NH4+ + NO3− | ||
| Early rice | N0 | 21.0 ± 1.7 d | 14.3 ± 1.6 d | 10.4 ± 0.6 c | 6.6 ± 0.5 d | 3.4 ± 0.6 b | 2.2 ± 0.3 b | 3.7 ± 0.4 a | 1.7 ± 0.1 d | 2.9 ± 0.2 b | 1.0 ± 0.2 b | 67.1 ± 3.2 f |
| N90 | 26.0 ± 2.3 c | 16.3 ± 1.4 d | 13.8 ± 1.2 b | 6.9 ± 0.4 cd | 4.0 ± 0.6 a | 2.7 ± 0.4 ab | 4.4 ± 0.5 a | 2.1 ± 0.1 c | 3.4 ± 0.3 a | 1.2 ± 0.2 b | 80.8 ± 3.3 e | |
| N120 | 28.8 ± 3.5 c | 23.9 ± 3.1 c | 15.3 ± 1.4 a b | 7.7 ± 0.5 c | 3.5 ± 0.4 b | 2.9 ± 0.4 a b | 3.8 ± 0.3 a | 2.2 ± 0.2 c | 2.9 ± 0.3 b | 1.0 ± 0.1 b | 91.9 ± 2.1 d | |
| N150 | 34.5 ± 1.9 b | 31.2 ± 2.2 b | 15.7 ± 1.3 ab | 8.7 ± 0.7 b c | 3.7 ± 0.6 ab | 3.1 ± 0.4 a | 3.8 ± 0.4 a | 2.4 ± 0.1 b c | 2.9 ± 0.2 b | 1.2 ± 0.3 b | 106.9 ± 5.4 c | |
| N180 | 38.3 ± 2.2 ab | 34.5 ± 2.4 ab | 15.6 ± 1.1 ab | 9.0 ± 0.4 b | 3.9 ± 0.4 a | 3.2 ± 0.4 a | 4.1 ± 0.3 a | 2.6 ± 0.2 a b | 3.1 ± 0.2 ab | 1.4 ± 0.1 ab | 116.0 ± 3.3 b | |
| N210 | 40.7 ± 2.4 a | 38.6 ± 2.8 a | 17.3 ± 2.0 a | 10.7 ± 0.6 a | 4.2 ± 0.4 a | 3.3 ± 0.3 a | 4.2 ± 0.1 a | 2.9 ± 0.3 a | 3.2 ± 0.2 ab | 1.7 ± 0.2 a | 126.8 ± 4.5 a | |
| Late rice | N0 | 22.4 ± 2.7 d | 12.9 ± 1.7 d | 10.9 ± 0.5 d | 7.3 ± 0.4 d | 4.3 ± 0.6 b | 2.8 ± 0.4 c | 4.5 ± 0.5 b | 2.1 ± 0.1 d | 3.5 ± 0.2 b | 1.3 ± 0.2 c | 73.3 ± 4.4 e |
| N120 | 28.9 ± 3.3 c | 16.5 ± 2.0 d | 13.8 ± 0.5 c | 9.3 ± 1.0 c | 5.5 ± 0.6 ab | 3.4 ± 0.5 bc | 5.6 ± 0.6 a | 2.6 ± 0.1 c | 4.3 ± 0.2 a | 1.6 ± 0.2 bc | 97.3 ± 2.5 d | |
| N160 | 32.9 ± 3.1 bc | 21.1 ± 3.0 c | 14.5 ± 0.5 c | 9.5 ± 1.0 c | 4.9 ± 0.5 ab | 3.7 ± 0.5 abc | 4.7 ± 0.5 b | 2.8 ± 0.1 b c | 3.6 ± 0.2 a | 1.3 ± 0.1 c | 101.5 ± 2.3 d | |
| N200 | 35.0 ± 2.8 ab | 31.5 ± 2.4 b | 15.7 ± 0.5 bc | 10.8 ± 1.0 c | 5.1 ± 0.6 a | 3.9 ± 0.5 ab | 4.9 ± 0.5 a b | 3.1 ± 0.2 b | 3.8 ± 0.3 b | 1.4 ± 0.2 c | 118.2 ± 3.7 c | |
| N240 | 37.3 ± 3.0 ab | 34.8 ± 2.5 ab | 17.5 ± 1.7 a b | 13.0 ± 0.8 b | 5.5 ± 0.4 a | 4.3 ± 0.5 ab | 5.3 ± 0.6 a | 3.4 ± 0.2 a | 4.0 ± 0.3 a b | 1.8 ± 0.2 ab | 128.5 ± 4.0 b | |
| N280 | 39.9 ± 1.3 a | 37.5 ± 1.9 a | 18.8 ± 1.6 a | 14.9 ± 0.8 a | 5.8 ± 0.4 a | 4.6 ± 0.5 a | 5.7 ± 0.5 a | 3.7 ± 0.2 a | 4.3 ± 0.3 a | 2.0 ± 0.2 a | 138.6 ± 3.9 a | |
| Treatments | Nuptake | Ndff | Ndfs | N Residue Rate | Nrecovery Efficiency | N Loss Rate | Ndff Contribution | Ndfs Contribution | |
|---|---|---|---|---|---|---|---|---|---|
| kg N hm−2 | % | ||||||||
| Early rice | N0 | 125.5 ± 4.4 b | -- | 125.5 ± 4.4 b | -- | -- | -- | -- | -- |
| N90 | 197.9 ± 7.8 a | 23.3 ± 0.6 c | 174.6 ± 2.9 a | 25.2 ± 1.7 a | 11.8 ± 0.5 c | 63.0 ± 3.4 a | 19.4 ± 0.6 a | 80.6 ± 0.6 a | |
| N120 | 205.3 ± 4.1 a | 28.8 ± 0.3 b | 176.5 ± 2.9 a | 21.7 ± 1.3 a | 14.0 ± 0.8 b | 64.3 ± 4.1 a | 18.0 ± 2.1 a | 82.0 ± 2.1 a | |
| N150 | 209.5 ± 7.6 a | 36.1 ± 0.8 a | 173.4 ± 4.6 a | 25.2 ± 1.2 a | 17.2 ± 1.0 a | 57.6 ± 4.6 a | 18.1 ± 0.8 a | 82.0 ± 0.8 a | |
| N180 | 206.1 ± 9.8 a | 38.9 ± 0.9 a | 167.2 ± 5.3 a | 25.0 ± 0.9 a | 18.9 ± 1.5 a | 56.1 ± 3.4 a | 16.1 ± 1.0 a | 83.8 ± 1.0 a | |
| N210 | 207.3 ± 8.7 a | 35.6 ± 0.8 a | 171.7 ± 2.8 a | 24.2 ± 1.3 a | 17.2 ± 3.3 a | 58.6 ± 3.9 a | 12.7 ± 2.6 b | 87.3 ± 2.6 a | |
| Late rice | N0 | 134.2 ± 2.7 d | - | 134.2 ± 2.7 b | - | - | - | - | |
| N120 | 175.1 ± 4.8 c | 16.2 ± 0.9 c | 158.9 ± 3.8 a | 35.2 ± 1.1 a | 9.3 ± 0.5 c | 55.6 ± 3.6 a | 18.0 ± 0.9 a | 82.0 ± 0.9 a | |
| N160 | 182.3 ± 2.6 bc | 20.9 ± 0.6 b | 161.4 ± 5.4 a | 30.2 ± 1.0 b | 11.5 ± 1.2 b | 58.4 ± 4.1 a | 17.4 ± 1.3 ab | 82.6 ± 1.3 a | |
| N200 | 192.8 ± 5.4 ab | 24.7 ± 1.2 ab | 168.1 ± 5.3 a | 29.6 ± 1.1 b | 12.8 ± 1.6 ab | 57.6 ± 3.1 a | 16.5 ± 0.4 ab | 83.5 ± 1.2 a | |
| N240 | 193.6 ± 6.9 ab | 27.7 ± 1.6 a | 165.9 ± 5.6 a | 29.6 ± 1.6 b | 14.3 ± 2.4 a | 56.1 ± 2.9 a | 15.4 ± 1.2 b | 84.6 ± 1.4 a | |
| N280 | 209.5 ± 8.8 a | 29.9 ± 1.5 a | 179.6 ± 1.7 a | 30.9 ± 0.8 b | 14.3 ± 4.3 a | 54.9 ± 3.6 a | 14.2 ± 2.6 b | 85.8 ± 2.6 a | |
Disclaimer/Publisher’s Note: The statements, opinions and data contained in all publications are solely those of the individual author(s) and contributor(s) and not of MDPI and/or the editor(s). MDPI and/or the editor(s) disclaim responsibility for any injury to people or property resulting from any ideas, methods, instructions or products referred to in the content. |
© 2023 by the authors. Licensee MDPI, Basel, Switzerland. This article is an open access article distributed under the terms and conditions of the Creative Commons Attribution (CC BY) license (https://creativecommons.org/licenses/by/4.0/).
Share and Cite
Cao, X.; Qin, B.; Ma, Q.; Zhu, L.; Zhu, C.; Kong, Y.; Tian, W.; Jin, Q.; Zhang, J.; Yu, Y. Predicting the Nitrogen Quota Application Rate in a Double Rice Cropping System Based on Rice–Soil Nitrogen Balance and 15N Labelling Analysis. Agriculture 2023, 13, 612. https://doi.org/10.3390/agriculture13030612
Cao X, Qin B, Ma Q, Zhu L, Zhu C, Kong Y, Tian W, Jin Q, Zhang J, Yu Y. Predicting the Nitrogen Quota Application Rate in a Double Rice Cropping System Based on Rice–Soil Nitrogen Balance and 15N Labelling Analysis. Agriculture. 2023; 13(3):612. https://doi.org/10.3390/agriculture13030612
Chicago/Turabian StyleCao, Xiaochuang, Birong Qin, Qingxu Ma, Lianfeng Zhu, Chunquan Zhu, Yali Kong, Wenhao Tian, Qianyu Jin, Junhua Zhang, and Yijun Yu. 2023. "Predicting the Nitrogen Quota Application Rate in a Double Rice Cropping System Based on Rice–Soil Nitrogen Balance and 15N Labelling Analysis" Agriculture 13, no. 3: 612. https://doi.org/10.3390/agriculture13030612
APA StyleCao, X., Qin, B., Ma, Q., Zhu, L., Zhu, C., Kong, Y., Tian, W., Jin, Q., Zhang, J., & Yu, Y. (2023). Predicting the Nitrogen Quota Application Rate in a Double Rice Cropping System Based on Rice–Soil Nitrogen Balance and 15N Labelling Analysis. Agriculture, 13(3), 612. https://doi.org/10.3390/agriculture13030612

