Proanthocyanidins from Chinese Bayberry (Myrica rubra Sieb. et Zucc.) Leaves Effectively Inhibit the Formation of Biogenic Amines in the Brewing Soy Sauce
Abstract
:1. Introduction
2. Materials and Methods
2.1. Materials
2.2. The Preparation of the BPLs
2.3. Soy Sauce Brewing
2.4. Sampling and Pretreatment
2.5. Determination of Biogenic Amines (BAs)
2.5.1. Standard Curve Drawing
2.5.2. Sample Pre-Treatment
2.5.3. HPLC Detection
2.6. Determination of Total Nitrogen (TN) and Amino Acid Nitrogen (AAN)
2.7. Determination of Soluble Saltless Solids (SSS)
2.8. Determination of Ammonium Salt (AS)
2.9. Statistical Analysis
3. Result and Discussion
3.1. Effect of Different Additives on Biogenic Amines
3.2. Effect of Different Additives on the Saltless Soluble Solid (SSS)
3.3. Effect of Different Additives on Total Nitrogen (TN)
3.4. Effect of Different Additives on the Amino Acid Nitrogen (AAN)
3.5. Effect of Different Additives on the Ammonium Salt (AS)
4. Conclusions
Author Contributions
Funding
Institutional Review Board Statement
Data Availability Statement
Acknowledgments
Conflicts of Interest
Abbreviations
| BAs | biogenic amines |
| AAN | amino acid nitrogen |
| Agm | agmatine |
| AS | ammonium salt |
| BPLs | proanthocyanidins extracted from Chinese bayberry leaves |
| Cad | cadaverine |
| His | histamine |
| PAs | polyamines |
| Phe | phenylethylamine |
| PS | potassium sorbate |
| Put | putrescine |
| Put | putrescine |
| SB | sodium benzoate |
| SD | standard deviation |
| Ser | serotonin |
| Spd | spermidine |
| Spm | spermine |
| SSS | soluble saltless solids |
| TN | total nitrogen |
| Try | tryptamine |
| Tyr | tyramine |
References
- Guo, T.; Zhou, X.; Hadiatullah, H.; Li, P.; Ding, K.; Lu, Y.; Zhao, G. Effects of amino acid composition of yeast extract on the microbiota and aroma quality of fermented soy sauce. Food Chem. 2022, 393, 133289. [Google Scholar] [CrossRef]
- Liu, X.; Qian, M.; Shen, Y.; Qin, X.; Huang, H.; Yang, H.; He, Y.; Bai, W. An high-throughput sequencing approach to the preliminary analysis of bacterial communities associated with changes in amino acid nitrogen, organic acid and reducing sugar contents during soy sauce fermentation. Food Chem. 2021, 349, 129131. [Google Scholar] [CrossRef] [PubMed]
- Devanthi, P.V.P.; Gkatzionis, K. Soy sauce fermentation: Microorganisms, aroma formation, and process modification. Food Res. Int. 2019, 120, 364–374. [Google Scholar] [CrossRef]
- Shukla, S.; Kim, M. Determination of biogenic amines and total aflatoxins: Quality index of starter culture soy sauce samples. Food Sci. Biotechnol. 2016, 25, 1221–1224. [Google Scholar] [CrossRef]
- Ahmad, W.; Mohammed, G.I.; Al-Eryani, D.A.; Saigl, Z.M.; Alyoubi, A.O.; Alwael, H.; Bashammakh, A.S.; O’Sullivan, C.K.; El-Shahawi, M.S. Biogenic Amines Formation Mechanism and Determination Strategies: Future Challenges and Limitations. Crit. Rev. Anal. Chem. 2020, 50, 485–500. [Google Scholar] [CrossRef]
- Peña-Gallego, A.; Hernández-Orte, P.; Cacho, J.; Ferreira, V. High-Performance Liquid Chromatography Analysis of Amines in Must and Wine: A Review. Food Rev. Int. 2012, 28, 71–96. [Google Scholar] [CrossRef]
- Linares, D.M.; Martín, M.; Ladero, V.; Alvarez, M.A.; Fernández, M. Biogenic Amines in Dairy Products. Crit. Rev. Food Sci. Nutr. 2011, 51, 691–703. [Google Scholar] [CrossRef] [PubMed]
- Biji, K.B.; Ravishankar, C.N.; Venkateswarlu, R.; Mohan, C.O.; Gopal, T.K. Biogenic amines in seafood: A review. J. Food Sci. Technol. 2016, 53, 2210–2218. [Google Scholar] [CrossRef] [PubMed]
- Gomes Müller, D.; Quadro Oreste, E.; Grazielle Heinemann, M.; Dias, D.; Kessler, F. Biogenic amine sensors and its building materials: A review. Eur. Polym. J. 2022, 175, 111221. [Google Scholar] [CrossRef]
- Hungerford, J.M. Histamine and Scombrotoxins. Toxicon 2021, 201, 115–126. [Google Scholar] [CrossRef]
- Ruiz-Capillas, C.; Herrero, A. Impact of Biogenic Amines on Food Quality and Safety. Foods 2019, 8, 62. [Google Scholar] [CrossRef] [PubMed]
- Visciano, P.; Schirone, M.; Tofalo, R.; Suzzi, G. Histamine poisoning and control measures in fish and fishery products. Front. Microbiol. 2014, 5, 500. [Google Scholar] [CrossRef] [PubMed]
- Ruiz-Capillas, C.; Jimenez-Colmenero, F. Biogenic amines in meat and meat products. Crit. Rev. Food Sci. Nutr. 2004, 44, 489–499. [Google Scholar] [CrossRef] [PubMed]
- Li, J.; Jiang, K.; Huang, H.; Cheng, H.; Ye, X.; Zhi, Z. Process improvement to prevent the formation of biogenic amines during soy sauce brewing. Food Chem. 2020, 331, 127347. [Google Scholar] [CrossRef]
- Kurt, A.; Gençcelep, H. Enrichment of meat emulsion with mushroom (Agaricus bisporus) powder: Impact on rheological and structural characteristics. J. Food Eng. 2018, 237, 128–136. [Google Scholar] [CrossRef]
- Zhang, C.; Zhang, Y.; Luan, D.; Qu, Y.; Fan, Y.; Lai, K. Changes in biogenic amines and total volatile base nitrogen in Gonatopsis borealis muscle during storage. J. Food Meas. Charact. 2019, 14, 106–113. [Google Scholar] [CrossRef]
- Mah, J.; Hwang, H. Effects of food additives on biogenic amine formation in Myeolchi-jeot, a salted and fermented anchovy (Engraulis japonicus). Food Chem. 2009, 114, 168–173. [Google Scholar] [CrossRef]
- Jastrzebska, A.; Kowalska, S.; Szlyk, E. Studies of levels of biogenic amines in meat samples in relation to the content of additives. Food Addit. Contam. Part A 2016, 33, 27–40. [Google Scholar] [CrossRef]
- Lee, J.-Y.; Kim, Y.-G.; Her, J.-Y.; Kim, M.K.; Lee, K.-G. Reduction of biogenic amine contents in fermented soybean paste using food additives. LWT 2018, 98, 470–476. [Google Scholar] [CrossRef]
- Zheng, H.; Jiang, L.; Lou, H.; Hu, Y.; Kong, X.; Lu, H. Application of artificial neural network (ANN) and partial least-squares regression (PLSR) to predict the changes of anthocyanins, ascorbic acid, Total phenols, flavonoids, and antioxidant activity during storage of red bayberry juice based on fractal analysis and red, green, and blue (RGB) intensity values. J. Agric. Food Chem. 2011, 59, 592–600. [Google Scholar] [CrossRef]
- Sarkar, T.; Salauddin, M.; Roy, A.; Sharma, N.; Sharma, A.; Yadav, S.; Jha, V.; Rebezov, M.; Khayrullin, M.; Thiruvengadam, M.; et al. Minor tropical fruits as a potential source of bioactive and functional foods. Crit. Rev. Food Sci. Nutr. 2023, 63, 6491–6535. [Google Scholar] [CrossRef] [PubMed]
- Zhang, Y.; Ye, X.; Xu, Z.; Duan, J.; Wei, C.; Xu, G.; Chen, S. Inhibitory effect of proanthocyanidins from Chinese bayberry (Myrica rubra Sieb. et Zucc.) leaves on the lipid oxidation in an emulsion system. LWT 2017, 80, 517–522. [Google Scholar] [CrossRef]
- Li, J.; Huang, H.; Feng, W.; Guan, R.; Zhou, L.; Cheng, H.; Ye, X. Dynamic Changes in Biogenic Amine Content in the Traditional Brewing Process of Soy Sauce. J. Food Prot. 2019, 82, 1539–1545. [Google Scholar] [CrossRef] [PubMed]
- Li, J.; Zhou, L.; Feng, W.; Cheng, H.; Muhammad, A.I.; Ye, X.; Zhi, Z. Comparison of Biogenic Amines in Chinese Commercial Soy Sauces. Molecules 2019, 24, 1522. [Google Scholar] [CrossRef] [PubMed]
- Li, J.; Guan, R.; Wei, X.; Chen, J.; Hu, Y.; Liu, D.; Ye, X. Detection of ten biogenic amines in Chinese commercial soybean paste by HPLC. Int. J. Food Prop. 2018, 21, 1344–1350. [Google Scholar] [CrossRef]
- Jastrzȩbska, A.; Piasta, A.; Szłyk, E. Application of ion chromatography for the determination of biogenic amines in food samples. J. Anal. Chem. 2015, 70, 1131–1138. [Google Scholar] [CrossRef]
- Jia, T.; Yun, Y.; Yu, Z. Propionic Acid and Sodium Benzoate Affected Biogenic Amine Formation, Microbial Community, and Quality of Oat Silage. Front. Microbiol. 2021, 12, 750920. [Google Scholar] [CrossRef]
- Qian, Q. The Analysis of Microbial Community Diversity in Dried-Salted Fish during Process and the Control Technology of Biogenic Amine-Forming Bacteria; Shanghai Ocean University: Shanghai, China, 2016. [Google Scholar]
- Cao, Y.; Li, Z.; Liang, X.; Chen, J.; Xiong, X.; Jiao, Y.; Gu, Z.; Du, X. Antioxidant and immunomodulatory effects of spermidine and spermine in pearl oysters Pinctada fucata martensii. Aquaculture 2022, 550, 737876. [Google Scholar] [CrossRef]
- Costantini, A.; Vaudano, E.; Pulcini, L.; Carafa, T.; Garcia-Moruno, E. An Overview on Biogenic Amines in Wine. Beverages 2019, 5, 19. [Google Scholar] [CrossRef]
- Liu, B.; Cao, Z.; Qin, L.; Li, J.; Lian, R.; Wang, C. Investigation of the synthesis of biogenic amines and quality during high-salt liquid-state soy sauce fermentation. LWT 2020, 133, 109835. [Google Scholar] [CrossRef]
- Hoang, N.X.; Ferng, S.; Ting, C.-H.; Huang, W.-H.; Chiou, R.Y.-Y.; Hsu, C.-K. Optimizing the initial moromi fermentation conditions to improve the quality of soy sauce. LWT 2016, 74, 242–250. [Google Scholar] [CrossRef]
- Cui, R.-Y.; Zheng, J.; Wu, C.-D.; Zhou, R.-Q. Effect of different halophilic microbial fermentation patterns on the volatile compound profiles and sensory properties of soy sauce moromi. Eur. Food Res. Technol. 2014, 239, 321–331. [Google Scholar] [CrossRef]
- Jiang, X.; Peng, D.; Zhang, W.; Duan, M.; Ruan, Z.; Huang, S.; Zhou, S.; Fang, Q. Effect of aroma-producing yeasts in high-salt liquid-state fermentation soy sauce and the biosynthesis pathways of the dominant esters. Food Chem. 2021, 344, 128681. [Google Scholar] [CrossRef] [PubMed]
- Do Carmo Brito, B.; Campos Chisté, R.; Da Silva Pena, R.; Abreu Gloria, M.; Santos Lopes, A. Bioactive amines and phenolic compounds in cocoa beans are affected by fermentation. Food Chem. 2017, 228, 484–490. [Google Scholar] [CrossRef]

, 1‰ SB,
, 1‰ PS,
, 1‰ BPLs,
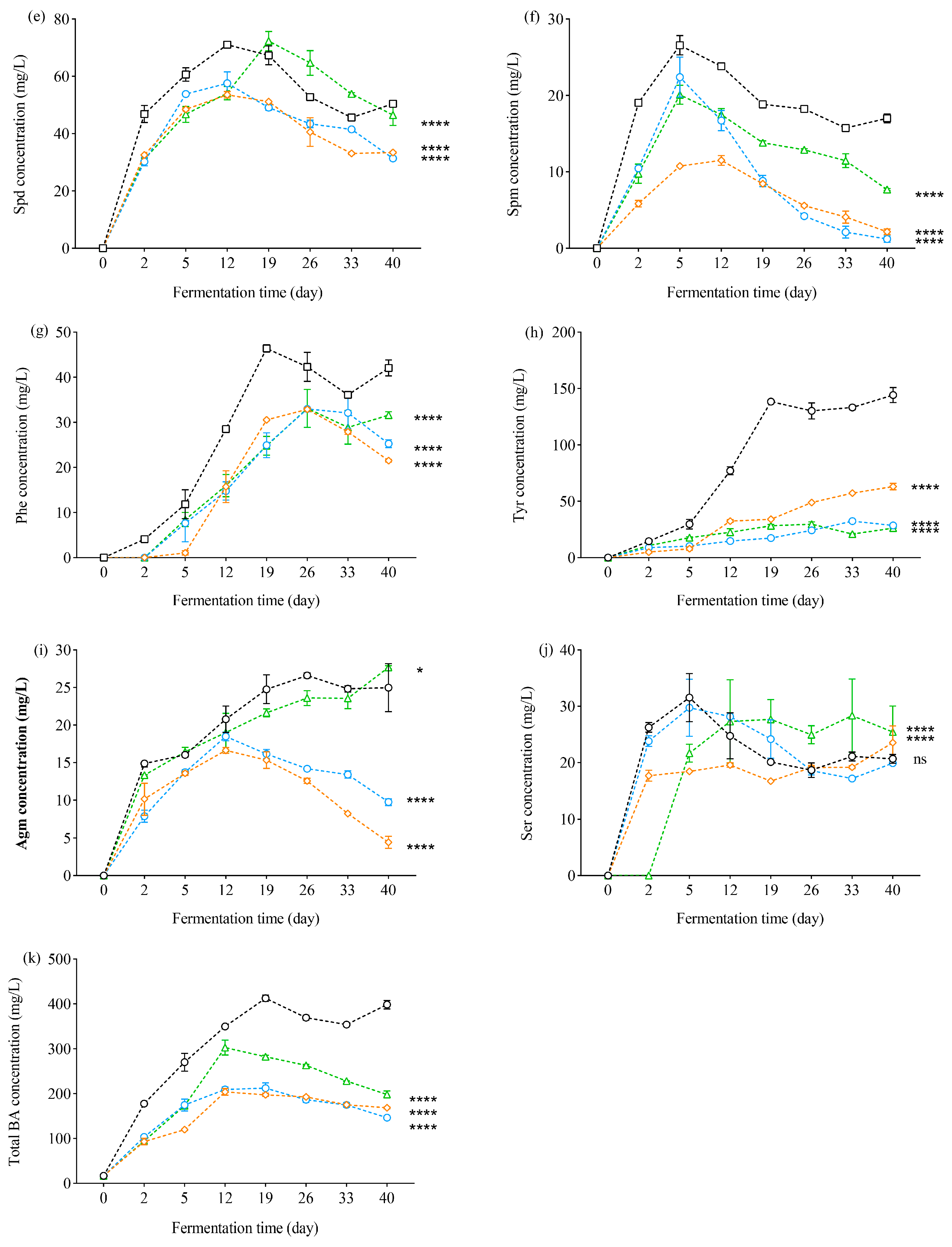
) during the fermentation period. (a) putrescine (Put), (b) cadaverine (Cad), (c) histamine (His), (d) tyramine (Tyr), (e) spermidine (Spd), (f) spermine (Spm), (g) phenylethylamine (Phe), (h) tryptamine (Try), (i) agmatine (Agm), (j) serotonin (Ser), and (k) total BAs. * indicates a significant difference (p < 0.05), and **** (p < 0.0001) indicates an extremely significant difference. ns indicates no significant difference.
, 1‰ SB,
, 1‰ PS,
, 1‰ BPLs,
) during the fermentation period. (a) putrescine (Put), (b) cadaverine (Cad), (c) histamine (His), (d) tyramine (Tyr), (e) spermidine (Spd), (f) spermine (Spm), (g) phenylethylamine (Phe), (h) tryptamine (Try), (i) agmatine (Agm), (j) serotonin (Ser), and (k) total BAs. * indicates a significant difference (p < 0.05), and **** (p < 0.0001) indicates an extremely significant difference. ns indicates no significant difference.





Disclaimer/Publisher’s Note: The statements, opinions and data contained in all publications are solely those of the individual author(s) and contributor(s) and not of MDPI and/or the editor(s). MDPI and/or the editor(s) disclaim responsibility for any injury to people or property resulting from any ideas, methods, instructions or products referred to in the content. |
© 2023 by the authors. Licensee MDPI, Basel, Switzerland. This article is an open access article distributed under the terms and conditions of the Creative Commons Attribution (CC BY) license (https://creativecommons.org/licenses/by/4.0/).
Share and Cite
Li, J.; Jiang, K.; Yang, H.; Zhang, X.; Huang, H.; Ye, X.; Zhi, Z. Proanthocyanidins from Chinese Bayberry (Myrica rubra Sieb. et Zucc.) Leaves Effectively Inhibit the Formation of Biogenic Amines in the Brewing Soy Sauce. Agriculture 2023, 13, 2100. https://doi.org/10.3390/agriculture13112100
Li J, Jiang K, Yang H, Zhang X, Huang H, Ye X, Zhi Z. Proanthocyanidins from Chinese Bayberry (Myrica rubra Sieb. et Zucc.) Leaves Effectively Inhibit the Formation of Biogenic Amines in the Brewing Soy Sauce. Agriculture. 2023; 13(11):2100. https://doi.org/10.3390/agriculture13112100
Chicago/Turabian StyleLi, Jia, Kan Jiang, Huaxia Yang, Xiong Zhang, Haizhi Huang, Xingqian Ye, and Zijian Zhi. 2023. "Proanthocyanidins from Chinese Bayberry (Myrica rubra Sieb. et Zucc.) Leaves Effectively Inhibit the Formation of Biogenic Amines in the Brewing Soy Sauce" Agriculture 13, no. 11: 2100. https://doi.org/10.3390/agriculture13112100
APA StyleLi, J., Jiang, K., Yang, H., Zhang, X., Huang, H., Ye, X., & Zhi, Z. (2023). Proanthocyanidins from Chinese Bayberry (Myrica rubra Sieb. et Zucc.) Leaves Effectively Inhibit the Formation of Biogenic Amines in the Brewing Soy Sauce. Agriculture, 13(11), 2100. https://doi.org/10.3390/agriculture13112100

