Next Article in Journal
Rainwater: Harvesting and Storage through a Flexible Storage System to Enhance Agricultural Resilience
Next Article in Special Issue
Determining Digitalization Issues (ICT Adoption, Digital Literacy, and the Digital Divide) in Rural Areas by Using Sample Surveys: The Case of Armenia
Previous Article in Journal
Precision Corn Pest Detection: Two-Step Transfer Learning for Beetles (Coleoptera) with MobileNet-SSD
Previous Article in Special Issue
Investigating the Profitability of Government-Funded Small-Scale Broiler Projects in Northern KwaZulu-Natal, South Africa
 
 
Font Type:
Arial Georgia Verdana
Font Size:
Aa Aa Aa
Line Spacing:
Column Width:
Background:
Article

Collaboration among Governments, Pesticide Operators, and Farmers in Regulating Pesticide Operations for Agricultural Product Safety

1
Institute of Data Science and Agricultural Economics, Beijing Academy of Agriculture and Forestry Sciences, Beijing 100097, China
2
School of Public Administration, Guangzhou University, Guangzhou 510006, China
*
Authors to whom correspondence should be addressed.
Agriculture 2023, 13(12), 2288; https://doi.org/10.3390/agriculture13122288
Submission received: 7 October 2023 / Revised: 13 December 2023 / Accepted: 14 December 2023 / Published: 18 December 2023
(This article belongs to the Special Issue Sustainable Rural Development and Agri-Food Systems)

Abstract

:
The regulation of pesticide operations still faces numerous challenges and issues. Conflicts of interest and power struggles among the government, pesticide operators, and farmers are crucial factors that impact the effectiveness of regulation. To enhance efficiency and ensure the quality and safety of agricultural products through stakeholder cooperation, this paper presents a dynamic evolution model based on the theory of evolutionary games. The model incorporates the government, pesticide operators, and farmers and evaluates the stability and effectiveness of the stakeholder cooperation mechanism under different circumstances. The research findings indicate the following: The relationships between the government, pesticide-operating enterprises, and farmers are characterized by intricate dynamics of cooperation and competition, coordination and contradiction, reciprocity, and mutual detriment. The stability and effectiveness of the stakeholder cooperation mechanism vary depending on different parameters. Several factors influence the stability of the stakeholder cooperation mechanism, with regulatory supervision from the government, stringent penalties for non-compliant pesticide operations, and strong incentives for farmers’ oversight being the most significant. The stakeholder cooperation mechanism can establish an evolutionary stabilization strategy when these factors reach a certain threshold. This study contributes to understanding the operational mechanisms of stakeholder cooperation in pesticide operation regulation and offers decision support and policy recommendations to relevant stakeholders for advancing the sustainable development and optimization of pesticide operation regulation.

1. Introduction

The quality and safety of agricultural products is a significant global concern that directly affects human health and survival [1,2,3]. The World Health Organization reported that approximately two billion individuals fall ill each year after consuming unsafe food, with around 420,000 deaths [4]. Overuse of pesticides poses one of the most significant threats to the quality and safety of agricultural products due to agricultural surface pollution. While pesticides play a vital role in crop protection, disease prevention, and enhancing agricultural productivity and yield, their irrational use can lead to severe environmental [5] and human health problems [2]. Exposure or accidental ingestion of pesticides results in an estimated 300,000 deaths globally each year [6].
To effectively address and mitigate the issue of agricultural surface pollution stemming from the excessive use of pesticides, comprehensive management at various levels is essential, with a crucial focus on strengthening pesticide operation regulation [7]. Pesticide operation regulation encompasses overseeing pesticide procurement, storage, packaging, sales, and related services to ensure pesticide quality, safety, and appropriate utilization [3]. However, numerous challenges persist in the regulation of pesticide operations in both China and other developing nations, which encompass unregulated pesticide sales, excessive pesticide residues, and inadequate pesticide oversight [3,8,9,10] (refer to Table 1). Therefore, it holds significant theoretical significance and practical value to explore methods for improving and refining the regulatory mechanisms governing pesticide operation to enhance the quality and safety of agricultural products.
In regulating pesticide operations, conflicts of interest and power dynamics exist between the government, pesticide operation enterprises, and farmers [11,12,13]. As the regulating entity, the government must guarantee the quality and safety of agricultural products while protecting public interests [3]. This may involve restricting or prohibiting the utilization of certain types or brands of pesticides to mitigate their usage [13]. In contrast, pesticide operating enterprises may engage in deceptive practices to promote specific types or brands of pesticides and even sell government-owned pesticides without regulatory compliance to boost sales [14]. Meanwhile, farmers’ efforts to prevent and manage pests and diseases can lead to disregarding non-compliant behaviors of pesticide operating enterprises or misusing certain types or brands of pesticides [15]. These actions can compromise the safety and quality of agricultural products and environmental protection. As the interests of the three parties are not entirely aligned and can be contradictory, stakeholder analysis and optimal institutional design are necessary to improve the efficacy and efficiency of pesticide operation regulation.
Research on pesticide operation regulation has been conducted both domestically and internationally, with a primary focus on the following areas: firstly, analyzing the factors that influence the safety of pesticide use, such as farmers’ knowledge, attitudes, and behaviors [16,17,18]; secondly, evaluating the economic, social, and environmental impacts of pesticide use safety, including farm incomes, human health, and biodiversity [19,20,21]; and thirdly, proposing policy recommendations and management strategies for pesticide use safety, such as laws and regulations, economic incentives, and technical training [22,23,24,25]. However, the majority of studies concentrate on the issues related to pesticide use and its governance, particularly focusing on the government, farmers, and consumers, with relatively few studies on the main actors in pesticide operation. Additionally, the complex interplay between the government, pesticide operation enterprises, and farmers is often overlooked [26,27]. These characteristics present significant challenges and difficulties in pesticide operation regulation, emphasizing the need for comprehensive research that adopts a multi-perspective and multi-dimensional approach to analyze cooperative mechanisms.
Evolutionary game theory is a powerful theoretical tool that combines principles from both evolutionary biology and game theory [28,29]. It allows for the analysis of how rational players with limited information and in uncertain environments adapt their strategies through processes such as learning, imitation, and variation [30]. Eventually, these players reach an evolutionary stable equilibrium state. The applications of evolutionary game theory span across various fields, including industrial policy [31], environmental policy [32], and supply chain management [25,33]. These studies have yielded valuable insights, which serve as the foundation for this paper. Therefore, we utilized evolutionary game theory to investigate how cooperative mechanisms can enhance the efficiency and effectiveness of pesticide operation regulation while also ensuring the safety and quality of agricultural products.
The research framework encompasses the following aspects: Firstly, an analysis of the interests and roles of the government, pesticide operators, and farmers was conducted, drawing upon existing literature and case studies. Secondly, evolutionary game theory was utilized to conceptualize stakeholders involved in pesticide operation regulation as players with varying strategies. This approach enabled the deduction of potential game behaviors among them and the establishment of a dynamic evolution model accordingly. Lastly, numerical simulations were performed to analyze the stability and effectiveness of the stakeholders’ cooperation mechanism under different conditions. By employing these research methods, this paper aims to delve into the factors influencing stakeholder cooperation in pesticide regulation, with the ultimate objective of providing information to aid policymakers in establishing regulations about the use of agricultural chemicals. The overarching goal is to facilitate more effective and sustainable practices in the management of pesticide operations.

2. Literature Review

Pesticide operational regulations play a crucial role in contemporary agricultural production, encompassing the use, storage, and distribution of pesticides, as well as their impact on agroecosystems and human health [23,24]. However, this realm faces numerous challenges influenced by both internal and external factors. Internal factors encompass a company’s management capabilities, operational norms, and compliance, whereas external factors include the policy environment, societal perceptions, and market demand. Recent research highlights the utilization of biological control agents as a promising approach to crop protection and pest management [34]. Moreover, studies examining the attitudes and behavioral patterns of agricultural specialists emphasize the significant influence of these factors on pesticide application techniques [35,36]. Extensive attention has also been given to factors affecting personal protection, health costs, and farmers’ pesticide-handling practices [37]. In response to these issues, scholars have proposed several solutions, such as establishing a framework for maximum permissible limits of pesticide residues [38], reviewing strategies for pesticide contamination and agro-ecosystem bioremediation [39,40], and exploring the use of biochar for managing pesticide contamination in soil [41]. Furthermore, certain studies have focused on prioritization assessment methods and limitations inherent in the environmental monitoring of pesticides [42]. In conclusion, while scholars have proposed various approaches to address the problems and challenges of pesticide operation regulation, further research, and practical implementation are still warranted to effectively address the impacts of internal and external factors in this field.
Research suggests that stakeholder collaboration can lead to improved pesticide quality, cost reduction, increased yields, and risk reduction. For instance, a study recommended enhancements in internal algorithms for pesticide fate modeling, pathway representation, transport/pollution control, and other hydrological-related areas to better reflect natural conditions and address environmental researcher and local decision-makers concerns by combining them with other models or management tools [43]. Collaborative efforts can also help manage pesticide operations companies [44]. In Vietnam’s Sero Province, a study examined five factors affecting the management of pesticide operating firms, such as legal document contents enforcement methods and managerial competencies [36]. In Cambodia’s rice farming communities, stakeholder interactions are essential to preserving conditions and mechanisms for transitioning from pesticide use to sustainable pest control practices [45]. Moreover, collaboration between stakeholders can enhance farmers’ perception of pesticide safety by analyzing their knowledge of safe pesticide management [46] and resisting pesticide resistance [47]. Regarding soil management, stakeholder cooperation can integrate environmental capacity based on pesticide risk assessment and provide overall protection of soil quality [48]. Overall, stakeholder collaboration plays a vital role in pesticide operation regulation, promoting quality improvement, cost reduction, yield enhancement, and risk reduction. Effective cooperation among government, pesticide operators, and farmers is crucial to addressing regulatory challenges and encouraging sustainable agricultural development.
In general, the current body of research extensively examines stakeholder behaviors and influencing factors in pesticide operation regulation from a static perspective [14,49]. However, this approach overlooks the dynamic evolution process and interactions among stakeholders. Moreover, existing studies primarily concentrate on pesticide use issues and governance, particularly focusing on the government, farmers, and consumers, while research on pesticide operation and business entities is relatively scarce. Furthermore, these studies fail to consider the game relationship between the government, pesticide operation enterprises, and farmers [26,27]. To address these limitations, this study adopts an evolutionary game theory and Incorporates the tripartite subjects of the government, pesticide operating enterprises, and farmers. The aim is to analyze the interactive relationship among these stakeholders in pesticide operation regulation and explore potential evolutionary stability. By employing this approach, the present paper seeks to bridge the gaps in previous research and delve into the characteristics and potential of collaborative mechanisms in pesticide operation regulation.

3. Model Design

3.1. Description of the Problem

China has implemented a comprehensive policy framework to oversee the production, distribution, and utilization of these chemicals. In response to non-compliance within the pesticide operation sector, the Chinese government has introduced a series of policies. An example is the Regulations on the Administration of Pesticides, which serves as the fundamental legislation governing pesticide management in China. This regulation defines, classifies, registers, produces, operates, utilizes, supervises, and manages pesticides. It also clarifies the responsibilities of various levels of government and related departments, as well as the penalties for violating the law. Additionally, the Measures for the Administration of Pesticide Operation Licenses outline the requirements, procedures, timelines, and fees associated with obtaining pesticide operation licenses. These measures also specify the validity period and procedures for making changes to operation licenses, as well as the quality control and usage guidelines that operators must adhere to.
The primary objectives of these policies are to ensure the quality and safety of pesticides, as well as to foster the sound development of the pesticide industry. The key stakeholders involved in implementing these policies encompass various departments such as governmental bodies at all levels, agricultural agencies, trade and commerce departments, quality supervision authorities, and environmental protection agencies. Additionally, certain policies target farmers, consumers, and the general public, aiming to encourage their active participation. These policies employ several essential tools, including the establishment of standards, enforcement and inspection systems, traceability management systems, information disclosure mechanisms, as well as reward and penalty systems. By regulating every aspect of pesticide production, distribution, and usage, these policy tools effectively enhance the regulatory and management frameworks for pesticide quality. Consequently, they safeguard the integrity and safety of pesticide products (see Table 2).
As the entities primarily responsible for overseeing pesticide operations, governments may enact policies to encourage or constrain the conduct of other stakeholders based on their objectives and incentives. Pesticide operators, which engage in activities such as pesticide operation, sales, or services, play a vital role in the regulation of pesticide operations. These enterprises are predominately motivated by profit maximization and may adopt varying operational strategies in response to market forces, competition, costs, benefits, and government regulations. Farmers, who cultivate crops and utilize pesticides, represent the end-users in pesticide operation regulation. Their primary goals revolve around improving crop yields and quality to secure their livelihoods and increase their incomes. To accomplish these objectives, farmers may employ differing pesticide usage strategies based on the benefits of various approaches. Additionally, farmers may be motivated to participate in supervising pesticide enterprise operations to enhance the effects of pesticide use while attaining greater benefits. This process is influenced by government guidance and the behavioral strategies employed by pesticide enterprises.
In the regulation of pesticide operations, there exist intricate relationships involving the government, pesticide operators, and farmers (Figure 1). These relationships encompass cooperation and competition, coordination and contradiction, as well as mutual benefit and mutual detriment. The behavior exhibited by these three parties is contingent upon their objectives, motivations, capabilities, constraints, credibility, trust, and external factors such as the market, institutional environment, and social context. To advance the sustainable development of pesticide operation regulation, it becomes imperative for these parties to attain a harmonious balance between their respective interests and societal welfare through effective communication, negotiation, and cooperation. In this regard, the design of an incentive-compatible system assumes critical significance.

3.2. Model Assumptions

This paper posits the following assumptions based on the aforementioned analysis (refer to Table 3):
Assumption 1.
The present study examines three groups of participants, namely government regulators, pesticide operators, and farmers. All three groups exhibit limited rationality. Government regulators have the choice between regulation and non-strict regulation. Pesticide operators have the choice between compliant operation and non-compliant operation, while farmers can choose between supervision and non-supervision.
Assumption 2.
The government regulator will opt for strict regulations with a probability of x (where x ∈ [0, 1]), while the probability of choosing non-strict regulations is 1 − x. For pesticide operating firms, the probability of compliant operations is y (where y ∈ [0, 1]), and the probability of non-compliant operations is 1 − y. Similarly, farmers have a probability of z (where z ∈ [0, 1]) to choose supervision, while the probability of not choosing supervision is 1 − z.
Assumption 3.
In this study, we utilize the following notations: Cg represents the cost associated with implementing strict regulations by the government regulator, encompassing human, material, and financial resources. Ug denotes the political benefits derived from enforcing strict regulations, such as enhanced public trust, increased voter support, and improved international image. F refers to the penalties per unit of pesticide imposed on pesticide operators by the government regulator, including fines, confiscation of illicit income, and permit revocation. s refers to the probability of the government unilaterally imposing strict regulations and discovering non-compliance among pesticide operators, which depends on both the government’s enforcement capability and the ability of pesticide operators to conceal their activities. Lastly, A represents the incentives per unit of pesticide provided by the government regulator to farmers, comprising financial subsidies, technical training, preferential policies, and other relevant inducements.
Assumption 4.
In our analysis, we define the variables as follows: Cc represents the cost per unit of pesticide associated with non-compliant operations of pesticide enterprises, encompassing expenses related to the procurement of substandard or counterfeit raw materials and the production of unqualified or counterfeit products. Conversely, Cn denotes the cost per unit of pesticide of compliant operations for pesticide enterprises, including expenditures tied to the acquisition of high-quality raw materials and the manufacturing of qualified products. R represents the price per unit of pesticide. Q represents the sales volume of pesticides. The variable d captures the proportion of revenue reduction experienced by enterprises due to farmers opting for choices in the event of non-compliance. This proportion is contingent upon farmers’ knowledge and ability to discern the quality of the enterprise’s products. Furthermore, Pe denotes the preference for social responsibility per unit of pesticide exhibited by pesticide enterprises, reflecting their concern for societal matters such as environmental preservation and public health. Lastly, when agribusinesses fail to comply, Le denotes the loss per unit of pesticide incurred by pesticide operators due to farmers’ supervisory actions, encompassing reputational damage, market share decline, and other associated detriments.
Assumption 5.
In this study, we establish the following assumptions: U represents the utility per unit of pesticide derived by farmers from the purchase of pesticide products, influenced by factors such as product quality and price. Meanwhile, Cm denotes the cost per unit of pesticide associated with farmers’ supervision efforts, encompassing resources such as time, energy, and monetary expenditures. Pf signifies farmers’ preference for social responsibility per unit of pesticide, reflecting the extent to which they prioritize societal concerns, including issues related to environmental preservation and public health. Finally, M denotes the level of compensation per unit of pesticide provided to farmers by pesticide enterprises, encompassing measures such as product returns, exchanges, indemnification for losses, and other relevant forms of restitution.

3.3. Model Building

Taking into account the aforementioned assumptions, we construct a mixed-strategy game matrix in this paper to represent the interactions among government regulators, pesticide operating companies, and farmers. The game matrix is presented in Table 4.
We denote the expected return for the government when it chooses the “strict regulation” strategy as E11, which is formulated in Equation (1).
E 11 = 1 y C g + F Q s 1 z + C g A Q + F Q z + y C g + U g 1 z + C g A Q + U g z
We denote the expected return for the government when it chooses the “non-strict regulation” strategy as E12, which is formulated in Equation (2).
E 12 = 0
The average expected return for the government is E1, expressed as Equation (3).
E 1 = x E 11 + ( 1 x ) E 12
As a result, the replicated dynamic equation for the probability of a government choosing the “strict regulation” strategy is Equation (4).
F ( x ) = x ( E 11 E 1 ) = ( 1 + x ) x C g U g y F Q 1 + y s 1 + z z + A Q z
Similarly, the replicated dynamic equations for the probability of a pesticide operator choosing the “compliant operation” strategy and the probability of a farmer choosing the “monitoring” strategy are shown in Equations (5) and (6), respectively.
F ( y ) = y ( E 21 E 2 ) = 1 + y y ( C c C n + P e + F s x + L e z + M z + P z d P z + F x z F s x z ) Q
F ( z ) = z ( E 31 E 3 ) = ( 1 + z ) z ( C m P f A x + M 1 + y + 1 + d U 1 + y + P 1 + d + y d y Q

4. Model Analysis

By consolidating Equations (4)–(6), we derive a three-dimensional dynamical system (I) represented by Equation (7).
F x = ( 1 + x ) x C g U g y F Q 1 + y s 1 + z z + A Q z F y = 1 + y y ( C c C n + P e + F s x + L e z + M z + P z d P z + F x z F s x z ) Q F z = ( 1 + z ) z ( C m P f A x + M 1 + y + 1 + d U 1 + y + P 1 + d + y d y Q
When the replicated dynamic equation system reaches zero, it signifies a cessation in the alteration of speed and direction of strategy adjustment for the three entities within the pesticide operation enterprise governance evolution game system. This indicates the attainment of a relatively stable equilibrium state within the system. Consequently, the equilibrium solutions for the pesticide operation enterprise governance evolution game system are: (0, 0, 0), (0, 0, 1), (0, 1, 0), (1, 0, 0), (1, 1, 0), (1, 0, 1), (0, 1, 1), (1, 1, 1), denoted as (x*, y*, z*). To achieve this equilibrium, it is necessary to satisfy the conditions F(x) = F(y) = F(z) = 0 as stated in Equation (8). According to Lyapunov stability theory, a system is deemed stable when all eigenvalues of its Jacobian matrix have negative real components. The Jacobian matrix for the system can be computed as follows:
J = F x x F y x F z x F y y F y y F y y F z z F z z F z z
Table 5 presents the eigenvalues obtained by substituting each equilibrium solution into the aforementioned Jacobian matrix.
According to Lyapunov theory, a Jacobian matrix is considered asymptotically stable when all of its eigenvalues (λ) are less than 0. Conversely, it is deemed unstable when all eigenvalues (λ) are greater than 0. Additionally, the equilibrium point becomes unstable when the Jacobian matrix possesses both positive and negative eigenvalues (λ), giving rise to a saddle point [29]. Utilizing the discriminant criterion mentioned above, (0, 0, 0), (0, 0, 1), (0, 1, 0), (1, 0, 0), (1, 1, 0), (1, 0, 1), (0, 1, 1), and (1, 1, 1) represent stable equilibrium strategies when certain conditions are fulfilled.
Scenario 1.
Under the conditions of −Cg + F s Q < 0, (Cc − Cn + Pe) Q < 0, (−Cm + M + Pf − U + d U + P − d P) Q < 0, (0, 0, 0) is the stable equilibrium strategy. In this scenario, the high costs associated with governmental regulations compared to the revenue generated from the fines imposed on pesticide operators result in insufficient incentives for effective regulation. Pesticide operators bear compliance costs and often prioritize limited social responsibility, which diminishes their motivation to comply with regulations. Additionally, farmers face substantial monitoring expenses or minimal benefits from monitoring, reducing their incentive to actively engage in oversight. The government lacks robust laws, regulations, and enforcement mechanisms to effectively address non-compliant pesticide enterprises. Issues such as corruption, benefit transfers, and regulatory failures further compound these challenges. Intense competition within the market drives some companies to resort to producing substandard or counterfeit products by utilizing low-quality raw materials to minimize costs and maximize profits. Furthermore, farmers’ lack of knowledge about pesticide quality and potential risks exacerbates the situation, leading them to utilize low-priced or non-compliant pesticides without adequately considering the associated health and environmental hazards.
Scenario 2.
Under the conditions of −A Q − Cg + F Q < 0, (Cc − Cn + Le + M + Pe + R − d R + P − d P) Q < 0, and (Cm − M − Pf + U − d U − P + d P) Q < 0, (0, 0, 1) is the stable equilibrium strategy. In this scenario, the costs and benefits associated with governmental regulations outweigh the fines collected, leading to a lack of regulatory incentives. Pesticide operators encounter high compliance costs and exhibit minimal preferences for social responsibility, potentially opting for compensation over adherence to regulations. On the other hand, farmers face minimal monitoring expenses, strong preferences for social responsibility, and may receive substantial compensation for non-compliance, thereby increasing their motivation to actively monitor pesticide usage. Challenges in this scenario encompass governmental negligence, corruption, benefit transfers, and regulatory failures. The intense competition within the pesticide market may drive some companies to produce substandard or counterfeit products, exposing them to legal risks and resistance from farmers. However, farmers’ awareness of pesticide quality could lead to dissatisfaction with government inaction, prompting increased monitoring efforts on their part.
Scenario 3.
Under the conditions of −Cg + Ug < 0, (−Cc + Cn − Pe) Q < 0, and (−Cm + Pf) Q < 0, (0, 1, 0) is the stable equilibrium strategy. In this scenario, the costs associated with governmental regulation outweigh its political effectiveness, leading to insufficient regulatory incentives. However, pesticide companies encounter lower compliance costs compared to non-compliance costs and demonstrate social responsibility preferences, motivating them to comply with regulations. Conversely, farmers face high monitoring expenses or lack social responsibility preferences, reducing their motivation to actively monitor pesticide usage. Challenges in this scenario include governmental indifference or irresponsibility towards pesticide quality, corruption, and benefit transfers resulting in regulatory failures. Pesticide operators may choose compliant products due to considerations such as social responsibility and brand reputation. Furthermore, farmers and consumers may lack awareness of green consumption and pesticide quality identification, resulting in inadequate monitoring measures.
Scenario 4.
Under the conditions of Cg − F s Q < 0, (Cc − Cn + Pe + F s) Q < 0, and (A − Cm + M + Pf − U + d U + P − d P) Q < 0, (1, 0, 0) is the stable equilibrium strategy. In this scenario, the government possesses regulatory incentives since the cost of regulation is lower than the revenue generated from fines. However, pesticide operators may lack compliance incentives due to high costs or low social responsibility preferences. Similarly, farmers may lack motivation for monitoring due to high costs or limited monitoring benefits. Challenges in this scenario encompass government prioritization of environmental protection and public health, as well as social pressure and international influence. This could lead to increased fines and penalties for non-compliant pesticide companies. Additionally, intense competition within the pesticide market may drive some firms to produce substandard or counterfeit products, resulting in government crackdowns and farmer boycotts. Moreover, farmers and consumers may possess limited awareness of green consumption and pesticide quality identification, leading to dissatisfaction with the government’s monitoring efforts.
Scenario 5.
Under the conditions of Cg − Ug < 0, (−Cc + Cn − Pe − F s < 0) Q, and (A − Cm + Pf) Q < 0, (1, 1, 0) is the stable equilibrium strategy. In this scenario, the government possesses regulatory incentives as the cost of regulation outweighs political performance. However, pesticide operators may lack motivation to comply due to low costs, limited social responsibility preferences, or the potential benefits of non-compliance. Similarly, farmers face obstacles in monitoring due to high costs or insufficient benefits. Challenges in this scenario include government prioritization of environmental protection and public health, resulting in strengthened laws, regulations, enforcement, and increased fines for non-compliant pesticide companies. Pesticide operators may opt for compliant products to ensure long-term development prospects. The lack of knowledge on pesticide quality and identification among farmers, as well as the low awareness of green consumption among consumers, may lead to inadequate monitoring measures.
Scenario 6.
Under the conditions of A Q + Cg − F Q < 0, (Cc − Cn + F + Le + M + Pe + R − d R + P − d P) Q < 0, (−A + Cm − M − Pf + U − d U − P + d P) Q < 0, (1, 0, 1) is the stable equilibrium strategy. In this scenario, the government possesses low regulatory costs and high political performance, resulting in regulatory incentives. However, pesticide operators lack motivation to comply due to high costs, limited social responsibility preferences, or the potential benefits of non-compliance. Conversely, farmers have low monitoring costs and significant gains and are willing to engage in monitoring activities. The government prioritizes environmental protection and public health, leading to strengthened laws, regulations, enforcement, and increased fines for non-compliant pesticide companies. Intense competition within the pesticide market may result in some firms producing substandard or counterfeit products, leading to government crackdowns and farmer opposition. While farmers possess knowledge of pesticide quality, they express dissatisfaction with government inaction and pesticide company practices, prompting them to take the initiative in monitoring.
Scenario 7.
Under the conditions of −A Q − Cg + Ug < 0, (−Cc + Cn − Le − M − Pe − R + d R − P + d P) Q < 0, (Cm − Pf) Q < 0, (0, 1, 1) is the stable equilibrium strategy. In this scenario, the government faces a lack of regulatory incentives due to the higher costs involved and the lower rewards compared to fine revenues. However, pesticide operators are motivated to comply with regulations due to lower costs and a stronger preference for social responsibility or the benefits derived from compliance. Similarly, farmers have minimal monitoring costs and demonstrate a high level of social responsibility, which drives their willingness to actively monitor the situation. Moreover, pesticide companies choose to prioritize compliant pesticide operations due to their concerns for social responsibility and the preservation of their brand reputation. While farmers possess a certain level of knowledge and the ability to identify pesticide quality, they also express dissatisfaction and frustration towards the government and pesticide companies’ inaction. This dissatisfaction prompts them to take the initiative in proactively monitoring pesticide companies.
Scenario 8.
Under the conditions of A Q + Cg − Ug < 0, (−Cc + Cn − F − Le − M − Pe − R + d R − P + d P) Q < 0, and (−A + Cm − Pf) Q < 0, (1, 1, 1) is the stable equilibrium strategy. The favorable scenario stimulates the government to actively enforce regulatory measures, benefiting from cost-effective regulations and demonstrating strong political performance. In addition, pesticide operators find compliance highly incentivizing due to the low costs associated with adherence, a deep commitment to social responsibility, or substantial benefits derived from complying. Farmers willingly participate in monitoring activities, incurring minimal expenses while reaping significant advantages. This scenario represents an ideal state wherein environmental protection and public health are given top priority, leading to reinforced regulations and robust law enforcement. Pesticide companies prioritize social responsibility and safeguarding their brand reputation. Meanwhile, farmers possess relevant knowledge and may also be influenced by public opinion, resulting in their making compliant pesticide choices and proactively monitoring pesticide activities.

5. Numerical Simulation

To gain a more intuitive understanding of the game mechanism and evolutionary stability in pesticide management, we conducted numerical simulations using Python 3.8. Previous studies have emphasized the importance of accurately capturing the internal patterns of change to construct a simulation model [50,51]. With this in mind, we aimed to ensure logical consistency when setting the parameters. Our parameter settings were guided by two main criteria. Firstly, we strove to achieve an ideal stable equilibrium condition based on the results of model analysis. This approach enhances the self-consistency of the model. Since empirical data may not always be readily available or the real-world complexity may hinder extracting relevant information, using idealized parameters has been a common practice in similar studies [52,53].
Additionally, to align our analysis with the real-world scenario, we conducted research on the Agricultural and Rural Bureaus in Guangzhou and Xuzhou, China. We aimed to understand the dynamics and game relationships among the key stakeholders involved in pesticide management. During inspections, enforcement officers from the Agricultural and Rural Bureaus may directly inspect the pesticide usage of companies suspected of selling substandard pesticides within their designated areas. They also conduct inspections of agricultural households or businesses to uncover potential cases of substandard pesticide use. The key actors in this context include the enforcement officers, pesticide sellers, and farmers. According to Article 56 of the Pesticide Management Regulations, if a pesticide seller is found to be operating with substandard products, the authorities have the right to seize the substandard pesticides, confiscate illegal gains, and impose fines. By taking legal action against those who engage in the sale of substandard pesticides, the agricultural and rural departments maintain order in pesticide management and protect the legitimate rights and interests of farmers.
Based on the previous analysis, to achieve effective stakeholder cooperation, we need to satisfy the conditions A Q + CgUg < 0, (−Cc + CnFLeMPeR + d R − P + d P) Q < 0, and (−A + CmPf) Q < 0. At this point, (1, 1, 1) is the stable equilibrium strategy. To meet these requirements, we assigned specific parameter values based on the results of our survey of individual player costs and benefits in a single game, including the cost and benefit of a single regulator’s enforcement, a single pesticide business (or individual farmer), and a single farmer. The costs and benefits of the game are generally within the range of thousands of yuan. Without loss of generality, we can set the parameters as follows: Cg = 2 thousand yuan, Ug = 5 thousand yuan, F = 0.2 thousand yuan, s = 0.6, A = 0.2 thousand yuan, Cc = 0.2 thousand yuan, Cn = 0.4 thousand yuan, P = 0.4 thousand yuan, Q = 10 cases, d = 0.6, Pe = 0.1 thousand yuan, Le = 0.1 thousand yuan, U = 0.4 thousand yuan, Cm = 0.2 thousand yuan, Pf = 0.1 thousand yuan, and M = 0.1 thousand yuan.
Based on our survey, the proportion (x) of government regulation is influenced by policies, law enforcement, administrative efficiency, and social responsibility. Government regulation levels vary across regions and time. The Chinese government currently prioritizes pesticide regulation, suggesting a relatively high value for x, but implementation challenges limit effectiveness. An initial value of 0.6 is suggested. In the competitive pesticide market, some enterprises engage in non-compliant practices but face government and societal supervision. The parameter (y) representing this behavior should be relatively low, considering potential losses and reputation damage. An initial value of 0.4 is recommended. Farmers have an incentive to monitor compliance, but their dispersed distribution and limited knowledge introduce uncertainty. The value of z should range between 0.4 and 0.6, with an initial value of 0.5. A simulation period of 10 is recommended to reflect dynamic evolution and steady-state characteristics while managing complexity and uncertainty. In addition, the simulation period should reflect the dynamic evolution process and steady-state characteristics. However, a too-long simulation period can increase complexity and uncertainty. A simulation period of 10 is recommended based on related research.

5.1. Impact of Initial Behavioural Strategies on the Evolutionary Game

Figure 2 illustrates the dynamic evolution of an evolutionary game system under varying initial conditions. In Figure 2a, a small initial value of strict government regulation (x) leads to a stable equilibrium strategy of (0, 0, 0), while a large initial value results in (1, 1, 1). Figure 2b,c depict the influence of pesticide operators’ compliance operation (y) and farmers’ supervision (z), respectively. Notably, the system converges to a stable equilibrium strategy of (1, 1, 1) regardless of the initial values of y and z. This indicates that the evolutionary direction of the system is primarily shaped by the strength of government regulation, while the choices of firms and farmers are constrained by it. Furthermore, Figure 2d showcases two possible stable equilibrium strategies (0, 0, 0 and 1, 1, 1) based on the parameter assignments in this study. This reflects the current dichotomy in pesticide quality and safety issues in China, with some regions and enterprises achieving high levels of management and safety, while others still face significant problems.

5.2. Impact of Behavioural Parameters of Governments on the Evolutionary Game

Figure 3 illustrates the relationship between government regulators’ behavioral choices and various factors such as political performance, regulation costs, penalties on agribusinesses, probability of detecting non-compliant operations, and incentives for farmers. This study reveals that the likelihood of strict regulation by government regulators is influenced by their political performance (Figure 3a), penalties imposed on agribusinesses (Figure 3c), and the probability of detecting non-compliant operations (Figure 3d). Conversely, it decreases with regulation costs (Figure 3b) and incentives provided to farmers (Figure 3e). This implies that regulators carefully consider the benefits and costs of strict regulation and its impact on both pesticide operators and farmers when making regulatory decisions. Moreover, the probability of strict regulation by government regulators influences the behavioral choices of pesticide operators and farmers. Specifically, when regulators adopt strict measures, the likelihood of compliant operations by pesticide operators and monitoring by farmers increases, and vice versa. Thus, strict regulation serves as an effective means to curb non-compliance by pesticide operators and encourage farmer participation in monitoring. However, this study also highlights the potential limitations of farmer incentives provided by regulators. While such incentives significantly enhance the probability of farmer monitoring (Figure 3e), their associated costs may diminish the regulators’ motivation to engage in regulation. Consequently, financial-based incentives may not be as sustainable as desired.

5.3. Impact of Behavioural Parameters of Pesticide Operators on the Evolutionary Game

Figure 4 depicts the relationship between a pesticide firm’s behavior and factors such as compliant and non-compliant operation costs, sales revenue, lost revenue discounts for non-compliance, losses from farmer monitoring, and social responsibility preferences. This study shows that the likelihood of pesticide operators operating in compliance increases with higher non-compliant operation costs (Figure 4a), lower compliant operation costs (Figure 4b), greater price (Figure 4c), reduced percentage of loss discount (Figure 4d), larger loss to pesticide operating firms from monitoring by farmers (Figure 4e), and stronger social responsibility preferences (Figure 4f). This indicates that firms carefully weigh the benefits and costs of their behavior and its effect on the government and farmers when deciding to operate in compliance. Moreover, the probability of pesticide operators’ compliant operations influences the behavior of the government and farmers. Specifically, compliant operation increases the likelihood of strict regulation by the government and monitoring by farmers, and vice versa. Thus, the compliant operation of pesticide operators can reduce the cost of regulation, improve the political performance of government regulators, and increase purchasing utility and monitoring incentives for farmers. However, this study also highlights that as the proportion of firms’ revenue discounts due to farmer monitoring increases, the probability of compliant operation reduces (Figure 4d). This may be due to firms perceiving non-compliant operations as more profitable than compliant ones, which may not bring enough competitive advantage or market recognition. Therefore, the government and farmers should consider the impact on social responsibility preferences and brand image while formulating and implementing pesticide quality monitoring policies, in addition to punishment and reward mechanisms for pesticide operators.

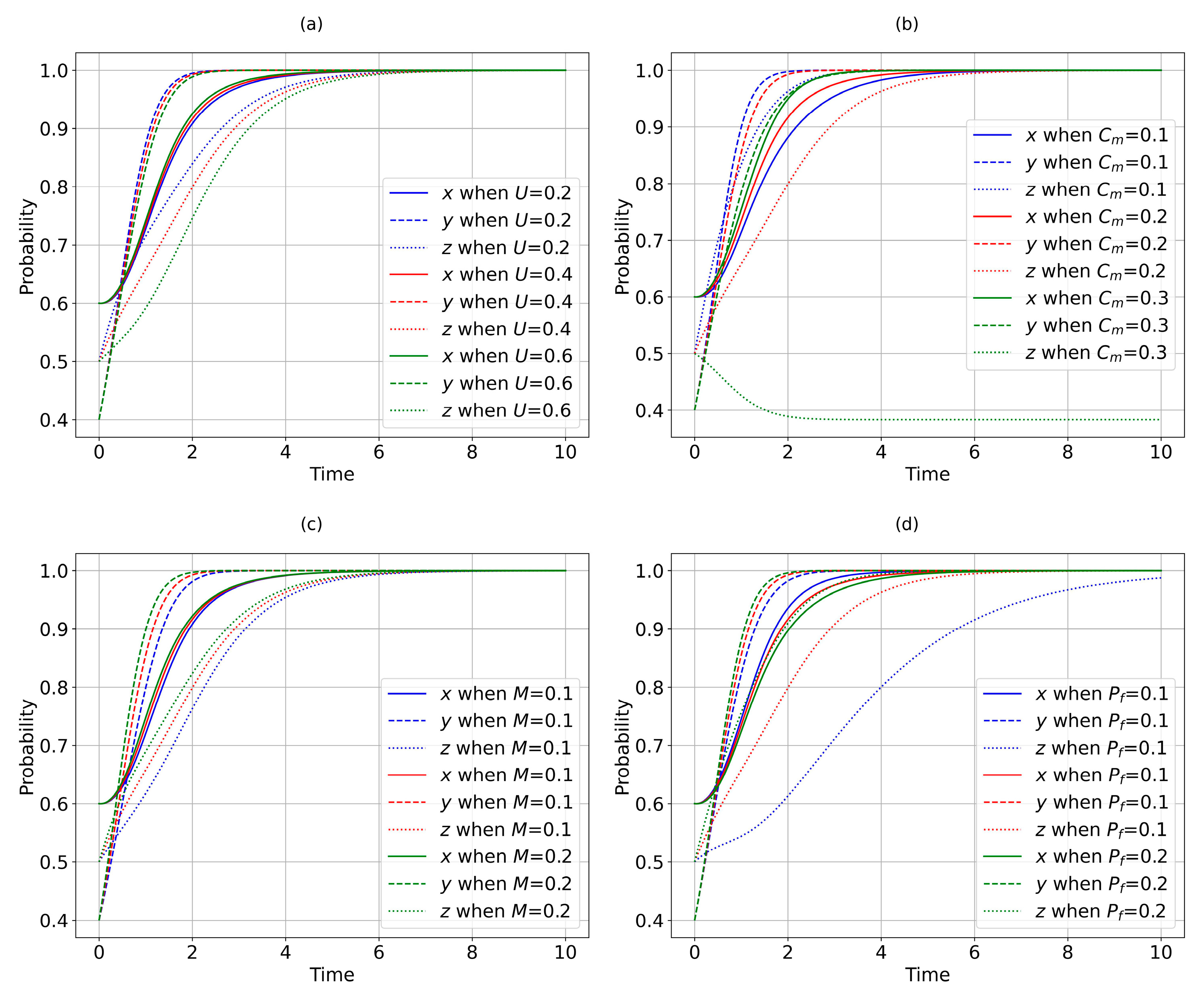
5.4. Impact of Behavioural Parameters of Farmers on the Evolutionary Game

Figure 5 showcases the relationship between farmers’ behavior and factors such as purchase utility, monitoring cost, compensation amount, and social responsibility preferences. This study reveals that farmers are more likely to engage in monitoring when their purchase utility decreases (Figure 5a), monitoring cost decreases (Figure 5b), compensation amount increases (Figure 5c), and social responsibility preferences increase (Figure 5d). This indicates that farmers consider the costs and benefits of monitoring pesticide operators, as well as their impact on themselves and society, before making a decision. Furthermore, farmers’ monitoring behavior also influences the choices of pesticide operators and government regulators. Specifically, when farmers actively monitor, there is an increased likelihood of pesticide operators operating in compliance and government regulators enforcing strict regulations, and vice versa. Hence, farmers’ monitoring can effectively discourage non-compliant behavior by pesticide operators and enhance the efficiency of regulatory efforts by the government. However, it should be noted that when farmers have high purchase utility, even with incentives or preference benefits from government regulators, their probability of monitoring does not significantly increase (Figure 5a). This might be attributed to farmers excessively relying on pesticide products to improve crop yield or quality while neglecting the potential hazards of such products on food safety and environmental pollution. Consequently, this study suggests that when formulating and implementing pesticide quality regulation policies, government regulators should take into account not only the incentives for farmers but also the impact on their purchase utility and awareness of responsible consumption.

6. Discussion

The regulation of pesticide operations is crucial for ensuring the quality and safety of agricultural products. However, in China, this domain encounters numerous practical challenges, including inadequate government regulatory capacity, frequent violations by pesticide operators, and irregularities in pesticide use by farmers. These challenges have resulted in inefficient and ineffective regulation of pesticide operations, posing a threat to the sustainability and environmental friendliness of agricultural production. To tackle this issue, this paper delves into enhancing the efficiency and effectiveness of pesticide operation regulation through stakeholder cooperation mechanisms.
This paper presents a novel approach to examining pesticide operation regulation through the application of evolutionary game theory, which provides a fresh theoretical framework and analytical tool for this field. The proposed model not only takes into account the strategic interaction and interest game among the government, pesticide operation enterprises, and farmers but also considers aspects such as the impact of external environmental factors on their behavior. The simulation method used in this study is also innovative; computer simulation technology was utilized to effectively simulate and observe how the strategic choices and behavioral outcomes of the three parties’ subjects change under different circumstances. Additionally, this study explores how stakeholder cooperation mechanisms can enhance the efficiency and effectiveness of pesticide operation regulation.
To gain a comprehensive understanding of the issues surrounding the regulation of pesticide operations in China, this study delved into multiple cases involving the sale of counterfeit pesticides and the improper labeling of production dates. One notable case involved an agricultural supplies company suspected of trafficking counterfeit pesticide “Dicamba” across provinces via an e-commerce platform. Upon investigation, law enforcement officers uncovered that the label “25% Dicamba Aqueous Solution” actually contained a mere 0.04% Dicamba and the banned ingredient Paraquat, unequivocally confirming it as counterfeit. Further inquiries revealed that the company had obtained a pesticide operation license in Tianjin but was engaged in the sale of counterfeit pesticides in Jiangsu Province. Through the collaborative efforts of farmers, the Rural Committee, the Public Security Bureau, and others, five suspects were apprehended, and 4.5 tons of pesticides valued at 20 million yuan were seized. These cases underscore the efficacy of government oversight and regulation, as well as the cooperation of farmers, in addressing non-compliant practices within the pesticide industry.
Through extensive research and case analysis, this study identifies several significant issues within China’s pesticide operation regulation. These problems include a low probability of effective regulation, weak penalties, and insufficient incentives provided by government regulators. Consequently, there is a lack of motivation for pesticide operators to comply with regulations and adhere to best practices. Moreover, inadequate information communication and a lack of trust between pesticide operators and farmers contribute to farmer dissatisfaction with the quality of products and services offered by pesticide operators. This dissatisfaction further leads farmers to seek alternative, informal channels for purchasing pesticides. Additionally, farmers’ limited knowledge and improper use of pesticides pose threats to the overall quality and safety of agricultural products. These findings are consistent with the simulation outcomes presented in this paper, demonstrating that the model and methodology employed hold significant theoretical and practical value.
By conducting analysis, we have established an institutional framework through which cooperation can be achieved (Figure 6). To realize a cooperative mechanism for pesticide management, it is necessary to optimize the system design to improve the efficiency and quality of pesticide management and ensure the safety and effectiveness of pesticides. The guiding principles are compliance, integrity, fairness, and mutual benefit. The stakeholders involved in the cooperation include government regulatory departments, pesticide manufacturers, and pesticide users. The cooperative mechanisms and approaches include establishing collaborative platforms with multiple participants such as industry associations and regulatory agencies. Developing cooperation plans to clarify the responsibilities and obligations of each party ensures smooth collaboration. Implementing an information-sharing mechanism strengthens communication and coordination among all parties. Measures for ensuring and incentivizing cooperation include formulating relevant laws and regulations to ensure compliance. Providing technical training and information support enhances the cooperative capabilities of all parties. Clearly defining mechanisms for risk and benefit sharing ensures fair cooperation. Establishing evaluation mechanisms allows for assessing and rewarding cooperative achievements.
Based on this study’s findings, the following recommendations for institutional optimization are proposed: Firstly, government regulatory agencies should enhance regulatory effectiveness by increasing the frequency of inspections and monitoring. Additionally, stronger penalties and incentives should be implemented to encourage compliance with laws and regulations among pesticide operators, thereby improving the overall quality of their products and services. Establishing a risk-based regulatory framework, setting clear regulatory objectives and indicators, strengthening the training and capacity building of regulatory personnel, and implementing effective complaint and reporting mechanisms are essential steps. Secondly, government regulatory agencies need to facilitate information communication and trust-building between pesticide operators and farmers. This can be achieved through the establishment of dedicated information platforms, comprehensive training programs, and promoting exchanges and interactions. These measures aim to foster collaborative relationships between the two parties. Lastly, government regulatory agencies should prioritize educating and guiding farmers, focusing on enhancing their knowledge and skills regarding pesticide use. This includes teaching them how to use pesticides safely, effectively, and responsibly, as well as guiding the proper disposal of pesticide waste and containers.

7. Conclusions

The primary aim of this academic paper is to investigate strategies for enhancing the efficiency and effectiveness of pesticide operation regulation through the implementation of a stakeholder cooperative mechanism. This approach ultimately aims to safeguard the quality and safety of agricultural products. To achieve this goal, an evolutionary game theory framework is employed to develop a dynamic model involving three key stakeholders: the government, pesticide operation enterprises, and farmers. By utilizing computer simulation methods, this model is numerically evaluated. The principal discoveries derived from this study are as follows:
The relationship between the government, pesticide operators, and farmers, involves a complex interplay of coordination and contradictions, as well as reciprocity and mutual detriment. This necessitates effective cooperation between these parties to ensure the realization of their respective interests and those of society. Such cooperation is critical for promoting sustainable development in pesticide operation regulation.
The stability and efficacy of stakeholder cooperation mechanisms can vary under different parameter conditions. The following equilibrium strategies have been identified as stable under specific conditions: E1 (0, 0, 0), E2 (0, 0, 1), E3 (0, 1, 0), E4 (1, 0, 0), E5 (1, 1, 0), E6 (1, 0, 1), E7 (0, 1, 1), and E8 (1, 1, 1).
The stability of the stakeholder cooperation mechanism is influenced by several critical factors. Among these factors, the regulatory oversight conducted by government authorities, the severity of penalties imposed on non-compliant pesticide operations, the strength of incentives for farmers’ oversight, and the establishment of effective information communication and trust-building measures between pesticide operators and farmers are of utmost importance. Once these factors reach a certain threshold, the stakeholder cooperation mechanism can establish an evolutionary stabilization strategy and attain social optimality.
This study acknowledges certain uncertainties and limitations that should be considered. Firstly, the assessment of stakeholder cooperation mechanisms’ stability and impact in this paper relies on computer simulation methods. However, the accuracy and reliability of the simulation results may be influenced by uncertainties or variations in the model parameters and the diversity or randomness of the initial conditions encountered in practical settings. Secondly, it is important to note that the empirical evidence is limited to case studies conducted in China. This paper specifically focuses on the current situation and challenges associated with pesticide operation regulation in China, making the findings relevant and practical within this context. However, it is essential to recognize that different countries or regions may have distinct policy environments, market conditions, and social contexts regarding pesticide operation regulation. These variations could potentially affect the applicability and effectiveness of stakeholder cooperation mechanisms. Furthermore, it is worth noting that the current research primarily emphasizes cooperation mechanisms while overlooking the economic, social, and environmental effects of different game equilibriums.
Building on the analysis above, this paper proposes several avenues for future research. Firstly, it is recommended to broaden the range of research methods and techniques used to establish the effectiveness and feasibility of the stakeholder cooperation mechanism. Conducting empirical studies or case analyses to evaluate the impact of different strategies and interventions on enhancing stakeholder cooperation will provide better insights into the strategic choices and behavioral outcomes of stakeholders under differing circumstances. Additionally, it will help assess the impact of stakeholder cooperation mechanisms on the efficiency and effectiveness of pesticide operation regulation. Secondly, the scope and applicability of the stakeholder cooperation mechanism can be expanded by integrating it with other agricultural production management issues such as seed management, fertilizer management, and water resource management. This comprehensive approach will enable a more in-depth consideration of the multifaceted factors involved in agricultural production, leading to improved sustainability and environmentally friendly agricultural practices. Thirdly, future research should also aim to explore the heterogeneity among stakeholders by considering factors such as the size and type of farms, the experience and expertise of pesticide operators, and the regulatory capacity of different governments. Investigating their incentive mechanisms for agricultural product safety and environmental outcomes will also be crucial. Fourthly, there is a need for further research in different countries and contexts to validate and extend the findings of this study.

Author Contributions

Conceptualization, J.G.; methodology, J.G. and Y.S.; software, Y.S.; validation, J.G. and H.D.; formal analysis, J.G. and H.D.; Investigation, J.G. and H.D.; Resources, J.G. and H.D.; data curation, J.G.; data curation, J.G.; writing—original draft preparation, J.G. and H.D.; writing—review and editing, H.D. and Y.S.; visualization, J.G. and H.D.; supervision, Y.S.; project administration, Y.S.; funding acquisition, Y.S. All authors have read and agreed to the published version of the manuscript.

Funding

This research was supported by the Collaborative Innovation Platform Construction Project of Beijing Academy of Agriculture and Forestry Sciences (grant number KJCX201913); the Guangdong Provincial Philosophy and Social Science Planning Project (grant number GD23XGL067).

Institutional Review Board Statement

Not applicable.

Informed Consent Statement

Not applicable.

Data Availability Statement

Data are contained within the article.

Conflicts of Interest

The authors declare no conflict of interest.

References

  1. Oliver, M.A.; Gregory, P.J. Soil, Food Security and Human Health: A Review. Eur. J. Soil Sci. 2015, 66, 257–276. [Google Scholar] [CrossRef]
  2. Horrigan, L.; Lawrence, R.S.; Walker, P. How Sustainable Agriculture Can Address the Environmental and Human Health Harms of Industrial Agriculture. Environ. Health Perspect. 2002, 110, 445–456. [Google Scholar] [CrossRef] [PubMed]
  3. Trienekens, J.; Zuurbieri, P. Quality and Safety Standards in the Food Industry, Developments and Challenges. Int. J. Prod. Econ. 2008, 113, 107–122. [Google Scholar] [CrossRef]
  4. WHO. Food Safety; WHO: Geneva, Switzerland, 2020. [Google Scholar]
  5. Liao, J.-Y.; Fan, C.; Huang, Y.-Z.; Pei, K.J.-C. Distribution of Residual Agricultural Pesticides and Their Impact Assessment on the Survival of an Endangered Species. J. Hazard. Mater. 2020, 389, 121871. [Google Scholar] [CrossRef] [PubMed]
  6. World Health Organization. The Public Health Impact of Chemicals: Knowns and Unknowns: Data Addendum for 2019; World Health Organization: Geneva, Switzerland, 2021. [Google Scholar]
  7. Peshin, R.; Bandral, R.S.; Zhang, W.; Wilson, L.; Dhawan, A.K. Integrated Pest Management: A Global Overview of History, Programs and Adoption; Peshin, R., Dhawan, A.K., Eds.; Springer: Dordrecht, The Netherlands, 2009; pp. 1–49. ISBN 978-1-4020-8991-6. [Google Scholar]
  8. Ye, Y. Status Quo and Countermeasures for Management of Pesticide in China. Rural Eco-Environ. 2002, 18, 62–64. [Google Scholar]
  9. Zhu, W.; Wang, R. Impact of Farm Size on Intensity of Pesticide Use: Evidence from China. Sci. Total Environ. 2021, 753, 141696. [Google Scholar] [CrossRef] [PubMed]
  10. Chen, Z.; Dong, F.; Xu, J.; Liu, X.; Zheng, Y. Management of Pesticide Residues in China. J. Integr. Agric. 2015, 14, 2319–2327. [Google Scholar] [CrossRef]
  11. Zhang, H.; Georgescu, P. Sustainable Organic Farming, Food Safety and Pest Management: An Evolutionary Game Analysis. Mathematics 2022, 10, 2269. [Google Scholar] [CrossRef]
  12. Chandler, D.; Bailey, A.S.; Tatchell, G.M.; Davidson, G.; Greaves, J.; Grant, W.P. The Development, Regulation and Use of Biopesticides for Integrated Pest Management. Philos. Trans. R. Soc. B-Biol. Sci. 2011, 366, 1987–1998. [Google Scholar] [CrossRef]
  13. He, Q.; Sun, Y.; Yi, M. Evolutionary Game of Pesticide Reduction Management for Sustainable Agriculture: An Analysis Based on Local Governments, Farmers, and Consumers. Sustainability 2023, 15, 9173. [Google Scholar] [CrossRef]
  14. Mengistie, B.T.; Mol, A.P.J.; Oosterveer, P. Private Environmental Governance in the Ethiopian Pesticide Supply Chain: Importation, Distribution and Use. NJAS-Wagening. J. Life Sci. 2016, 76, 65–73. [Google Scholar] [CrossRef]
  15. Mengistie, B.T.; Mol, A.P.J.; Oosterveer, P. Pesticide Use Practices among Smallholder Vegetable Farmers in Ethiopian Central Rift Valley. Environ. Dev. Sustain. 2017, 19, 301–324. [Google Scholar] [CrossRef]
  16. Maumbe, B.M.; Swinton, S.M. Hidden Health Costs of Pesticide Use in Zimbabwe’s Smallholder Cotton Growers. Soc. Sci. Med. 2003, 57, 1559–1571. [Google Scholar] [CrossRef] [PubMed]
  17. Hashemi, S.M.; Damalas, C.A. Farmers’ Perceptions of Pesticide Efficacy: Reflections on the Importance of Pest Management Practices Adoption. J. Sustain. Agric. 2011, 35, 69–85. [Google Scholar] [CrossRef]
  18. Clausen, A.S.; Jors, E.; Atuhaire, A.; Thomsen, J.F. Effect of Integrated Pest Management Training on Ugandan Small-Scale Farmers. Environ. Health Insights 2017, 11, 1178630217703391. [Google Scholar] [CrossRef] [PubMed]
  19. Antle, J.; Pingali, P. Pesticides, productivity, and farmer health—A philippine case-study. Am. J. Agric. Econ. 1994, 76, 418–430. [Google Scholar] [CrossRef]
  20. Dasgupta, S.; Meisner, C.; Wheeler, D.; Xuyen, K.; Lam, N.T. Pesticide Poisoning of Farm Workers—Implications of Blood Test Results from Vietnam. Int. J. Hyg. Environ. Health 2007, 210, 121–132. [Google Scholar] [CrossRef] [PubMed]
  21. Atreya, K.; Sitaula, B.K.; Johnsen, F.H.; Bajracharya, R.M. Continuing Issues in the Limitations of Pesticide Use in Developing Countries. J. Agric. Environ. Ethics 2011, 24, 49–62. [Google Scholar] [CrossRef]
  22. Van Hoi, P.; Mol, A.P.J.; Oosterveer, P.J.M. Market Governance for Safe Food in Developing Countries: The Case of Low-Pesticide Vegetables in Vietnam. J. Environ. Manag. 2009, 91, 380–388. [Google Scholar] [CrossRef]
  23. Praneetvataku, S.; Schreinemachers, P.; Pananurak, P.; Tipraqsa, P. Pesticides, External Costs and Policy Options for Thai Agriculture. Environ. Sci. Policy 2013, 27, 103–113. [Google Scholar] [CrossRef]
  24. Wilson, C.; Tisdell, C. Why Farmers Continue to Use Pesticides despite Environmental, Health and Sustainability Costs. Ecol. Econ. 2001, 39, 449–462. [Google Scholar] [CrossRef]
  25. Wang, F.; Xu, Y. Evolutionary Game Analysis of the Quality of Agricultural Products in Supply Chain. Agriculture 2022, 12, 1575. [Google Scholar] [CrossRef]
  26. Williamson, S.; Ball, A.; Pretty, J. Trends in Pesticide Use and Drivers for Safer Pest Management in Four African Countries. Crop Prot. 2008, 27, 1327–1334. [Google Scholar] [CrossRef]
  27. Panuwet, P.; Siriwong, W.; Prapamontol, T.; Ryan, P.B.; Fiedler, N.; Robson, M.G.; Barr, D.B. Agricultural Pesticide Management in Thailand: Status and Population Health Risk. Environ. Sci. Policy 2012, 17, 72–81. [Google Scholar] [CrossRef] [PubMed]
  28. Araujo, R.A.; Moreira, H.N. Lyapunov Stability in an Evolutionary Game Theory Model of the Labour Market. EconomiA 2014, 15, 41–53. [Google Scholar] [CrossRef]
  29. Friedman, D. Evolutionary Games in Economics. Econometrica 1991, 59, 637–666. [Google Scholar] [CrossRef]
  30. Wang, Y.; Li, J.; Cheng, P. Multiple Subject Behavior in Pest and Disease Control Outsourcing from the Perspective of Government Intervention: Based on Evolutionary Game and Simulation Analysis. Agriculture 2023, 13, 1183. [Google Scholar] [CrossRef]
  31. Sun, Y.; Liu, B.; Sun, Z.; Yang, R. Inter-Regional Cooperation in the Transfers of Energy-Intensive Industry: An Evolutionary Game Approach. Energy 2023, 282, 128313. [Google Scholar] [CrossRef]
  32. Sun, Y.; Yu, R.; Cheng, T.C.E. Incentives for Promoting Climate Change Adaptation Technologies in Agriculture: An Evolutionary Game Approach. Environ. Sci. Pollut. Res. 2023, 30, 97025–97039. [Google Scholar] [CrossRef]
  33. He, N.; Jiang, Z.; Huang, S.; Li, K. Evolutionary game analysis for government regulations in a straw-based bioenergy supply chain. Int. J. Prod. Res. 2023, 61, 6093–6114. [Google Scholar] [CrossRef]
  34. Abd-Elgawad, M.M.M.; Askary, T.H. Factors Affecting Success of Biological Agents Used in Controlling the Plant-Parasitic Nematodes. Egypt. J. Biol. Pest Control 2020, 30, 17. [Google Scholar] [CrossRef]
  35. Bayat, P.; Monfared, N.; Alipour, H.; Izadi, M.; Amiramini Khalaflo, M. Attitudes and Behavioral Tendency of Agricultural Experts of Boushehr Province towards Pesticide Application Technology (Spraying). J. Agric. Educ. Adm. Res. 2020, 12, 96–110. [Google Scholar]
  36. Ngo, C.T. Factors Affecting the Management of Pesticide Business: The Case Vietnam. Asian J. Agric. Rural Dev. 2020, 10, 214. [Google Scholar]
  37. Mehmood, Y.; Arshad, M.; Mahmood, N.; Kaechele, H.; Kong, R. Occupational Hazards, Health Costs, and Pesticide Handling Practices among Vegetable Growers in Pakistan. Environ. Res. 2021, 200, 111340. [Google Scholar] [CrossRef] [PubMed]
  38. Li, Z.; Fantke, P. Framework for Defining Pesticide Maximum Residue Levels in Feed: Applications to Cattle and Sheep. Pest Manag. Sci. 2023, 79, 748–759. [Google Scholar] [CrossRef] [PubMed]
  39. Dhuldhaj, U.P.; Singh, R.; Singh, V.K. Pesticide Contamination in Agro-Ecosystems: Toxicity, Impacts, and Bio-Based Management Strategies. Environ. Sci. Pollut. Res. 2023, 30, 9243–9270. [Google Scholar] [CrossRef]
  40. Singh, R.P.; Mahajan, M.; Gandhi, K.; Gupta, P.K.; Singh, A.; Singh, P.; Singh, R.K.; Kidwai, M.K. A Holistic Review on Trend, Occurrence, Factors Affecting Pesticide Concentration, and Ecological Risk Assessment. Environ. Monit. Assess. 2023, 195, 451. [Google Scholar] [CrossRef]
  41. Song, B.; Zhou, C.; Qin, M.; Zhao, B.; Sang, F. When Biochar Is Involved in Rhizosphere Dissipation and Plant Absorption of Pesticides: A Meta-Analysis. J. Environ. Manag. 2023, 345, 118518. [Google Scholar] [CrossRef]
  42. Vryzas, Z.; Ramwell, C.; Sans, C. Pesticide Prioritization Approaches and Limitations in Environmental Monitoring Studies: From Europe to Latin America and the Caribbean. Environ. Int. 2020, 143, 105917. [Google Scholar] [CrossRef]
  43. Wang, R.; Yuan, Y.; Yen, H.; Grieneisen, M.; Arnold, J.; Wang, D.; Wang, C.; Zhang, M. A Review of Pesticide Fate and Transport Simulation at Watershed Level Using SWAT: Current Status and Research Concerns. Sci. Total Environ. 2019, 669, 512–526. [Google Scholar] [CrossRef]
  44. He, Q.; Sun, Y.; Yi, M.; Huang, H. How to Promote Agricultural Enterprises to Reduce the Use of Pesticides and Fertilizers? An Evolutionary Game Approach. Front. Sustain. Food Syst. 2023, 7, 1238683. [Google Scholar] [CrossRef]
  45. Flor, R.J.; Maat, H.; Hadi, B.A.R.; Then, R.; Kraus, E.; Chhay, K. How Do Stakeholder Interactions in Cambodian Rice Farming Villages Contribute to a Pesticide Lock-In? Crop Prot. 2020, 135, 104799. [Google Scholar] [CrossRef]
  46. Rosanti, E.; Rahma, R.A.A.; Hamawi, M.; Arifah, D.A. Farmers Knowledge on Pesticide Safety Management in Ponorogo. In Proceedings of the 4th International Conference on Sustainable Innovation 2020—Health Science and Nursing (ICoSIHSN 2020), Yogyakarta, Indonesia, 13–14 October 2020; Atlantis Press: Amsterdam, The Netherlands, 2021; pp. 17–20. [Google Scholar]
  47. Shaw, D.R.; Asmus, A.B.; Schroeder, J.; Ervin, D.E. Changing the Paradigm for Pesticide Resistance Management. Pest Manag. Sci. 2023, 79, 4726–4730. [Google Scholar] [CrossRef] [PubMed]
  48. Zhou, Y.; Zhang, Z.; Jing, J.; Bao, F.; Wu, L.; Du, Y.; Zhang, H. Integrating Environmental Carry Capacity Based on Pesticide Risk Assessment in Soil Management: A Case Study for China. J. Hazard. Mater. 2023, 460, 132341. [Google Scholar] [CrossRef] [PubMed]
  49. Zhang, L.; Li, X.; Yu, J.; Yao, X. Toward Cleaner Production: What Drives Farmers to Adopt Eco-Friendly Agricultural Production? J. Clean. Prod. 2018, 184, 550–558. [Google Scholar] [CrossRef]
  50. Sun, Y.; Liu, B.; Fan, J.; Qiao, Q. The Multi-Player Evolutionary Game Analysis for the Protective Development of Ecotourism. Environ. Sci. Policy 2021, 126, 111–121. [Google Scholar] [CrossRef]
  51. Wu, D.D.; Xie, K.; Hua, L.; Shi, Z.; Olson, D.L. Modeling Technological Innovation Risks of an Entrepreneurial Team Using System Dynamics: An Agent-Based Perspective. Technol. Forecast. Soc. Change 2010, 77, 857–869. [Google Scholar] [CrossRef]
  52. Sun, Y.; Wang, Y.; Liu, B.; Sun, Z. Evolutionary Game of Destination Brand Co-Construction with Government Involvement. Manag. Decis. Econ. 2023, 44, 2125–2136. [Google Scholar] [CrossRef]
  53. Liu, Y.; Cui, M.; Gao, X. Building up Scrap Steel Bases for Perfecting Scrap Steel Industry Chain in China: An Evolutionary Game Perspective. Energy 2023, 278, 127742. [Google Scholar] [CrossRef]
Figure 1. Evolutionary gaming system for operational regulation of pesticides.
Figure 1. Evolutionary gaming system for operational regulation of pesticides.
Agriculture 13 02288 g001
Figure 2. Impact of initial behavioral strategies on the evolutionary game. Note: (a) impact of x variation on the evolutionary game; (b) impact of y variation on the evolutionary game; (c) impact of z variation on the evolutionary game; and (d) combined impact of simultaneous variations in x, y, and z on the evolutionary game.
Figure 2. Impact of initial behavioral strategies on the evolutionary game. Note: (a) impact of x variation on the evolutionary game; (b) impact of y variation on the evolutionary game; (c) impact of z variation on the evolutionary game; and (d) combined impact of simultaneous variations in x, y, and z on the evolutionary game.
Agriculture 13 02288 g002
Figure 3. Impact of behavioral parameters of governments on the evolutionary game. Note: (a) impact of Ug variation on the evolutionary game; (b) impact of Cg variation on the evolutionary game; (c) impact of F variation on the evolutionary game; (d) impact of s variation on the evolutionary game; and (e) impact of A variation on the evolutionary game.
Figure 3. Impact of behavioral parameters of governments on the evolutionary game. Note: (a) impact of Ug variation on the evolutionary game; (b) impact of Cg variation on the evolutionary game; (c) impact of F variation on the evolutionary game; (d) impact of s variation on the evolutionary game; and (e) impact of A variation on the evolutionary game.
Agriculture 13 02288 g003
Figure 4. Impact of behavioral parameters of pesticide operators on the evolutionary game. Note: (a) impact of Cc variation on the evolutionary game; (b) impact of Cn variation on the evolutionary game; (c) impact of P variation on the evolutionary game; (d) impact of d variation on the evolutionary game; (e) impact of Le variation on the evolutionary game; and (f) impact of Pe variation on the evolutionary game.
Figure 4. Impact of behavioral parameters of pesticide operators on the evolutionary game. Note: (a) impact of Cc variation on the evolutionary game; (b) impact of Cn variation on the evolutionary game; (c) impact of P variation on the evolutionary game; (d) impact of d variation on the evolutionary game; (e) impact of Le variation on the evolutionary game; and (f) impact of Pe variation on the evolutionary game.
Agriculture 13 02288 g004
Figure 5. Impact of behavioral parameters of farmers on the evolutionary game. Note: (a) impact of U variation on the evolutionary game; (b) impact of Cm variation on the evolutionary game; (c) impact of M variation on the evolutionary game; and (d) impact of Pf variation on the evolutionary game.
Figure 5. Impact of behavioral parameters of farmers on the evolutionary game. Note: (a) impact of U variation on the evolutionary game; (b) impact of Cm variation on the evolutionary game; (c) impact of M variation on the evolutionary game; and (d) impact of Pf variation on the evolutionary game.
Agriculture 13 02288 g005
Figure 6. Institutional framework for pesticide management.
Figure 6. Institutional framework for pesticide management.
Agriculture 13 02288 g006
Table 1. Challenges in the regulation of pesticide operations.
Table 1. Challenges in the regulation of pesticide operations.
ChallengeReason
Inadequate system designPesticide operation regulation laws and regulations are imperfect, and there are still some ambiguities and loopholes in pesticide classification, registration, approval, standards, testing, and supervision.
Pesticide operator speculationPesticide operators have resorted to low-price competition, false advertising, and illegal additives, which have undermined the order and credibility of the pesticide market.
Overuse by farmersFarmers blindly increase the amount and frequency of pesticides, leading to serious consequences such as crop damage, residues in agricultural products, and contamination of soil and water sources
Table 2. Policy analysis of pesticide operation regulation in China.
Table 2. Policy analysis of pesticide operation regulation in China.
DimensionDescription
Policy targetTo ensure the quality and safety of pesticides, to promote the green development of the pesticide industry and agriculture, to meet market demand, to improve agricultural efficiency and effectiveness, and to protect the environment and health.
Policy bodySubjects of policy formulation and implementation: national and local legislative, administrative, supervisory, and judicial authorities. Targets of regulation: agriculture, industry and commerce, quality supervision, environmental protection, and other relevant departments. Mobilization of participating social actors: farmers, consumers, and the public.
Policy toolsLaws and regulations, administrative regulations, normative documents, industrial planning, standard setting, licensing system, registration system, testing and monitoring system, law enforcement and inspection system, traceability management system, information disclosure system, rewards, and punishments.
Table 3. Parameters.
Table 3. Parameters.
ParametersDescription
xProbability that a government regulator chooses to strictly regulate
yProbability that a pesticide operator chooses to operate in compliance
zProbability that a farmer chooses to monitor
UgPolitical performance of strict regulation by government regulators
CgCosts of strict regulation by government regulators
FPenalties per unit of pesticide imposed on pesticide operators by government regulators
sProbability of detecting non-compliance of pesticide operators by strict government regulation
AIncentives per unit of pesticide to farmers from government regulators
MCompensation per unit of pesticide to farmers from pesticide operators
CcCosts per unit of pesticide of non-compliant operations for pesticide operators
CnCosts per unit of pesticide of compliance for pesticide operators
PPrice of pesticides
QThe sales volume of pesticides
dProportion of discounts on firm returns due to farmers’ monitoring when firms operate in non-compliance
UUtility per unit of pesticide gained by farmers from purchasing pesticide products
CmMonitoring costs per unit of pesticide of farmers
LeLosses per unit of pesticide-to-pesticide operating companies from farmer monitoring
PeSocial responsibility preferences per unit of pesticide of pesticide companies
PfSocial responsibility preferences per unit of pesticide of farmers
Table 4. Payment matrix.
Table 4. Payment matrix.
Strict Regulation of GovernmentNon-Strict Regulation of Government
Compliant Operations of EnterprisesNon-Compliant Operation of EnterprisesCompliant Operation of EnterprisesNon-Compliant Operation of Enterprises
Monitoring of farmersUgCgA QF QA QCg00
(PCn + Pe) Q(d PCcFMLe) Q(PCn + Pe) Q(d PCcMLe) Q
(A + UCm + Pf − P) Q(A + M + d UCm + Pf − d P) Q(UCm + PfP) Q(d UCm + M + Pfd P) Q
No monitoring of farmersUgCgF s QCg00
(PCn + Pe) Q(PCcF s) Q(PCn + Pe) Q(PCc) Q
(U − P) Q(U − P) Q(U − P) Q(U − P) Q
Table 5. Eigenvalues of game equilibrium solutions.
Table 5. Eigenvalues of game equilibrium solutions.
EquilibriumEigenvalue 1Eigenvalue 2Eigenvalue 3
(0, 0, 0)Cg + F s Q(CcCn + Pe) Q(−Cm + M + PfU + d U + P − d P) Q
(0, 0, 1)A QCg + F Q(CcCn + Le + M + Pe + P − d P) Q(CmMPf + Ud U − P + d P) Q
(0, 1, 0)Cg + Ug(−Cc + CnPe) Q(−Cm + Pf) Q
(1, 0, 0)CgF s Q(CcCn + Pe + F s) Q(ACm + M + PfU + d U + P − d P) Q
(1, 1, 0)CgUg(−Cc + CnPeF s) Q(ACm + Pf) Q
(1, 0, 1)A Q + CgF Q(CcCn + F + Le + M + Pe + P − d P) Q(−A + CmMPf + Ud U − P + d P) Q
(0, 1, 1)A QCg + Ug(−Cc + CnLeMPe − P + d P) Q(CmPf) Q
(1, 1, 1)A Q + CgUg(−Cc + CnFLeMPe − P + d P) Q(−A + CmPf) Q
Disclaimer/Publisher’s Note: The statements, opinions and data contained in all publications are solely those of the individual author(s) and contributor(s) and not of MDPI and/or the editor(s). MDPI and/or the editor(s) disclaim responsibility for any injury to people or property resulting from any ideas, methods, instructions or products referred to in the content.

Share and Cite

MDPI and ACS Style

Gong, J.; Du, H.; Sun, Y. Collaboration among Governments, Pesticide Operators, and Farmers in Regulating Pesticide Operations for Agricultural Product Safety. Agriculture 2023, 13, 2288. https://doi.org/10.3390/agriculture13122288

AMA Style

Gong J, Du H, Sun Y. Collaboration among Governments, Pesticide Operators, and Farmers in Regulating Pesticide Operations for Agricultural Product Safety. Agriculture. 2023; 13(12):2288. https://doi.org/10.3390/agriculture13122288

Chicago/Turabian Style

Gong, Jing, Hongyan Du, and Yong Sun. 2023. "Collaboration among Governments, Pesticide Operators, and Farmers in Regulating Pesticide Operations for Agricultural Product Safety" Agriculture 13, no. 12: 2288. https://doi.org/10.3390/agriculture13122288

APA Style

Gong, J., Du, H., & Sun, Y. (2023). Collaboration among Governments, Pesticide Operators, and Farmers in Regulating Pesticide Operations for Agricultural Product Safety. Agriculture, 13(12), 2288. https://doi.org/10.3390/agriculture13122288

Note that from the first issue of 2016, this journal uses article numbers instead of page numbers. See further details here.

Article Metrics

Back to TopTop