Comparing Simulated Jujube Evapotranspiration from P–T, Dual Kc, and S–W Models against Measurements Using a Large Weighing Lysimeter under Drip Irrigation in an Arid Area
Abstract
:1. Introduction
2. Materials and Methods
2.1. Study Location
2.2. Experimental Design
2.3. Measurements
- (1)
- Temperature, radiation, and rainfall were measured every 30 min using a Watchdog small automatic weather station (Model 2700, Spectrum Technologies, Inc, Aurora, IL, USA).
- (2)
- The soil moisture content in the 0–100 cm layer was measured with a soil moisture and temperature monitor (ET-100, Insentek Co., Ltd., Hangzhou, China), and the data were recorded every 30 min. The instrument layout position was at 40 cm (between jujube plants) and 40 cm from the jujube row.
- (3)
- The leaf area index () of jujube plants in the Large Weighing Lysimeter was observed every 10–20 days using a HemiView plant canopy analyzer (HMV1 v9, Delta-T Devices, Cambridge, UK).
- (4)
- The plant height of jujube plants was measured 1–2 times with a ruler in each growing season. Plant height () ranged from 1.21 to 2.79 m during the 2016 to 2019 study period.
- (5)
- Soil evaporation was determined using micro-lysimeters [25]. Each micro-lysimeter was 11 cm in diameter and 15 cm in depth. Measurements were made daily at 10:00 A.M. to determine water loss. The jujube micro-lysimeters were placed at 50 cm (between jujube plants) and 40 cm from the jujube row.
2.4. Shuttleworth–Wallace Model
- is the aerodynamic resistance between vegetation canopy height and reference height, s m−1;
- is the aerodynamic resistance between the soil surface and the vegetation canopy, s m−1;
- is the boundary layer resistance, s m−1;
- is the canopy resistance, s m−1;
- is the soil surface resistance, s m−1.
2.5. Dual Crop Coefficient Model
- is the water stress coefficient;
- is the basal crop coefficient;
- is the soil evaporation coefficient.
2.6. Priestley–Taylor Model
2.7. Parameters for Sensitivity Analysis
- is the sensitivity coefficient;
- and are the ET simulation values of the and parameters, respectively;
- is the mean value of the two simulated ET values;
- and are the input values of the and parameters, respectively;
- is the mean value of the two input parameters.
2.8. Evaluation of Model Performance
- is the root mean square error;
- is the mean absolute error;
- is the ratio of RMSE to the standard deviation of observed data;
- is the Nash–Sutcliffe efficiency coefficient;
- is the index of agreement;
- is the percent bias, the average tendency of predicted values to be larger or smaller than observed values;
- is the number of observations;
- and are the observed and estimated values, respectively;
- and are the average observed and average estimated values, respectively.
3. Results
3.1. Environmental Parameters, Plant Height, LAI, and ET
- (1)
- Linear relationship between “y = LAI of jujube” and “x = Day of year”:
- 2016: y = −0.81×10−6 x2 + 3.95×10−2 x – 3.42 R2 = 0.9796
- 2017: y = −0.83×10−6 x2 + 4.10×10−2 x – 3.50 R2 = 0.9727
- 2018: y = −0.91×10−6 x2 + 4.47×10−2 x – 3.81 R2 = 0.9743
- 2019: y = −0.97×10−6 x2 + 4.81×10−2 x – 4.15 R2 = 0.9817
- (2)
- Linear relationship between “y = Plant height of jujube” and “x = Day of year”:
- 2016: y = −0.0027 x2 + 1.1196 x + 29.417 R2 = 0.9154
- 2017: y = −0.0036 x2 + 1.6155 x – 3.1431 R2 = 0.8925
- 2018: y = −0.0040 x2 + 1.8749 x – 0.8212 R2 = 0.9466
- 2019: y = −0.0031 x2 + 1.3996 x + 87.520 R2 = 0.9676



| Year | 2016 | 2017 | ||||
| ET (mm) | ET0 (mm) | Kc | ET (mm) | ET0 (mm) | Kc | |
| Budding | 100.62 | 122.85 | 0.82 | 155.44 | 184.62 | 0.84 |
| Flower and fruit setting | 202.85 | 208.48 | 0.97 | 195.77 | 206.61 | 0.95 |
| Fruit enlargement | 183.86 | 213.29 | 0.86 | 207.61 | 203.78 | 1.02 |
| Fruit mature | 44.72 | 80.25 | 0.56 | 53.86 | 77.55 | 0.69 |
| Entire season | 532.05 | 624.86 | 0.85 | 612.68 | 672.56 | 0.91 |
| Year | 2018 | 2019 | ||||
| ET (mm) | ET0 (mm) | Kc | ET (mm) | ET0 (mm) | Kc | |
| Budding | 151.85 | 174.20 | 0.87 | 146.58 | 165.02 | 0.89 |
| Flower and fruit setting | 198.40 | 211.35 | 0.94 | 205.38 | 199.73 | 1.03 |
| Fruit enlargement | 192.84 | 204.17 | 0.94 | 193.18 | 199.99 | 0.96 |
| Fruit mature | 53.00 | 73.46 | 0.72 | 46.74 | 74.67 | 0.63 |
| Entire season | 596.08 | 663.18 | 0.90 | 591.88 | 639.41 | 0.93 |
3.2. Comparisons of Daily Jujube ET Estimated with the P–T Model and Measured Using a Large Weighing Lysimeter
3.3. Comparisons of Daily Jujube ET Estimated with the Dual Kc Model and Measured Using a Large Weighing Lysimeter
3.4. Comparisons of Daily Jujube ET Estimated with the S–W Model and Measured Using a Large Weighing Lysimeter
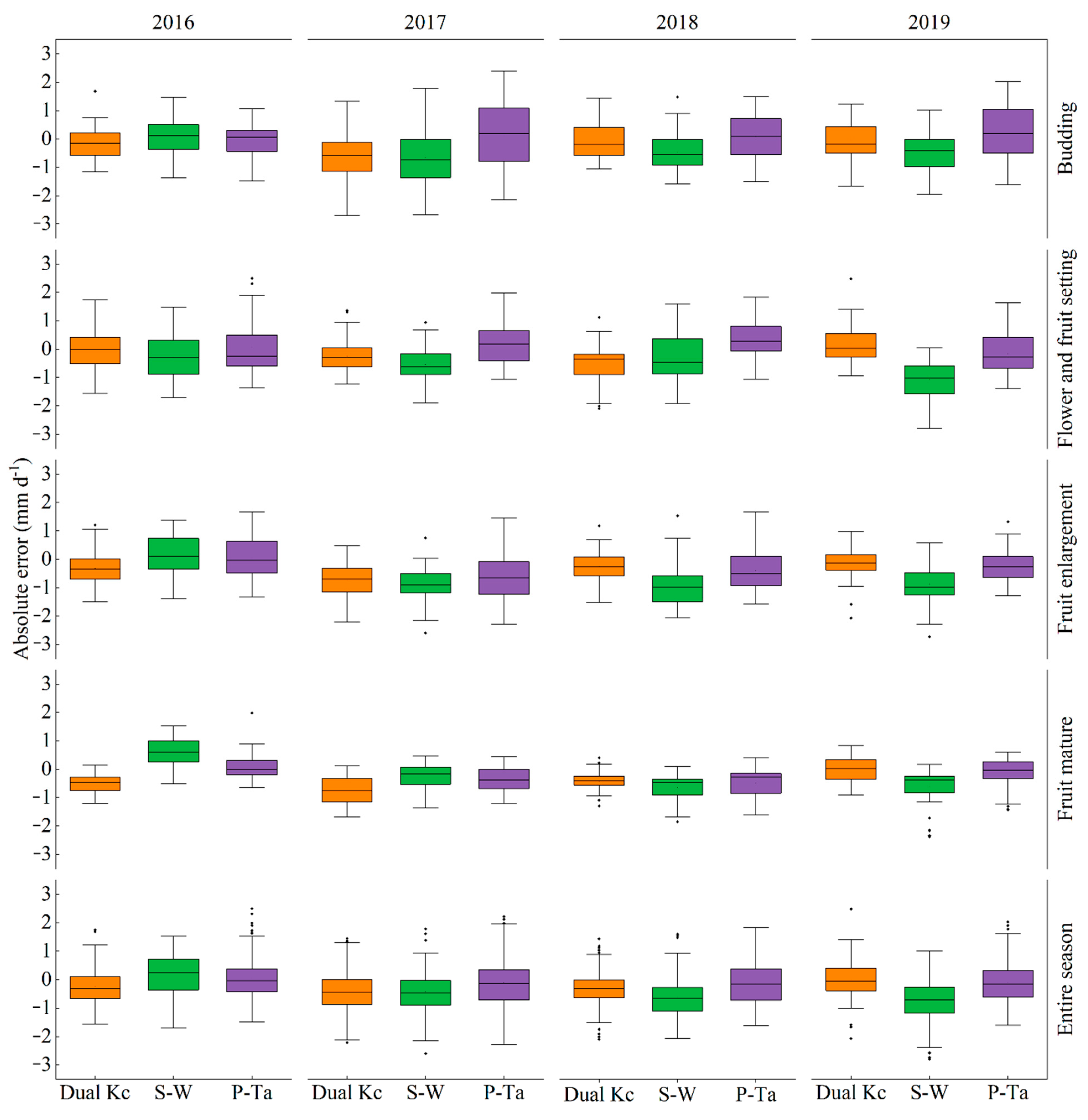
3.5. Comparisons of Measured Jujube ET and ET Simulated with Three Models
3.6. Model Sensitivity Analysis
4. Discussion
5. Conclusions
- (1)
- After improving the calculation method of “α” by using either linear fitting for different growth periods (P–Ta) or a quadratic function over the entire growth period (P–Tb), the R2 of the P–T model increased from 0.62–0.74 to 0.74–0.83. Both of the improved models provided good simulations of jujube evapotranspiration. Simulation accuracy was slightly higher for P–Ta than for P–Tb.
- (2)
- The basal crop coefficients of the modified Dual Kc model at the initial, middle, and end stages of development were 0.4, 1.0, and 0.5, respectively. The error analysis results showed that the overall simulation error for the Dual Kc model was low, and that the model simulation was stable. However, simulation accuracy decreased when there was severe water deficit, resulting in jujube ET being significantly underestimated.
- (3)
- Simulation error for the S–W model was larger than for the other models, and the model generally underestimated ET. In addition, it can be seen from the NSE and RSR values that S–W simulations were the worst and most unstable of the three models.
- (4)
- Through our comprehensive evaluation of these three ET models we conclude that the simulation abilities of the Dual Kc model and P–Ta model were similar, and slightly better than the S–W model. The simulation effect grade for the Dual Kc model was “Excellent” during the four years of the study, and the simulation stability was higher than that observed for the P–Ta model. The P–Ta model was easily affected by changes in net radiation and air temperature due to the few formula parameters. Therefore, the Dual Kc model had better performance than the S–W model and the P–Ta model in estimating jujube ET and could be recommended to estimate jujube ET.
Author Contributions
Funding
Conflicts of Interest
References
- SBX. Xinjiang Statistical Yearbook in 2019; China Statistical Publishing House: Ürümqi, China, 2020. [Google Scholar]
- Anupoju, V.; Kambhammettu, B.V.N.P. Role of deficit irrigation strategies on ET partition and crop water productivity of rice in semi-arid tropics of south India. Irrig. Sci. 2020, 38, 415–430. [Google Scholar] [CrossRef]
- Raphael, O.; Ogedengbe, K.; Fasinmirin, J.; Okunade, D.; Akande, I.; Gbadamosi, A. Growth-stage-specific crop coefficient and consumptive use of Capsicum chinense using hydraulic weighing lysimeter. Agric. Water Manag. 2018, 203, 179–185. [Google Scholar] [CrossRef]
- García-Tejero, I.; López-Borrallo, D.; Miranda, L.; Medina, J.; Arriaga, J.; Muriel-Fernández, J.; Martínez-Ferri, E. Estimating strawberry crop coefficients under plastic tunnels in Southern Spain by using drainage lysimeters. Sci. Hortic. 2018, 231, 233–240. [Google Scholar] [CrossRef]
- Allen, R.G.; Pereira, L.S.; Raes, D.; Smith, M. Crop Evapotranspiration: Guidelines for Computing Crop Water Requirements. In FAO Irrigation and Drainage Paper 56; FAO: Rome, Italy, 1998. [Google Scholar]
- Tian, F.; Yang, P.; Hu, H.; Dai, C. Partitioning of Cotton Field Evapotranspiration under Mulched Drip Irrigation Based on a Dual Crop Coefficient Model. Water 2016, 8, 72. [Google Scholar] [CrossRef]
- Peddinti, S.R.; Kambhammettu, B.P. Dynamics of crop coefficients for citrus orchards of central India using water balance and eddy covariance flux partition techniques. Agric. Water Manag. 2019, 212, 68–77. [Google Scholar] [CrossRef]
- Rallo, G.; Paço, T.; Paredes, P.; Puig-Sirera, À.; Massai, R.; Provenzano, G.; Pereira, L. Updated single and dual crop coefficients for tree and vine fruit crops. Agric. Water Manag. 2021, 250, 106645. [Google Scholar] [CrossRef]
- Lozano, D.; Ruiz, N.; Gavilán, P. Consumptive water use and irrigation performance of strawberries. Agric. Water Manag. 2016, 169, 44–51. [Google Scholar] [CrossRef]
- Priestley, C.H.B.; Taylor, R.J. On the Assessment of Surface Heat Flux and Evaporation Using Large-Scale Parameters. Mon. Weather Rev. 1972, 100, 81–92. [Google Scholar] [CrossRef]
- Akumaga, U.; Alderman, P.D. Comparison of Penman—Monteith and Priestley—Taylor Evapotranspiration Methods for Crop Modeling in Oklahoma. Agron. J. 2019, 111, 1171–1180. [Google Scholar] [CrossRef]
- Ngongondo, C.; Xu, C.-Y.; Tallaksen, L.M.; Alemaw, B. Evaluation of the FAO Penman—Montheith, Priestley—Taylor and Hargreaves models for estimating reference evapotranspiration in southern Malawi. Hydrol. Res. 2013, 44, 706–722. [Google Scholar] [CrossRef]
- Wang, X.; Zhang, B.; Li, F.; Li, X.; Li, X.; Wang, Y.; Shao, R.; Tian, J.; He, C. Vegetation restoration projects intensify intraregional water recycling processes in the agro-pastoral ecotone of Northern China. J. Hydrometeorol. 2021, 22, 1385–1403. [Google Scholar] [CrossRef]
- Jobson, H.E. Evaporation Into the Atmosphere: Theory, History, and Applications. Eos Trans. Am. Geophys. Union 1982, 63, 1223. [Google Scholar] [CrossRef]
- Flint, A.L.; Childs, S.W. Use of the Priestley-Taylor evaporation equation for soil water limited conditions in a small forest clearcut. Agric. For. Meteorol. 1991, 56, 247–260. [Google Scholar] [CrossRef]
- Baldocchi, D. A comparative study of mass and energy exchange over a closed C3 (wheat) and an open C4 (corn) canopy: I. The partitioning of available energy into latent and sensible heat exchange. Agric. For. Meteorol. 1994, 67, 191–220. [Google Scholar] [CrossRef]
- Shuttleworth, W.J.; Wallace, J.S. Evaporation from sparse crops-an energy combination theory. Q. J. R. Meteorol. Soc. 1985, 111, 839–855. [Google Scholar] [CrossRef]
- Liu, X.; Xu, J.; Wang, W.; Lv, Y.; Li, Y. Modeling rice evapotranspiration under water-saving irrigation condition: Improved canopy-resistance-based. J. Hydrol. 2020, 590, 125435. [Google Scholar] [CrossRef]
- Huang, S.; Yan, H.; Zhang, C.; Wang, G.; Acquah, S.J.; Yu, J.; Li, L.; Ma, J.; Darko, R.O. Modeling evapotranspiration for cucumber plants based on the Shuttleworth-Wallace model in a Venlo-type greenhouse. Agric. Water Manag. 2020, 228, 105861. [Google Scholar] [CrossRef]
- Ortega-Farias, S.; Poblete-Echeverría, C.; Brisson, N. Parameterization of a two-layer model for estimating vineyard evapotranspiration using meteorological measurements. Agric. For. Meteorol. 2010, 150, 276–286. [Google Scholar] [CrossRef]
- Meng, W.; Sun, X.; Ma, J.; Guo, X.; Lei, T.; Li, R. Measurement and simulation of the water storage pit irrigation trees evapotranspiration in the Loess Plateau. Agric. Water Manag. 2019, 226, 105804. [Google Scholar] [CrossRef]
- Dong, J.; Yue, N.; Dang, H.; Wang, G.; Wei, G. Estimation of evapotranspiration in maize fields with ground mulching with plastic film in semi-arid areas using revised Shuttleworth-Wallace model. Chin. J. Eco-Agric. 2016, 24, 674–683. [Google Scholar] [CrossRef]
- Ai, P.; Ma, Y.; Hai, Y. Jujube is at a competitiveness disadvantage to cotton in intercropped system. Agron. J. 2021. [Google Scholar] [CrossRef]
- Hong, M.; Zhu, H.; Mu, H.; Zhao, J.; Ma, Y. The water consumption rule of jujube trees under different emitter flow rate and irrigation quota. Agric. Res. Arid Reg. 2014, 1, 72–77. [Google Scholar]
- Feigenwinter, C.; Franceschi, J.; Larsen, J.A.; Spirig, R.; Vogt, R. On the performance of microlysimeters to measure non-rainfall water input in a hyper-arid environment with focus on fog contribution. J. Arid Environ. 2020, 182, 104260. [Google Scholar] [CrossRef]
- Zhou, M.C.; Ishidaira, H.; Hapuarachchi, H.P.; Magome, J.; Kiem, A.S.; Takeuchi, K. Estimating potential evapotranspiration using Shuttleworth–Wallace model and NOAA-AVHRR NDVI data to feed a distributed hydrological model over the Mekong River basin. J. Hydrol. 2006, 327, 151–173. [Google Scholar] [CrossRef]
- Chen, F.; Dudhia, J. Coupling an advanced land surface-hydrology model with the Penn State-NCAR MM5 modeling system. Part I: Model implementation and sensitivity. Mon. Weather Rev. 2001, 129, 569–585. [Google Scholar] [CrossRef]
- Gardiol, J.M.; Serio, L.A.; Della Maggiora, A.I. Modelling evapotranspiration of corn (Zea mays) under different plant densities. J. Hydrol. 2003, 271, 188–196. [Google Scholar] [CrossRef]
- Tourula, T.; Heikinheimo, M. Modelling evapotranspiration from a barley field over the growing season. Agric. For. Meteorol. 1998, 91, 237–250. [Google Scholar] [CrossRef]
- Villagarcía, L.; Were, A.; García, M.; Domingo, F. Sensitivity of a clumped model of evapotranspiration to surface resistance parameterisations: Application in a semi-arid environment. Agric. For. Meteorol. 2010, 150, 1065–1078. [Google Scholar] [CrossRef]
- Crow, W.T.; Kustas, W.P.; Prueger, J.H. Monitoring root-zone soil moisture through the assimilation of a thermal remote sensing-based soil moisture proxy into a water balance model. Remote Sens. Environ. 2008, 112, 1268–1281. [Google Scholar] [CrossRef]
- Noilhan, J.; Planton, S. A Simple Parameterization of Land Surface Processes for Meteorological Models. Mon. Weather Rev. 1989, 117, 536–549. [Google Scholar] [CrossRef]
- Kato, T.; Kimura, R.; Kamichika, M. Estimation of evapotranspiration, transpiration ratio and water-use efficiency from a sparse canopy using a compartment model. Agric. Water Manag. 2004, 65, 173–191. [Google Scholar] [CrossRef]
- Yang, L.; Gao, Y.; Han, M.; Shen, X.; Gong, W.; Duan, A. Simulation of Soil Moisture Dynamics and Soil Evaporation of Winter Wheat Based on SIMDual_Kc Model in Northern Henan Province. J. Soil Water Conserv. 2016, 30, 147–153. [Google Scholar] [CrossRef]
- Gonzalez-Ollauri, A.; Stokes, A.; Mickovski, S.B. A novel framework to study the effect of tree architectural traits on stemflow yield and its consequences for soil-water dynamics. J. Hydrol. 2020, 582, 124448. [Google Scholar] [CrossRef]
- Choi, J.Y.; Choi, C.-H. Sensitivity analysis of multilayer perceptron with differentiable activation functions. IEEE Trans. Neural Netw. 1992, 3, 101–107. [Google Scholar] [CrossRef] [PubMed]
- Rosa, R.D.; Paredes, P.; Rodrigues, G.C.; Fernando, R.M.; Alves, I.; Pereira, L.S.; Allen, R.G. Implementing the dual crop coefficient approach in interactive software: 2. Model testing. Agric. Water Manag. 2012, 103, 62–77. [Google Scholar] [CrossRef]
- Wang, Z.; Cai, H.; Yu, L.; Wang, X.; Shi, X. Estimation of evapotranspiration and soil evaporation of winter wheat in arid region of Northwest China based on SIMDualKc model. Trans. Chin. Soc. Agric. Eng. 2016, 32, 126–136. [Google Scholar] [CrossRef]
- Song, L.; Kustas, W.P.; Liu, S.; Colaizzi, P.D.; Nieto, H.; Xu, Z.; Ma, Y.; Li, M.; Xu, T.; Agam, N.; et al. Applications of a thermal-based two-source energy balance model using Priestley-Taylor approach for surface temperature partitioning under advective conditions. J. Hydrol. 2016, 540, 574–587. [Google Scholar] [CrossRef]
- Gong, X.; Qiu, R.; Ge, J.; Bo, G.; Ping, Y.; Xin, Q.; Wang, S. Evapotranspiration partitioning of greenhouse grown tomato using a modified Priestley—Taylor model. Agric. Water Manag. 2021, 247, 106709. [Google Scholar] [CrossRef]
- Qiu, R.; Liu, C.; Cui, N.; Wu, Y.; Wang, Z.; Li, G. Evapotranspiration estimation using a modified Priestley-Taylor model in a rice-wheat rotation system. Agric. Water Manag. 2019, 224, 105755. [Google Scholar] [CrossRef]
- Wu, H. Evapotranspiration estimation of Platycladus orientalis in Northern China based on various models. J. For. Res. 2016, 27, 871–878. [Google Scholar] [CrossRef]
- Bottazzi, M.; Bancheri, M.; Mobilia, M.; Bertoldi, G.; Longobardi, A.; Rigon, R. Comparing Evapotranspiration Estimates from the GEOframe-Prospero Model with Penman–Monteith and Priestley-Taylor Approaches under Different Climate Conditions. Water 2021, 13, 1221. [Google Scholar] [CrossRef]
- Guo, J.; Li, Q.; Yan, C.; Mei, X.; Li, Y. Effects of small area irrigation on water and heat transport of winter wheat field under drought condition. Trans. Chin. Soc. Agric. Eng. 2008, 24, 20–24. [Google Scholar] [CrossRef]
- Ramarohetra, J.; Sultan, B. Impact of ET0 method on the simulation of historical and future crop yields: A case study of millet growth in Senegal. Int. J. Climatol. 2018, 38, 729–741. [Google Scholar] [CrossRef]
- Gan, G.; Liu, Y. Inferring transpiration from evapotranspiration: A transpiration indicator using the Priestley-Taylor coefficient of wet environment. Ecol. Indic. 2020, 110, 105853. [Google Scholar] [CrossRef]
- Tong, X.; Zhang, J.; Meng, P.; Li, J.; Zheng, N. Environmental controls of evapotranspiration in a mixed plantation in North China. Int. J. Biometeorol. 2017, 61, 227–238. [Google Scholar] [CrossRef]
- Liang, C.; Ma, J.; Yang, R.; Tian, Y.; Jiao, X.; Cha, T.; Yang, L. Priestley-Taylor model coefficient in a typical Artemisia ordosica shrubland in Mu Us Sandy Land of northwestern China. J. Beijing For. Univ. 2018, 40, 1–8. [Google Scholar] [CrossRef]
- Tongwane, M.I.; Savage, M.J.; Tsubo, M.; Moeletsi, M.E. Seasonal variation of reference evapotranspiration and Priestley-Taylor coefficient in the eastern Free State, South Africa. Agric. Water Manag. 2017, 187, 122–130. [Google Scholar] [CrossRef]
- Bellvert, J.; Adeline, K.; Baram, S.; Pierce, L.; Sanden, B.L.; Smart, D.R. Monitoring Crop Evapotranspiration and Crop Coefficients over an Almond and Pistachio Orchard Throughout Remote Sensing. Remote Sens. 2018, 10, 2001. [Google Scholar] [CrossRef]
- Cammalleri, C.; Ciraolo, G.; Minacapilli, M.; Rallo, G. Evapotranspiration from an Olive Orchard using Remote Sensing-Based Dual Crop Coefficient Approach. Water Resour. Manag. 2013, 27, 4877–4895. [Google Scholar] [CrossRef]
- Espadafor, M.; Orgaz, F.; Testi, L.; Lorite, I.J.; Villalobos, F.J. Transpiration of young almond trees in relation to intercepted radiation. Irrig. Sci. 2015, 33, 265–275. [Google Scholar] [CrossRef]
- Rana, G.; Katerji, N.; de Lorenzi, F. Measurement and modelling of evapotranspiration of irrigated citrus orchard under Mediterranean conditions. Agric. For. Meteorol. 2005, 128, 199–209. [Google Scholar] [CrossRef]
- Er-Raki, S.; Chehbouni, A.; Guemouria, N.; Ezzahar, J.; Khabba, S.; Boulet, G.; Hanich, L. Citrus orchard evapotranspiration: Comparison between eddy covariance measurements and the FAO-56 approach estimates. Plant Biosyst. Int. J. Deal. All Asp. Plant Biol. 2009, 143, 201–208. [Google Scholar] [CrossRef]
- Ai, P.; Ma, Y. Estimation of Evapotranspiration of a Jujube/Cotton Intercropping System in an Arid Area Based on the Dual Crop Coefficient Method. Agriculture 2020, 10, 65. [Google Scholar] [CrossRef]
- Darouich, H.; Karfoul, R.; Ramos, T.B.; Moustafa, A.; Shaheen, B.; Pereira, L.S. Crop water requirements and crop coefficients for jute mallow (Corchorus olitorius L.) using the SIMDualKc model and assessing irrigation strategies for the Syrian Akkar region. Agric. Water Manag. 2021, 255, 107038. [Google Scholar] [CrossRef]
- Wu, N.; Yang, C.; Luo, Y.; Sun, L. Estimating Evapotranspiration and ItsComponents in Cotton Fields under DeficitIrrigation Conditions. Pol. J. Environ. Stud. 2019, 28, 393–405. [Google Scholar] [CrossRef]
- Mu, Y.; Li, J.; Tong, X.; Zhang, J.; Meng, P.; Ren, B. Evapotranspiration simulated by Penman-Monteith and Shuttleworth-Wallace models over a mixed plantation in the southern foot of the Taihang Mountain, northern China. J. Beijing For. Univ. 2017, 39, 35–44. [Google Scholar] [CrossRef]
- Wei, X.; Liu, S.; Chen, D.; Wang, Y.; Wang, X.; Wei, X. Applicability of Shuttleworth-Wallace Model for Evapotranspiration Estimation of Jujube Forests in Loess Hilly-gully Region. Trans. Chin. Soc. Agric. Mach. 2015, 46, 142–151. [Google Scholar] [CrossRef]
- Gao, X.; Gu, F.; Gong, D.; Hao, W.; Chu, J.; Li, H. Comparison of three evapotranspiration models in a rain-fed spring maize filed in the Loess Plateau, China. J. Agric. Meteorol. 2020, 76, 155–163. [Google Scholar] [CrossRef]










| Growing Season | Spring Irrigation | Budding | Flower and Fruit Setting | Fruit Enlargement | Fruit Mature | Entire Season |
|---|---|---|---|---|---|---|
| 2016 | 40 mm | 78 mm | 158 mm | 205 mm | 35 mm | 516 mm |
| 2017 | 40 mm | 95 mm | 159 mm | 201 mm | 35 mm | 530 mm |
| 2018 | 40 mm | 108 mm | 157 mm | 199 mm | 35 mm | 539 mm |
| 2019 | 40 mm | 102 mm | 143 mm | 199 mm | 35 mm | 519 mm |
| Symbol | Name | Unit |
|---|---|---|
| Density of dry air | kg m−3 | |
| Psychrometric constant | Pa °C−1 | |
| Slope of saturation to vapor pressure curve | Pa °C−1 | |
| Water vapor pressure deficit | kPa | |
| Net radiation flux | MJ m−2 day−1 | |
| Surface soil heat flux | MJ m−2 day−1 | |
| Leaf area index | m2 m−2 | |
| Air temperature | °C | |
| Air relative humidity | % | |
| Atmospheric pressure | kPa | |
| Altitude | m | |
| Mean boundary layer resistance | s m−1 | |
| Canopy characteristic leaf width | m | |
| Wind speed at the top of canopy | m s−1 | |
| Mean height of the crop | m | |
| Eddy diffusion decay constant | - | |
| Minimum canopy resistance | - | |
| Effective leaf area index | - | |
| Wilting coefficient of soil | % | |
| Soil water-holding capacity | % | |
| Soil moisture of the soil root system | % | |
| Reference height | m | |
| Roughness length | m | |
| Zero-plane displacement | m | |
| Wind speed | m s−1 | |
| Reference evapotranspiration | mm day−1 | |
| Crop evapotranspiration | mm day−1 | |
| Latent heat flux | MJ kg−1 [5] | |
| Specific heat capacity of air | J kg−1 °C−1 [5] | |
| Extinction coefficient of light | [16] | |
| Shielding factor | [16] | |
| Maximum stomatal resistance value | m s−1 [31] | |
| Empirical coefficient | kPa−1 [32] | |
| Effective roughness length | m [33] | |
| von Kármán constant | [21] | |
| Mean drag coefficient for leaves | [26] |
| Relevant Parameters | Initial Values | Calibrated Values | |
|---|---|---|---|
| Soil parameters | Ze (m) | 0.10 | 0.15 |
| TEW (mm) | 26.00 | 39.00 | |
| REW (mm) | 11.00 | 9.00 | |
| Crop parameters | Kcb-int | 0.45 | 0.40 |
| Kcb-mid | 1.10 | 1.00 | |
| Kcb-end | 0.85 | 0.50 | |
| 0.65 | 0.40 | ||
| Different Fitting Methods | Budding | Flower and Fruit Setting | Fruit Enlargement | Fruit Mature |
|---|---|---|---|---|
| P−Ta(improved) | = 1.31080.9661 | α = 0.78 | α = 0.63 | α = 0.33 |
| P–Tb(improved) | α = −0.3204 + 1.0457 0.0657 | |||
| P–Tc(original) | α = 0.64 | |||
| Levels | “” Value Range | Relative Sensitivity |
|---|---|---|
| Ⅰ | Insensitive | |
| Ⅱ | Minor sensitivity | |
| Ⅲ | Sensitive | |
| Ⅳ | More sensitive | |
| Ⅴ | Very sensitive |
| Grade | NSE | RSR |
|---|---|---|
| Excellent | (0.75–1.00) | (0.0–0.5) |
| Good | (0.65–0.75) | (0.5–0.6) |
| Adequate | (0.50–0.65) | (0.6–0.7) |
| Unacceptable | (0.00–0.50) | (0.7–1.0) |
| Year | Model | b | R2 | RMSE | MAE | dIA | PBIAS | NSE | RSR | Grade |
|---|---|---|---|---|---|---|---|---|---|---|
| 2016 | P–Ta | 0.9 | 0.81 | 0.7 | 0.54 | 0.95 | −1.58 | 0.8 | 0.45 | Excellent |
| P–Tb | 0.89 | 0.75 | 0.82 | 0.63 | 0.93 | −3.14 | 0.74 | 0.52 | Good | |
| P–Tc | 0.59 | 0.62 | 0.97 | 0.8 | 0.86 | −0.62 | 0.31 | 0.62 | Unacceptable | |
| 2017 | P–Ta | 0.92 | 0.74 | 0.88 | 0.71 | 0.92 | 3.41 | 0.73 | 0.56 | Good |
| P–Tb | 0.9 | 0.79 | 0.76 | 0.59 | 0.94 | 3.81 | 0.77 | 0.48 | Good | |
| P–Tc | 0.61 | 0.74 | 0.88 | 0.73 | 0.89 | 8.55 | 0.41 | 0.55 | Unacceptable | |
| 2018 | P–Ta | 1.04 | 0.76 | 0.77 | 0.63 | 0.92 | 4.05 | 0.76 | 0.58 | Good |
| P–Tb | 1.03 | 0.74 | 0.83 | 0.68 | 0.91 | 2.41 | 0.73 | 0.63 | Adequate | |
| P–Tc | 0.69 | 0.66 | 0.79 | 0.66 | 0.89 | 5.38 | 0.51 | 0.59 | Adequate | |
| 2019 | P–Ta | 0.96 | 0.82 | 0.71 | 0.57 | 0.95 | 3.19 | 0.82 | 0.45 | Excellent |
| P–Tb | 0.92 | 0.83 | 0.67 | 0.55 | 0.95 | 3.5 | 0.82 | 0.43 | Excellent | |
| P–Tc | 0.59 | 0.72 | 0.9 | 0.73 | 0.88 | 7.73 | 0.35 | 0.57 | Unacceptable |
| Year | Model | b | R2 | RMSE (mm/d) | MAE (mm/d) | dIA | PBIAS | NSE | RSR | Grade |
|---|---|---|---|---|---|---|---|---|---|---|
| 2016 | Dual Kc | 1.00 | 0.87 | 0.65 | 0.53 | 0.96 | 8.93 | 0.85 | 0.41 | Excellent |
| S–W | 0.83 | 0.79 | 0.74 | 0.61 | 0.94 | −2.90 | 0.75 | 0.47 | Excellent | |
| P–Ta | 0.90 | 0.81 | 0.70 | 0.54 | 0.95 | −1.58 | 0.80 | 0.45 | Excellent | |
| 2017 | Dual Kc | 1.00 | 0.84 | 0.82 | 0.66 | 0.94 | 13.78 | 0.79 | 0.50 | Excellent |
| S–W | 0.84 | 0.81 | 0.81 | 0.66 | 0.93 | 13.50 | 0.72 | 0.50 | Good | |
| P–Ta | 0.92 | 0.74 | 0.88 | 0.71 | 0.92 | 3.41 | 0.73 | 0.56 | Good | |
| 2018 | Dual Kc | 0.93 | 0.82 | 0.66 | 0.53 | 0.94 | 10.18 | 0.77 | 0.49 | Excellent |
| S–W | 0.89 | 0.74 | 0.93 | 0.79 | 0.88 | 20.24 | 0.61 | 0.64 | Adequate | |
| P–Ta | 1.04 | 0.76 | 0.77 | 0.63 | 0.92 | 4.05 | 0.76 | 0.58 | Good | |
| 2019 | Dual Kc | 0.92 | 0.86 | 0.60 | 0.46 | 0.96 | 0.06 | 0.85 | 0.38 | Excellent |
| S–W | 0.80 | 0.82 | 0.94 | 0.76 | 0.90 | 22.05 | 0.63 | 0.55 | Adequate | |
| P–Ta | 0.96 | 0.82 | 0.71 | 0.57 | 0.95 | 3.19 | 0.82 | 0.45 | Excellent |
| Model | Change in Parameter | ||||||
| S–W | −20% | −10.47% | −20.04% | −2.48% | 3.13% | 10.26% | −12.06% |
| 20% | 7.35% | 20.04% | 2.27% | −2.98% | −10.72% | 8.80% | |
| Dual Kc | −20% | −1.44% | −1.78% | 0.11% | −0.13% | −0.02% | |
| 20% | 0.20% | 0.73% | 0.01% | 0.11% | 0.02% | ||
| P–Ta | −20% | −6.12% | −25.00% | ||||
| 20% | 6.08% | 25.00% | |||||
| Model | Change in Parameter | ||||||
| S–W | −20% | 1.86% | −0.62% | 5.12% | −5.62% | 1.53% | −0.11% |
| 20% | −2.05% | 0.60% | −3.95% | 4.84% | −1.40% | 0.11% |
Disclaimer/Publisher’s Note: The statements, opinions and data contained in all publications are solely those of the individual author(s) and contributor(s) and not of MDPI and/or the editor(s). MDPI and/or the editor(s) disclaim responsibility for any injury to people or property resulting from any ideas, methods, instructions or products referred to in the content. |
© 2023 by the authors. Licensee MDPI, Basel, Switzerland. This article is an open access article distributed under the terms and conditions of the Creative Commons Attribution (CC BY) license (https://creativecommons.org/licenses/by/4.0/).
Share and Cite
Ai, P.; Ma, Y.; Hai, Y. Comparing Simulated Jujube Evapotranspiration from P–T, Dual Kc, and S–W Models against Measurements Using a Large Weighing Lysimeter under Drip Irrigation in an Arid Area. Agriculture 2023, 13, 437. https://doi.org/10.3390/agriculture13020437
Ai P, Ma Y, Hai Y. Comparing Simulated Jujube Evapotranspiration from P–T, Dual Kc, and S–W Models against Measurements Using a Large Weighing Lysimeter under Drip Irrigation in an Arid Area. Agriculture. 2023; 13(2):437. https://doi.org/10.3390/agriculture13020437
Chicago/Turabian StyleAi, Pengrui, Yingjie Ma, and Ying Hai. 2023. "Comparing Simulated Jujube Evapotranspiration from P–T, Dual Kc, and S–W Models against Measurements Using a Large Weighing Lysimeter under Drip Irrigation in an Arid Area" Agriculture 13, no. 2: 437. https://doi.org/10.3390/agriculture13020437
APA StyleAi, P., Ma, Y., & Hai, Y. (2023). Comparing Simulated Jujube Evapotranspiration from P–T, Dual Kc, and S–W Models against Measurements Using a Large Weighing Lysimeter under Drip Irrigation in an Arid Area. Agriculture, 13(2), 437. https://doi.org/10.3390/agriculture13020437

