Next Article in Journal
Developing Early Morning Flowering Version of Rice Variety CO 51 to Mitigate the Heat-Induced Yield Loss
Next Article in Special Issue
Biopesticide Consumption in India: Insights into the Current Trends
Previous Article in Journal
Potential of Brackish Groundwater for Different Biosaline Agriculture Systems in the Brazilian Semi-Arid Region
Previous Article in Special Issue
Unravelling the Recent Developments in the Production Technology and Efficient Applications of Biochar for Agro-Ecosystems
 
 
Font Type:
Arial Georgia Verdana
Font Size:
Aa Aa Aa
Line Spacing:
Column Width:
Background:
Article

Investigating the Potential of Arbuscular Mycorrhizal Fungi in Mitigating Water Deficit Effects on Durum Wheat (Triticum durum Desf.)

1
Faculty of Life and Nature Sciences, Mohamed El Bachir El Ibrahimi University, Bordj Bou Arreridj 34000, Algeria
2
Higher National School of Forests, Khenchela 40000, Algeria
3
Department of Environmental Management, Peoples’ Friendship University of Russia (RUDN University), 117198 Moscow, Russia
4
Laboratory of Improvement of the Phytosanitary Protection Techniques in Mountainous Agrosystems (LATPPAM), Agronomy Department, Institute of Veterinary and Agricultural Sciences, Batna 1 University, Batna 05000, Algeria
*
Author to whom correspondence should be addressed.
Agriculture 2023, 13(3), 552; https://doi.org/10.3390/agriculture13030552
Submission received: 5 February 2023 / Revised: 20 February 2023 / Accepted: 23 February 2023 / Published: 24 February 2023
(This article belongs to the Special Issue Plant–Soil–Microbe Interactions for Sustainable Crop Production)

Abstract

Wheat is one of the main staple cereal crops worldwide. However, drought-induced stress is one of the factors limiting wheat productivity, especially in arid and semi-arid regions. The present study aims to investigate the influence of arbuscular mycorrhizal fungi (AMF) on wheat plant growth under water-deficit conditions. Three Algerian durum wheat varieties—Mohamed Ben Bachir (MBB), Boussellem (BS) and Waha (W)—were grown with (+AMF) or without (−AMF) under water-deficit and non-stress conditions. Morphological, physiological, and biochemical responses to AMF inoculation under water deficit were quantified. The results showed improved morphological parameters (height of the aerial part (HAP), internode length (LIN), aerial part dry weight (APDW), root dry weight (RDW), length of the ear (LE)), and chlorophyll content in AMF-inoculated plants under water-deficit conditions compared to control plants (−AMF). Moreover, soluble protein content (SPC) and membrane stability index (MSI) significantly increased with AMF inoculation under water deficit by 18% and 10%, respectively, while the proline content decreased after AMF inoculation. In addition, the water deficit significantly increases peroxidase (POD), ascorbate peroxidase (APX), and catalase (CAT), but +AMF decreases them considerably in all studied varieties. The results suggest that AMF inoculation can lead to optimized durum wheat production under arid and semi-arid conditions and provide a basis for further studies on its effects under field conditions.

1. Introduction

Durum wheat (Triticum durum Desf.) is an economically important cereal crop. Its production is restricted geographically, especially in the Mediterranean basin (Southern Europe, Middle East, and North Africa) and North America (Central Canada and the North-West of the U.S.A.), where a quarter of the world’s wheat is produced. There is little durum wheat production in central Europe (ex U.S.S.R.) and Argentina [1]. From 2013 to 2018, Italy, Algeria, Morocco, the United States, and Japan were the top five importing countries of Canadian durum wheat [1]. In Algeria, durum wheat occupies an essential place with a significant proportion in the whole agricultural system. In 2020 the harvest area was 1.8 million ha with a yield of 1.68 t/h−1, i.e., a production of 3.1 million tonnes, which is far from the standard needed to achieve self-sufficiency [2].
Low yields are associated with climate change, which affects durum wheat production significantly [3]. Therefore, controlling the production of durum wheat is difficult since it remains confronted with several constraints (drought, poor control of the technical itinerary, etc.) [4]. In Algeria, drought is the limiting factor in the production of durum wheat since almost all cereal-producing areas are in arid and semi-arid zones [3].
The negative effect of drought stress on morphology, physiology, and biochemical processes in plants has been reported in many studies. Under drought stress, the relative water content decreases, thus affecting membrane stability and photosynthetic activity, causing increased generation of reactive oxygen species (ROS), lesions membrane, and oxidative damage to cellular biomolecules, such as lipids and proteins [5,6]. Therefore, the response of a plant to drought stress results in a set of modifications that affects the morphological characteristics as a reduction in leaf area, physiologically by reducing transpiration rate and biochemical activities such as osmotic adjustment [7]. In addition, plants use efficient ROS scavenging mechanisms such as enzymatic and non-enzymatic chemical antioxidant systems. Enzymes such as superoxide dismutase, catalase, and peroxidase play an essential role in maintaining the redox balance and defense response in plants exposed to abiotic and biotic stresses [8,9].
In the previous works, several ways to deal with the water-stress deficit in durum wheat have been reported, such as breeding programs, nutrient management, seed priming, etc. [10,11,12]. Breeding for crop drought resistance has been a vital area of research in the past several decades [13]. More so, agroecological models and some agricultural practices are also applied to optimize the water use efficiency in the agroecosystems [14,15,16,17,18]. In addition, arbuscular mycorrhizal fungi can be used as a sustainable way to mitigate the negative effect of drought stress for many crops [19,20]. Indeed, arbuscular mycorrhizal fungi (AMF) are associated with the roots of more than 80% of vascular plants [21]. Several studies have shown that arbuscular mycorrhizal fungi (AMF) play a pivotal role in plant adaptations, especially Poaceae, to survive in the event of severe biotic and abiotic stresses; by providing their host plants with some beneficial characteristics (morphophysiological and biochemical modifications; ability to develop under minimum nutritional conditions (N, P), increase their absorption, tolerance to drought by the production of osmotica such as proline and mannitol [22,23,24]. AMF improves the absorption of water and mineral elements in the plant and increases the tolerance ability to salinity and many toxic elements through the production of certain organic acids and other compounds [25,26].
In this study, the drought resistance of three Algerian durum wheat varieties (Mohamed Ben Bachir, Boussellem, and Waha) was investigated. These varieties are the most popular and widely cultivated in Algeria because of their agronomic potential and their adaptation to arid and semi-arid conditions [27,28,29]. However, the association of these varieties with arbuscular mycorrhizal fungi is poorly understood; thus, research related to drought tolerance study of these varieties using arbuscular mycorrhizal fungi is a necessity to learn about wheat farming management under arid and semi-arid conditions as well as to determine potential sources of resistance to abiotic stress factors that can be incorporated in advanced breeding programs. Therefore, the objectives of the present study were to study how these varieties show their morphological, physiological, and biochemical responses under water deficit and to assess the effect of AMF inoculation on their drought tolerance capacity.

2. Material and Methods

2.1. Plant Material

Three durum wheat varieties, Mohamed Ben Bachir (MBB), Boussalem (BS), and Waha (W), were investigated in the current study. The harvest took place during the 2020/2021 season at the experimental station of the technical institute of field crops (Institut Technique des Grandes Cultures, I.T.G.C.) situated in Sétif 36°08′ N and 5°20′ E (Eastern Algeria). The varieties used are listed according to the official catalog of the ITGC and ICARDA (International Center of Agricultural Research in Dry Areas) while the seeds were provided by the experimental station of I.T.G.C.

2.2. Soil Characteristics Used in the Experiment

The soil used for this experiment was sampled from a plot of durum wheat, on a private farm located within a cereal-growing area with a semi-arid bioclimatic floor, at geographical coordinates 35°58′47″ N and 4°44′51″ E and at an altitude of 862 m. The samples were collected at a depth of 30 cm from the rhizosphere. The sampled soil was characterized by a clayey texture and low organic matter (OM) content of 1.6%
The pH is alkaline with an average value of 8.35, the total nitrogen content was 1.6 g kg−1, and the phosphorus content was 155.6 mg kg−1. Dried in the open air and the shade, the soil was placed in 1 kg pots (diameter: 14/15 cm and height: 9 cm) with four treatments per variety and three repetitions, 36 pots.

2.3. AMF Soil Inoculation

The fungal inoculum used was Symbivit® PRO (Symbiom, Lanškroun, Czech Republic). The product contains spores and mycelial fragments of six different species of arbuscular mycorrhizal fungi: Claroideoglomus etunicatum (W.N. Becker & Gerd.) C. Walker & A. Schüßler; Glomus microaggregatum Koske, Gemma & P.D. Olexia; Rhizophagus intraradices (N.C. Schenck & G.S. Sm.) C. Walker & A. Schüßler; Claroideoglomus claroideum (N.C. Schenck & G.S. Sm.) C. Walker & A. Schüßler; Funneliformis mosseae (T.H. Nicolson & Gerd.) C. Walker & A. Schüßler and Funneliformis geosporus (T.H. Nicolson & Gerd.) C. Walker & A. Schüßler, as well as very small fragments of mycorrhizal roots. These fungal species are naturally present in European soils. Concentration: minimum number of fungal propagules: (1000 propagules/g).
In addition, the product contains inert substrates: expanded clay at 500 g/kg (brown particles, fraction: 0–1 mm); clinoptilolite clay (zeolite) at 500 g/kg (green particles, fraction: 0–1 mm); traces of keratin, dolomite, phosphates, patentkali and marine organisms. It is formulated with a minimum concentration of 1000 propagules/g [30].
The inoculation was applied the same day as the transfer of the germinated seeds to the pots carrying 1 kg of soil by introducing into 2/3 of its upper part, 2 g of inoculum/pot [31].

2.4. Wheat Seed Sterilization and Germination

Before the germination test, sterilization was carried out by soaking the seeds for 10 min in 1% sodium hypochlorite solution; seeds were then rinsed three times using sterilized distilled water [32].
The seeds were germinated in boxes on damp absorbent paper using the between-paper method, under a temperature of 27 °C [32]. After that, it was transferred to the soil at five seeds per pot and placed in a greenhouse at the nursery.

2.5. Water Stress Application

The irrigation of plants was carried out regularly three times a week until the heading stage. At this stage, the water stress is applied by stopping the irrigation until obtaining a level of water stress of 40% after field capacity calculation. To carry out this effectively, we weighed pots containing 1 kg of the dry soil used in the experiment, W1 (W1 = Weight of dry soil). Furthermore, we irrigated them until saturation while covering the pots with black plastic to prevent water evaporation from the surface. After 48 h of rest, the pots are weighed again, W2 (W2 = Weight at saturation). The difference between W2 and W1 is the amount of water retained by the soil. The Field Capacity (FC) was estimated by the following Equation (1):
FC = 100 (W2 − W1)/W1

2.6. Measurements

To determine the effect of wheat inoculation by AMF under water stress, morphological and biochemical parameters were measured after eight weeks from the start of the experiment.

2.6.1. Plant Growth

The height of the aerial part (HAP/cm): was measured from ground level to the base of the ear using a graduated ruler. The internode length (LIN/cm): was measured from the last knot to the second knot using a graduated ruler. Aerial part dry weight (APDW/g): Aerial part dry weight was measured after drying in an oven for 48 h at 60 °C. Root dry weight (RDW/g): root dry weight was measured after drying the roots for 48 h in an oven at 60 °C, to obtain the weight of plant material, the purpose of which was to see the amount of dry matter storage. The length of the ear (LE/cm): was measured from the base of the ear to the upper end of the ear, including the awns.

2.6.2. Chlorophyll Content Determination

The total chlorophyll content was determined according to Torrecillas et al., 1984 [33]. We placed 200 mg of cutting leaves in tubes to which 5 mL of concentrated acetone solution (80%) was added. After 72 h in the dark at 4 °C, the optical density of the extract was measured at 665 nm and 649 nm wavelengths. The total chlorophyll content was calculated according to the following Equation (2):
Chl (mg/g MF (Fresh Material)) = 6.45 × (DO 665) + 17.72 × (DO 649)

2.6.3. Proline Estimation

The proline content was determined using an acid ninhydrin reagent. A weighed of 200 mg was poured into 5 mL of distilled water and kept for 10 min in a water bath at a temperature of 100 °C. Then, 2 mL of glacial acetic acid and 2 mL of ninhydrin reagent were poured into a clean test tube, and 2 mL of the prepared extract was added. The samples were incubated for 20 min in a water bath at a temperature of 100 °C. Then they were quickly cooled to room temperature. The optical density of the reaction products was measured at a wavelength of 520 nm using a spectrophotometer. Proline content values were calculated using a calibration curve by analytically pure proline [34].

2.6.4. Membrane Stability Index Measurement

The membrane stability index (MSI) was measured according to Sairam et al., 2002 [35]. We washed 100 mg of leaf samples in double distilled water and placed this in two separate tubes containing 10 mL of distilled water. One tube was kept at 40 °C for 30 min in boiling water bath, then electrical conductivity was calculated (EC2). The second tube was heated for 15 min at 100 °C in a water bath and electrical conductivity was measured (EC2). The electrical conductivity of both tubes was calculated by using a conductivity meter. The equation given below was used for calculating leaf MSI.
MSI (%) = [1 − (EC1/EC2)] × 100

2.6.5. Soluble Protein Concentrations Determination

The soluble protein contents were determined by incubating 50 mg of leaf fresh matter in 5 mL of extraction buffer of sodium phosphate. Then, the mixture was centrifuged at 2000× g for 15 min. Bovine serum albumin was used as the standard and the absorbance values were recorded spectrophotometrically at 595 nm [36].

2.6.6. Determination of Antioxidants Enzymes

The catalase activity was measured according to the method demonstrated by Goth, 1991 [37]. While, the ascorbate peroxidase activity was assessed according to methodological recommendations of Nakano and Asada, 1981 [38]. However, peroxidase activity was evaluated according to the method illustrated by Popov and Neykovskaya, 1971 [39].

2.6.7. AMF Root Colonization Measurement

Roots were stained using the technique described by Phillips and Hayman 1970 [40] to visualize the structure of AMF and to identify the taxa in the examined root tissues of studied durum wheat plants. To detect root colonization by AMFs, three root systems from each treatment were examined. The percentage of AMF colonization was measured by the method of McGonigle et al., 1990 [41], using the Equation (4). The rate of arbuscules (A), vesicles (V), and hyphae (H) was calculated using the Equations (5)–(7), respectively.
Root Colonization (%) = 100 × (G − p)/G
Rate of arbuscules A (%) = 100 × (q + s)/G
Rate of vesicles V (%) = 100 (r + s)/G
Rate of hyphae H (%) = 100 × t/G
p: no fungal structure, q: the presence of arbuscules, r: presence of vesicles, s: the presence of arbuscules and vesicles, t: the presence of hyphae, G: number of intersections observed.

2.7. Statiscal Analysis

The height of the aerial part (HAP), the internode length (LIN), the aerial part dry weight (APDW), the root dry weight (RDW), the length of the ear (LE), total chlorophyll, proline contents, and enzymatic activity were determined in each variety according to the applied treatment. Furthermore, the calculation of means, standard error of the mean (SEM), and statistical analysis were performed using Statview 4.02 software (Abacus Concepts Inc., Berkeley, CA, USA). Values for each variable were expressed as the mean ± SEM. Variables used for comparison purposes were the treatments according to the three tested varieties. Consequently, the differences between treatments were assessed using one-way ANOVA, followed by post hoc Fisher’s test. Values were considered significant when p < 0.05.

3. Results

3.1. Effect of the Tested Treatments on the Morphological Parameters

The obtained results showed that the highest value of morphological parameters was achieved when the AMF inoculation was applied under water-deficit and non-water-deficit conditions compared to the non-inoculated plants (Table 1).
The results showed that the tested treatments had a significant effect on the height of the aerial part (HAP), the internode length (LIN), the aerial part dry weight (APDW), and the length of the ear (LE) (p ≤ 0.005, p ≤ 0.001, p ≤ 0.005 and p ≤ 0.005), respectively. However, the tested treatments did not have a significant effect on the root dry weight (RDW) (p = 0.2). It has been shown that the variety affected only the internode length (LIN) and the root dry weight (RDW) since the p-value was p ≤ 0.001, and p ≤ 0.001, respectively. Furthermore, the analysis carried out revealed that the interaction “variety-treatments” was significant only on the height of the aerial part (HAP) (p ≤ 0.001), internode length (LIN) (p ≤ 0.001), and the length of the ear (LE) (p ≤ 0.005) (Table 1). The results showed that under water-deficit conditions, AMF inoculation improve the morphological parameters for all investigated varieties.

3.2. Effect of the Tested Treatments on the Chlorophyll and Proline Contents

Data in Table 2 shows the chlorophyll and proline contents in the three studied durum wheat varieties according to the tested treatments. The obtained results showed that the highest total chlorophyll contents under water-deficit conditions were observed with the inoculated varieties. The higher values were recorded for the Mohamed Ben Bachir variety (43.34 ± 6.42 mg/g MF), followed by Waha and Boussellem with 42.94 ± 1.21 and 42.67 ± 1.52 mg/g MF, respectively. However, the lower chlorophyll content was observed under water-deficit conditions without AMF inoculation for all studied durum wheat varieties. In addition, the treatment had a significant effect on the chlorophyll content (p ≤ 0.005), whereas no significant difference was observed regarding the investigated varieties when the p value was p = 0.5 (Table 2).
The proline content is variable when the highest values were recorded with the non-inoculated stressed treatments being 6.28, 9.02, and 8.33 Μm/g MF for Mohamed Ben Bachir, Boussellem, and Waha varieties, respectively, while the lowest values were registered with the inoculated non-stressed treatments were 1,67 Μm/g MF with the Mohamed Ben Bachir and Waha varieties and 1.33 Μm/g MF with the Boussellem variety. Under water-deficit conditions, an important accumulation of leaf proline content was observed, which has decreased by the AMF inoculation
The analysis of variance showed that the tested treatment had a significant effect on proline content for all studied varieties p ≤ 0.005, while the effect of variety and the interaction variety*treatment were not significant on proline content, since p-value was 0.1 and 0.3, respectively. The chlorophyll content with all studied varieties increases by inoculating AMF under water-deficit conditions. However, proline content decreases, which indicates that osmotic stress has decreased.

3.3. Effect of the Tested Treatments on the Soluble Protein Content and Membrane Stability Index

AMF inoculation increased soluble protein content (SPC) in wheat leaves under non-stress and stress conditions. Under water deficit, the soluble protein content (SPC) increased significantly with AMF inoculation by 9.4 mg/g for the MBB variety, 9.5 mg/g for the BS variety and 9.6 mg/g for the Waha variety compared to non-inoculated plants (Figure 1). Moreover, under water-deficit conditions and AMF inoculation, the membrane stability index (MSI) of wheat leaves was improved by 9.1%, 9% and 8.8% for MBB, BS and Waha varieties, respectively compared to treatment without AMF inoculation under the same conditions (Figure 2). The results showed that AMF enhances soluble protein content and membrane stability index under water-stress conditions.

3.4. Effect of the AMF Inoculation on the Enzymatic Activity of Wheat

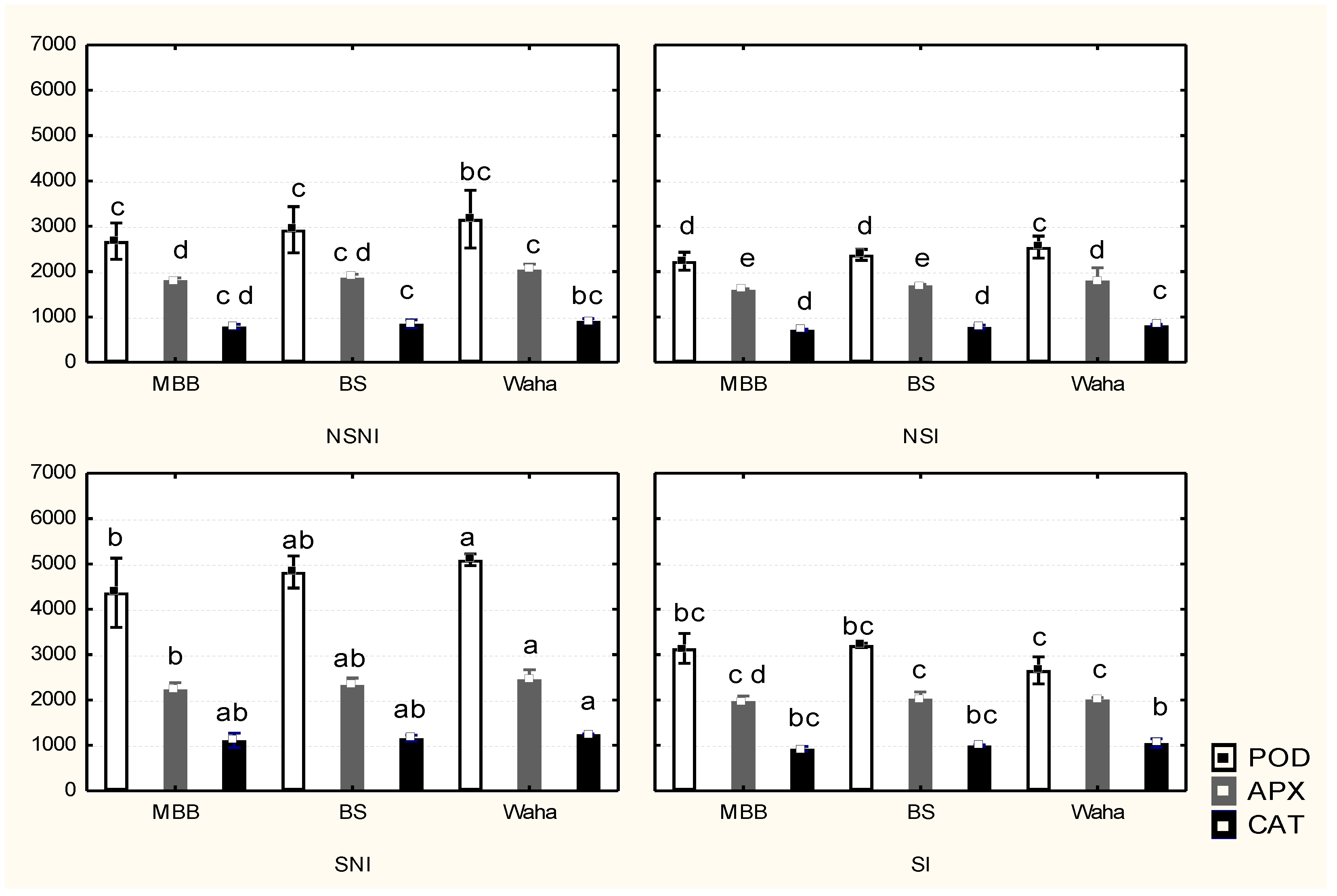
Under water deficits, the peroxidase (POD), ascorbate peroxidase (APX), and catalase (CAT) increased in all studied wheat varieties. However, Figure 3 demonstrated that the AMF inoculation significantly decreased the enzymatic activity in the studied variety when water deficit was applied. The peroxidase decreased by 32%, 27%, and 44% for Mohamed Ben Bachir (MMB), Boussellem (BS), and Waha varieties, respectively. Ascorbate peroxidase (APX) and catalase (CAT) also experienced a decrease upon inoculation with AMF.
The relationships between the enzymatic activity (peroxidase (POD), ascorbate peroxidase (APX), and catalase (CAT)), soluble protein content (SPC), and membrane stability index (MSI) were demonstrated in Figure 4. The results showed that the SPC and MSI decreased with increased enzymatic activity, which is expressed by very strong negative associations since R varied from −0.88 to −0.95.

3.5. Wheat Root Colonization Rate by AMF According to the Tested Treatments

The results of the current study showed that after 75 days, the roots were colonized by AMF. The purpose of this was to confirm the presence of AMF in the root system of wheat after their inoculation. The Figure 5 demonstrates the different structures (arbuscular and vesicle) of arbuscular mycorrhizal fungi (AMF) by using an optical microscope.
The highest AMF colonization rates were recorded with the inoculated stressed treatments at 54.73%, 60.98%, and 50.30% for Mohamed Ben Bachir, Boussellem, and Waha varieties, respectively. More so, the non-inoculated stressed treatments gave the lowest values 15.04 registered by the Mohamed Ben Bachir variety, 16.43 by the Boussellem variety, and 12.18 demonstrated by the Waha variety. These supports the morphological, physiological, and biochemical results recorded on the different treatments.
The ANOVA analysis (Table 3) showed that the factor “treatment” had a highly significant effect on all the variables measured, and the effect of the factor “variety” was significant only for the TCR and the HGR. However, the interaction “variety*treatment” was non-significant on all studied variables.

4. Discussion

Water stress is a limiting factor for plant development, especially in arid and semi-arid regions where it leads to a significant reduction in plant biomass production [42]. It affects total yield and plant distribution [43] by reducing plant height, shoot dry weight and root dry weight, germination rate, and plant growth in various crops [44,45]. In wheat, water stress can lead to a reduction in several growth traits such as dry weight, leaf number, leaf area, plant height, and stem diameter [46]. However, AMF–plant interaction could alleviate water-stress-induced reduction in plant health, performance, leaf area, and biomass together with improved root-to-shoot dry mass ratio [47,48,49]. In addition, Gholamhoseini et al., 2013 [50] reported that morphological characteristics of plants, such as root size, leaf area, and biomass, might be improved under drought by the symbiotic relationship between plants and AMF.
Overall, our results indicate that AMF inoculation increases wheat growth potential under water deficit. In fact, under drought stress conditions, AMF treatments improved plant height, internode length, length of the ear, dry mass of the aerial part, and root dry weight compared to the uninoculated treatments. Our results were similar to previous studies which found that AMF increased plant growth [51,52]. Similarly, Rani et al., 2018 [53] reported a significant improvement in AMF on wheat plant height, number of productive tillers, spike length, number of spikelets, grain/spike, and grain weight/spike under both irrigated and drought stress condition observed.
Total chlorophyll is considered an important indicator of plant tolerance to water stress [54], and plant photosynthesis performance is directly affected by chlorophyll content [55]. However, many researchers have demonstrated that water deficit significantly reduces the total chlorophyll content of different crops [56,57]. In the present study, the results showed that AMF inoculation increased the chlorophyll content significantly in all the studied durum wheat varieties under water-deficit conditions. It is probably due to the effect of AMF on improving growth-related functions of the plant, such as PSII efficiency and CO2 plant assimilation, stomatal conductance, leaf water potential, and relative water content. Our results follow those obtained by Bhosale and Shinde in 2011 [58], who demonstrated that chlorophyll content in mycorrhizal Zingiber officinale plants recorded more than non-mycorrhizal plants under water-stress conditions.
Proline is an important molecule that serves as an osmoprotectant and a nutritional source [59]. According to Dar et al., 2016 [60], excessive proline production is common in stressed plants. Cochin et al., 2006 [61] demonstrated that the increase in proline content is directly related to presence of water stress. Proline enables plant tolerance to water stress by developing an antioxidant system, which can influence osmotic adjustment [62]. The present study shows that proline level increased significantly when a water deficit was applied. It proves and confirms that a water deficit has been established.
Furthermore, under osmotic stress caused by drought, plants undergo biochemical changes that assist in the escalated secretion of osmolytes such as proline. Several researchers, reported that proline content decreased in the plants inoculated with AMF under water-stress conditions [63,64] which is due to the increased capacity for osmotic adjustment compared to the non-inoculated plants, since AMF have shown promising effects in enhanced water and nutrients uptake by host roots [65,66]. Our results agree with those reported by Sebbane and Hafsa in 2020 [59], which found a lower proline content in three durum wheat varieties experimentally inoculated by AMF.
Drought stress considerably decreases soluble protein content in the leaf [67]. In the present study, the lower soluble protein contents, were found under water-deficit conditions. Furthermore, the highest values, were registered with AMF inoculation in all studied varieties. The improvement of soluble protein content by AMF under water-deficit conditions has been reported in several reports [68,69].
Our results demonstrate that with AMF inoculum, the enzymatic activity of wheat varieties exposed to water deficit decreases. This is probably due to the weak oxidative damage that occurred in the inoculated plants, which can be explained by the absorption of water through the AMF hyphae and its transfer to the host plant, then decreasing the generation of reactive oxygen species (ROS). These findings are in accordance with those of Caravaca et al., 2005 [70]. The authors found that non-inoculated plants of Myrtus communis and Phillyrea angustifolia under drought conditions increased their enzymatic activity when compared to inoculated plants because the latter had lesser oxidative stress. Moreover, under water deficit, we observed that the proline content decreased significantly with AMF inoculation compared to non-inoculated plants, supporting the hypothesis of low oxidative damage with AMF inoculation, since proline is a direct indicator of oxidative stress [71].
The root AMF colonization is an important index to assess its infection degree in host plants [72]. In our study, the non-inoculated wheat plant recorded a notable reduction of root AMF colonization under drought stress as compared to those cultivated under non-water-stress conditions. These finding are in accordance with those reported in many researches [73,74]. However, under water-stress deficit, the results showed that root colonization by AMF increased in the inoculated wheat plant compared to the inoculated plants grown under normal conditions, which is explained by a better ability of AMF species used in the present investigation to colonize wheat roots under water stress, since some fungal species are able to adapt to water-deficit conditions more than others [75]. These findings are in accordance with the results of an experiment conducted by Jerbi et al., 2022 [76]. The authors revealed that under water-stress conditions the native AMF species such as Pacispora franciscana, Funneliformis mosseae, F. geosporum, Rhizophagus irregularis and Glomus tenebrosum induced the higher colonization rates in barley plant compared to other species. Similarly, F. mosseae, F. geosporum and Rhizophagus irregularis were used in the current study. In addition, Marulanda et al., 2003 [77] investigated the effect of six AMF species on the root colonization under water-stress conditions and explained that the quantity of external mycelium generated by each AMF such as Funneliformis mosseae, F. geosporum and Rhizophagus irregularis, allows them to use more soil volume, which leads to better contact with plant roots.
Biotic and abiotic stresses are shown to affect wheat crops, causing critical damage [78,79], and one of the strategies adopted was to enhance the resistance of wheat cultivars, especially against drought, by developing continuously new wheat varieties adaptable to the soil and specific climatic conditions in different regions [80]. The present study investigated three durum wheat varieties to understand their responses to water stress. The Mohammed Ben Bachir variety demonstrated a high tolerance level to water stress expressed by morphological, physiological, and biochemical parameters. Many authors previously reported this genetic performance. David, 2009 [81] wrote that the Mohammed Ben Bachir variety revealed notable osmotic adjustment capacity, which affirms that this variety can resist water stress. Furthermore, Merouche et al., 2014 [82] noted that the Mohammed Ben Bachir variety was the most resistant to drought when investigating the response of six Algerian durum wheat varieties to water in Algerian semi-arid conditions. In the present study, under water-stress conditions and without AMF inoculation MBB variety showed lower enzymatic activity, which allowed us to confirm that this variety is more resistant to water deficit since antioxidant enzyme activities have been reported to increase by increasing the generation of stress-induced ROS [83].

5. Conclusions

The present study demonstrated that AMF could be used as an effective and sustainable agricultural practice in wheat farming under arid and semi-arid conditions for increasing wheat tolerance to water deficits. The Algerian varieties Mohammed Ben Bachir, Boussellem, and Waha with AMF inoculation showed interesting morphological, physiological, and biochemical responses to water deficit expressed by the decrease in enzymatic activity resulting from a lower generation of ROS. The results of the present investigation provide crucial knowledge for further studies on the effect of these microorganisms on wheat crops’ tolerance to water deficit in practical field conditions. In addition, this work recommends the studied varieties as a potential source of resistance to abiotic stress factors that can be used in an advanced wheat breeding program in Algeria.

Author Contributions

Conceptualization, T.A. and N.Y.R.; methodology, N.Y.R.; software, S.O.A.; validation, O.A.B. and N.Y.R.; formal analysis, S.O.A. and N.Y.R.; investigation, S.O.A. and N.Y.R.; resources, S.O.A. and T.A.; data curation, D.E.K.; writing—original draft preparation, S.O.A.; writing—review and editing, N.Y.R.; visualization, T.A. and N.Y.R.; supervision, T.A. and N.Y.R.; project administration, D.E.K. All authors have read and agreed to the published version of the manuscript.

Funding

This publication has been supported by the RUDN University Scientific Projects Grant System, project No. <202724-2-000>.

Institutional Review Board Statement

Not applicable.

Informed Consent Statement

Not applicable.

Data Availability Statement

Not applicable.

Conflicts of Interest

The authors declare no conflict of interest.

References

  1. Ferret, M. Le progrès technique au service de la qualité. Perspect. Agric. 1996, 218, 36–38. [Google Scholar]
  2. FAO. Crops and Livestock Products. 2023. Available online: https://www.fao.org/faostat/en/#data/QCL (accessed on 11 February 2023).
  3. Zargar, M.; Rebouh, N.; Pakina, E.; Gadzhikurbanov, A.; Lyashko, M.; Ortskhanov, B. Impact of climate change on cereal production in the highlands of eastern Algeria. Res. Crops 2017, 18, 575–582. [Google Scholar] [CrossRef]
  4. Benbelkacem, A.; Kellou, K. Evaluation du progrès génétique chez quelques variétés de blé dur (Triticum turgidum L. var. durum) cultivées en Algérie. In Durum Wheat Improvement in the Mediterranean Region: New Challenges; Royo, C., Nachit, M., Di Fonzo, N., Araus, J.L., Eds.; Options Méditerranéennes: Série A. Séminaires Méditerranéens; CIHEAM: Zaragoza, Spain, 2000; Volume 40, pp. 105–110. [Google Scholar]
  5. Mittler, R.; Vanderauwera, S.; Suzuki, N.; Miller, G.; Tognetti, V.B.; Vandepoele, K.; Gollery, M.; Shulaev, V.; Van Breusegem, F. ROS signaling: The new wave? Trends Plant Sci. 2011, 16, 300–309. [Google Scholar] [CrossRef]
  6. Cruz de Carvalho, M.H. Drought stress and reactive oxygen species: Production, scavenging and signaling. Plant Signal. Behav. 2008, 3, 156–165. [Google Scholar] [CrossRef] [PubMed]
  7. Sanders, G.J.; Arndt, S.K. Osmotic adjustment under drought conditions. In Plant Responses to Drought Stress: From Morphological to Molecular Features; Aroca, R., Ed.; Springer: Berlin/Heidelberg, Germany, 2012; pp. 199–229. [Google Scholar]
  8. Sarker, U.; Oba, S. Catalase, superoxide dismutase and ascorbate-glutathione cycle enzymes confer drought tolerance of Amaranthus tricolor. Sci. Rep. 2018, 8, 16496. [Google Scholar] [CrossRef] [PubMed]
  9. Taha, R.S.; Alharby, H.F.; Bamagoos, A.A.; Medani, R.A.; Rady, M.M. Elevating tolerance of drought stress in Ocimum basilicum using pollen grains extract; a natural biostimulant by regulation of plant performance and antioxidant defense system. S. Afr. J. Bot. 2020, 128, 42–53. [Google Scholar] [CrossRef]
  10. Ayed, S.; Othmani, A.; Bouhaouel, I.; Teixeira da Silva, J.A. Multi-Environment Screening of Durum Wheat Genotypes for Drought Tolerance in Changing Climatic Events. Agronomy 2021, 11, 875. [Google Scholar] [CrossRef]
  11. Al-Selhab, O.A.; El-Tabbakh, S.S.; Nawar, A.I.; EL-Genbeehy, M.M.; Shaalan, A.M. Tolerance of Durum wheat cultivars to postanthesis drought conditions as affected by seed priming, bio-Fertilizer and potassium application. Alex. J. Agric. Sci. 2016, 61, 51–59. [Google Scholar]
  12. Aberkane, H.; Amri, A.; Belkadi, B.; Filali-Maltouf, A.; Kehel, Z.; Tahir, I.S.A.; Meheesi, S.; Tsivelikas, A. Evaluation of durum wheat lines derived from interspecific crosses under drought and heat stress. Crop Sci. 2020, 61, 119–136. [Google Scholar] [CrossRef]
  13. Temirbekova, S.K.; Kulikov, I.M.; Afanasyeva, Y.V.; Beloshapkina, O.O.; Kalashnikova, E.A.; Kirakosyan, R.N.; Dokukin, P.A.; Kucher, D.E.; Latati, M.; Rebouh, N.Y. The Evaluation of Winter Wheat Adaptation to Climate Change in the Central Non-Black Region of Russia: Study of the Gene Pool Resistance of Wheat from the N.I. Vavilov Institute of Plant Industry (VIR) World Collection to Abiotic Stress Factors. Plants 2021, 10, 2337. [Google Scholar] [CrossRef]
  14. Kherif, O.; Keskes, M.I.; Pansu, M.; Ouaret, W.; Rebouh, Y.N.; Dokukin, P.; Kucher, D.; Latati, M. Agroecological modeling of nitrogen and carbon transfers between decomposer micro-organisms, plant symbionts, soil and atmosphere in an intercropping system. Ecol. Model. 2021, 440, 109–390. [Google Scholar] [CrossRef]
  15. Latati, M.; Rebouh, N.Y.; Aouiche, A.; Laouar, M. Modeling the functional role of the microorganisms in the daily exchanges of carbon and nitrogen in intercropping system under mediterranean conditions. Agron. Res. 2019, 17, 559–573. [Google Scholar]
  16. Sheteiwy, M.S.; Abd Elgawad, H.; Xiong, Y.C.; Macovei, A.; Brestic, M.; Skalicky, M.; Shaghaleh, H.; Alhaj Hamoud, Y.; El-Sawah, A.M. Inoculation with Bacillus amyloliquefaciens and mycorrhiza confers tolerance to drought stress and improve seed yield and quality of soybean plant. Physiol. Plant 2021, 172, 2153–2169. [Google Scholar] [CrossRef] [PubMed]
  17. Desoky, E.S.; Mansour, E.; Ali, M.M.A.; Yasin, M.A.T.; Abdul-Hamid, M.I.E.; Rady, M.M.; Ali, E.F. Exogenously used 24-epibrassinolide promotes drought tolerance in maize hybrids by improving plant and water productivity in an arid environment. Plants 2021, 10, 354. [Google Scholar] [CrossRef] [PubMed]
  18. Elnahal, A.S.; El-Saadony, M.T.; Saad, A.M.; El-Tahan, A.M.; El-Tarabily, K.; Desoky, E.M.; Rady, M.M. The use of microbial inoculants for biological control, plant growth promotion, and sustainable agriculture: A review. Eur. J. Plant Pathol. 2022, 162, 759–792. [Google Scholar] [CrossRef]
  19. Zhang, S.; Lehmann, A.; Zheng, W.; You, Z.; Rillig, M.C. Arbuscular mycorrhizal fungi increase grain yields: A meta-analysis. New Phytol. 2019, 222, 543–555. [Google Scholar] [CrossRef] [PubMed]
  20. Sheteiwy, M.S.; Ali, D.F.I.; Xiong, Y.C.; Brestic, M.; Skalicky, M.; Hamoud, Y.A.; Ulhassan, Z.; Shaghaleh, H.; AbdElgawad, H.; Farooq, M. Physiological and biochemical responses of soybean plants inoculated with Arbuscular mycorrhizal fungi and Bradyrhizobiumunder drought stress. BMC Plant Biol. 2021, 21, 195. [Google Scholar] [CrossRef]
  21. Simon, L.; Bousquet, J.; Levesque, C.; Lalonde, M. Origin and diversification of endomycorrizal fungi and coincidence with vascular land plants. Nature 1993, 363, 67–69. [Google Scholar] [CrossRef]
  22. Clay, K.; Schardl, C. Evolutionary origins and ecological consequences of endophyte symbiosis with grasses. Am. Nat. 2002, 160, 99–127. [Google Scholar] [CrossRef]
  23. Morse, L.J.; Day, T.A.; Faeth, S.H. Effect of Neotyphodium endophyte infection on growth and leaf gas exchange of Arizona fescue under contrasting water availability regimes. Environ. Exp. Bot. 2002, 48, 257–268. [Google Scholar] [CrossRef]
  24. Sheteiwy, M.S.; El-Sawah, A.M.; Korany, S.M.; Alsherif, E.A.; Mowafy, A.M.; Chen, J.; Jośko, I.; Selim, S.; AbdElgawad, H. Arbuscular Mycorrhizal Fungus “Rhizophagus irregularis” impacts on physiological and biochemical responses of ryegrass and chickpea plants under beryllium stress. Environ. Pollut. 2022, 315, 120356. [Google Scholar] [CrossRef] [PubMed]
  25. El-Sawah, A.; Abdel-Fattah, G.; Holford, P.; Korany, S.; Alsherif, E.; AbdElgawad, H.; Ulhassan, Z.; Jośko, I.; Basharat, A.; Sheteiwy, M. Funneliformis constrictum modulates polyamine metabolism to enhance tolerance of Zea mays L. to salinity. Microbiol. Res. 2023, 266, 127254. [Google Scholar] [CrossRef]
  26. Labidi, S.; Ben Jeddi, F.; Tisserant, B.; Debiane, D.; Rezgui, S.; Grandmougin-Ferjani, A.; Lounès-Hadj Sahraoui, A. Role of arbuscular mycorrhizal symbiosis in root mineral uptake under CaCO3 stress. Mycorrhiza 2012, 22, 337–345. [Google Scholar] [CrossRef] [PubMed]
  27. Khennaoui, A.; Djekoun, A.; Benbelkacem, A.; Ykhlef, N. Agromorphological characterization and study of grain yield of Algerian durum wheat (Triticum durum Desf.). Int. J. Adv. Res. 2016, 4, 1071–1080. [Google Scholar] [CrossRef] [PubMed]
  28. Boudersa, N.; Ghania, C.; Aicha, A.; Cherfia, R. Assessment of biological and agronomic diversity ofseven durum wheat varieties cultivated in the North easte rnregion of Algeria. Biodivers. J. Biol. Divers. 2021, 22, 220–259. [Google Scholar] [CrossRef]
  29. Rebouh, N.Y.; Zargar, M.; Pakina, E.; Aabdelaziz, N.; Astrakhanova, T.; Chuburkova, S. Analysis of various cultivars of durumwheat cultivated in the highlands of Algeria condition. Res. Crops 2018, 19, 200–204. [Google Scholar] [CrossRef]
  30. Hurley, M.A.; Roscoe, M.E. Automated statistical analysis of microbial enumeration by dilution series. J. Bacteriol. 1983, 55, 159–164. [Google Scholar] [CrossRef]
  31. Tarraf, W.; Ruta, C.; Tagarelli, A.; De Cillis, F.; De Mastro, G. Influence of arbuscular mycorrhizae on plant growth, essential oil production and phosphorus uptake of Salvia officinalis L. Ind. Crops Prod. 2017, 102, 144–153. [Google Scholar] [CrossRef]
  32. Rao, N.K.; Hanson, J.; Dulloo, M.E.; Ghosh, K.; Nowell, D.; Larinde, M. Manual of Seed Handling in Genebanks; Handbooks for Genebanks No. 8; Bioversity International: Rome, Italy, 2006. [Google Scholar]
  33. Torrecillas, A.; León, A.; Del Amor, F.; Martinez-Mompeán, M.C. Determinación rápida de clorofila en discos foliares delimonero. Fruits 1984, 39, 617–622. [Google Scholar]
  34. Carillo, P.; Gibon, Y. Protocol: Extraction and determination of proline. J. Biol. Chem. 2011, 215, 655–660. [Google Scholar]
  35. Sairam, R.K.; Rao, K.V.; Srivastava, G.C. Differential response of wheat genotypes to long term salinity stress in relation to oxidative stress, antioxidant activity and osmolyte. Plant Sci. 2002, 163, 1037–1046. [Google Scholar] [CrossRef]
  36. Bradford, M.M. Rapid and sensitive method for quantitation of microgramquantities of protein utilizing principle of protein-dye binding. Anal. Biochem. 1976, 72, 248–254. [Google Scholar] [CrossRef] [PubMed]
  37. Goth, L. A simple method for determination of serum catalase activity and revision of reference range. Clin. Chim. Acta 1991, 196, 143–152. [Google Scholar] [CrossRef] [PubMed]
  38. Nakano, Y.; Asada, K. Hydrogen peroxide is scavenged by ascorbate specific peroxidase in spinach chloroplasts. Plant Cell Physiol. 1981, 22, 867–880. [Google Scholar]
  39. Popov, T.; Neykovskaya, L. Method for determining blood peroxidase activity. Hyg. Sanit. 1971, 10, 89–91. (In Russian) [Google Scholar]
  40. Phillips, M.; Hayman, D.S. Improved procedures for clearing roots and staining parasitic and vesicular-arbuscular mycorrhizal fungi for rapid assessment of infection. Trans. Br. Mycol. Soc. 1970, 55, 158–161. [Google Scholar] [CrossRef]
  41. McGonigle, T.P.; Miller, M.H.; Evans, D.G.; Fairchild, G.L.; Swan, J.A. A new method which gives an objective measure of colonization of roots by vesicular-arbuscular mycorrhizal fungi. New Phytol. 1990, 115, 495–501. [Google Scholar] [CrossRef]
  42. Gui, Y.W.; Sheteiwy, M.S.; Zhu, S.G.; Batool, A.; Xiong, Y.C. Differentiate effects of non-hydraulic and hydraulic root signaling on yield and water use efficiency in diploid and tetraploid wheat under drought stress. Environ. Exp. Bot. 2021, 181, 104287. [Google Scholar] [CrossRef]
  43. Giunta, F.; Motzo, R.; Deidda, M. Effect of drought on yield and yield components of durum wheat and triticale in a Mediterranean environment. Field Crops Res. 1993, 4, 399–409. [Google Scholar] [CrossRef]
  44. Hussain, S.; Khan, F.; Cao, W.; Wu, L.; Geng, M. Seed priming alters the production and detoxification of reactive oxygen intermediates in rice seedlings grown under sub-optimal temperature and nutrient supply. Front. Plant Sci. 2016, 7, 439. [Google Scholar] [CrossRef]
  45. Raza, M.A.S.; Saleem, M.F.; Anjum, S.A.; Khaliq, T.; Wahid, M.A. Foliar application of potassium under water deficit conditions improved the growth and yield of wheat (Triticum aestivum L.). J. Anim. Plant Sci. 2012, 22, 431–437. [Google Scholar]
  46. Boutraa, T.; Akhkha, A.; Al-Shoaibi, A.; Alhejeli, A. Effect of water stress on growth and water use efficiency (WUE) of some wheat cultivars (Triticum durum) grown in Saudi Arabia. J. Taibah Univ. Sci. 2010, 3, 39–48. [Google Scholar] [CrossRef]
  47. Yang, H.S.; Xu, J.; Guo, Y.; Koide, R.T.; Dai, Y.; Xu, M.; Bian, L.; Bian, X.; Zhang, Q. Predicting plant response to arbuscular mycorrhizas: The role of host functional traits. Fungal Ecol. 2016, 20, 79–83. [Google Scholar] [CrossRef]
  48. Sheng, M.; Tang, M.; Chan, H.; Yang, B.; Zhang, F.; Huang, Y. Influence of arbuscular mycorrhizae on photosynthesis and water status of maize plants under salt stress. Mycorrhiza 2008, 18, 287–296. [Google Scholar] [CrossRef] [PubMed]
  49. Gianinazzi, S.; Gollotte, A.; Binet, M.-N.; Tuinen, D.; Redecker, D.; Wipf, D. Agroecology: The key role of arbuscular mycorrhizas in ecosystem services. Mycorrhiza. 2010, 20, 519–530. [Google Scholar] [CrossRef] [PubMed]
  50. Gholamhoseini, M.; Ghalavand, A.; Dolatabadian, A.; Jamshidi, E.; Khodaei-Joghan, A. Effects of arbuscular mycorrhizal inoculation on growth, yield, nutrient uptake and irrigation water productivity of sunflowers grown under drought stress. Agric. Water Manag. 2013, 117, 106–114. [Google Scholar] [CrossRef]
  51. Armada, E.; Azcon, R.; Lopez-Castillo, O.M.; Calvo-Polanco, M.; Ruiz-Lozano, J.M. Autochthonous arbuscular mycorrhizal fungi and Bacillus thuringiensis from a degraded Mediterranean area can be used to improve physiological traits and performance of a plant of agronomic interest under drought conditions. Plant Physiol. Biochem. 2015, 90, 64–74. [Google Scholar] [CrossRef]
  52. Xiao, D.; Che, R.; Liu, X.; Tan, Y.; Yang, R.; Zhang, W.; He, X.; Xu, Z.; Wang, K. Arbuscular mycorrhizal fungi abundance was sensitive to nitrogen addition but diversity was sensitive to phosphorus addition in karst ecosystems. Biol. Fertil. Soils 2019, 55, 457–469. [Google Scholar] [CrossRef]
  53. Rani, B.; Madan, S.; Sharma, K.D.; Pooja, P.; Kumar, A. Influence ofarbuscular mycorrhiza on antioxidative system of wheat (Triticum aestivum) under drought stress. Ind. J. Agric. Sci. 2018, 88, 289–295. [Google Scholar]
  54. Lichtenthaler, H.K.; Buschmann, C.; Knapp, M. How to correctly determine the different chlorophyll fluorescence parameters and the chlorophyll fluorescence decrease ratio RFd of leaves with the PAM fluorometer. Photosynthetica 2005, 43, 379–393. [Google Scholar] [CrossRef]
  55. Buttery, B.R.; Buzzell, R.I. The relationship between chlorophyll content and rate of photosynthesis in soybeans. Can. J. Plant Sci. 1977, 57, 1–5. [Google Scholar] [CrossRef]
  56. Mafakheri, A.B.; Siosemardeh, P.C.; Bahramnejad, Y.; Struik, T.; Sohrabi, S. Effect of drought stress on yield, proline and chlorophyll contents in three chickpea cultivars. Aust. J. Crop Sci. 2010, 4, 580–585. [Google Scholar]
  57. Begum, N.; Qin, C.; Ahanger, M.A.; Raza, S.; Khan, M.I.; Ashraf, M.; Ahmed, N.; Zhang, L. Role of Arbuscular Mycorrhizal Fungi in Plant Growth Regulation: Implications in Abiotic Stress Tolerance. Front. Plant Sci. 2019, 10, 1068. [Google Scholar] [CrossRef]
  58. Bhosale, K.S.; Shinde, B.P. Influence of arbuscular mycorrhizal fungi on proline and chlorophyll content in Zingiber officinale Rosc grown under water stress. Indian J. Fundam. Appl. Life Sci. 2011, 1, 172–176. [Google Scholar]
  59. Sebbane, M.; Hafsi, M. Effect of arbuscular mycorrhizal fungi on drought tolerance in durum wheat. Int. J. Biosci. 2020, 17, 99–112. [Google Scholar]
  60. Dar, M.I.; Naikoo, M.I.; Rehman, F.; Naushin, F.; Khan, F.A. Proline accumulation in plants: Roles in stress tolerance and plant development. In Osmolytes and Plants Acclimation to Changing Environment: Emerging Omics Technologies; Iqbal, N., Nazar, R., Khan, N.A., Eds.; Springer: New Delhi, India, 2016. [Google Scholar]
  61. Cechin, I.; Rossi, C.; Oliveira, C.; Fumis, F. Photosynthetic responses and proline content of mature and young leaves of sunflower plants under water deficit. Photosynthetica 2006, 44, 143–146. [Google Scholar] [CrossRef]
  62. Handa, S.; Handa, A.K.; Hasegawa, P.M.; Bressan, R.A. Proline Accumulation and the Adaptation of Cultured Plant Cells to Water Stress. Plant Physiol. 1986, 80, 938–945. [Google Scholar] [CrossRef] [PubMed]
  63. Li, P.; Ma, B.; Palta, J.A.; Ding, T.; Cheng, Z.; Lv, G.; Xiong, Y. Wheat breeding highlights drought tolerance while ignores the advantages of drought avoidance: A meta-analysis. Eur. J. Agron. 2021, 122, 126196. [Google Scholar] [CrossRef]
  64. Irani, S.; Majidi, M.M.; Mirlohi, A.; Zargar, M.; Karami, M. Assessment of Drought Tolerance in Sainfoin: Physiological and Drought Tolerance Indices. Agron. J. 2015, 107, 1771–1781. [Google Scholar] [CrossRef]
  65. Evelin, H.; Giri, B.; Kapoor, R. Contribution of Glomus intraradices inoculation to nutrient acquisition and mitigation of ionic imbalance in NaCl-stressed Trigonella foenum-graecum. Mycorrhiza 2012, 22, 203–217. [Google Scholar] [CrossRef] [PubMed]
  66. Berruti, A.; Lumini, E.; Balestrini, R.; Bianciotto, V. Arbuscular mycorrhizal fungi as natural biofertilizers: Let’s benefit from past successes. Front. Microbiol. 2016, 6, 1–13. [Google Scholar] [CrossRef]
  67. Sanjeeta, K.; Parkash, J.; Kalita, P.; Devi, M.; Pathania, J.; Joshi, R.; Dutt, S. Comparative proteome analysis of Picrorhiza kurrooa Royle ex Benth. in response to drought. J. Proteome Sci. Comput. Biol. 2014, 3, 1–15. [Google Scholar] [CrossRef]
  68. Saboor, A.; Ali, M.A.; Danish, S.; Ahmed, N.; Fahad, S.; Datta, R.; Ansari, M.J.; Nasif, O.; Rahman, M.H.U.; Glick, B.R. Effect of arbuscular mycorrhizal fungi on the physiological functioning of maize under zinc-deficient soils. Sci. Rep. 2021, 11, 18468. [Google Scholar] [CrossRef] [PubMed]
  69. Khan, Y.; Shah, S.; Tian, H. The Roles of Arbuscular Mycorrhizal Fungi in Influencing Plant Nutrients, Photosynthesis, and Metabolites of Cereal Crops—A Review. Agronomy 2022, 12, 2191. [Google Scholar] [CrossRef]
  70. Caravaca, F.; Alguacil, M.M.; Hernández, J.A.; Roldán, A. Involvement of antioxidant enzyme and nitrate reductase activities during water stress and recovery of mycorrhizal Myrtuscommunis and Phillyrea angustifolia plants. Plant Sci. 2005, 169, 191–197. [Google Scholar] [CrossRef]
  71. Zou, Y.-N.; Wu, Q.-S.; Huang, Y.-M.; Ni, Q.-D.; He, X.-H. Mycorrhizal-Mediated Lower Proline Accumulation in Poncirus trifoliata under Water Deficit Derives from the Integration of Inhibition of Proline Synthesis with Increase of Proline Degradation. PLoS ONE 2013, 8, e80568. [Google Scholar] [CrossRef]
  72. Ohtomo, R.; Kobae, Y.; Morimoto, S.; Oka, N. Infection unit density as an index of infection potential of arbuscularmycorrhizal fungi. Microbes Environ. 2018, 33, 34–39. [Google Scholar] [CrossRef] [PubMed]
  73. Begum, N.; Ahanger, M.; Zhang, L. AMF inoculation and phosphorus supplementation alleviates drought induced growth and photosynthetic decline in Nicotiana tabacum by up-regulating antioxidant metabolism and osmolyte accumulation. Environ. Exp. Bot. 2020, 176, 104088. [Google Scholar] [CrossRef]
  74. Kong, J.; Pei, Z.; Du, M.; Sun, G.; Zhang, X. Effects of arbuscular mycorrhizal fungi on the drought resistance of the mining area repair plant Sainfoin. Int. J. Min. Sci. Technol. 2014, 24, 485–489. [Google Scholar] [CrossRef]
  75. Nasim, G. The role of Arbuscular mycorrhizae in inducing resistance to drought and salinity stress in crops. In Plant Adaptation and Phytoremediation; Ashraf, M., Ozturk, M., Ahmad, M.S.A., Eds.; Springer: New York, NY, USA, 2010; pp. 119–141. [Google Scholar]
  76. Jerbi, M.; Labidi, S.; Laruelle, F.; Tisserant, B.; Jeddi, F.B.; Sahraoui, A.L.H. Mycorrhizal biofertilization improves grain yield and quality of hulless Barley (Hordeum vulgare ssp. nudum L.) under water stress conditions. J. Cereal Sci. 2022, 104, 103436. [Google Scholar]
  77. Marulanda, A.; Azcon, R.; Ruiz-Lozano, J.M. Contribution of six arbuscular mycorrhizal fungal isolates to water uptake by Lactuca sativa plants under drought stress. Physiol. Plantarum 2003, 19, 526–533. [Google Scholar] [CrossRef]
  78. Rebouh, N.Y.; Latati, M.; Polityko, P.; Kucher, D.; Hezla, L.; Norezzine, A.; Iguer-Ouada, M. Influence of three cultivation technologies to control Fusarium spp. in winter wheat (Triticum aestivum L.) production under Moscow conditions. Res. Crops 2020, 21, 17–25. [Google Scholar]
  79. Temirbekova, S.K.; Kulikov, I.M.; Afanasyeva, Y.V.; Ashirbekov, M.Z.; Beloshapkina, O.O.; Kalashnikova, E.A.; Sardarova, I.; Begeulov, M.S.; Kucher, D.E.; Ionova, N.E.; et al. The Biological Traumatization of Crops Due to the Enzyme Stage of Enzyme-Mycotic Seed Depletion. Pathogens 2022, 11, 376. [Google Scholar] [CrossRef] [PubMed]
  80. Temirbekova, S.K.; Kulikov, I.M.; Ashirbekov, M.Z.; Afanasyeva, Y.V.; Beloshapkina, O.O.; Tyryshkin, L.G.; Zuev, E.V.; Kirakosyan, R.N.; Glinushkin, A.P.; Potapova, E.S.; et al. Evaluation of Wheat Resistance to Snow Mold Caused by Microdochium nivale (Fr) Samuels and I.C. Hallett under Abiotic Stress Influence in the Central Non-Black Earth Region of Russia. Plants 2022, 11, 699. [Google Scholar] [CrossRef] [PubMed]
  81. David, M. Osmotic adjustment capacity and cuticular transpiration in several wheat cultivars cultivated in Algeria. Rom. Agric. Res. 2009, 26, 29–33. [Google Scholar]
  82. Merouche, A.; Debaeke, P.; Messahel, M.; Kelkouli, M. Response of durum wheat varieties to water in semi-arid Algeria. Afr. J. Agric. Res. 2014, 9, 2879–2892. [Google Scholar]
  83. Das, K.; Roychoudhury, A. Reactive oxygen species (ROS) and response of antioxidants as ROS-scavengers during environmental stress in plants. Front. Environ. Sci. 2014, 2, 1–13. [Google Scholar] [CrossRef]
Figure 1. Effect of AMF inoculation on soluble protein content (SPC) in the three studied varieties of durum wheat [Mohamed Ben Bachir (MMB), Boussellem (BS) and Waha] according to the tested treatments [NSNI (Non-Stress Non-Inoculation), NSI (Non-Stress with Inoculation), SNI (Stress Non-Inoculation) and SI (Stress with Inoculation)]. Means followed by different letters are significantly different according to the Fishers LSD test (p ≤ 0.05).
Figure 1. Effect of AMF inoculation on soluble protein content (SPC) in the three studied varieties of durum wheat [Mohamed Ben Bachir (MMB), Boussellem (BS) and Waha] according to the tested treatments [NSNI (Non-Stress Non-Inoculation), NSI (Non-Stress with Inoculation), SNI (Stress Non-Inoculation) and SI (Stress with Inoculation)]. Means followed by different letters are significantly different according to the Fishers LSD test (p ≤ 0.05).
Agriculture 13 00552 g001
Figure 2. Effect of AMF inoculation on membrane stability index (MSI) in the three studied varieties of durum wheat [Mohamed Ben Bachir (MMB), Boussellem (BS) and Waha] according to the tested treatments [NSNI (Non-Stress Non-Inoculation), NSI (Non-Stress with Inoculation), SNI (Stress Non-Inoculation) and SI (Stress with Inoculation)]. Means followed by different letters are significantly different according to the Fishers LSD test (p ≤ 0.05).
Figure 2. Effect of AMF inoculation on membrane stability index (MSI) in the three studied varieties of durum wheat [Mohamed Ben Bachir (MMB), Boussellem (BS) and Waha] according to the tested treatments [NSNI (Non-Stress Non-Inoculation), NSI (Non-Stress with Inoculation), SNI (Stress Non-Inoculation) and SI (Stress with Inoculation)]. Means followed by different letters are significantly different according to the Fishers LSD test (p ≤ 0.05).
Agriculture 13 00552 g002
Figure 3. Bar chart showing the enzymatic activity [peroxidase (POD), ascorbate peroxidase (APX) and catalase (CAT)] in the three studied varieties of durum wheat [Mohamed Ben Bachir (MMB), Boussellem (BS) and Waha] according to the tested treatments [NSNI (Non-Stress Non-Inoculation), NSI (Non-Stress with Inoculation), SNI (Stress Non-Inoculation) and SI (Stress with Inoculation)]. Means followed by different letters are significantly different according to the Fishers LSD test (p ≤ 0.05).
Figure 3. Bar chart showing the enzymatic activity [peroxidase (POD), ascorbate peroxidase (APX) and catalase (CAT)] in the three studied varieties of durum wheat [Mohamed Ben Bachir (MMB), Boussellem (BS) and Waha] according to the tested treatments [NSNI (Non-Stress Non-Inoculation), NSI (Non-Stress with Inoculation), SNI (Stress Non-Inoculation) and SI (Stress with Inoculation)]. Means followed by different letters are significantly different according to the Fishers LSD test (p ≤ 0.05).
Agriculture 13 00552 g003
Figure 4. Relationship between soluble protein content (SPC), membrane stability index (MSI) and peroxidase (POD) (A), ascorbate peroxidase (APX) and (B) catalase (CAT) (C).
Figure 4. Relationship between soluble protein content (SPC), membrane stability index (MSI) and peroxidase (POD) (A), ascorbate peroxidase (APX) and (B) catalase (CAT) (C).
Agriculture 13 00552 g004
Figure 5. AMF arbuscule (left) and vesicles (right) observed in the studied durum wheat variety Mohamed Ben Bachir (G 40×).
Figure 5. AMF arbuscule (left) and vesicles (right) observed in the studied durum wheat variety Mohamed Ben Bachir (G 40×).
Agriculture 13 00552 g005
Table 1. Morphological parameters variation of each durum wheat variety according to the different studied treatments. Values represent the average of three replicates ± SE (standard errors). p-values from ANOVA (treatment, variety and treatment × variety).
Table 1. Morphological parameters variation of each durum wheat variety according to the different studied treatments. Values represent the average of three replicates ± SE (standard errors). p-values from ANOVA (treatment, variety and treatment × variety).
VarietiesTreatmentsHAP
(Cm)
LIN
(Cm)
APDW
(g)
RDW
(g)
LE
(Cm)
MBBNSNI37.3 ± 2.31 a19.6 ± 3.21 a1.38 ± 0.06 b0.78 ± 0.28 ab12.8 ± 0.15 ab
NSI39.6 ± 5.86 a23.3 ± 2.08 a1.63 ± 0.34 ab0.93 ± 0.21 a13.1 ± 0.76 a
SNI19.6 ± 2.08 b10.8 ± 0.76 c1.04 ± 0.15 c0.71 ± 0.16 ab12.2 ± 1.21 b
SI26.3 ± 2.52 b13.6 ± 2.08 b1.09 ± 0.30 c0.75 ± 0.27 ab12.7 ± 0.66 ab
BSNSNI33.6 ± 2.08 a15 ± 1 a1.71 ± 0.17 a0.63 ± 0.09 b12.6 ± 0.58 ab
NSI35 ± 1 a15.3 ± 2.08 a1.76 ± 0.33 a0.70 ± 0.16 ab13.1 ± 0.76 a
SNI25.6 ± 3 b12 ± 1 c0.97 ± 0.33 c0.56 ± 0.08 b12 ± 1.45 b
SI30.2 ± 2.08 b12.6 ± 2.65 b1.48 ± 0.15 ab0.64 ± 0.04 b12.2 ± 0.58 b
WNSNI34.2 ± 3.51 a14.6 ± 1.15 a1.43 ± 0.09 b0.53 ± 0.13 b12.3 ± 0.3 ab
NSI35.7 ± 5 a15.2 ± 0.58 a1.56 ± 0.38 ab0.58 ± 0.15 b12.6 ± 0.58 ab
SNI30.6 ± 3.61 b12.4 ± 0.58 c1.21 ± 0.10 bc0.46 ± 0.14 c11.4 ± 02 c
SI32.1 ± 2.52 b13.7 ± 2 b1.24 ± 0.11 bc0.49 ± 0.06 c11.9 ± 54 b
p-ValueVariety0.5≤0.0010.1≤0.0010.2
Treatment≤0.005≤0.001≤0.0050.2≤0.005
Var × Treat≤0.001≤0.0010.60.2≤0.005
MBB: Mohamed Ben Bachir; BS: Boussellem; W: Waha; HAP: Height of the Aerial Part; LIN: Internode Length; APDW: Aerial Part Dry Weight; RDW: Root Dry Weight; LE: Length of the Ear; NSNI: Non-Stress, Non-Inoculation; NSI: Non-Stress with Inoculation; SNI: Stress Non-Inoculation; SI: Stress with Inoculation. Means followed by different letters are significantly different according to the Fishers LSD test (p ≤ 0.05).
Table 2. Chlorophyll and proline content variation of each durum wheat variety according to the different studied treatments. Values represent the average of three replicates ± SE (standard errors). p-values from ANOVA (treatment, variety and treatment × variety).
Table 2. Chlorophyll and proline content variation of each durum wheat variety according to the different studied treatments. Values represent the average of three replicates ± SE (standard errors). p-values from ANOVA (treatment, variety and treatment × variety).
VarietiesTreatmentsChl (mg/g MF)Prol (μM/g MF)
MBBNSNI44.65 ± 6.09 ab2.22 ± 0.43 b
NSI46.08 ± 3.68 a1.67 ± 0.74 b
SNI42.68 ± 7.37 b6.28 ± 1.62 a
SI43.34 ± 6.42 ab3.87 ± 0.61 b
BSNSNI43.22 ± 1.46 ab2.90 ± 0.59 b
NSI44.65 ± 0.44 ab1.33 ± 0.30 b
SNI40.12 ± 2.13 c9.02 ± 4.80 a
SI42.94 ± 1.21 b3.50 ± 2.02 b
WNSNI43.67 ± 3.51 ab2.67 ± 1.15 b
NSI44.03 ± 0.65 ab1.67 ± 0.58 b
SNI41.44 ± 1.61 bc8.33 ± 0.58 a
SI42.67 ± 1.52 b4.97 ± 0.52 b
p-ValueVariety0.50.1
Treatment≤0.005≤0.005
Variety × Treatment0.20.3
MBB: Mohamed Ben Bachir; BS: Boussellem; W: Waha; Chl: Chlorophyll content; NSNI: Non-Stress Non-Inoculation; NSI: Non-Stress with Inoculation; SNI: Stress Non-Inoculation; SI: Stress with Inoculation. Means followed by different letters are significantly different according to the Fishers LSD test (p ≤ 0.05).
Table 3. AMF root colonization in the three varieties of durum wheat according to the different studied treatments. Values represent the average of three replicates ± SE (standard errors). p-values from ANOVA (treatment, variety and treatment × variety).
Table 3. AMF root colonization in the three varieties of durum wheat according to the different studied treatments. Values represent the average of three replicates ± SE (standard errors). p-values from ANOVA (treatment, variety and treatment × variety).
VarietiesTreatmentsTCR %AR %VR %HGR %
MBBNSNI17.47 ± 3.28 d0.6 ± 0.72 e6.92 ± 2.42 d11.56 ± 0.86 cd
NSI46.56 ± 2.98 bc3.92 ± 2.79 c14.23 ± 4.97 b30.04 ± 3.51 b
SNI15.04 ± 3.69 d0.25 ± 1.18 e4.33 ± 0.58 d9.72 ± 3.82 d
SI54.73 ± 11.08 b3.70 ± 1.04 c16.44 ± 4.30 a36.86 ± 14.47 a
BSNSNI19.17 ± 4.01 d0.46 ± 1.31 e8.75 ± 3.46 cd13.66 ± 0.74 cd
NSI35.69 ± 10.54 c5.15 ± 4.62 b14.70 ± 7.01 b18.35 ± 8.21 c
SNI16.43 ± 5.80 d0.8 ± 2.45 e3.32 ± 2.32 de10.10 ± 3.50 cd
SI60.98 ± 9.02 a9.42 ± 6.71 a15.39 ± 8.06 ab37.96 ± 5.64 a
WNSNI14.90 ± 6.03 d5.60 ± 2.86 b5.60 ± 2.86 d9.31 ± 3.52 d
NSI25.94 ± 0.46 c2.55 ± 1.18 cd10.73 ± 1.94 c12.66 ± 2.14 cd
SNI12.18 ± 7.26 e2.55 ± 6.32 cd2.81 ± 5.24 e6.67 ± 3.38 e
SI50.30 ± 17.46 b9.01 ± 8.26 a14.47 ± 10.84 b29.55 ± 14.10 b
p-ValueVariety≤0.0050.20.1≤0.005
Treatment≤0.001≤0.001≤0.001≤0.001
Variety × Treatment0.20.30.40.2
MBB: Mohamed Ben Bachir; BS: Boussellem; W: Waha; TCR: Total Colonization Rate; AR: Arbuscular Rate; VR: Vesicular Rate; HGR: Hyphal Growth Rates; NSNI: Non-Stress Non-Inoculation; NSI: Non-Stress with Inoculation; SNI: Stress Non-Inoculation; SI: Stress with Inoculation. Means followed by different letters are significantly different according to the Fishers LSD test (p ≤ 0.05).
Disclaimer/Publisher’s Note: The statements, opinions and data contained in all publications are solely those of the individual author(s) and contributor(s) and not of MDPI and/or the editor(s). MDPI and/or the editor(s) disclaim responsibility for any injury to people or property resulting from any ideas, methods, instructions or products referred to in the content.

Share and Cite

MDPI and ACS Style

Ould Amer, S.; Aliat, T.; Kucher, D.E.; Bensaci, O.A.; Rebouh, N.Y. Investigating the Potential of Arbuscular Mycorrhizal Fungi in Mitigating Water Deficit Effects on Durum Wheat (Triticum durum Desf.). Agriculture 2023, 13, 552. https://doi.org/10.3390/agriculture13030552

AMA Style

Ould Amer S, Aliat T, Kucher DE, Bensaci OA, Rebouh NY. Investigating the Potential of Arbuscular Mycorrhizal Fungi in Mitigating Water Deficit Effects on Durum Wheat (Triticum durum Desf.). Agriculture. 2023; 13(3):552. https://doi.org/10.3390/agriculture13030552

Chicago/Turabian Style

Ould Amer, Samira, Toufik Aliat, Dmitry E. Kucher, Oussama A. Bensaci, and Nazih Y. Rebouh. 2023. "Investigating the Potential of Arbuscular Mycorrhizal Fungi in Mitigating Water Deficit Effects on Durum Wheat (Triticum durum Desf.)" Agriculture 13, no. 3: 552. https://doi.org/10.3390/agriculture13030552

APA Style

Ould Amer, S., Aliat, T., Kucher, D. E., Bensaci, O. A., & Rebouh, N. Y. (2023). Investigating the Potential of Arbuscular Mycorrhizal Fungi in Mitigating Water Deficit Effects on Durum Wheat (Triticum durum Desf.). Agriculture, 13(3), 552. https://doi.org/10.3390/agriculture13030552

Note that from the first issue of 2016, this journal uses article numbers instead of page numbers. See further details here.

Article Metrics

Back to TopTop