Development, Validation, and Evaluation of Partial PST Tractor Simulation Model for Different Engine Modes during Field Operations
Abstract
1. Introduction
2. Materials and Methods
2.1. Partial PST Tractor Specifications
2.2. Partial PST Tractor Simulation Model
2.3. Simulation Conditions
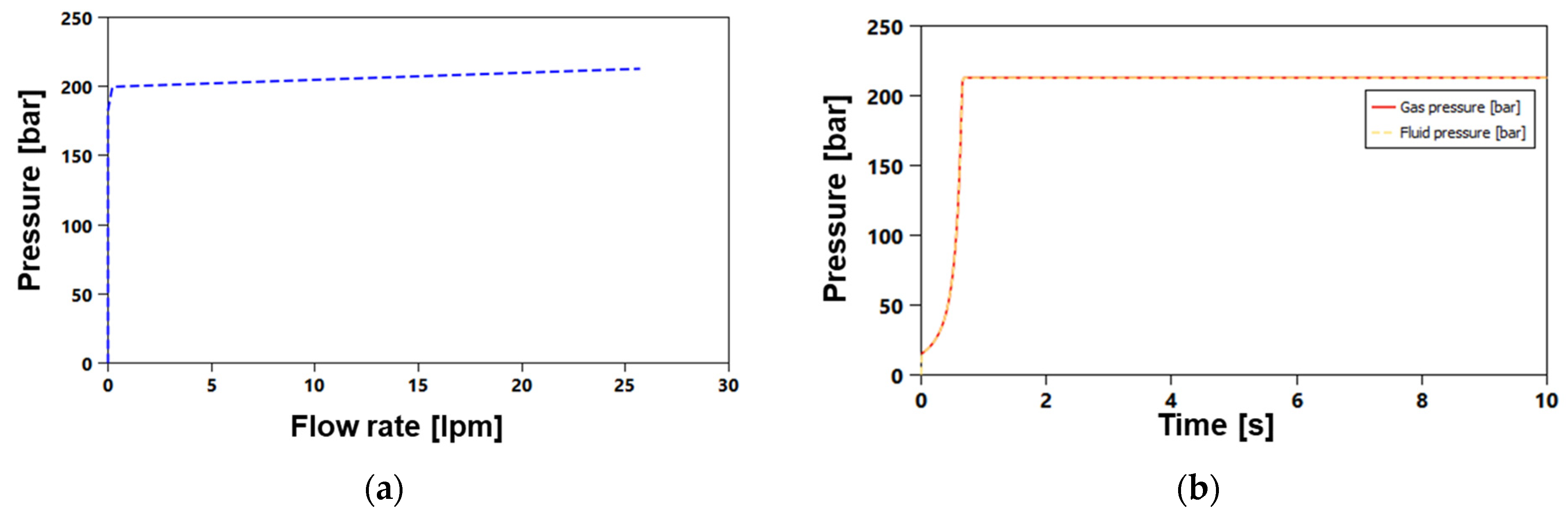
2.3.1. Component Design of the Model
2.3.2. Engine Characteristic Map
2.3.3. Command Current of Proportional Valve
2.3.4. Axle Load Condition
2.4. Experimental Conditions
2.4.1. Operational Condition
2.4.2. Experimental Site Condition
2.5. Statistical Analysis
3. Results
3.1. Fuel Consumption Analysis
3.1.1. Asphalt Driving Operations
3.1.2. Plow Tillage
3.1.3. Rotary Tillage
3.2. Performance Evaluation
4. Conclusions
- Fuel consumption in the APS ECO engine mode for both measured and simulation were highly economic in comparison with the traditional engine mode, which were accounting for approximately 44.73 and 40.05%, respectively. Between the APS ECO and APS power modes, APS ECO was also more economic compared to APS power, accounting for around 21.42 and 13.35% for measured and simulation, respectively. The statistical analysis showed that both experimental and simulation results were linearly corelated, with an R2 of 0.9845.
- In the plow tillage case, it was found that fuel consumption for the APS ECO engine mode was the most economic compared to traditional and APS power engine modes. The fuel consumption in the APS ECO mode for measured and simulation were around 25.89 and 25.17%, respectively compared to the traditional mode; in APS power mode, measured and simulation were almost 19.64 and 13.25%, respectively compared to the traditional mode. The statistical analysis shows that the simulation and measured fuel consumptions were in linear relation, with an R2 of 0.992.
- In the comparison among engine modes during rotary tillage, it was observed that the fuel consumption in the APS ECO mode for both measured and simulation were the most economic compared to the traditional mode, accounting for around 42.35 and 42.06%, respectively. It was also observed that fuel consumption in the APS power mode for measured and simulation were almost 28.41 and 27.04%, respectively, which was also economic than the traditional mode. The statistical analysis shows that the simulation and measured fuel consumptions were in linear relation, with an R2 of 0.9955.
- It is clearly observed that the engine loads remain in the ungoverned zone for the APS ECO and APS power modes at all gear stages for asphalt driving, plow, and rotary tillage. However, the APS power mode consumes more fuel compared to APS ECO. Therefore, it is suggested to users to operate the tractor in APS ECO mode for high fuel economy and reasonable working loads.
Author Contributions
Funding
Institutional Review Board Statement
Informed Consent Statement
Data Availability Statement
Conflicts of Interest
References
- Tanelli, M.; Panzani, G.; Savaresi, S.M.; Pirola, C. Transmission Control for Power-Shift Agricultural Tractors: Design and End-of-Line Automatic Tuning. Mechatronics 2011, 21, 285–297. [Google Scholar] [CrossRef]
- Baek, S.M.; Kim, W.S.; Kim, Y.S.; Baek, S.Y.; Kim, Y.J. Development of a Simulation Model for HMT of a 50 kW Class Agricultural Tractor. Appl. Sci. 2020, 10, 4064. [Google Scholar] [CrossRef]
- Kim, W.S.; Kim, Y.J.; Kim, Y.S.; Baek, S.Y.; Baek, S.M.; Lee, D.H.; Nam, K.C.; Kim, T.B.; Lee, H.J. Development of Control System for Automated Manual Transmission of 45-kW Agricultural Tractor. Appl. Sci. 2020, 10, 2930. [Google Scholar] [CrossRef]
- Liyou, X.; Yihao, Z.; Jinzhong, S.; Xianghai, Y. Optimization of Power Shift Tractor Clutch Based on Ahp and Improved Genetic Algorithm. Acta Tech. 2017, 62, 373–384. [Google Scholar]
- Liang, J.; Yang, H.; Wu, J.; Zhang, N.; Walker, P.D. Power-on Shifting in Dual Input Clutchless Power-Shifting Transmission for Electric Vehicles. Mech. Mach. Theory 2018, 121, 487–501. [Google Scholar] [CrossRef]
- Siddique, M.A.A.; Kim, T.J.; Kim, Y.J. Technical Trend of the Power Shift Transmission (PST) of Agricultural Tractor. J. Drive Control 2020, 17, 68–75. [Google Scholar]
- Neto, L.S.; Zimmermann, G.G.; Jasper, S.P.; Savi, D.; Sobenko, L.R. Energy Efficiency of Agricultural Tractors Equipped with Continuously Variable and Full Powershift Transmission Systems. Eng. Agric. 2022, 42, e20210052. [Google Scholar] [CrossRef]
- Li, C.; Ke, M.; Wu, Y. Research and Implementation of Tractor Power Shift Clutch Control System. MATEC Web Conf. 2018, 153, 04003. [Google Scholar] [CrossRef]
- Ngo, D.V.; Hofman, T.; Steinbuch, M.; Serrarens, A.; Merkx, L. Improvement of Fuel Economy in Power-Shift Automated Manual Transmission through Shift Strategy Optimization-An Experimental Study. In Proceedings of the 2010 IEEE Vehicle Power and Propulsion Conference, Lille, France, 1–3 September 2010; IEEE: Piscataway, NJ, USA, 2010; pp. 1–5. [Google Scholar] [CrossRef]
- Molari, G.; Sedoni, E. Experimental Evaluation of Power Losses in a Power-Shift Agricultural Tractor Transmission. Biosyst. Eng. 2008, 100, 177–183. [Google Scholar] [CrossRef]
- Li, B.; Sun, D.; Hu, M.; Liu, J. Research on Economic Comprehensive Control Strategies of Tractor-Planter Combinations in Planting, Including Gear-Shift and Cruise Control. Energies 2018, 11, 686. [Google Scholar] [CrossRef]
- Li, B.; Sun, D.; Hu, M.; Liu, J. Automatic Starting Control of Tractor with a Novel Power-Shift Transmission. Mech. Mach. Theory 2019, 131, 75–91. [Google Scholar] [CrossRef]
- Holgerson, M. Influence of Operating Conditions on Friction and Temperature Characteristics of a Wet Clutch Engagement. Tribo Test 2000, 7, 99–114. [Google Scholar] [CrossRef]
- Siddique, M.A.A.; Kim, W.S.; Kim, Y.S.; Kim, T.J.; Choi, C.H.; Lee, H.J.; Chung, S.O.; Kim, Y.J. Effects of Temperatures and Viscosity of the Hydraulic Oils on the Proportional Valve for a Rice Transplanter Based on PID Control Algorithm. Agriculture 2020, 10, 73. [Google Scholar] [CrossRef]
- Siddique, M.A.A.; Kim, W.S.; Baek, S.Y.; Kim, Y.J.; Park, S.U.; Choi, C.H.; Choi, Y.S. Analysis of the Axle Load of a Rice Transplanter According to Gear Selection. J. Drive Control 2020, 17, 125–132. [Google Scholar] [CrossRef]
- Raikwar, S.; Tewari, V.K.; Mukhopadhyay, S.; Verma, C.R.B.; Sreenivasulu Rao, M. Simulation of Components of a Power Shuttle Transmission System for an Agricultural Tractor. Comput. Electron. Agric. 2015, 114, 114–124. [Google Scholar] [CrossRef]
- Li, B.; Sun, D.; Hu, M.; Zhou, X.; Liu, J.; Wang, D. Coordinated Control of Gear Shifting Process with Multiple Clutches for Power-Shift Transmission. Mech. Mach. Theory 2019, 140, 274–291. [Google Scholar] [CrossRef]
- Yiwei, W.; Xianghai, Y.; Zhili, Z. Architecture Modeling and Test of Tractor Power Shift Transmission. IEEE Access 2021, 9, 3517–3525. [Google Scholar] [CrossRef]
- Yang, S.; Bao, Y.; Fan, C. Study on Characteristics of Hydro-Mechanical Transmission in Full Power Shift. Adv. Mech. Eng. 2018, 10, 1687814018790668. [Google Scholar] [CrossRef]
- Wang, F.; Wang, Y.; Han, J.H.; Yao, J. Experimental and Simulated Studies on Hydraulic Buffering Valve for ZF-4WG308 Power-Shift Transmission. J. Cent. South Univ. 2017, 24, 1801–1807. [Google Scholar] [CrossRef]
- Wu, Y.; Mao, Y.; Xu, L. FMI-Based Co-Simulation Method and Test Verification for Tractor Power-Shift Transmission. PLoS ONE 2022, 17, e0263838. [Google Scholar] [CrossRef]
- Song, L.; Xu, L.; Liu, M. Research on the Law of Dynamic Shifting and Coordinated Section Shifting of Tractor Full-Power Shift Transmission. J. Phys. Conf. Ser. 2022, 2343, 012021. [Google Scholar] [CrossRef]
- Xia, G.; Chen, J.; Tang, X.; Zhao, L.; Sun, B. Shift Quality Optimization Control of Power Shift Transmission Based on Particle Swarm Optimization–Genetic Algorithm. J. Automob. Eng. 2021, 236, 872–892. [Google Scholar] [CrossRef]
- Wang, H.; Ma, B.; Niu, L.; Zheng, C. The Wear Characteristics of Thrust Washer in Conflux Planetary Gear Train of Power Shift Transmission. Eng. Fail. Anal. 2013, 28, 318–327. [Google Scholar] [CrossRef]
- Siddique, M.A.A.; Kim, W.S.; Kim, Y.S.; Baek, S.Y.; Baek, S.M.; Kim, Y.J.; Park, S.U.; Choi, C.H. Simulation of Design Factors of a Clutch Pack for Power-Shift Transmission for an Agricultural Tractor. Sensors 2020, 20, 7293. [Google Scholar] [CrossRef]
- Yamaguchi, T.; Ando, J.; Tsuda, T.; Takahashi, N.; Tohyama, M.; Murase, A.; Ohmori, T.; Hokkirigawa, K. Sliding Velocity Dependency of the Friction Coefficient of Si-Containing Diamond-like Carbon Film under Oil Lubricated Condition. Tribol. Int. 2011, 44, 1296–1303. [Google Scholar] [CrossRef]
- Fatima, N.; Marklund, P.; Larsson, R. Influence of Clutch Output Shaft Inertia and Stiffness on the Performance of the Wet Clutch. Tribol. Trans. 2013, 56, 310–319. [Google Scholar] [CrossRef]
- Abdullah, O.I.; Schlattmann, J. The Effect of Disc Radius on Heat Flux and Temperature Distribution in Friction Clutches. Adv. Mat. Res. 2012, 505, 154–164. [Google Scholar] [CrossRef]
- Siddique, M.A.A.; Baek, S.M.; Baek, S.Y.; Kim, W.S.; Kim, Y.S.; Kim, Y.J.; Lee, D.H.; Lee, K.H.; Hwang, J.Y. Simulation of Fuel Consumption Based on Engine Load Level of a 95 kW Partial Power-Shift Transmission Tractor. Agriculture 2021, 11, 276. [Google Scholar] [CrossRef]
- Bera, P. Torque Characteristic of SI Engine in Dynamic Operating States. Combust. Engines 2017, 171, 175–180. [Google Scholar] [CrossRef]
- Shafaei, S.M.; Kamgar, S. A Comprehensive Investigation on Static and Dynamic Friction Coefficients of Wheat Grain with the Adoption of Statistical Analysis. J. Adv. Res. 2017, 8, 351–361. [Google Scholar] [CrossRef]











| Parameters | Specifications | |
|---|---|---|
| Model | T130, TYM, Korea | |
| Weight (N) | Gross weight (N) | 44,587 |
| Weight distribution (%) | 40.3 and 59.7 | |
| Engine | Type | Tier 4 |
| Rated power (kW) | 95 | |
| Rated torque (Nm) | 415 | |
| Rated speed (rpm) | 2200 | |
| Shifting method | Power-shift | |
| Transmission | Main clutch | 3 |
| Sub-shifting stages | 3 (L, M, H) | |
| Combinations (forward × reverse) | 18 × 18 | |
| Tire | Model (front and rear) | 380/85R24 and 460/85R38 |
| Diameter (front and rear) (mm) | 1256 and 1770 | |
| Parameters | Specifications | |
|---|---|---|
| Gear pump | Gear ratio | 0.83 |
| Displacement (cc/rev) | 14 | |
| Rotational speed (rpm) | 1826 | |
| Relief valve | Cracking pressure (bar) | 200 |
| Accumulator | Type | Membrane type |
| Precharge gas | Nitrogen (N2) | |
| Volume (cc) | 320 | |
| Precharge pressure (bar) | 15 | |
| Proportional valve | Max. current (mA) | 1200 |
| Current signal | User command | |
| Operations | Engine Mode | Gear Stages (Speed) |
|---|---|---|
| Asphalt | Traditional | H3 (2300) |
| APS ECO | H5 (1400) | |
| APS Power | H4 (1800) | |
| Plow tillage | Traditional | M3 (2300) |
| APS ECO | H5 (1400) | |
| APS Power | H4 (1800) | |
| Rotary tillage | Traditional | L3 (2300) |
| APS ECO | H5 (1400) | |
| APS Power | H4 (1800) |
| Parameter | Sand | Silt | Clay |
|---|---|---|---|
| Soil component (%) | 62 | 22 | 16 |
| Soil texture | Sandy loam | ||
| Electric conductivity (dS/m) | 0.46 | ||
| Cone index (kPa) | 3306.8 | ||
| Gear Stages (Mode) | Setting Speed | Replications | Fuel Consumption | |
|---|---|---|---|---|
| (rpm) | Measured (kg/h) | Simulation (kg/h) | ||
| H3 (Traditional) | 2300 | 1 | 11.03 | 11.25 |
| 2 | 10.85 | 11.17 | ||
| 3 | 10.72 | 10.93 | ||
| Average | 10.86 | 11.12 | ||
| H5 (APS ECO) | 1350 | 1 | 6.00 | 7.86 |
| 2 | 6.00 | 6.18 | ||
| 3 | 6.02 | 5.96 | ||
| Average | 6.00 | 6.67 | ||
| H4 (APS Power) | 1750 | 1 | 7.62 | 7.74 |
| 2 | 7.67 | 7.60 | ||
| 3 | 7.63 | 7.74 | ||
| Average | 7.64 | 7.69 | ||
| Traditional vs APS ECO (%) | 44.73 | 40.05 | ||
| Traditional vs APS power (%) | 21.42 | 13.35 | ||
| Gear Stage (Mode) | Setting Speed | Replications | Fuel Consumption | |
|---|---|---|---|---|
| (rpm) | Measured (kg/h) | Simulation (kg/h) | ||
| M3 (Traditional) | 2300 | 1 | 19.8 | 19.3 |
| 2 | 21.4 | 21.2 | ||
| 3 | 19.3 | 19.5 | ||
| Average | 20.2 | 20.0 | ||
| M4 (APS ECO) | 1650 | 1 | 15.4 | 15.5 |
| 2 | 15.5 | 15.8 | ||
| 3 | 13.9 | 13.7 | ||
| Average | 14.9 | 15.0 | ||
| M4 (APS Power) | 1800 | 1 | 18.0 | 18.1 |
| 2 | 17.6 | 17.4 | ||
| 3 | 17.5 | 17.6 | ||
| 4 | 16.4 | 16.3 | ||
| Average | 17.4 | 17.4 | ||
| Traditional vs APS ECO (%) | 25.89 | 25.17 | ||
| Traditional vs APS power (%) | 19.64 | 13.25 | ||
| Gear Stage (Mode) | Setting Speed | Replications | Fuel Consumption | |
|---|---|---|---|---|
| (rpm) | Measured (kg/h) | Simulation (kg/h) | ||
| L3 (Traditional) | 2300 | 1 | 22.8 | 22.2 |
| 2 | 23.9 | 23.7 | ||
| 3 | 22.5 | 22.6 | ||
| Average | 23.1 | 22.8 | ||
| L4 (APS ECO) | 1650 | 1 | 13.2 | 13.1 |
| 2 | 12.9 | 12.7 | ||
| 3 | 13.8 | 13.9 | ||
| Average | 13.3 | 13.2 | ||
| L4 (APS Power) | 1800 | 1 | 17.5 | 17.4 |
| 2 | 15.2 | 15.9 | ||
| 3 | 16.8 | 16.7 | ||
| Average | 16.5 | 16.6 | ||
| Traditional vs APS ECO (%) | 42.35 | 42.06 | ||
| Traditional vs APS power (%) | 28.41 | 27.04 | ||
Disclaimer/Publisher’s Note: The statements, opinions and data contained in all publications are solely those of the individual author(s) and contributor(s) and not of MDPI and/or the editor(s). MDPI and/or the editor(s) disclaim responsibility for any injury to people or property resulting from any ideas, methods, instructions or products referred to in the content. |
© 2022 by the authors. Licensee MDPI, Basel, Switzerland. This article is an open access article distributed under the terms and conditions of the Creative Commons Attribution (CC BY) license (https://creativecommons.org/licenses/by/4.0/).
Share and Cite
Siddique, M.A.A.; Baek, S.-M.; Baek, S.-Y.; Kim, Y.-J.; Lim, R.-G. Development, Validation, and Evaluation of Partial PST Tractor Simulation Model for Different Engine Modes during Field Operations. Agriculture 2023, 13, 44. https://doi.org/10.3390/agriculture13010044
Siddique MAA, Baek S-M, Baek S-Y, Kim Y-J, Lim R-G. Development, Validation, and Evaluation of Partial PST Tractor Simulation Model for Different Engine Modes during Field Operations. Agriculture. 2023; 13(1):44. https://doi.org/10.3390/agriculture13010044
Chicago/Turabian StyleSiddique, Md. Abu Ayub, Seung-Min Baek, Seung-Yun Baek, Yong-Joo Kim, and Ryu-Gap Lim. 2023. "Development, Validation, and Evaluation of Partial PST Tractor Simulation Model for Different Engine Modes during Field Operations" Agriculture 13, no. 1: 44. https://doi.org/10.3390/agriculture13010044
APA StyleSiddique, M. A. A., Baek, S.-M., Baek, S.-Y., Kim, Y.-J., & Lim, R.-G. (2023). Development, Validation, and Evaluation of Partial PST Tractor Simulation Model for Different Engine Modes during Field Operations. Agriculture, 13(1), 44. https://doi.org/10.3390/agriculture13010044

