Continuous Wavelet Transform and Back Propagation Neural Network for Condition Monitoring Chlorophyll Fluorescence Parameters Fv/Fm of Rice Leaves
Abstract
:1. Introduction
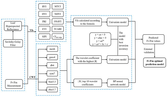
2. Materials and Methods
2.1. Experimental Design
2.2. Data Acquisition
2.2.1. Measurement of Leaf Spectral Reflectance
2.2.2. Measurement of Leaf Chlorophyll Fluorescence Parameters Fv/Fm
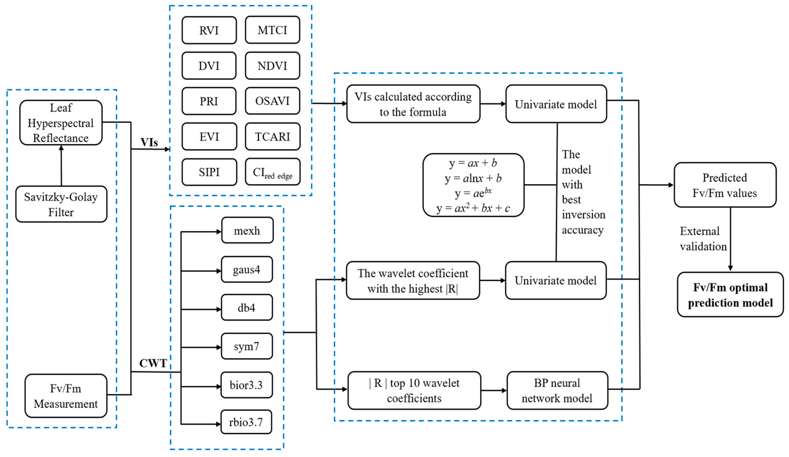
2.3. Data Processing and Analysis
2.3.1. Measurement of Leaf Spectral Reflectance
2.3.2. Calculation of Vegetation Index
2.3.3. Continuous Wavelet Transform
2.3.4. Back Propagation Neural Network
2.4. Evaluation of Model Accuracy
3. Results
3.1. Dynamic Changes of Fv/Fm under Different Treatments
3.2. Original Spectral Reflectance at Different Fv/Fm Intervals
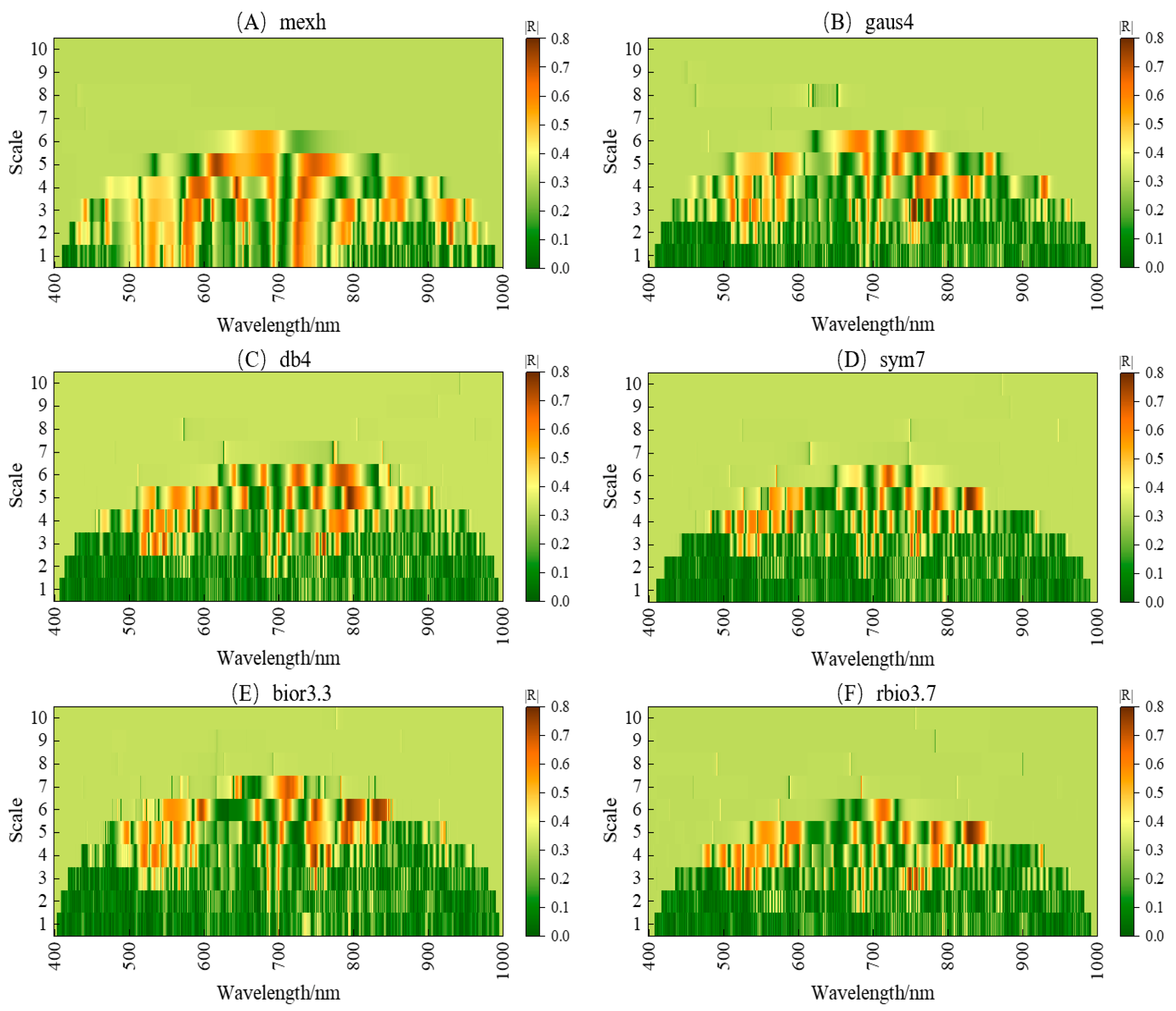
3.3. Correlation of Wavelet Coefficients with Fv/Fm
3.4. Single-Index Traditional Leaf Fv/Fm Estimation Models
3.5. Models for Monitoring the Leaf Fv/Fm Based on BPNN
4. Discussion
5. Conclusions
Author Contributions
Funding
Institutional Review Board Statement
Informed Consent Statement
Data Availability Statement
Conflicts of Interest
References
- Bussotti, F.; Gerosa, G.; Digrado, A.; Pollastrini, M. Selection of chlorophyll fluorescence parameters as indicators of photosynthetic efficiency in large scale plant ecological studies. Ecol. Indic. 2020, 108, 105686. [Google Scholar] [CrossRef]
- Hikosaka, K.; Tsujimoto, K. Linking remote sensing parameters to CO2 assimilation rates at a leaf scale. J. Plant Res. 2021, 134, 695–711. [Google Scholar] [CrossRef] [PubMed]
- Butler, W.L.; Kitajima, M. Fluorescence quenching in photosystem II of chloroplasts. Biochim. Biophys. Acta 1975, 376, 116–125. [Google Scholar] [CrossRef]
- Buschmann, C.; Schweiger, J.; Lichtenthaler, H.K.; Richter, P. Application of the Karlsruhe CCD-OMA LIDAR-fluorosensor in stress detection of plants. J. Plant Physiol. 1996, 148, 548–554. [Google Scholar] [CrossRef]
- Ciompi, S.; Gentili, E.; Guidi, L.; Soldatini, G.F. The effect of nitrogen deficiency on leaf gas exchange and chlorophyll fluorescence parameters in sunflower. Plant Sci. 1996, 118, 177–184. [Google Scholar] [CrossRef]
- Mallick, N.; Mohn, F.H. Use of chlorophyll fluorescence in metal-stress research: A case study with the green microalga Scenedesmus. Ecotox. Environ. Safe 2003, 55, 64–69. [Google Scholar] [CrossRef]
- Sun, H.; Liu, W.; Wang, Y.; Yuan, S. Evaluation of Typical Spectral Vegetation Indices for Drought Monitoring in Cropland of the North China Plain. IEEE J. Sel. Top. Appl. Earth Observ. Remote Sens. 2017, 10, 5404–5411. [Google Scholar] [CrossRef]
- Fusaro, L.; Salvatori, E.; Mereu, S.; Manes, F. Photosynthetic traits as indicators for phenotyping urban and peri-urban forests: A case study in the metropolitan city of Rome. Ecol. Indic. 2019, 103, 301–311. [Google Scholar] [CrossRef]
- Sayed, O.H. Chlorophyll Fluorescence as a Tool in Cereal Crop Research. Photosynthetica 2003, 41, 321–330. [Google Scholar] [CrossRef]
- Gitelson, A.A.; Zur, Y.; Chivkunova, O.B.; Merzlyak, M.N. Assessing Carotenoid Content in Plant Leaves with Reflectance Spectroscopy. Photochem. Photobiol. 2002, 75, 272–281. [Google Scholar] [CrossRef]
- Guo, B.B.; Qi, S.L.; Heng, Y.R.; Duan, J.Z.; Zhang, H.Y.; Wu, Y.P.; Feng, W.; Xie, Y.X.; Zhu, Y.J. Remotely assessing leaf N uptake in winter wheat based on canopy hyperspectral red-edge absorption. Eur. J. Agron. 2017, 82, 113–124. [Google Scholar] [CrossRef]
- Liang, L.; Qin, Z.H.; Zhao, S.H.; Di, L.P.; Zhang, C.; Deng, M.X.; Lin, H.; Zhang, L.P.; Wang, L.J.; Liu, Z.X. Estimating crop chlorophyll content with hyperspectral vegetation indices and the hybrid inversion method. Int. J. Remote Sens. 2016, 37, 2923–2949. [Google Scholar] [CrossRef]
- Guo, C.F.; Xiao, Y. Estimating leaf chlorophyll and nitrogen content of wetland emergent plants using hyperspectral data in the visible domain. Spectr. Lett. 2016, 49, 180–187. [Google Scholar] [CrossRef]
- Steidle Neto, A.J.; Lopes, D.C.; Pinto, F.A.C.; Zolnier, S. Vis/NIR spectroscopy and chemometrics for nondestructive estimation of water and chlorophyll status in sunflower leaves. Biosyst. Eng. 2017, 155, 124–133. [Google Scholar] [CrossRef]
- Zhang, H.; Zhu, L.F.; Hu, H.; Zheng, K.F.; Jin, Q.Y. Monitoring leaf chlorophyll fluorescence with spectral reflectance in Rice (Oryza sativa L.). Procedia Eng. 2011, 15, 4403–4408. [Google Scholar] [CrossRef] [Green Version]
- Tan, C.W.; Huang, W.J.; Jin, X.L.; Wang, J.C.; Tong, L.; Wang, J.H.; Guo, W.S. Using Hyperspectral Vegetation Index to Monitor the Chlorophyll Fluorescence Parameters Fv/Fm of Compact Corn. Guang Pu Xue Guang Pu Fen Xi 2012, 32, 1287–1291. [Google Scholar] [CrossRef]
- Peng, Y.; Zeng, A.L.; Zhu, T.; Fang, S.H.; Gong, Y.; Tao, Y.Q.; Zhou, Y.; Liu, K. Using remotely sensed spectral reflectance to indicate leaf photosynthetic efficiency derived from active fluorescence measurements. J. Appl. Remote Sens. 2017, 11, 026034. [Google Scholar] [CrossRef] [Green Version]
- El-Hendawy, S.; Al-Suhaibani, N.; Elsayed, S.; Alotaibi, M.; Hassan, W.; Schmidhalter, U. Performance of optimized hyperspectral reflectance indices and partial least squares regression for estimating the chlorophyll fluorescence and grain yield of wheat grown in simulated saline field conditions. Plant Physiol. Biochem. 2019, 144, 300–311. [Google Scholar] [CrossRef]
- Zheng, W.; Lu, X.; Li, Y.; Li, S.; Zhang, Y. Hyperspectral Identification of Chlorophyll Fluorescence Parameters of Suaeda salsa in Coastal Wetlands. Remote Sens. 2021, 13, 2066. [Google Scholar] [CrossRef]
- Rivard, B.; Feng, J.; Gallie, A.; Sanchez-Azofeifa, A. Continuous wavelets for the improved use of spectral libraries and hyperspectral data. Remote Sens. Environ. 2008, 112, 2850–2862. [Google Scholar] [CrossRef]
- Blackburn, G.A.; Ferwerda, J.G. Retrieval of chlorophyll concentration from leaf reflectance spectra using wavelet analysis. Remote Sens. Environ. 2008, 112, 1614–1632. [Google Scholar] [CrossRef]
- Keiner, L.E.; Yan, X.H. A Neural Network Model for Estimating Sea Surface Chlorophyll and Sediments from Thematic Mapper Imagery. Remote Sens. Environ. 1998, 66, 153–165. [Google Scholar] [CrossRef]
- Le Maire, G.; François, C.; Dufrêne, E. Towards universal broad leaf chlorophyll indices using PROSPECT simulated database and hyperspectral reflectance measurements. Remote Sens. Environ. 2004, 89, 1–28. [Google Scholar] [CrossRef]
- Zhao, R.; An, L.; Song, D.; Li, M.; Qiao, L.; Liu, N.; Sun, H. Detection of chlorophyll fluorescence parameters of potato leaves based on continuous wavelet transform and spectral analysis. Spectroc. Acta Pt. A Molec. Biomolec. Spectr. 2021, 259, 119768. [Google Scholar] [CrossRef]
- Jia, M.; Li, D.; Colombo, R.; Wang, Y.; Wang, X.; Cheng, T.; Zhu, Y.; Yao, X.; Xu, C.; Ouer, G.; et al. Quantifying Chlorophyll Fluorescence Parameters from Hyperspectral Reflectance at the Leaf Scale under Various Nitrogen Treatment Regimes in Winter Wheat. Remote Sens. 2019, 11, 2838. [Google Scholar] [CrossRef] [Green Version]
- Chen, L.; Huang, J.F.; Wang, F.M.; Tang, Y.L. Comparison between back propagation neural network and regression models for the estimation of pigment content in rice leaves and panicles using hyperspectral data. Int. J. Remote Sens. 2007, 28, 3457–3478. [Google Scholar] [CrossRef]
- Kira, O.; Linker, R.; Gitelson, A. Nondestructive estimation of foliar chlorophyll and carotenoid contents: Focus on informative spectral bands. Int. J. Appl. Earth Obs. Geoinf. 2015, 38, 251–260. [Google Scholar] [CrossRef]
- Sabanci, K.; Aslan, M.F.; Durdu, A. Bread and Durum Wheat Classification Using Wavelet Based Image Fusion. J. Sci. Food Agric. 2020, 100, 5577–5585. [Google Scholar] [CrossRef]
- Liu, N.; Xing, Z.; Zhao, R.; Qiao, L.; Li, M.; Liu, G.; Sun, H. Analysis of Chlorophyll Concentration in Potato Crop by Coupling Continuous Wavelet Transform and Spectral Variable Optimization. Remote Sens. 2020, 12, 2826. [Google Scholar] [CrossRef]
- Seck, P.A.; Diagne, A.; Mohanty, S.; Wopereis, M.C.S. Crops that feed the world 7: Rice. Food Secur. 2012, 4, 7–24. [Google Scholar] [CrossRef]
- Thapa, R.; Bhusal, N. Designing Rice for the 22nd Century: Towards a Rice with an Enhanced Productivity and Efficient Photosynthetic Pathway. Turk. J. Agric. Food Sci. Technol. 2020, 8, 2623–2634. [Google Scholar] [CrossRef]
- Thenkabail, P.S.; Smith, R.B.; De Pauw, E. Hyperspectral Vegetation Indices and Their Relationships with Agricultural Crop Characteristics. Remote Sens. Environ. 2000, 71, 158–182. [Google Scholar] [CrossRef]
- Inoue, Y.; Peñuelas, J. An AOTF-based hyperspectral imaging system for field use in ecophysiological and agricultural applications. Int. J. Remote Sens. 2001, 22, 3883–3888. [Google Scholar] [CrossRef]
- Sims, D.A.; Gamon, J.A. Relationships between leaf pigment content and spectral reflectance across a wide range of species, leaf structures and developmental stages. Remote Sens. Environ. 2002, 81, 337–354. [Google Scholar] [CrossRef]
- Gupta, R.K.; Vijayan, D.; Prasad, T.S. Comparative analysis of red-edge hyperspectral indices. Adv. Space Res. 2003, 32, 2217–2222. [Google Scholar] [CrossRef]
- Zhu, Y.; Tian, Y.; Ma, J.; Yao, X.; Liu, X.; Cao, W. Relationship between Chlorophyll Fluorescence Parameters and Spectral Reflectance Characteristics in Wheat Leaves. Acta Agron. Sin. 2007, 8, 1286–1292. [Google Scholar] [CrossRef]
- Nuremanguli, T.; Nie, C.; Yu, X.; Bai, Y.; Chen, M.; Wang, Z.; Jin, X.; Li, H. Retrieval of Leaf-scale Chlorophyll Fluorescence Parameters Based on Hyperspectral Index. J. Maize Sci. 2021, 29, 73–80. [Google Scholar] [CrossRef]
- Zarco-Tejada, P.J.; Miller, J.R.; Mohammed, G.H.; Noland, T.L. Chlorophyll Fluorescence Effects on Vegetation Apparent Reflectance: I. Leaf-Level Measurements and Model Simulation. Remote Sens. Environ. 2000, 74, 582–595. [Google Scholar] [CrossRef]
- Jordan, C.F. Derivation of Leaf-Area Index from Quality of Light on the Forest Floor. Ecology 1969, 50, 663–666. [Google Scholar] [CrossRef]
- Gamon, J.A.; Peñuelas, J.; Field, C.B. A narrow-waveband spectral index that tracks diurnal changes in photosynthetic efficiency. Remote Sens. Environ. 1992, 41, 35–44. [Google Scholar] [CrossRef]
- Jiang, Z.; Huete, A.R.; Didan, K.; Miura, T. Development of a two-band enhanced vegetation index without a blue band. Remote Sens. Environ. 2008, 112, 3833–3845. [Google Scholar] [CrossRef]
- Peñuelas, J.; Baret, F.; Filella, I. Semi-empirical indices to assess carotenoids/chlorophyll A ratio from leaf spectral reflectances. Photosynthetica. 1995, 31, 221–230. [Google Scholar]
- Dash, J.; Curran, P.J. The MERIS terrestrial chlorophyll index. Int. J. Remote Sens. 2004, 25, 5403–5413. [Google Scholar] [CrossRef]
- Rouse, J.W. Monitoring the vernal advancement of retrogradation (green wave effect) of natural vegetation. In NASA/GSFCT Technical Report; NTRS: Chicago, IL, USA, 1974. [Google Scholar]
- Rondeaux, G.; Steven, M.; Baret, F. Optimization of soil-adjusted vegetation index. Remote Sens. Environ. 1996, 55, 95–107. [Google Scholar] [CrossRef]
- Haboudane, D.; Miller, J.R.; Tremblay, N.; Zarco-Tejada, P.J.; Dextraze, L. Integrated narrow-band vegetation indices for prediction of crop chlorophyll content for application to precision agriculture. Remote Sens. Environ. 2002, 81, 416–426. [Google Scholar] [CrossRef]
- Gitelson, A.A.; Viña, A.; Ciganda, V.; Rundquist, D.C.; Arkebauer, T.J. Remote estimation of canopy chlorophyll content in crops. Geophys. Res. Lett. 2005, 32, L08403. [Google Scholar] [CrossRef] [Green Version]
- Gitelson, A.A.; Gritz, Y.; Merzlyak, M.N. Relationships between leaf chlorophyll content and spectral reflectance and algorithms for nondestructive chlorophyll assessment in higher plant leaves. J. Plant Physiol. 2003, 106, 271–282. [Google Scholar] [CrossRef]
- Wang, Y.C.; Zhang, X.Y.; Jin, Y.T.; Gu, X.O.; Feng, H.; Wang, C. Quantitative Retrieval of Water Content in Winter Wheat Leaves Based on Continuous Wavelet Transform. J. Triticeae Crops 2020, 40, 503–509, (In Chinese with English abstract). [Google Scholar] [CrossRef]
- Wang, Z.; Chen, J.; Fan, Y.; Fan, Y.; Cheng, Y.; Wu, X.; Zhang, J.; Wang, B.; Wang, X.; Yong, T.; et al. Evaluating photosynthetic pigment contents of maize using UVE-PLS based on continuous wavelet transform. Comput. Electron. Agric. 2020, 169, 105160. [Google Scholar] [CrossRef]
- Li, B.; Gao, P.; Feng, P.; Chen, D.Y.; Zhang, H.H.; Hu, J. Prediction of Eggplant Leaf Fv/Fm Based on Vis-NIR Spectroscopy. Guang Pu Xue Guang Pu Fen Xi 2020, 40, 2834–2839, (In Chinese with English abstract). [Google Scholar] [CrossRef]
- Kalaji, H.M.; Jajoo, A.; Oukarroum, A.; Brestic, M.; Zivcak, M.; Samborska, I.A.; Cetner, M.D.; Lukasik, I.; Goltsev, V.; Ladle, R.J. Chlorophyll a fluorescence as a tool to monitor physiological status of plants under abiotic stress conditions. Acta Physiol. Plant 2016, 38, 102. [Google Scholar] [CrossRef] [Green Version]
- Kooten, O.; Snel, J.F.H. The use of chlorophyll fluorescence nomenclature in plant stress physiology. Photosynth. Res. 1990, 25, 147–150. [Google Scholar] [CrossRef]
- Schreiber, U. Chlorophyll fluorescence: New Instruments for Special Applications. In Photosynthesis: Mechanisms and Effects; Garab, G., Ed.; Hungarian Academy of Sciences: Szeged, Hungary, 1998; pp. 4253–4258. [Google Scholar] [CrossRef]
- Maxwell, K.; Johnson, G.N. Chlorophyll fluorescence-a practical guide. J. Exp. Bot. 2000, 51, 659–668. [Google Scholar] [CrossRef]
- Feng, W.; Guo, T.; Xie, Y.; Wang, Y.; Zhu, Y.; Wang, C. Spectrum Analytical Technique and Its Applications for the Crop Growth Detection. Chin. Agric. Sci. Bull. 2009, 25, 182–188. [Google Scholar]
- Cheng, T.; Rivard, B.; Sánchez-Azofeifa, A.G.; Féret, J.B.; Jacquemoud, S.; Ustin, S.L. Deriving leaf mass per area (LMA) from foliar reflectance across a variety of plant species using continuous wavelet analysis. ISPRS J. Photogramm. Remote Sens. 2014, 87, 28–38. [Google Scholar] [CrossRef]








| Treatments | Base Fertilizer (kg/hm2) | Tillering Fertilizer (kg/hm2) | Panicle Fertilizer (kg/hm2) | |||
|---|---|---|---|---|---|---|
| 15-15-15 Compound Fertilizer | Lime | 15-15-15 Compound Fertilizer | Urea | 15-15-15 Compound Fertilizer | KCI | |
| N1 | 300 | 600 | 300 | 225 | 75 | 45 |
| N2 | 300 | 600 | 150 | 150 | 75 | 45 |
| N3 | 300 | 600 | 0 | 75 | 75 | 45 |
| Sample Set | Size | Max. | Min. | Mean | CV (%) |
|---|---|---|---|---|---|
| All | 159 | 0.856 7 | 0.700 0 | 0.809 3 | 4.072 5 |
| Training set | 106 | 0.850 0 | 0.700 0 | 0.808 8 | 4.128 0 |
| Testing set | 53 | 0.856 7 | 0.710 0 | 0.810 2 | 3.957 0 |
| Vegetation Index | Formula | Reference |
|---|---|---|
| Ratio Vegetation Index (RVI) | R685/R655 | [38] |
| Difference Vegetation Index (DVI) | R800 − R675 | [39] |
| Photochemical Reflectance Index (PRI) | (R531 − R570)/(R531 + R570) | [40] |
| Enhanced Vegetation Index (EVI) | 2.5 × (R810 − R690)/(R810 + 2.4 × R690 + 1) | [41] |
| Structure Insensitive Pigment Index (SIPI) | (R800 − R445)/(R800 − R680) | [42] |
| MERIS terrestrial chlorophyll Index (MTCI) | (R750 − R710)/(R710 − R680) | [43] |
| Normalized Difference Vegetation Index (NDVI) | (R800 − R670)/(R800 + R670) | [44] |
| Optimization Soil-Adjusted Vegetation Index (OSAVI) | 1.16 × (R800 − R670)/(R800 + R670 + 0.16) | [45] |
| Transformed Chlorophyll Absorption in Reflectance Index (TCARI) | 3 × [(R700 − R670) − 0.2 × (R700 − R550) × (R700/R670)] | [46] |
| Red edge chlorophyll index (CIred edge) | (R800/R720) − 1 | [47,48] |
| Mother Wavelet Functions | mexh | gasu4 | db4 | sym7 | bior3.3 | rbio3.7 |
|---|---|---|---|---|---|---|
| Wavelength (nm) | 644 | 756 | 795 | 828 | 794 | 830 |
| Scale | 4 | 3 | 5 | 5 | 6 | 5 |
| |R| | 0.776 3 ** | 0.793 9 ** | 0.769 2 ** | 0.783 6 ** | 0.780 0 ** | 0.799 7 ** |
| Indices | Equation | Training Set | Testing Set | |||
|---|---|---|---|---|---|---|
| RC2 | RMSEC | RV2 | RMSEV | RPD | ||
| RVI | y = −2.316 9x2 + 5.271 2x – 2.164 9 | 0.597 4 | 0.020 4 | 0.517 2 | 0.020 3 | 1.002 0 |
| DVI | y = 0.007 2x2 + 0.687x + 0.5311 | 0.420 4 | 0.025 2 | 0.360 5 | 0.024 9 | 0.840 8 |
| PRI | y = 22.576x2 − 1.095 4x + 0.793 5 | 0.291 9 | 0.026 3 | 0.219 5 | 0.027 6 | 0.691 8 |
| EVI | y = 0.459 4x2 − 0.104 7x + 0.720 3 | 0.238 9 | 0.027 4 | 0.188 5 | 0.026 6 | 0.529 7 |
| SIPI | y = −0.622 6x2 + 1.306 2x + 0.125 9 | 0.048 3 | 0.032 5 | 0.001 1 | 0.031 6 | 0.051 1 |
| MTCI | y= −0.013 3x2 + 0.026 6x + 0.796 3 | 0.001 1 | 0.032 2 | 0.000 2 | 0.031 4 | 0.028 6 |
| NDVI | y = 6.200 3x2 − 9.070 2x + 4.098 1 | 0.119 9 | 0.029 3 | 0.064 7 | 0.028 2 | 0.455 2 |
| OSAVI | y = 1.180 7x2 + 0.440 1x + 0.5629 | 0.435 3 | 0.024 3 | 0.355 1 | 0.025 0 | 0.846 9 |
| TCARI | y = −1.498 7x2 + 1.180 8x + 0.587 4 | 0.141 2 | 0.029 9 | 0.193 3 | 0.029 3 | 0.360 3 |
| CIred edge | y = −0.278 9x2 + 0.166 4x + 0.787 1 | 0.016 6 | 0.032 2 | 0.009 6 | 0.031 4 | 0.069 7 |
| mexh-S4-644nm | y = −50.573x2 − 6.036 7x + 0.686 6 | 0.614 3 | 0.020 3 | 0.708 9 | 0.017 2 | 1.505 1 |
| gasu4-S3-756nm | y = −54 283x2 − 222.45x + 0.667 9 | 0.638 1 | 0.019 5 | 0.648 4 | 0.018 2 | 1.574 5 |
| db4-S5-795nm | y = 330.14x2 − 0.550 5x + 0.697 3 | 0.647 1 | 0.019 4 | 0.704 7 | 0.016 3 | 1.646 7 |
| sym7-S5-828nm | y = 10.462x2 + 27.951x + 0.693 | 0.630 1 | 0.020 3 | 0.695 9 | 0.016 9 | 1.607 0 |
| bior3.3-S6-794nm | y = −130.89x2 − 9.868 9x + 0.689 1 | 0.616 8 | 0.020 5 | 0.700 8 | 0.016 2 | 1.574 3 |
| rbio3.7-S5-830nm | y = 2017.1x2 + 29.21x + 0.683 3 | 0.642 4 | 0.020 0 | 0.698 9 | 0.016 7 | 1.657 6 |
| Mother Vavelet Functions | Scale | Wavelength (nm) |
|---|---|---|
| mexh | scale4 | 643, 644, 645 |
| scale5 | 614, 615, 616, 617, 618, 619, 620 | |
| gasu4 | scale3 | 754, 755, 756, 757, 773, 774, 775 |
| scale5 | 777, 778, 779 | |
| db4 | scale3 | 760, 761 |
| scale5 | 792, 793, 794, 795, 796, 797, 798, 799 | |
| sym7 | scale5 | 785, 826,827, 828, 829, 839, 831, 832, 833, 834 |
| bior3.3 | scale4 | 749 |
| scale6 | 792, 793, 794, 795, 796, 797, 831, 832, 833 | |
| rbio3.7 | scale3 | 749, 750 |
| scale5 | 827, 828, 829, 830, 831, 832, 833, 834 |
| WCs | BP Neural Network Architecture | Training Set | Testing Set | |||
|---|---|---|---|---|---|---|
| RC2 | RMSEC | RV2 | RMSEV | RPD | ||
| Vegetation indices | 10-9-1 | 0.813 5 | 0.014 0 | 0.766 4 | 0.014 8 | 1.743 4 |
| mexh | 10-7-1 | 0.804 4 | 0.014 2 | 0.795 8 | 0.013 7 | 2.165 3 |
| gaus4 | 10-6-1 | 0.816 0 | 0.013 9 | 0.730 5 | 0.016 7 | 1.717 4 |
| db4 | 10-10-1 | 0.811 4 | 0.014 0 | 0.746 5 | 0.015 5 | 2.029 4 |
| sym7 | 10-8-1 | 0.818 3 | 0.014 2 | 0.734 7 | 0.015 8 | 1.860 4 |
| bior3.3 | 10-8-1 | 0.822 3 | 0.014 0 | 0.823 6 | 0.013 2 | 2.304 3 |
| rbio3.7 | 10-11-1 | 0.796 6 | 0.014 9 | 0.723 3 | 0.016 2 | 1.978 8 |
Publisher’s Note: MDPI stays neutral with regard to jurisdictional claims in published maps and institutional affiliations. |
© 2022 by the authors. Licensee MDPI, Basel, Switzerland. This article is an open access article distributed under the terms and conditions of the Creative Commons Attribution (CC BY) license (https://creativecommons.org/licenses/by/4.0/).
Share and Cite
Wen, S.; Shi, N.; Lu, J.; Gao, Q.; Hu, W.; Cao, Z.; Lu, J.; Yang, H.; Gao, Z. Continuous Wavelet Transform and Back Propagation Neural Network for Condition Monitoring Chlorophyll Fluorescence Parameters Fv/Fm of Rice Leaves. Agriculture 2022, 12, 1197. https://doi.org/10.3390/agriculture12081197
Wen S, Shi N, Lu J, Gao Q, Hu W, Cao Z, Lu J, Yang H, Gao Z. Continuous Wavelet Transform and Back Propagation Neural Network for Condition Monitoring Chlorophyll Fluorescence Parameters Fv/Fm of Rice Leaves. Agriculture. 2022; 12(8):1197. https://doi.org/10.3390/agriculture12081197
Chicago/Turabian StyleWen, Shuangya, Nan Shi, Junwei Lu, Qianwen Gao, Wenrui Hu, Zhengdengyuan Cao, Jianxiang Lu, Huibin Yang, and Zhiqiang Gao. 2022. "Continuous Wavelet Transform and Back Propagation Neural Network for Condition Monitoring Chlorophyll Fluorescence Parameters Fv/Fm of Rice Leaves" Agriculture 12, no. 8: 1197. https://doi.org/10.3390/agriculture12081197
APA StyleWen, S., Shi, N., Lu, J., Gao, Q., Hu, W., Cao, Z., Lu, J., Yang, H., & Gao, Z. (2022). Continuous Wavelet Transform and Back Propagation Neural Network for Condition Monitoring Chlorophyll Fluorescence Parameters Fv/Fm of Rice Leaves. Agriculture, 12(8), 1197. https://doi.org/10.3390/agriculture12081197

