Effect of Rabbit Urine on the Larval Behavior, Larval Mortality, Egg Hatchability, Adult Emergence and Oviposition Preference of the Fall Armyworm (Spodoptera frugiperda J.E. Smith)
Abstract
:1. Introduction
2. Materials and Methods
2.1. Study Plants and Insects
2.2. Rabbit Rearing and Urine Collection
2.3. Determination of Larval Arrestment and Settlement
2.4. Assessment of Larval Feeding and Dose-Damage Response
2.5. Assessment of Larval Lethal Time-Mortality Response and Survival
2.6. Assessment of Egg Hatchability and Adult Emergence
2.7. Assessment of Oviposition Preference of the Adult Female Moth
2.8. Data Analysis
3. Results
3.1. Larval Arrestment and Settlement
3.2. Larval Feeding and Dose-Damage Response
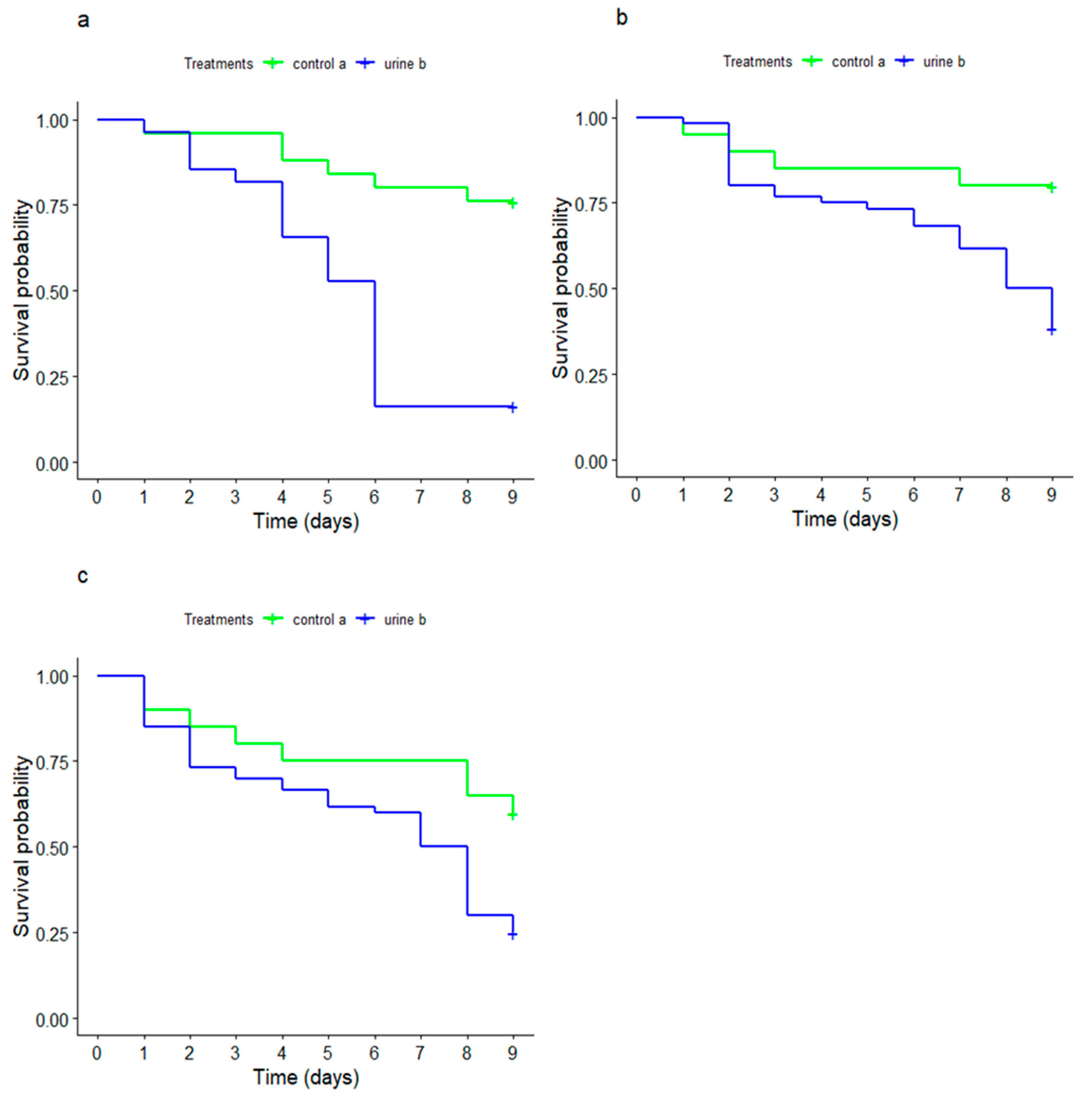
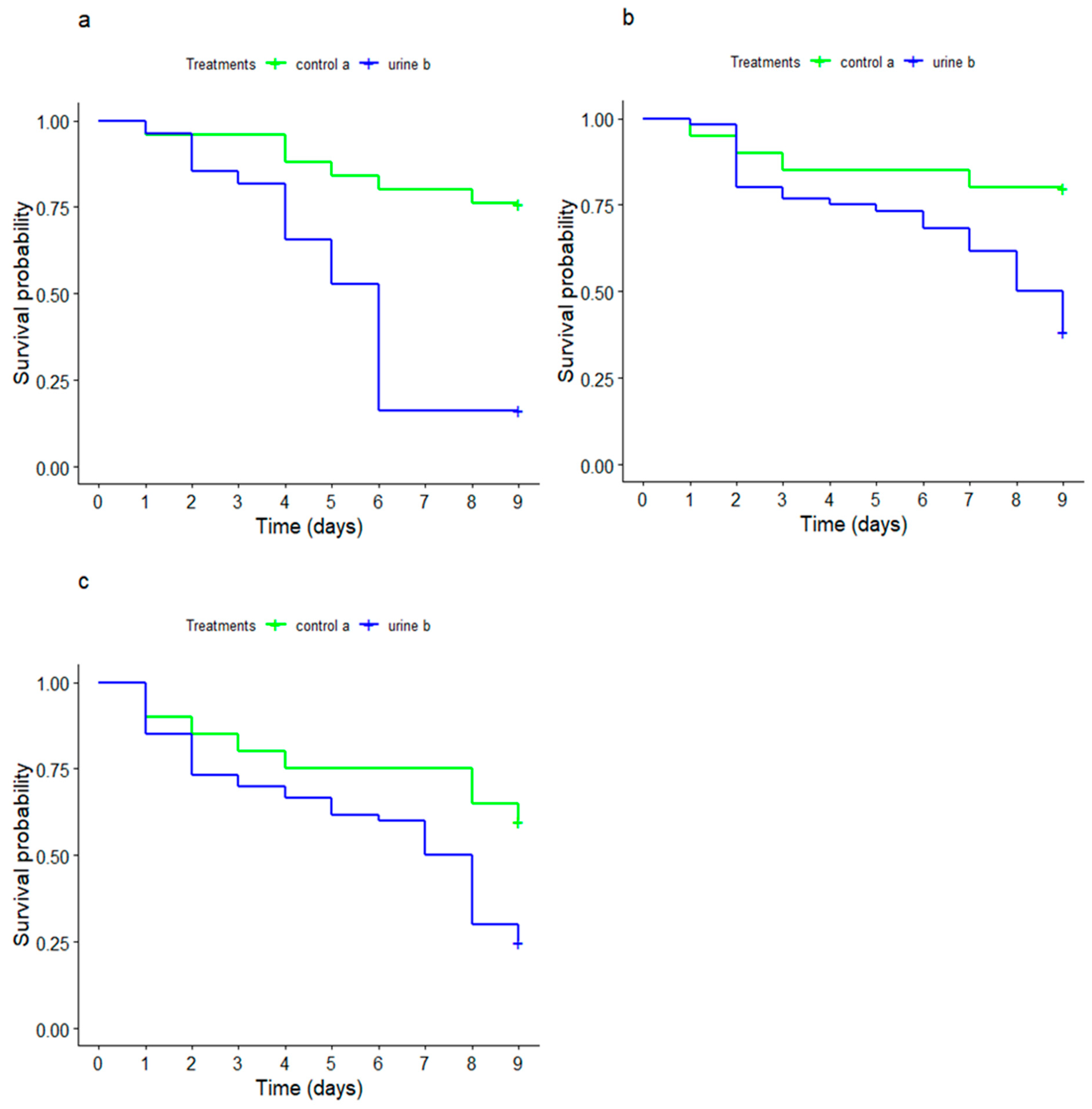
3.3. Larval Lethal Time-Response Mortality and Survival
3.4. Egg Hatchability and Adult Emergence
3.5. Oviposition Preference of the Adult Female Moth
4. Discussion
5. Conclusions
Author Contributions
Funding
Institutional Review Board Statement
Informed Consent Statement
Data Availability Statement
Acknowledgments
Conflicts of Interest
References
- Goergen, G.; Kumar, P.L.; Sankung, S.B.; Togola, A.; Tamò, M. First report of outbreaks of the fall armyworm Spodoptera frugiperda (J E Smith) (Lepidoptera, Noctuidae), a new alien invasive pest in west and central Africa. PLoS ONE 2016, 11, e0165632. [Google Scholar] [CrossRef] [PubMed] [Green Version]
- Niassy, S.; Agbodzavu, M.K.; Kimathi, E.; Mutune, B.; Abdel-Rahman, E.F.M.; Salifu, D.; Hailu, G.; Belayneh, Y.T.; Felege, E.; Tonnang, H.E.Z.; et al. Bioecology of fall armyworm Spodoptera frugiperda (JE Smith), its management and potential patterns of seasonal spread in Africa. PLoS ONE 2021, 16, e0249042. [Google Scholar] [CrossRef]
- Early, R.; González-Moreno, P.; Murphy, S.T.; Day, R. Forecasting the global extent of invasion of the cereal pest Spodoptera frugiperda, the fall armyworm. NeoBiota 2018, 40, 25–50. [Google Scholar] [CrossRef] [Green Version]
- Sisay, B.; Simiyu, J.; Malusi, P.; Likhayo, P.; Mendesil, E.; Elibariki, N.; Wakgari, M.; Ayalew, G.; Tefera, T. First report of the fall armyworm, Spodoptera frugiperda (Lepidoptera: Noctuidae), natural enemies from Africa. J. Appl. Entomol. 2018, 142, 800–804. [Google Scholar] [CrossRef]
- Casmuz, A.; Laura Juarez, M.; Socias, G.M.; Murua, G.M.; Prieto, S.; Medina, S.; Willink, E.; Gastaminza, G. Review of the host plants of fall armyworm, Spodoptera frugiperda (Lepidoptera: Noctuidae). Rev. Soc. Entomol. Argent. 2010, 69, 209–231. [Google Scholar]
- Abraham, P.; Beale, T.; Cock, M.; Corniani, N.; Day, R.; Godwin, J.; Vos, J. Fall Armyworm Status, Impacts and Control Options in Africa: Preliminary Evidence Note; CABI: Exeter, UK, 2017. [Google Scholar]
- Day, R.; Abrahams, P.; Bateman, M.; Beale, T.; Clottey, V.; Cock, M.; Colmenarez, Y.; Corniani, N.; Early, R.; Godwin, J.; et al. Fall armyworm: Impacts and implications for Africa. Outlooks Pest. Manag. 2017, 28, 196–201. [Google Scholar] [CrossRef] [Green Version]
- Makgoba, M.C.; Tshikhudo, P.P.; Nnzeru, L.R.; Makhado, R.A. Impact of fall armyworm (Spodoptera frugiperda) (J.E. Smith) on small-scale maize farmers and its control strategies in the Limpopo province, South Africa. Jamba (Potchefstroom, South Africa). J. Disaster Risk Stud. 2021, 13, a101613. [Google Scholar] [CrossRef]
- Harrison, R.D.; Thierfelder, C.; Baudron, F.; Chinwada, P.; Midega, C.; Schaffner, U.; van den Berg, J. Agro-ecological options for fall armyworm (Spodoptera frugiperda JE Smith) management: Providing low-cost, smallholder friendly solutions to an invasive pest. J. Environ. Manag. 2019, 243, 318–330. [Google Scholar] [CrossRef]
- Kumela, T.; Simiyu, J.; Sisay, B.; Likhayo, P.; Mendesil, E.; Gohole, L.; Tefera, T. Farmers’ knowledge, perceptions, and management practices of the new invasive pest, fall armyworm (Spodoptera frugiperda) in Ethiopia and Kenya. Int. Pest Manag. 2018, 65, 1–9. [Google Scholar] [CrossRef]
- De Groote, H.; Kimenju, S.C.; Munyua, B.; Palmas, S.; Kassie, M.; Bruce, A. Spread and impact of fall armyworm (Spodoptera frugiperda J.E. Smith) in maize production areas of Kenya. Agric. Ecosyst. Environ. 2020, 292, 106804. [Google Scholar] [CrossRef]
- Kassie, M.; Wossen, T.; De Groote, H.; Tefera, T.; Subramanian, S.; Balew, S. Economic impacts of fall armyworm and its management strategies: Evidence from southern Ethiopia. Eur. Rev. Agric. Econ. 2020, 47, 1473–1501. [Google Scholar] [CrossRef]
- Wilson, C.; Tisdell, C. Why farmers continue to use pesticides despite environmental, health and sustainability costs. Ecol. Econ. 2001, 39, 449–462. [Google Scholar] [CrossRef] [Green Version]
- Carvalho, F.P. Pesticides, environment, and food safety. Food Energy Secur. 2017, 6, 48–60. [Google Scholar] [CrossRef]
- Gutiérrez-Moreno, R.; Mota-Sanchez, D.; Blanco, C.A.; Whalon, M.E.; Terán-Santofimio, H.; Rodriguez-Maciel, J.C.; DiFonzo, C. Field-evolved resistance of the fall armyworm (Lepidoptera: Noctuidae) to synthetic insecticides in Puerto Rico and Mexico. J. Econ. Entomol. 2019, 112, 792–802. [Google Scholar] [CrossRef]
- Durocher-Granger, L.; Mfune, T.; Musesha, M.; Lowry, A.; Reynolds, K.; Buddie, A.; Cafà, G.; Offord, L.; Chipabika, G.; Dicke, M.; et al. Factors influencing the occurrence of fall armyworm parasitoids in Zambia. J. Pest Sci. 2021, 94, 1133–1146. [Google Scholar] [CrossRef]
- Van Der Werf, W.; Bianchi, F. Options for diversifying agricultural systems to reduce pesticide use: Can we learn from nature? Outlook Agric. 2022, 51, 105–113. [Google Scholar] [CrossRef]
- Yigezu, G.; Wakgari, M. Local and indigenous knowledge of farmers management practice against fall armyworm (Spodoptera frugiperda) (JE Smith) (Lepidoptera: Noctuidae): A review. J. Entomol. Zool. Stud. 2020, 8, 765–767. [Google Scholar]
- Negeri, M.; Urge, M.; Selvaraj, T. Farmers’ indigenous knowledge and management of insect pests in maize and tomato crops at West Hararghe Zone, Oromia Region, Ethiopia. Ann. Plant Prot. Sci. 2019, 27, 358–362. [Google Scholar] [CrossRef]
- Rioba, N.B.; Stevenson, P.C. Opportunities and scope for botanical extracts and products for the management of fall armyworm (Spodoptera frugiperda) for smallholders in Africa. Plants 2020, 9, 207. [Google Scholar] [CrossRef] [Green Version]
- Biovision. The Organic Farmer: The Magazine for Sustainable Agriculture in East Africa, N119; Biovision: Zurich, Switzerland, 2015. [Google Scholar]
- Guntara, R.; Isnaeni, S.; Rosmala, A. Growth and yield of pagoda (Brassica narinosa L.) with concentration and watering interval of fermented rabbit urine on hydroponic system. In IOP Conference Series: Earth and Environmental Science, Proceedings of the 3rd International Conference on Food and Agriculture, Indonesia, 7–8 November 2020; IOP Publishing: Bristol, UK.
- Mayura, E.; Idris, H. Increasing viability of cinnamon [Cinnamomum burmanii L.] seed by soaking in rabbit urine. In IOP Conference Series, Earth and Environmental Science, Proceedings of the International Conference of Bio-Based Economy and Agricultural Utilization, Indonesia, 17 September 2019; IOP Publishing: Bristol, UK.
- Indabo, S.S.; Abubakar, A.A. Effect of rabbit urine application rate as a bio-fertilizer on agro-morphological traits of UC82B tomato (Lycopersicon esculentum Mill) variety in Zaria, Nigeria. DUJOPAS 2020, 6, 344–352. [Google Scholar]
- Muhofa, I. Scaling up climate smart agriculture using rabbit urine as an organic fertilizer and pesticide. J. Plant Biotech. Microbio. 2020, 3, 6. [Google Scholar]
- Agric4profits. Importance of Rabbit Urine and How to Use It. Available online: https://agric4profits.com/importance-of-rabbit-urine-and-how-to-use-it/ (accessed on 27 July 2022).
- Dumont, B.; Fortun-Lamothe, L.; Jouven, M.; Thomas, M.; Tichit, M. Prospects from agroecology and industrial ecology for animal production in the 21st century. Animal 2013, 7, 1028–1043. [Google Scholar] [CrossRef] [PubMed] [Green Version]
- Oseni, S.O.; Lukefahr, S.D. Rabbit production in low-input systems in Africa: Situation, knowledge and perspectives—A review. World Rabbit Sci. 2014, 22, 147–160. [Google Scholar] [CrossRef] [Green Version]
- Animal Welfare Victoria. Guidelines for Keeping Rabbits. Available online: https://agriculture.vic.gov.au/livestock-and-animals/animal-welfare-victoria/other-pets/rabbits/guidelines-for-keeping-pet-rabbits (accessed on 5 January 2022).
- McGlone, J.J. Farm animal welfare in the context of other society issues: Toward sustainable systems. Livest. Prod. Sci. 2001, 72, 75–81. [Google Scholar] [CrossRef]
- United States Agency for International Development (USAID). A Complete Handbook on Backyard and Commercial Rabbit Production. Feed the Future: The U.S. Government’s Global Hunger and Food Security Initiative; USAID: Washington, DC, USA, 2014. [Google Scholar]
- Cheruiyot, D.; Chiriboga Morales, X.; Chidawanyika, F.; Bruce, T.J.; Khan, Z.R. Potential roles of selected forage grasses in management of fall armyworm (Spodoptera frugiperda) through companion cropping. Entomol. Exp. Appl. 2021, 169, 966–974. [Google Scholar] [CrossRef]
- Singh, J.; Singh, L.; Kumar, A. Estimation of leaf area by mobile application: Fast and accurate method. Pharma Innov. J. 2021, 10, 272–275. [Google Scholar] [CrossRef]
- Wang, F.; Li, Z.; Chambi, C.; Du, T.; Huang, C.; Zhang, G.; Li, C.; Kayeke, M.J. Effects of water immersion and soil moisture content on larval and pupal survival of Bactrocera minax (Diptera: Tephritidae). Insects 2019, 10, 138. [Google Scholar]
- R Core Team. R: A Language and Environment for Statistical Computing, Version 4.0.3; R Foundation for Statistical Computing (computer software): Vienna, Austria, 2020. [Google Scholar]
- Abbott, W.S. A method of computing the effectiveness of an insecticide. J. Econ. Entomol. 1925, 18, 265–267. [Google Scholar] [CrossRef]
- Hlina, B.L. ecotox: A Package for Analysis of Ecotoxicology. R Package Version 1.4.2, 2020. Available online: https://cran.r-project.org/package=ecotox (accessed on 25 February 2022).
- Lenth, R.V. lsmeans: Least-squares means. The R package version 2.30-0. J. Stat. Softw. 2015, 69, 1–33. [Google Scholar]
- Rankoana, S. The use of indigenous knowledge in subsistence farming: Implications for sustainable agricultural production in Dikgale community in Limpopo Province, South Africa. In Toward a Sustainable Agriculture: Farming Practices and Water Use; Jordaan, H., Bergman, M.M., Eds.; Frontiers in Sustainability: Basel, Switzerland, 2018; pp. 63–72. [Google Scholar]
- Hruska, A. Fall armyworm (Spodoptera frugiperda) management by smallholders. CAB Rev. 2019, 14, 1–11. [Google Scholar] [CrossRef] [Green Version]
- Ramzan, M.; Usman, M.; Sajid, Z.; Ghani, U.; Basit, M.A.; Razzaq, M.; Shafee, W.; Shahid, M.R. Bio-ecology and management of Spodoptera frugiperda (Lepidoptera: Noctuidae): A review. J. Pure Appl. Agric. 2020, 5, 1–9. [Google Scholar]
- Coy, R.M.; Held, D.W.; Kloepper, J.W. Bacterial inoculant treatment of bermudagrass alters ovipositional behavior, larval and pupal weights of the fall armyworm (Lepidoptera: Noctuidae). Environ. Entomol. 2017, 46, 831–838. [Google Scholar]
- Tian, M.; Guo, C.; Huai, B.; Gao, J.; Huang, X. Studies on the excretion of robenidine hydrochloride in rabbit urine and feces. J. South China Agric. Univ. 2015, 36, 8–12. [Google Scholar]
- Logan, M.A. Calcium and ammonium excretion in the urine of rabbits. J. Biol. Chem. 1935, 109, 481–487. [Google Scholar] [CrossRef]
- Ghidiu, G.M.; Andaloro, J.T. The relationship between fall armyworm (Lepidoptera: Noctuidae) instar and susceptibility to insecticides applied to sweet corn. Fla. Entomol. 1993, 76, 549–555. [Google Scholar] [CrossRef]
- Mohammed, O. Management of Black Bean Aphids (Aphis fabae) in Common Beans (Phaseolus vulgaris) Using of a Mixture Wood Ash and Rabbit Urine. Master’s Thesis, University of Nairobi, Nairobi, Kenya, 2016. [Google Scholar]
- Mutai, P.A. The potential use of rabbit urine as a bio fertilizer foliar feed in crop production. Afr. Environ. Rev. J. 2020, 4, 138–147. [Google Scholar]







| Stages of Spodoptera frugiperda | Control | Rabbit Urine |
|---|---|---|
| Neonates | 73.00 ± 3.33 a | 25.50 ± 3.52 b |
| Second Instars | 55.50 ± 3.20 a | 41.50 ± 3.19 b |
| Third Instars | 70.00 ± 2.51 a | 27.00 ± 2.19 b |
| Stages of Spodoptera frugiperda | 6 h Post-Exposure | 24 h Post-Exposure | ||
|---|---|---|---|---|
| Control | Rabbit Urine | Control | Rabbit Urine | |
| Neonates | 66.00 ± 4.27 b | 34.00 ± 4.27 a | 70.00 ± 4.22 b | 27.00 ± 4.96 a |
| Second Instars | 50.00 ± 6.32 a | 50.00 ± 6.32 a | 57.00 ± 6.33 b | 43.00 ± 6.33 a |
| Third Instars | 66.00 ± 7.18 b | 30.00 ± 7.30 a | 46.00 ± 6.00 a | 43.00 ± 5.39 a |
| Stages of Spodoptera frugiperda | a Slope (± b SE) | LD25 | LD50 |
|---|---|---|---|
| Neonates | 1.51 ± 0.01 | 17.4 (13.1, 21.4) a | 48 (42, 57) a |
| Second Instar | 4.61 ± 0.02 | 67.1 (64.0, 69.9) b | 94 (90, 99) b |
| Third Instar | 2.24 ± 0.01 | 27.5 (24.3, 30.5) a | 55 (50, 60) a |
| Stages of Spodoptera frugiperda | Slope (±SE *) | LT25 | LT50 |
|---|---|---|---|
| Neonates | 2.95 ± 0.04 | 2.9 (1.8, 3.8) a | 5.0 (3.9, 6.4) a |
| Second Instar | 3.13 ± 0.04 | 4.5 (3.7, 5.1) ab | 7.3 (6.5, 8.6) b |
| Third Instar | 2.84 ± 0.04 | 5.0 (4.6, 5.3) b | 8.6 (8.0, 9.5) bc |
Publisher’s Note: MDPI stays neutral with regard to jurisdictional claims in published maps and institutional affiliations. |
© 2022 by the authors. Licensee MDPI, Basel, Switzerland. This article is an open access article distributed under the terms and conditions of the Creative Commons Attribution (CC BY) license (https://creativecommons.org/licenses/by/4.0/).
Share and Cite
Kemunto, D.; Omuse, E.R.; Mfuti, D.K.; Tamiru, A.; Hailu, G.; Rwiza, I.; Belayneh, Y.T.; Subramanian, S.; Niassy, S. Effect of Rabbit Urine on the Larval Behavior, Larval Mortality, Egg Hatchability, Adult Emergence and Oviposition Preference of the Fall Armyworm (Spodoptera frugiperda J.E. Smith). Agriculture 2022, 12, 1282. https://doi.org/10.3390/agriculture12081282
Kemunto D, Omuse ER, Mfuti DK, Tamiru A, Hailu G, Rwiza I, Belayneh YT, Subramanian S, Niassy S. Effect of Rabbit Urine on the Larval Behavior, Larval Mortality, Egg Hatchability, Adult Emergence and Oviposition Preference of the Fall Armyworm (Spodoptera frugiperda J.E. Smith). Agriculture. 2022; 12(8):1282. https://doi.org/10.3390/agriculture12081282
Chicago/Turabian StyleKemunto, Diana, Evanson R. Omuse, David K. Mfuti, Amanuel Tamiru, Girma Hailu, Ignath Rwiza, Yeneneh T. Belayneh, Sevgan Subramanian, and Saliou Niassy. 2022. "Effect of Rabbit Urine on the Larval Behavior, Larval Mortality, Egg Hatchability, Adult Emergence and Oviposition Preference of the Fall Armyworm (Spodoptera frugiperda J.E. Smith)" Agriculture 12, no. 8: 1282. https://doi.org/10.3390/agriculture12081282
APA StyleKemunto, D., Omuse, E. R., Mfuti, D. K., Tamiru, A., Hailu, G., Rwiza, I., Belayneh, Y. T., Subramanian, S., & Niassy, S. (2022). Effect of Rabbit Urine on the Larval Behavior, Larval Mortality, Egg Hatchability, Adult Emergence and Oviposition Preference of the Fall Armyworm (Spodoptera frugiperda J.E. Smith). Agriculture, 12(8), 1282. https://doi.org/10.3390/agriculture12081282

