Abstract
Of all the crops, rice is the one that consumes the most water. Rice yields and quality are significantly influenced by irrigation. However, it is still unknown how different irrigation practices would affect the grain yield and quality of water-saving and drought-resistant rice. Hyou 518 (high-yielding rice variety) and Hanyou 73 (water-saving and drought-resistant rice variety) were employed as materials. Three irrigation regimes were set up in the field: conventional flooding irrigation (CF), alternate wetting and moderate soil drying irrigation (AWD), and dry cultivation (D). It was investigated how various irrigation regimes affected the two varieties’ yield and quality. The results revealed the following: 1. D considerably increased water-use efficiency while drastically reducing the yield, compared to CF and AWD. In comparison to other irrigation regimes, the grain yield and water use efficiency of Hanyou 73 enhanced synergistically under AWD treatment. 2. In contrast to CF treatment, AWD and D (especially) treatments decreased perfect rice kernel, total starch content, amylose content, amylopectin content, amylose/amylopectin, gel consistency, and breakdown, but increased green rice kernel, chalky kernel, protein content, and setback. 3. After heading, AWD and D lowered, and D treatment decreased more, the activities of ADP-glucose pyrophosphorylase (AGP), soluble starch synthase (SSS), and starch branching enzyme (SBE). AGP, SSS, and SBE were strongly inversely linked with perfect rice kernel, amylopectin content, gel consistency, and breakdown, but significantly negatively correlated with green rice kernel, chalky kernel, protein content, and setback. The results indicate that with AWD treatment, Hanyou 73 might provide a synergistic boost grain production, water-use efficiency, and quality. D treatment could significantly improve water-use efficiency. Compared with Hyou518, Hanyou 73 could maintain higher AGP, SSS, and SBE activities, head milled rice, perfect rice kernel, amylopectin content, and gel consistency under AWD and D treatment.
1. Introduction
Rice is produced and consumed by China, which accounts for 65% of global production and consumption [1,2]. More than 65% of all agricultural water use in China is accounted for by rice cultivation, which occupies 28% of the country’s total land for grain crops and uses around 54% of the entire amount [3]. An amount of 95% of the rice planting area is irrigated rice in China [4]. In addition to the significant waste of water resources and inefficient use of water, runoff, leakage, and drainage significantly harm the ecosystem [5,6]. A significant problem in agricultural production that requires immediate resolution is how to maintain a constant and high yield while minimizing the input of water resources and realizing the effective use of water. In addition to having a high yield and good quality in rice, water-saving and drought-resistant rice also possesses the traits of upland rice that are water-saving and drought resistant [7,8,9]. This makes it a novel form of water-saving germplasm resource. It has strong drought resistance, can maintain high yield under 50% reduction in conventional irrigation, and significantly improve water use efficiency [10].
Developing high-yield water-saving irrigation technology for rice is a primary strategic demand in China. Therefore, agricultural science and technology workers developed a variety of water-saving irrigation technology, including alternate wetting and moderate soil drying irrigation (AWD) [11], dry cultivation [12,13], shallow wet irrigation, controlled irrigation, and intermittent irrigation [14,15]. These water-saving cultivation techniques reduce water consumption around evapotranspiration and leakage to achieve water-saving purposes. AWD is widely used. AWD refers to maintaining conventional irrigation for a period of time, and then re-watering, re-drying, and re-watering after a period of natural drying [11]. Compared with flooding irrigation, AWD can not only greatly reduce the amount of irrigation water in paddy fields [16,17,18], but also boost rice production, and rice milling and appearance quality [19,20]. However, some studies have suggested that AWD can improve water-use efficiency [11], but it will cause rice yield reduction [21]. The studies mentioned above mostly examined rice, but there hasn’t been much systematic research on how AWD affects crop production and quality in water-saving and drought-resistant rice.
Dry cultivation (D) is also an essential measure of water-saving cultivation of rice. It refers to a water-saving cultivation technology of direct seeding rice in the dry land, mainly irrigated by rainwater during the whole growth period, supplemented by appropriate artificial irrigation [22]. Since the 1950s, this cultivation method has been promoted in northern China, ensuring rice production in many water-deficient areas, which has helped to keep food security in the aforementioned locations.
With the aggravation of the water crisis, the emergence of drought-tolerant varieties of rice, and the continuous innovation of rice weeding technology, the D tends to rise again in recent years. Although the grain production of D was lesser than that of water seeding and drought irrigation, the amylose content, milled rice, and head milled rice all clearly enhanced [21]. However, other research have discovered that D can maintain a constant rice yield while simultaneously significantly enhancing water use efficiency and lowering greenhouse gas emissions [23,24]. The effects and mechanisms of D on grain production and quality in water-saving and drought-resistant rice have as far not been thoroughly studied.
Rice yields and quality are significantly influenced by irrigation. However, it is still unknown how different irrigation practices would affect the crop production and quality in water-saving and drought-resistant rice. We hypothesized that under AWD treatment, water-saving and drought-resistant rice might have a synergistic enhancement in crop production, water-use efficiency, and quality. The purposes of this study were to determine whether and how irrigation practices in water-saving and drought-resistant rice may enhance crop production, water-use efficiency, and quality. The key characteristics of milling, appearance, cooking and eating, nutrition, and starch paste viscosity were studied. To comprehend the physiological process behind the impact of irrigation regimes on rice quality, it was necessary to identify the activity of the major enzymes involved in the sucrose-starch conversion in grains during the grain-filling stage. In addition to providing a theoretical basis for high-yielding cultivation with high water-use efficiency in water-saving and drought-resistant rice, such a study would provide insight into the relationship between the activities of key enzymes in sucrose-starch metabolism and quality.
2. Materials and Methods
2.1. Plant Materials
The varieties were the high-yield rice variety ‘Hyou 518’ (indica three-line hybrid, growth period of about 116 days, provided by Hunan Agricultural University) and the water-saving and drought-resistant rice ‘Hanyou 73’ (indica three-line hybrid, growth period of about 114 days, provided by Shanghai Agricultural Biological Gene Center).
2.2. Experimental Site and Design
The experiment was conducted in the Shanghai Academy of Agricultural Sciences’ Zhuanghang Experimental Station in Shanghai’s Fengxian District between May and October of 2019 and 2020 (30° 53′ N, 121° 23′ E). The soil had a pH of 6.58, a C content of 1.64%, 20.2 mg kg−1 of ammonia nitrogen, 4.53 mg kg−1 of nitrate nitrogen, 40.6 mg kg−1 of available phosphorus, 126.5 mg kg−1 of available potassium content.
Three irrigation treatments were set up in this experiment: dry cultivation (D), alternate wetting and drying irrigation (AWD), and continuous flooding (CF). In 5 to 10 cm of surface water, CF was applied consistently with traditional methods. Irrigation was started when the water level decreased to around 15 cm below the soil’s surface during AWD, which was carried out in accordance with safe AWD protocols [11]. In the water-sensitive tillering and booting stages, when the soil water potential was less than −15 kPa, D was applied by irrigation. Artificial watering wasn’t used during other times in D. A flow meter (LXSG-50 Flow meter, Shanghai Water Meter Manufacturing Factory, Shanghai, China) put in the irrigation pipelines was utilized to measure the irrigation water’s amount.
There were three replica plots for each treatment. A total of 18 plots (6 m × 6 m) in all were created. To prevent lateral water seepage, a 30 cm thick impermeable membrane was placed around each plot. The various water regimes were separated and surrounded by ditches and guard rows.
For each treatment, the experimental plots were plowed to a depth of 30 cm, and the soil was ponded for a week prior to direct sowing. On 23 May in 2019 and 28 May in 2020, seeds were sown with a hill spacing of 0.20 m × 0.23 m. Before being cultured for 24 to 26 h, the seeds had been soaked for 24 h. Five seeds per hill of the pre-germinated seeds were placed in the puddled soil. To encourage seed germination and seedling growth, no plots are watered from sowing until the second leaf stage. The water regimens were put into place as soon as the rice reached the 3-leaf stage. At pre-sowing and panicle initiation, respectively, nitrogen (270 kg ha−1) in the form of urea was administered at a 6:4 ratio. P2O5 and K2O were added as base fertilizers prior to sowing at rates of 18 kg ha−1 and 135 kg ha−1, respectively. To avert production losses, diseases, insects, and weeds were managed using either chemical or manual techniques.
2.3. Sampling and Measurements
2.3.1. Harvest
The two plant rows on either side of the space have been cut to avoid border effects. Each plot’s 5.0 m2 harvest area was used to calculate grain yield, which was then corrected for 14% moisture.
2.3.2. Milling and Appearance Quality
Prior to shelling and milling, physiologically mature rice grain samples were collected and allowed to air dry at room temperature. The processing equipment SY88-TH & SY88-TRF (Wuxi Shanglong Grain Equipment Co., Ltd., Wuxi., China) estimated the percentage of brown rice and milled rice in accordance with the national standard for rice quality evaluation GB/T 17891/1999 of the People’s Republic of China. Based on Hoshikawa’s approach [25], 300 rice grains were randomly selected and divided into seven categories: perfect rice kernel, green rice kernel, rust-spotted rice kernel, white-core rice kernel, white-belly rice kernel, white-dorsal rice kernel, and opaque rice kernel, and the proportion of each type of rice was calculated. Brown rice’s chalky properties were noted by the cleanliness test-bed in accordance with China National Standard GB/T 17897-1999.
2.3.3. Determination of the Total Starch Content, Amylose Content, and Amylopectin Content
The Megazyme amylose/amylopectin as-say kit’s instructions were followed to calculate the quantity of amylose (measured on a dry starch basis). Briefly, after the defatted fried sample powder was originally dispersed in dimethyl sulfoxide, the amylopectin was precipitated with concanavalin A. Following enzymatic hydrolysis, the concentration of D-glucose was determined using a glucose oxidase/peroxidase color reaction. The quantity of amylose was calculated by dividing the absorbance of glucose generated by the enzyme’s complete hydrolysis of the glucose by the entire amount of starch. At least three measurements of the amylose content were made for each parallel sample.
Using a GOPOD assay kit, the total starch content in grains was determined from the ground rice flour. Amylopectin content = total starch content − amylose content
2.3.4. Protein Content and Gel Consistency
The nitrogen content of the rice flour, measured using an LECO CNS2000 auto analyzer (LECO Corporation, St. Joseph, MI, USA) and a conversation factor of 5.95, was utilized to calculate the crude protein content in grains. The gel consistency complied with GB/T17891-1999 (1999), the People’s Republic of China’s National Standard.
2.3.5. Characterization of Starch Viscosity Spectrum
At the maturity stage, 3 g of grain samples with 12% water content were taken. To make flour, samples were ground. The gelatinization properties of rice flour were assessed using the rapid viscometer technique (Rapid viscometer REV-Ezi) from Polton Instrument Company (Sweden), which was established on the national standard GB/T 24852-2010. The auxiliary program, TCW3, examined the data. The measurements involved a change in tank temperature. The agitator was kept at 50 °C for 1 min, increased to 95 °C in 12 min, held there for 2.5 min, then lowered to 50 °C in 12 min, held there for 1.4 min. The rotation speed was 960 r min−1 for the first 10 s and remained at 160 r min−1 after that.
2.3.6. The Activities of ADP-Glucose Pyrophosphorylase (AGP), Soluble Starch Synthase (SSS), and Starch Branching Enzyme (SBE)
From 7 to 49 days after heading, samples of 100 tagged panicles were taken from each plot every 7 days. After being frozen in liquid nitrogen for one minute, the samples were stored at −80 °C. These samples were utilized to evaluate the enzymes’ activity. AGP, SSS, and SBE activities were evaluated as according to Yang et al. [26].
2.4. Statistical Analysis
The analyses of variance were fitted using the statistical analysis program SAS/STAT (version 6.12, SAS Institute, Cary, NC, USA). Graphs were produced using SigmaPlot 11.0 (SPSS Inc., Point Richmond, CA, USA). The statistical model employed replication, year, variety, irrigation regime, and the interaction of year × variety, year × irrigation regime, variety × irrigation regime, and year × variety × irrigation regime as sources of variation. Data from each sampling date were analyzed separately. At p < 0.05 (LSD0.05), the least significant difference was used to test means.
3. Results
3.1. Grain Yield, Irrigation Water, and Water Use Efficiency
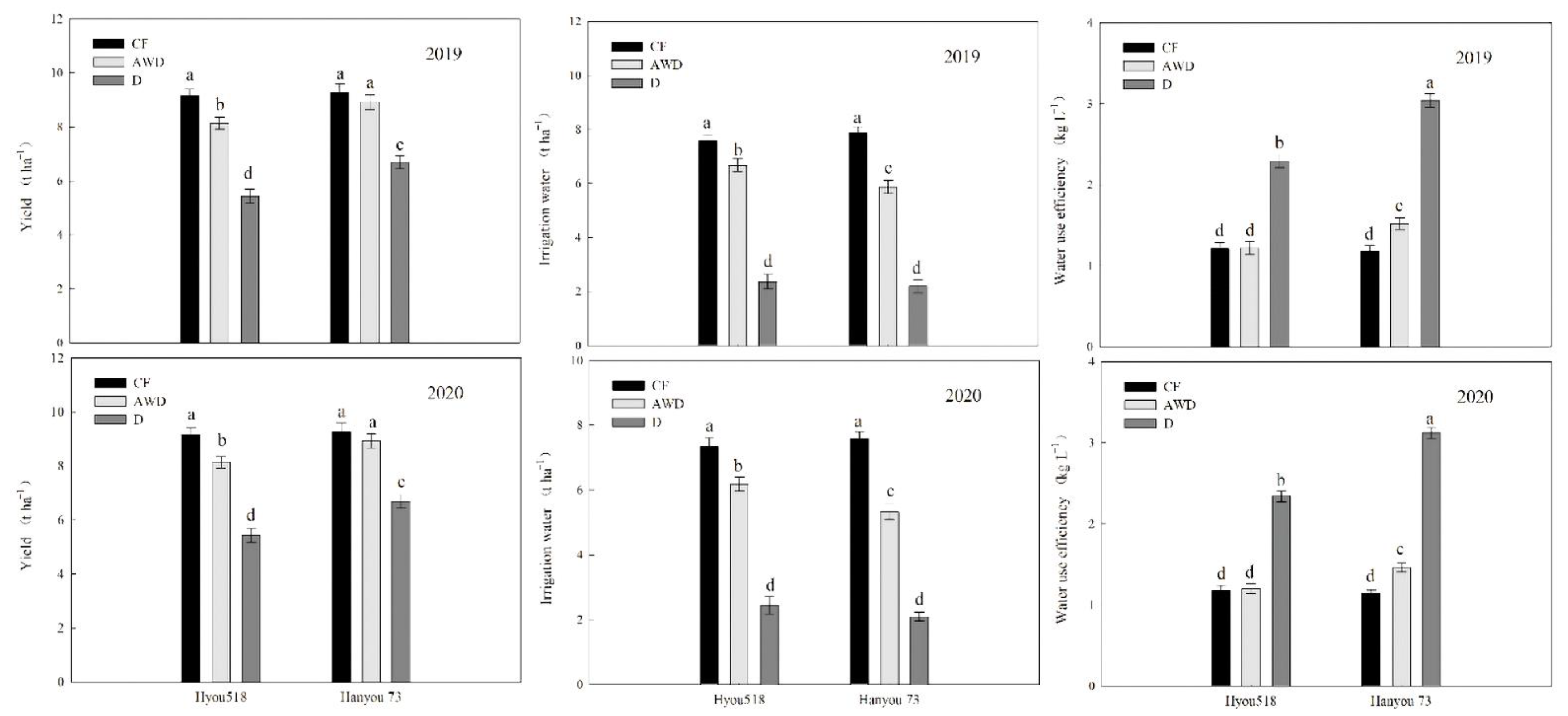
The yield of Hyou 518 was considerably lower under AWD than under CF, yet there was no appreciable change in water-use efficiency. The grain yield decreased significantly, and water-use efficiency increased significantly under D treatment. Hanyou 73’s grain yield did not vary considerably, but the AWD treatment significantly improved water-use efficiency. In comparison with CF treatment, the grain yield decreased significantly and water-use efficiency increased significantly under D treatment (Figure 1).
Figure 1.
Grain yield, irrigation water, and water-use efficiency under various irrigation treatments. CF, AWD, and D represent continuously flooded, alternate wetting and moderate soil drying irrigation, and dry cultivation, respectively. Vertical bars represent the ± standard errors of the mean (n = 3) where these exceed the size of the symbol. Different letters above the column indicate statistical significance at the p = 0.05 level within the same variety. Water use efficiency: grain yield (kg)/(amount of irrigation water + precipitation) (m3).
Under the same irrigation regime, Hanyou 73 produced a higher yield than Hyou 518. Under AWD and D treatments, Hanyou 73’s water-use efficiency was substantially larger than Hyou 518’s (Figure 1).
3.2. Milling Quality
The milled rice and head milled rice of Hyou 518 dramatically decreased after D treatment compared to CF treatment, while there was no discernible difference during AWD treatment. Under various water treatments, there were no appreciable change in the milling quality (brown rice, milled rice, and head milled rice) of Hanyou 73. Under the same water treatment, the milling quality of Hanyou 73 was better than that of H you 518 (Table 1).
Table 1.
Milling quality under various irrigation treatments.
3.3. Appearance Quality
The perfect rice kernel of the two varieties under D treatment dramatically decreased in comparison to CF treatment, while the chalky kernel greatly rose. The major cause of the rise in chalky kernel with D treatment was an increase in white-bellied rice kernel. The green rice kernel increased significantly with the decrease in irrigation amount, and the rust-spotted rice kernel did not change significantly. Under the same irrigation regime, the perfect rice kernel of Hanyou 73 was considerably higher than that of Hyou 518, and the chalky kernel was substantially lower than that of Hyou 518 (Table 2).
Table 2.
Appearance quality under various irrigation treatments.
3.4. Cooking and Eating Quality and Nutritive Quality
The total starch content, amylose content, amylopectin content, and amylose/amylopectin content of the two varieties considerably decreased when treated with D compared to CF, whereas there was no discernible change when treated with AWD. Hanyou 73 had a smaller amylose concentration, a lower amylose/amylopectin ratio, and a greater amylopectin content than Hyou 518 under the same irrigation regimes (Table 3).
Table 3.
Cooking and eating quality and nutritive quality under various irrigation treatments.
The gel consistency of the two varieties did not change significantly under AWD treatment, compared to CF treatment, but decreased significantly under D treatment. Under the same water treatment, the gel consistency of Hanyou 73 was considerably higher than that of Hyou518 (Table 3).
3.5. Starch Viscosity Characters
The properties of rice’s starch viscosity under AWD treatment and those under CF treatment were similar. The peak, trough, and breakdown viscosities of the two varieties, all dramatically decreased with D treatment, whereas the setback greatly increased. Hanyou 73 had greater peak, trough, final, and breakdown viscosities under the same water treatment conditions than Hyou 518, and a lower setback. Between several watering treatments, there was no discernible change in pasting temperature (Table 4).
Table 4.
Starch viscosity characters under various irrigation treatments.
3.6. The Activities of AGP, SSS, and SBE
AGP, SSS, and SBE activities decreased under AWD and D (especially) treatments compared with CF treatment. AGP, SSS, and SBE activities of Hanyou 73 were higher than that of Hyou 518 under the same water treatment, especially under D treatment (Figure 2).
Figure 2.
ADP-glucose pyrophosphorylase (AGP), soluble starch synthase (SSS), and starch branching enzyme (SBE) activities under various irrigation treatments. CF, AWD, and D represent continuously flooded, alternate wetting, and moderate soil drying irrigation, and dry cultivation, respectively. Vertical bars represent the ± standard errors of the mean (n = 3) where these exceed the size of the symbol.
3.7. Correlation Analysis
AGP, SSS, and SBE were substantially connected with perfect rice kernel, amylopectin content, gel consistency, and breakdown, but were positively linked negatively with green rice kernel, chalky kernel, protein content, and setback (Table 5).
Table 5.
Correlations between activities of key enzymes of sucrose-starch metabolism (AGP, SSS, and SBE) and rice quality.
4. Discussion
4.1. Effects of Irrigation Regimes on Grain Yield and Water Use Efficiency of Water-Saving and Drought-Resistant Rice
How to use less water to increase crop water-use efficiency in the case of a certain yield is the largest problem in agricultural water use [27]. The amount of assimilable matter generated by rice per unit of water shows the efficiency of water absorption and use of crops [28]. Maintaining rice productivity and improving water use efficiency has become one of the focuses of researchers in recent years [29]. D substantially reduced rice yield and irrigation amount as compared to CF, although it improved water-use efficiency. AWD decreased the quantity of irrigation for the two varieties, compared to CF, significantly lowering the grain yield of Hyou 518 while having no appreciable impact on Hanyou 73. It demonstrated that how irrigation regimes and varieties had a major impact on water-use efficiency and production [30,31]. Hanyou 73 may sustain a high yield and efficient water use even with less irrigation. Vigorous physiological activities of root and shoot were the possible physiological basis for high crop yields and water-use efficiency of Hanyou 73 under AWD treatment [32,33,34,35].
4.2. Effect of Irrigation Regimes on Quality of Water-Saving and Drought-Resistant Rice
Milling quality is an essential factor determining the commercial value in rice [36,37]. Rice grain hardness and wear resistance can be strengthened by drought stress during the grain filling stage. When compared to the CF treatment, the milled rice and head milled rice of Hyou 518 were considerably lower with the D treatment. The milling quality of Hanyou 73 did not change significantly under different water treatments. The head milled rice of Hanyou 73 was higher than that of Hyou 518 under the same water treatment. It showed that the wear resistance of Hyou 518 was weakened under D conditions, while the wear resistance of Hanyou 73 was better than that of Hyou 518 under drought management conditions.
During the air-drying of rice grains, the existence of chloroplasts in glume pericarp cells leads to the occurrence of green rice. Compared with CF, D significantly increased the green rice kernel and chalky kernel of the two varieties. It is possible that starch synthesis capacity in the endosperm decreases after heading and critical enzyme activities of sucrose-starch metabolism diminish, which inhibits grain growth and development [38,39] Under the same water treatment, the perfect rice kernel was significantly increased in Hanyou 73 compared with Hyou 518. It showed that Hanyou 73’s appearance quality was superior to Hyou 518’s under the same water treatment. In the face of drought stress, Hanyou 73 could maintain a high perfect rice kernel.
The ratio of amylose to amylopectin has long been believed to be the predominant element affecting the cooking and eating quality in rice [40,41]. This study showed that compared with CF, the amylopectin content, amylose content, and amylose/amylopectin of the two varieties decreased under D treatment, while the protein content increased. This may be due to the fact that D consumed more carbohydrates, thereby reducing grain sucrose-starch metabolism [32]. Amylose has poor viscosity, high hardness, and poor taste than amylopectin. Under the same irrigation conditions, the amylopectin content of Hanyou 73 was higher than that of Hyou 518, indicating that the rice taste of Hanyou 73 was better than that of Hyou 518 to a certain extent. The changes in amylopectin chain length distribution under different irrigation regimes need further study.
Gel consistency reflects a fluid feature of rice starch colloid, which refers to the length of rice gel after gelatinization and cooling of rice starch. Large gel consistency indicates soft rice, short gel consistency indicates hard rice [42,43]. It was found that D treatment significantly decreased the gel consistency of the two varieties, but the gel consistency of Hanyou 73 was still higher than that of Hyou 518, indicating that the grain quality of Hanyou 73 was softer than that of Hyou 518. RVA measurement conditions simulate the daily cooking process of rice, so it is used as a physical and chemical marker in the directional breeding of edible high-quality rice [44,45]. Generally, the larger the breakdown, the smaller the setback, and the better the rice quality. In this study, compared with CF treatment, the breakdown and setback of the two varieties did not change significantly under AWD treatment, but decreased significantly under D treatment. It shows that drought management was not conducive to improving rice viscosity characteristics.
The physiological effects of water-saving and drought-resistant rice starch structure under various irrigation techniques need to be studied in the future.
5. Conclusions
Hanyou 73 might gain a simultaneous improvement in grain production and water-use efficiency with AWD treatment in comparison to Hyou 518, when compared to other irrigation regimes. In comparison to CF, AWD, and D (especially) decreased the perfect rice kernel, amylose content, total starch content, amylopectin content, amylose/amylopectin, gel consistency, and breakdown, and increased the green rice kernel, chalky kernel, protein content, and setback in rice. The lower activities of sucrose-starch metabolism key enzymes (AGP, STS, and SBE) after heading was an important physiological reason for the changes of the above quality indexes.
Author Contributions
Conceptualization, D.H. and J.B.; methodology, Y.W.; formal analysis, D.H.; investigation, J.T. and Q.B.; resources, X.Y. and L.L.; data curation, D.H. and Y.W.; writing—original draft preparation, D.H.; writing-review and editing, K.L.; visualization, D.H. and J.B.; supervision, X.Y. and G.L.; project administration, J.B.; funding acquisition, J.B. and L.L. All authors have read and agreed to the published version of the manuscript.
Funding
This research was funded by the Technology System of Rice Industry in Shanghai: Grant NO. 2021(03); Breeding and Green Production Technology of New Varieties of high quality extra early maturing Water-saving and drought-resistant Rice (2021) No. 1-4.
Institutional Review Board Statement
“Not applicable” for studies not involving humans or animals.
Data Availability Statement
The data presented in this study are available on request from the first author and co-first author.
Acknowledgments
The authors would like to thank the Rice Physiology Research Group, College of Agriculture, Yangzhou University for their experimental support.
Conflicts of Interest
The authors declare no conflict of interest.
References
- Hou, D.; Bi, J.; Ma, L.; Zhang, K.; Li, D.; Rehmani, M.I.A.; Tan, J.; Bi, Q.; Wei, Y.; Liu, G.; et al. Effects of Soil Moisture Content on Germination and Physiological Characteristics of Rice Seeds with Different Specific Gravity. Agronomy 2022, 12, 500. [Google Scholar] [CrossRef]
- Liu, K.; Li, T.; Chen, Y.; Huang, J.; Qiu, Y.; Li, S.; Wang, H.; Zhu, A.; Zhuo, X.; Yu, F.; et al. Effects of root morphology and physiology on the formation and regulation of large panicles in rice. Field Crops. Res. 2020, 258, 107946. [Google Scholar] [CrossRef]
- Maneepitak, S.; Ullah, H.; Paothong, K.; Kachenchart, B.; Datta, A.; Shresthaa, R.P. Effect of water and rice straw management practices on yield and water productivity of irrigated lowland rice in the Central Plain of Thailand. Agric. Water Manag. 2019, 211, 89–97. [Google Scholar] [CrossRef]
- Peng, S.; Tang, Q.; Zou, Y. Current status and challenges of rice production in China. Plant Prod. Sci. 2009, 12, 3–8. [Google Scholar] [CrossRef]
- Wang, Z.; Zhang, W.; Beebout, S.S.; Zhang, H.; Liu, L.; Yang, J.; Zhang, J. Grain yield, water and nitrogen use efficiencies of rice as influenced by irrigation regimes and their interaction with nitrogen rates. Field Crop. Res. 2016, 193, 54–69. [Google Scholar] [CrossRef]
- Alhaj Hamoud, Y.; Shaghaleh, H.; Sheteiwy, M.; Guo, X.; Elshaikh, N.A.; Ullah Khan, N.; Oumarou, A.; Rahim, S.F. Impact of alternative wetting and soil drying and soil clay content on the morphological and physiological traits of rice roots and their relationships to yield and nutrient use-efficiency. Agric. Water Manag. 2019, 223, 105706. [Google Scholar] [CrossRef]
- Luo, L.J. Breeding for water-saving and drought-resistance rice (WDR) in China. J. Exp. Bot. 2010, 61, 3509–3517. [Google Scholar] [CrossRef]
- Sun, H.; Zhou, S.; Song, X.; Fu, Z.; Chen, G.; Zhang, J. CH4 emission in response to water-saving and drought-resistance rice (WDR) and common rice varieties under different irrigation managements. Water Air Soil Pollut. 2016, 227, 47. [Google Scholar] [CrossRef]
- Zhang, A.; Liu, Y.; Wang, F.; Kong, D.; Bi, J.; Zhang, F.; Luo, X.; Wang, J.; Liu, G.; Luo, L.; et al. Molecular Breeding of Water-Saving and Drought-Resistant Rice for Blast and Bacterial Blight Resistance. Plants 2022, 11, 2641. [Google Scholar] [CrossRef]
- Luo, L.J.; Mei, H.W.; Yu, X.Q.; Liu, H.Y.; Feng, F.J. Water-saving and drought-resistance rice and its development strategy. Chin. Sci. Bull. 2011, 56, 804–811. [Google Scholar] [CrossRef]
- Yao, F.; Huang, J.; Cui, K.; Nie, L.; Xiang, J.; Liu, X.; Wu, W.; Chen, M.; Peng, S. Agronomic performance of high-yielding rice variety grown under alternate wetting and drying irrigation. Field Crop. Res. 2012, 126, 16–22. [Google Scholar] [CrossRef]
- Kato, Y.; Okami, M. Root morphology, hydraulic conductivity and plant water relations of high-yielding rice grown under aerobic conditions. Ann. Bot. 2011, 108, 575–583. [Google Scholar] [CrossRef] [PubMed]
- Tai, Y.P.; Li, Z.A.; McBride, M.B.; Yang, Y. Dry cultivation enhances cadmium solubility in contaminated soils but minimizes cadmium accumulation in a leafy vegetable. J. Soils Sediments 2017, 17, 2822–2830. [Google Scholar] [CrossRef]
- Stone, E.C.; Hornberger, G.M. Impacts of management alternatives on rice yield and nitrogen losses to the environment: A case study in rural Sri Lanka. Sci. Total. Environ. 2016, 542, 271–276. [Google Scholar] [CrossRef] [PubMed]
- Carrijo, D.R.; Lundy, M.E.; Linquist, B.A. Rice yields and water use under alternate wetting and drying irrigation: A meta-analysis. Field Crop. Res. 2017, 203, 173–180. [Google Scholar] [CrossRef]
- Belder, P.; Bouman, B.A.M.; Cabangon, R.; Guoan, L.; Quilang, E.J.P.; Yuanhua, L.; Spiertz, J.H.J.; Tuong, T.P. Effect of water-saving irrigation on rice yield and water use in typical lowland conditions in Asia. Agric. Water Manag. 2004, 65, 193–210. [Google Scholar] [CrossRef]
- Bouman, B.A.M.; Tuong, T.P. Field water management to save water and increase its productivity in irrigated lowland rice. Agric. Water Manag. 2001, 49, 11–30. [Google Scholar] [CrossRef]
- Moya, P.; Hong, L.; Dawe, D.; Chongde, C. The impact of on-farm water saving irrigation techniques on rice productivity and profitability in Zhanghe Irrigation System, Hubei, China. Paddy Water Environ. 2004, 2, 207–215. [Google Scholar] [CrossRef]
- Lv, Y.F.; Ren, Y.F.; Liu, D.; Zhang, Y.C.; He, J.Y. Effect of Different Water Managements on Growth, Grain Yield and Quality of Rice. Tianjin Agric. Sci. 2016, 22, 106–110. [Google Scholar] [CrossRef]
- Zhang, H.; Ma, B.J.; Zhang, C.M.; Zhao, B.H.; Xu, J.J.; Shao, S.M.; Gu, J.F.; Liu, L.J.; Wang, Z.Q.; Yang, J.C. Effects of alternate wetting and drying irrigation during whole growing season on quality and starch properties of rice. J. Yangzhou Univ. (Agric. Life Sci. Ed.). 2020, 41, 1–8. [Google Scholar] [CrossRef]
- Wang, F.M.; Zhang, A.N.; Liu, G.L.; Bi, J.G.; Liu, Y.; Luo, L.J.; Yu, X.Q. Effects of Dry Seeding and Drought Irrigation on Grain Yield and Quality of Rice. China Rice. 2018, 24, 73–75. [Google Scholar] [CrossRef]
- Tao, Y.; Chen, Q.; Peng, S.; Wang, W.; Nie, L. Lower global warming potential and higher yield of wet direct-seeded rice in Central China. Agron. Sustain. Dev. 2016, 36, 1–9. [Google Scholar] [CrossRef]
- Qi, X.; Nie, L.; Liu, H.; Peng, S.; Shah, F.; Huang, J.; Cui, K.; Sun, L. Grain yield and apparent N recovery efficiency of dry direct-seeded rice under different N treatments aimed to reduce soil ammonia volatilization. Field Crop. Res. 2012, 134, 138–143. [Google Scholar] [CrossRef]
- Kumar, A.; Nayak, A.K.; Das, B.S.; Panigrahi, N.; Dasgupta, P.; Mohanty, S.; Kumar, U.; Panneerselvam, P.; Pathak, H. Effects of water deficit stress on agronomic and physiological responses of rice and greenhouse gas emission from Rice soil under elevated atmospheric CO2. Sci. Total. Environ. 2019, 650, 2032–2050. [Google Scholar] [CrossRef]
- Hoshikawa, K. Rice grain texture and grading standard. In Morphology; Matsuo, T., Hoshilawa, K., Eds.; Science of the Rice Plant’, Food and Agriculture Policy Research Center: Tokyo, Japan, 1993; Volume 1, pp. 383–389. [Google Scholar]
- Yang, J.; Zhang, J.; Wang, Z.; Zhu, Q.; Liu, L. Activities of enzymes involved in sucrose-to-starch metabolism in rice grains subjected to water stress during filling. Field Crop. Res. 2003, 81, 69–81. [Google Scholar] [CrossRef]
- Masutomi, Y.; Kinose, Y.; Takimoto, T.; Yonekura, T.; Oue, H.; Kobayashi, K. Ozone changes the linear relationship between photosynthesis and stomatal conductance and decreases water use efficiency in rice. Sci. Total. Environ. 2019, 655, 1009–1016. [Google Scholar] [CrossRef]
- Tu, V.H.; Can, N.D.; Takahashi, Y.; Yabe, M. Water use efficiency in rice production: Implications for climate change adaptation in the Vietnamese mekong delta. Process Integr. Optim. Sustainability 2018, 2, 221–238. [Google Scholar] [CrossRef]
- Zhou, Q.; Ju, C.X.; Wang, Z.Q.; Zhang, H.; Liu, L.J.; Yang, J.C.; Zhang, J.H. Grain yield and water use efficiency of super rice under soil water deficit and alternate wetting and drying irrigation. J. Integr. Agric. 2017, 16, 1028–1043. [Google Scholar] [CrossRef]
- Liu, K.; Chen, Y.; Huang, J.; Qiu, Y.; Li, S.; Zhuo, X.; Yu, F.; Gao, J.; Li, G.; Zhang, W.; et al. Spikelet differentiation and degeneration in rice varieties with different panicle sizes. Food Energy Secur. 2021, 11, e320. [Google Scholar] [CrossRef]
- Xu, Y.; Gu, D.; Li, K.; Zhang, W.; Zhang, H.; Wang, Z.; Yang, J. Response of grain quality to alternate wetting and moderate soil drying irrigation in rice. Crop. Sci. 2019, 59, 1261–1272. [Google Scholar] [CrossRef]
- Jing, W.J.; Gu, H.Z.; Zhang, X.X.; Wu, H.; Zhang, W.Y.; Gu, J.F.; Liu, L.J.; Wang, Z.Q.; Yang, J.C.; Zhang, H. Response of Grain Quality and Root Characteristics to Irrigation Methods During Mid-season indica Rice Varieties Improvement. Chin. J. Rice Sci. 2022, 36, 505–519. [Google Scholar] [CrossRef]
- Li, Z.; Li, Z.; Letuma, P.; Zhao, H.; Zhang, Z.; Lin, W.; Chen, H.; Lin, W. A positive response of rice rhizosphere to alternate moderate wetting and drying irrigation at grain filling stage. Agric. Water Manag. 2018, 207, 26–36. [Google Scholar] [CrossRef]
- Zhang, W.; Yu, J.; Xu, Y.; Wang, Z.; Liu, L.; Zhang, H.; Gu, J.; Zhang, J.; Yang, J. Alternate wetting and drying irrigation combined with the proportion of polymer-coated urea and conventional urea rates increases grain yield, water and nitrogen use efficiencies in rice. Field Crop. Res. 2021, 268, 108165. [Google Scholar] [CrossRef]
- Zhang, W.; Zhou, Y.; Li, C.; Zhu, K.; Xu, Y.; Wang, W.; Liu, L.; Zhang, H.; Gu, J.; Wang, Z.; et al. Post-anthesis moderate soil-drying facilitates source-to-sink remobilization of nitrogen via redistributing cytokinins in rice. Field Crop. Res. 2022, 288, 108692. [Google Scholar] [CrossRef]
- Feng, F.; Li, Y.; Qin, X.; Liao, Y.; Siddique, K.H.M. Changes in Rice Grain Quality of Indica and Japonica Type Varieties Released in China from 2000 to 2014. Front. Plant Sci. 2017, 8, 1863. [Google Scholar] [CrossRef]
- Hu, Q.; Jiang, W.Q.; Qiu, S.; Xing, Z.P.; Hu, Y.J.; Guo, B.W.; Liu, G.D.; Gao, H.; Zhang, H.C.; Wei, H.Y. Effect of wide-narrow row arrangement in mechanical pot-seedling transplanting and plant density on yield formation and grain quality of japonica rice. J. Integr. Agric. 2020, 19, 1197–1214. [Google Scholar] [CrossRef]
- Huang, J.; Pan, Y.; Chen, H.; Zhang, Z.; Fang, C.; Shao, C.; Amjad, H.; Lin, W.; Lin, W. Physiochemical mechanisms involved in the improvement of grain-filling, rice quality mediated by related enzyme activities in the ratoon cultivation system. Field Crop. Res. 2020, 258, 107962. [Google Scholar] [CrossRef]
- Zhang, J.; Zhang, Y.; Song, N.; Chen, Q.; Sun, H.; Peng, T.; Huang, S.; Zhao, Q. Response of grain-filling rate and grain quality of mid-season indica rice to nitrogen application. J. Integr. Agric. 2021, 20, 1465–1473. [Google Scholar] [CrossRef]
- Tang, S.; Zhang, H.; Liu, W.; Dou, Z.; Zhou, Q.; Chen, W.; Wang, S.; Ding, Y. Nitrogen fertilizer at heading stage effectively compensates for the deterioration of rice quality by affecting the starch-related properties under elevated temperatures. Food Chem. 2019, 277, 455–462. [Google Scholar] [CrossRef]
- Chen, X.; Chen, M.; Lin, G.; Yang, Y.; Yu, X.; Wu, Y.; Xiong, F. Structural development and physicochemical properties of starch in caryopsis of super rice with different types of panicle. BMC Plant Biol. 2019, 19, 482. [Google Scholar] [CrossRef]
- Zhang, H.; Hou, D.P.; Peng, X.L.; Ma, B.J.; Shao, S.M.; Jing, W.J.; Gu, J.F.; Liu, L.J.; Wang, Z.Q.; Liu, Y.Y.; et al. Optimizing integrative cultivation management improves grain quality while increasing yield and nitrogen use efficiency in rice. J. Integr. Agric. 2019, 18, 2716–2731. [Google Scholar] [CrossRef]
- Gu, J.; Chen, J.; Chen, L.; Wang, Z.; Zhang, H.; Yang, J. Grain quality changes and responses to nitrogen fertilizer of japonica rice cultivars released in the Yangtze River Basin from the 1950s to 2000s. Crop. J. 2015, 3, 285–297. [Google Scholar] [CrossRef]
- Zhu, L.; Wu, G.; Cheng, L.; Zhang, H.; Wang, L.; Qian, H.; Qi, X. Effect of soaking and cooking on structure formation of cooked rice through thermal properties, dynamic viscoelasticity, and enzyme activity. Food Chem. 2019, 289, 616–624. [Google Scholar] [CrossRef] [PubMed]
- Zhu, D.; Zhang, H.; Guo, B.; Xu, K.; Dai, Q.; Wei, C.; Zhou, G.; Huo, Z. Physicochemical properties of indica-japonica hybrid rice starch from Chinese varieties. Food Hydrocoll. 2017, 63, 356–363. [Google Scholar] [CrossRef]
Disclaimer/Publisher’s Note: The statements, opinions and data contained in all publications are solely those of the individual author(s) and contributor(s) and not of MDPI and/or the editor(s). MDPI and/or the editor(s) disclaim responsibility for any injury to people or property resulting from any ideas, methods, instructions or products referred to in the content. |
© 2023 by the authors. Licensee MDPI, Basel, Switzerland. This article is an open access article distributed under the terms and conditions of the Creative Commons Attribution (CC BY) license (https://creativecommons.org/licenses/by/4.0/).

