Effect of Enzyme Activity Changes on Decomposition Characteristics of Leaf Litter Mixed Decomposition of Configurated Tree Species in Ecological Tea Garden
Abstract
1. Introduction
2. Materials and Methods
2.1. Study Area
2.2. Experimental Design and Arrangement
2.3. Sample Recovery and Testing
2.4. Data Analysis
2.5. Data Processing
3. Results
3.1. Decomposition Characteristics of Different Mixed Leaf Litters
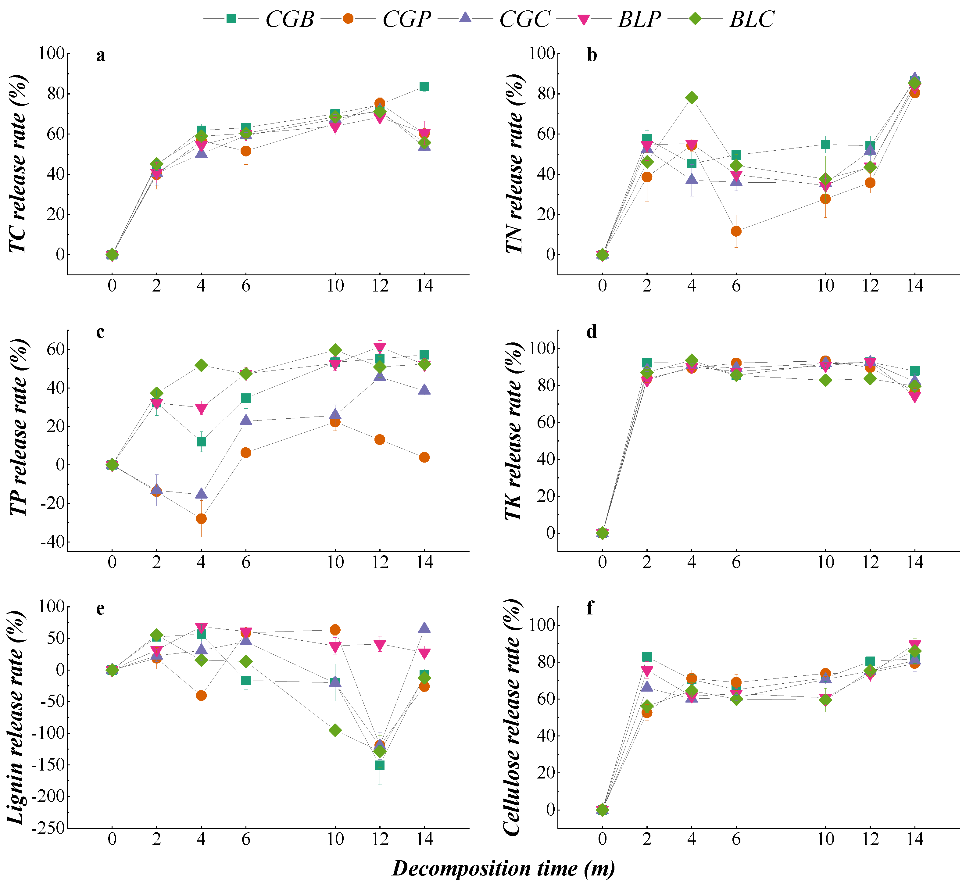
3.2. Dynamics of Element Release from Different Mixed Litter Leaves
3.3. Dynamic Changes in Leaf Litter Decomposition Enzyme Activity in Different Leaf Mixtures
3.4. Correlation between Leaf Litter Decomposition Rate, Nutrient Release Rate and Enzyme Activity
4. Discussion
5. Conclusions
Author Contributions
Funding
Institutional Review Board Statement
Data Availability Statement
Acknowledgments
Conflicts of Interest
References
- Chen, T.; Xi, M.; Kong, F.; Li, Y.; Pang, L. A review on litter decomposition and influence factors. Chin. J. Ecol. 2016, 35, 1927–1935. [Google Scholar] [CrossRef]
- Manzoni, S.; Jackson, R.B.; Trofymow, J.A.; Porporato, A. The Global Stoichiometry of Litter Nitrogen Mineralization. Science 2008, 321, 684–686. [Google Scholar] [CrossRef]
- Kaimin, L.; Zhiqin, Z.; Guanqiu, C.; Zongming, H.; Xiangqing, M. Decomposition characteristics and its nutrient dynamics of leaf litter mixtures of both Chinese fir and Phoeba bournei. Acta Ecol. Sin. 2006, 26, 2732–2738. [Google Scholar] [CrossRef]
- Hongyue, H.; Changming, M.; Hongxiang, M.; Yuanyuan, S. The Decomposition Characteristics and Soil Nutrient Dynamics of Leaf Litter Mixture of Laric principis-rupprechtii and Betula platyphylla. For. Resour. Manag. 2018, 0, 93–100. [Google Scholar] [CrossRef]
- Hongyue, H.; Hongxiang, M.; Changming, M.; Yuanyuan, S. The decomposition characteristics and their effect on soil nutrients of leaf litter mixtures of Larix principis-rupprechtii and Lespedeza bicolor. J. Hebei Agric. Univ. 2018, 41, 55–61. [Google Scholar] [CrossRef]
- Waring, B.G. Exploring relationships between enzyme activities and leaf litter decomposition in a wet tropical forest. Soil Biol. Biochem. 2013, 64, 89. [Google Scholar] [CrossRef]
- Aubert, M.; Margerie, P.; Trap, J.; Bureau, F. Aboveground–belowground relationships in temperate forests: Plant litter composes and microbiota orchestrates. For. Ecol. Manag. 2010, 259, 563–572. [Google Scholar] [CrossRef]
- Criquet, S.; Ferre, E.; Farnet, A.M.; Le Petit, J. Annual dynamics of phosphatase activities in an evergreen oak litter: Influence of biotic and abiotic factors. Soil Biol. Biochem. 2004, 36, 1111–1118. [Google Scholar] [CrossRef]
- Yaling, Y.; Danjie, Z.; Yan, Z.; Xun, L.; Yamei, C.; Yu, Q.; Jian, Z. Enzyme activities in the early stage of mixed leaf litter decomposition from Pinus massoniana and broad-leaved tree species. Chin. J. Appl. Environ. Biol. 2018, 24, 508–517. [Google Scholar] [CrossRef]
- Yonghui, T.; Yongjun, T. Model of Ecological Tea Plantation and Benefical Analysis in Guizhou. Guizhou Agric. Sci. 2000, 28, 46–48. [Google Scholar]
- Jun, L.; Shengchuan, L.; Yuanfa, L.; Jialun, W.; Huajian, H.; Zhengwu, C.; Xueyi, D. Construction of Ecological Tea Plantation in Guizhou and its Development Model. J. Mt. Agric. Biol. 2012, 31, 250–254. [Google Scholar] [CrossRef]
- Bocock, K.L.; Gilbert, O.J.W. The Disappearance of Leaf Litter under Different Woodland Conditions; Springer: Berlin/Heidelberg, Germany, 1957; Volume 9, pp. 179–185. [Google Scholar] [CrossRef]
- Ming, D.; Yifeng, W.; Fanzhi, K.; Gaoming, J.; Zhibin, Z. Survey, Observation and Analysis of Terrestrial Biocommunities; Standards Press of China: Beijing, China, 1997; pp. 152–153. [Google Scholar]
- LY/T 1271-1999; Determination of Total Nitrogen, Phosphorus, Potassium, Sodium, Calcium, Magnesium in Forest Plant and Forest Floor. The State Forestry Administration of the People’s Republic of China: Beijing, China, 1999.
- LY/T 1269-1999; Determination of Total Nitrogen in Forest Plant and Forest Floor. The State Forestry Administration of the People’s Republic of China: Beijing, China, 1999.
- LY/T 1270-1999; Determination of Total Silica, Iron, Aluminium, Calcium, Magnesium, Potassium, Sodium, Phosphorus, Sulphur, Manganese, Copper and Zinc in Forest Plant and Forest Floor. The State Forestry Administration of the People’s Republic of China: Beijing, China, 1999.
- Jingjing, Y. Litter Decomposition Characteristics in Different Habitats in Extreme Arid Area. Master’s Thesis, Tarim Universitry, Tarim, China, 2020. [Google Scholar]
- Olson, J.S. Energy Storage and the Balance of Producers and Decomposers in Ecological Systems. Ecol. Soc. Am. 1963, 44, 322–331. [Google Scholar]
- Berg, B.; Berg, M.P.; Bottner, P.; Box, E.; Breymeyer, A.; De Anta, R.C.; Couteaux, M.; Escudero, A.; Gallardo, A.; Kratz, W.; et al. Litter Mass Loss Rates in Pine Forests of Europe and Eastern United States: Some Relationships with Climate and Litter Quality. Biogeochemistry 1993, 20, 127–159. [Google Scholar] [CrossRef]
- Zar, A.M.N.; Ez, S.N.N.; Rquez, A.B. Leaf litter decomposition in a southern Sonoran Desert ecosystem, northwestern Mexico: Effects of habitat and litter quality. Acta Oecologica 2007, 32, 291–300. [Google Scholar] [CrossRef]
- Lulu, G.; Zongming, H.; Qingquan, M.; Yu, L. Mixed Decomposition Process of Litterfall of Acacia aulacocarpa and Casuarina equisetifolia Plantations in Southeast Coastal Area. J. Northeast. For. Univ. 2019, 47, 35–40. [Google Scholar] [CrossRef]
- Shaqian, L.; Rui, Y.; Chunlan, H.; Juebing, M.; Jiarui, G. Decomposition Characteristics of Lignin and Cellulose in Different Litters of Ecological Tea Gardens in Mountainous Areas of Guizhou. J. Tea. Sci. 2021, 41, 654–668. [Google Scholar] [CrossRef]
- Xinjian, X.; Jingyao, C.; Xintuo, Y. Studies on the Litter Nutrient Returns of Six Maior Chinese Fir Assoeiated Species in Wuyi Moutains. J. Fujian Coll. For. 1995, 15, 213–217. [Google Scholar] [CrossRef]
- Yihui, H.; Lingzhi, C.; Qinglang, C.; Fanzhi, K.; Yougui, M. Studies on the litter decomposition rates of several plants. Acta Phytoecologica Geobotanica Sinica 1987, 11, 124–132. [Google Scholar]
- Garcia-Pausas, J.; Casals, P.; Romanyà, J. Litter decomposition and faunal activity in Mediterranean forest soils: Effects of N content and the moss layer. Soil Biol. Biochem. 2004, 36, 989–997. [Google Scholar] [CrossRef]
- Singhk, P.; Singhp, K.; Tripathis, K. Litterfall, litter decomposition and nutrient release patterns in four native tree species raised on coal mine spoil at Singrauli, India. Biol. Fertil. Soils 1999, 29, 371–378. [Google Scholar] [CrossRef]
- Aerts, R. Climate, Leaf Litter Chemistry and Leaf Litter Decomposition in Terrestrial Ecosystems: A Triangular Relationship. Oikos 1997, 79, 439–449. [Google Scholar]
- Zhouyu, L.; Yang, H.; Shaojun, W.; Peng, C. Leaf litter decomposition and nutrient return characteristics of Pinus yunnanensis at different forest ages. Ecol. Environ. Sci. 2018, 27, 1981–1986. [Google Scholar] [CrossRef]
- Peipei, G.; Hong, J.; Shuquan, Y.; Yuandan, M.; Rongpeng, D.; Xinzhang, S. Comparison of Litter Decomposition of Six Species of Coniferous and Broad-leaved Trees in Subtropical China. Chin. J. Appl. Environ. Biol. 2009, 15, 655–659. [Google Scholar] [CrossRef]
- Xuhu, G.; Derong, X.; Kun, T.; Hongzhong, Y. Biomass production and litter decomposition of lakeshore plants in Napahai wetland, Northwestern Yunnan Plateau, China. Acta Ecol. Sin. 2013, 33, 1425–1432. [Google Scholar] [CrossRef]
- Ying, L. Analysis of Mixed Effects of Leaf Litter Decomposition and Its Main Affecting Factors of Dominant Tree Species in Yaoxiang Forest Farm; Shandong Agricultural University: Tai’an, China, 2020. [Google Scholar]
- Yinong, L.; Xiaomei, Z.; Naili, Z.; Keping, M. The research of mixed litter effects on litter decomposition in terrestrial ecosystems. Acta Ecol. Sin. 2016, 36, 4977–4987. [Google Scholar] [CrossRef]
- Haiyan, G.; Mei, H.; Lixia, H.; Zhao, Y.H. Bayinnamula and DE Haishan. Effects of exogenous nitrogen input and water change on litter decomposition in a desert grassland. Chin. J. Appl. Ecol. 2018, 29, 3167–3174. [Google Scholar] [CrossRef]
- Steffensen, J.P.; Andersen, K.K.; Bigler, M.; Clausen, H.B.; Dahl-Jensen, D.; Fischer, H.; Goto-Azuma, K.; Hansson, M.; Johnsen, S.J.; Jouzel, J.; et al. High-Resolution Greenland Ice Core Data Show Abrupt Climate Change Happens in Few Years. Science 2008, 321, 680–684. [Google Scholar] [CrossRef]
- Leroy, C.J.; Marks, J.C. Litter quality, stream characteristics and litter diversity influence decomposition rates and macroinvertebrates. Freshw. Biol. 2006, 51, 605–617. [Google Scholar] [CrossRef]
- Gartner, T.B.; Cardon, Z.G. Site of leaf origin affects how mixed litter decomposes. Soil Biol. Biochem. 2006, 38, 2307–2317. [Google Scholar] [CrossRef]
- Hättenschwiler, S.; Gasser, P. Soil Animals Alter Plant Litter Diversity Effects on Decomposition. Natl. Acad. Sci. 2005, 102, 1519–1524. [Google Scholar] [CrossRef]
- Wardle, D.A.; Bonner, K.I.; Nicholson, K.S. Biodiversity and Plant Litter: Experimental Evidence Which Does Not Support the View That Enhanced Species Richness Improves Ecosystem Function. Wiley Behalf Nord. Soc. Oikos 1997, 79, 247–258. [Google Scholar]
- Keelerb, L.; Hobbies, E.; Kelloggl, E. Effects of Long-Term Nitrogen Addition on Microbial Enzyme Activity in Eight Forested and Grassland Sites: Implications for Litter and Soil Organic Matter Decomposition. Ecosystems 2009, 12, 1–15. [Google Scholar] [CrossRef]
- Kai, H.; Qian, L.; Zhongfa, Z.; Wei, W. Research Progress of Litter Decomposition Enzyme. North. Hortic. 2021, 45, 134–140. [Google Scholar]
- Chung, H.; Zak, D.R.; Reich, P.B.; Ellsworth, D.S. Plant species richness, elevated CO2, and atmospheric nitrogen deposition alter soil microbial community composition and function. Glob. Chang. Biol. 2007, 13, 980–989. [Google Scholar] [CrossRef]
- Ying, S.; Xirong, G.; Mao, Y.H.; Xuelian, W.W.; Yuxuan, W. Dynamics of Microbes and Enzyme Activities During Litter Decomposition of Pinus massoniana Forest in Mid-subtropical Area. Environ. Sci. 2014, 35, 1151–1158. [Google Scholar] [CrossRef]
- Allison, S.D.; Vitousek, P.M. Extracellular Enzyme Activities and Carbon Chemistry as Drivers of Tropical Plant Litter Decomposition. Blotroplca 2004, 36, 285–296. [Google Scholar] [CrossRef]
- Marklein, A.R.; Houlton, B.Z. Nitrogen inputs accelerate phosphorus cycling rates across a wide variety of terrestrial ecosystems. N. Phytol. 2012, 193, 696–704. [Google Scholar] [CrossRef]
- Xiaogai, G.; Wenfa, X.; Lixiong, Z.; Zhilin, H.; Benzhi, Z. Effect of soil-litter layer enzyme activities on litter decomposition in Pinus massoniana plantation in Three Gorges Reservoir Area. Acta Ecol. Sin. 2014, 34, 2228–2237. [Google Scholar] [CrossRef]






| Litter Type | TC /g·kg−1 | TN /g·kg−1 | TP /g·kg−1 | TK /g·kg−1 | Lignin /g·kg−1 | Cellulose /g·kg−1 | C/N Ratio | Lignin/N Ratio |
|---|---|---|---|---|---|---|---|---|
| Cunninghamia lanceolata (CL) | 452.12 ± 14.05 b | 15.28 ± 1.07 b | 1.27 ± 0.09 b | 0.72 ± 0.01 c | 184.74 ± 11.31 a | 12.64 ± 0.95 c | 29.7 ± 2.74 b | 12.16 ± 1.50 b |
| Pinus massoniana (PM) | 530.34 ± 16.94 a | 11.78 ± 1.62 c | 0.87 ± 0.05 c | 0.26 ± 0.01 d | 195.06 ± 25.34 a | 14.79 ± 0.49 b | 45.49 ± 5.48 a | 18.01 ± 2.40 a |
| Cinnamomum glanduliferum (CG) | 509.17 ± 8.5 a | 16.38 ± 0.74 b | 0.91 ± 0.03 c | 2.14 ± 0.01 a | 117.20 ± 15.57 b | 16.51 ± 0.55 a | 31.11 ± 0.96 b | 7.19 ± 1.30 c |
| Betula luminifera (BL) | 432.22 ± 13.73 b | 19.37 ± 0.70 a | 1.82 ± 0.12 a | 1.49 ± 0.01 b | 159.05 ± 25.38 a | 10.31 ± 0.14 d | 22.33 ± 0.62 c | 7.46 ± 0.47 c |
| C. glanduliferum + B. luminifera (CGB) | 470.70 ± 10.18 B | 17.87 ± 0.71 A | 1.37 ± 0.05 B | 1.81 ± 0.01 A | 138.13 ± 9.02 C | 13.41 ± 0.29 C | 26.35 ± 0.55 C | 7.73 ± 0.42 C |
| C. glanduliferum + P. massoniana (CGP) | 519.76 ± 5.77 A | 14.09 ± 0.45 C | 0.89 ± 0.02 D | 1.20 ± 0.01 C | 156.13 ± 10.97 BC | 15.64 ± 0.30 A | 36.94 ± 1.33 A | 11.08 ± 1.00 AB |
| C. glanduliferum + C. lanceolata (CGC) | 480.64 ± 11.13 B | 15.84 ± 0.65 B | 1.09 ± 0.06 C | 1.43 ± 0.01 B | 150.97 ± 12.37 BC | 14.57 ± 0.31 B | 30.39 ± 1.36 B | 9.57 ± 1.16 B |
| B. luminifera + P. massoniana (BLP) | 481.28 ± 10.60 B | 15.58 ± 0.53 B | 1.34 ± 0.05 B | 0.87 ± 0.01 E | 177.05 ± 5.60 A | 12.55 ± 0.31 D | 30.94 ± 1.58 B | 11.39 ± 0.74 A |
| B. luminifera + C. lanceolata (BLC) | 442.17 ± 11.59 C | 17.33 ± 0.53 A | 1.55 ± 0.02 A | 1.10 ± 0.01 D | 171.89 ± 14.03 AB | 11.48 ± 0.43 E | 25.53 ± 0.69 C | 9.93 ± 0.92 AB |
| Litter Type | Regression Equation | k | R2 | Half Life/a | Turnover Period/a |
|---|---|---|---|---|---|
| CGB | y = 76.383e−0.053t | 0.053 ab | 0.9056 ** | 1.09 ± 0.03 bc | 4.71 ± 0.15 bc |
| CGP | y = 83.389e−0.045t | 0.045 bc | 0.9659 ** | 1.29 ± 0.20 ab | 5.58 ± 0.85 ab |
| CGC | y = 85.425e−0.057t | 0.057 a | 0.9769 ** | 1.02 ± 0.05 c | 4.41 ± 0.20 c |
| BLP | y = 79.187e−0.052t | 0.052 ab | 0.9263 ** | 1.13 ± 0.13 bc | 4.87 ± 0.53 bc |
| BLC | y = 72.469e−0.042t | 0.042 c | 0.9296 ** | 1.37 ± 0.10 a | 5.92 ± 0.44 a |
| Litter Type | Factor | Decomposition Rate | C Release Rate | N Release Rate | P Release Rate | K Release Rate | Lignin Release Rate | Cellulose Release Rate |
|---|---|---|---|---|---|---|---|---|
| CGB | UE activity | −0.253 | 0.11 | −0.29 | −0.616 ** | 0.149 | 0.302 | −0.34 |
| CAT activity | 0.643 ** | 0.499 * | 0.082 | 0.706 ** | 0.426 | −0.847 ** | 0.354 | |
| SC activity | −0.679 ** | −0.346 | −0.216 | −0.685 ** | 0.552 * | 0.462 | 0.203 | |
| AP activity | 0.939 ** | 0.743 ** | 0.397 | 0.867 ** | −0.328 | −0.634 ** | −0.034 | |
| PPO activity | −0.288 | −0.352 | 0.349 | 0.215 | 0.476 * | 0.054 | 0.852 ** | |
| CL activity | −0.826 ** | −0.888 ** | −0.506 * | −0.735 ** | −0.088 | 0.592 ** | −0.275 | |
| CGP | UE activity | 0.392 | −0.015 | 0.09 | 0.323 | −0.154 | 0.518 * | 0.474 * |
| CAT activity | 0.676 ** | 0.730 ** | 0.025 | 0.721 ** | 0.094 | −0.295 | 0.422 | |
| SC activity | −0.236 | 0.301 | −0.102 | −0.391 | 0.500 * | −0.463 | 0.046 | |
| AP activity | 0.859 ** | 0.651 ** | −0.055 | 0.889 ** | 0.059 | 0.013 | 0.643 ** | |
| PPO activity | 0.314 | 0.225 | 0.538 * | 0.138 | −0.697 ** | −0.604 ** | 0.074 | |
| CL activity | −0.767 ** | −0.823 ** | −0.259 | −0.419 | −0.117 | 0.317 | −0.905 ** | |
| CGC | UE activity | −0.495 * | −0.441 | −0.278 | −0.515 * | −0.18 | 0.814 ** | −0.542 * |
| CAT activity | 0.723 ** | 0.730 ** | 0.171 | 0.688 ** | 0.186 | −0.661 ** | 0.692 ** | |
| SC activity | −0.886 ** | −0.586 * | −0.556 * | −0.915 ** | 0.335 | 0.225 | −0.766 ** | |
| AP activity | 0.765 ** | 0.801 ** | 0.135 | 0.893 ** | 0.012 | −0.344 | 0.527 * | |
| PPO activity | 0.403 | 0.273 | 0.348 | 0.385 | 0.089 | −0.744 ** | 0.586 * | |
| CL activity | −0.736 ** | −0.669 ** | −0.104 | −0.599 ** | 0.012 | 0.108 | −0.35 | |
| BLP | UE activity | −0.254 | −0.139 | −0.555 * | −0.368 | 0.326 | 0.513 * | −0.781 ** |
| CAT activity | 0.646 ** | 0.522 * | −0.045 | 0.715 ** | 0.004 | −0.604 ** | 0.254 | |
| SC activity | −0.23 | −0.342 | 0.803 ** | −0.379 | −0.517 * | −0.2 | 0.572 * | |
| AP activity | 0.860 ** | 0.792 ** | −0.24 | 0.917 ** | 0.121 | −0.313 | 0.061 | |
| PPO activity | 0.039 | −0.017 | 0.125 | 0.332 | −0.026 | −0.580 * | 0.528 * | |
| CL activity | −0.354 | −0.214 | −0.286 | −0.344 | 0.157 | 0.631 ** | −0.411 | |
| BLC | UE activity | 0.053 | 0.527 * | −0.242 | 0.561 * | 0.458 | −0.338 | −0.44 |
| CAT activity | 0.434 | 0.591 ** | −0.503 * | 0.605 ** | −0.41 | −0.728 ** | −0.103 | |
| SC activity | −0.551 * | −0.143 | 0.089 | −0.166 | 0.912 ** | 0.274 | −0.465 | |
| AP activity | 0.765 ** | 0.647 ** | −0.312 | 0.612 ** | −0.812 ** | −0.723 ** | 0.332 | |
| PPO activity | −0.139 | −0.467 | 0.076 | −0.496 * | −0.368 | 0.094 | 0.316 | |
| CL activity | −0.103 | 0.194 | −0.515 * | 0.318 | 0.152 | −0.076 | −0.689 ** |
Disclaimer/Publisher’s Note: The statements, opinions and data contained in all publications are solely those of the individual author(s) and contributor(s) and not of MDPI and/or the editor(s). MDPI and/or the editor(s) disclaim responsibility for any injury to people or property resulting from any ideas, methods, instructions or products referred to in the content. |
© 2023 by the authors. Licensee MDPI, Basel, Switzerland. This article is an open access article distributed under the terms and conditions of the Creative Commons Attribution (CC BY) license (https://creativecommons.org/licenses/by/4.0/).
Share and Cite
Liu, S.; Yang, R.; Hou, C. Effect of Enzyme Activity Changes on Decomposition Characteristics of Leaf Litter Mixed Decomposition of Configurated Tree Species in Ecological Tea Garden. Agriculture 2023, 13, 394. https://doi.org/10.3390/agriculture13020394
Liu S, Yang R, Hou C. Effect of Enzyme Activity Changes on Decomposition Characteristics of Leaf Litter Mixed Decomposition of Configurated Tree Species in Ecological Tea Garden. Agriculture. 2023; 13(2):394. https://doi.org/10.3390/agriculture13020394
Chicago/Turabian StyleLiu, Shaqian, Rui Yang, and Chunlan Hou. 2023. "Effect of Enzyme Activity Changes on Decomposition Characteristics of Leaf Litter Mixed Decomposition of Configurated Tree Species in Ecological Tea Garden" Agriculture 13, no. 2: 394. https://doi.org/10.3390/agriculture13020394
APA StyleLiu, S., Yang, R., & Hou, C. (2023). Effect of Enzyme Activity Changes on Decomposition Characteristics of Leaf Litter Mixed Decomposition of Configurated Tree Species in Ecological Tea Garden. Agriculture, 13(2), 394. https://doi.org/10.3390/agriculture13020394
