GrapeNet: A Lightweight Convolutional Neural Network Model for Identification of Grape Leaf Diseases
Abstract
:1. Introduction
- (1)
- Proposing a lightweight CNN model, named GrapeNet, based on residual feature fusion block (RFFB) modules and convolutional block attention modules (CBAMs) [22], for the identification of different symptom stages for specific grape diseases.
- (2)
- Implementing ablation experiments and visualization of results of the model to verify the effectiveness of the RFFB modules and the CBAM modules, respectively.
- (3)
- Comparing GrapeNet with other classical network models to verify the performance advantages of GrapeNet.
2. Materials and Methods
2.1. Image Acquisition
2.2. Image Preprocessing
2.3. GrapeNet Model Framework
2.4. RFFB Module
2.5. CBAM Module
2.6. Evaluation Indexes
2.7. Experimental Environment and Hyperparameter Setting
3. Results
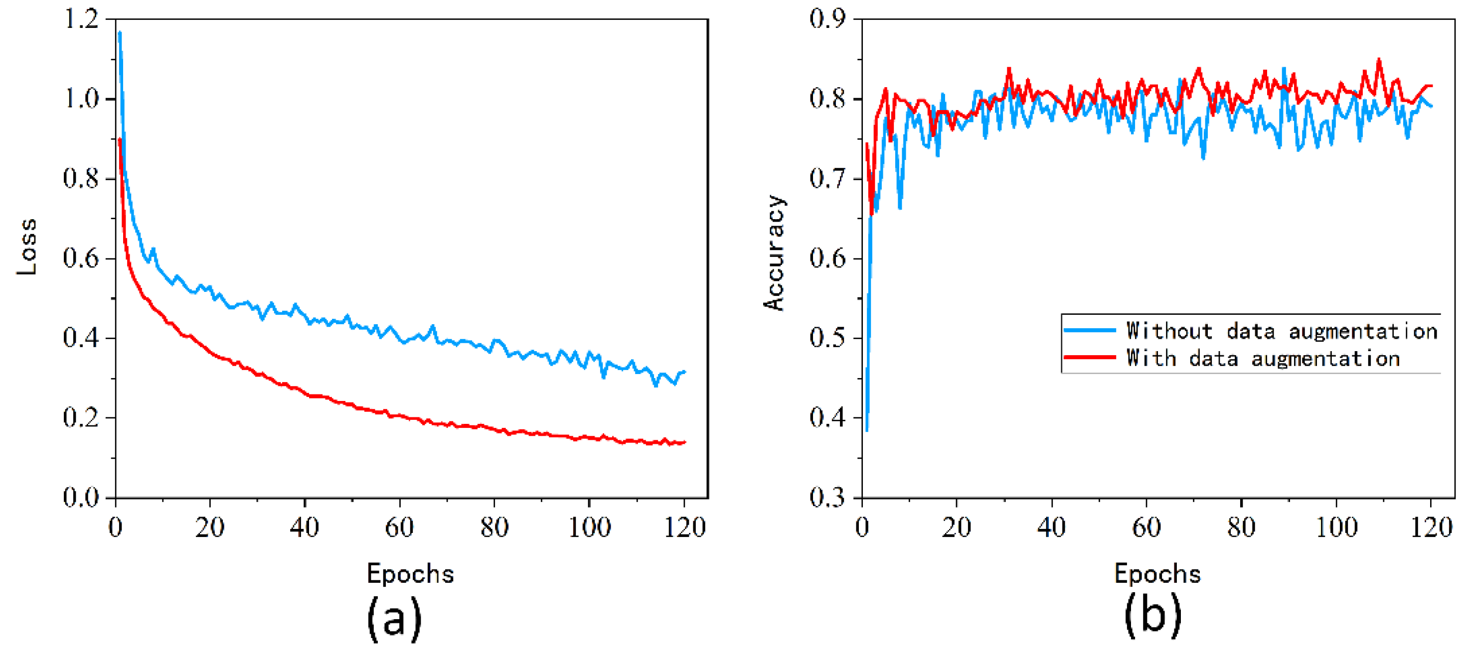
3.1. The Impact of Data Augmentation on the Model
3.2. Ablation Experiment
3.3. Visual Comparison of Output Feature Maps
3.4. Comparison of Results of Different Attention Mechanisms
3.5. Comparison of Identification Results with Classical CNN Models
4. Discussion
5. Conclusions
Author Contributions
Funding
Institutional Review Board Statement
Informed Consent Statement
Data Availability Statement
Conflicts of Interest
References
- Peng, Y.; Zhao, S.Y.; Liu, J.Z. Fused Deep Features-Based Grape Varieties Identification Using Support Vector Machine. Agriculture 2021, 11, 869. [Google Scholar] [CrossRef]
- Ji, M.; Zhang, L.; Wu, Q. Automatic grape leaf diseases identification via UnitedModel based on multiple convolutional neural networks. Inf. Process. Agric. 2020, 7, 418–426. [Google Scholar] [CrossRef]
- Singh, V.; Misra, A. Detection of plant leaf diseases using image segmentation and soft computing techniques. Inf. Process. Agric. 2017, 4, 41–49. [Google Scholar] [CrossRef] [Green Version]
- Zhang, Z.; Khanal, S.; Raudenbush, A.; Tilmon, K.; Stewart, C. Assessing the efficacy of machine learning techniques to characterize soybean defoliation from unmanned aerial vehicles. Comput. Electron. Agric. 2022, 193, 106682. [Google Scholar] [CrossRef]
- Jaisakthi, S.; Mirunalini, P.; Thenmozhi, D. Grape leaf disease identification using machine learning techniques. In Proceedings of the 2019 International Conference on Computational Intelligence in Data Science (ICCIDS), Vatsala, Australia, 21–23 February 2019; pp. 1–6. [Google Scholar]
- Majumdar, D.; Kole, D.K.; Chakraborty, A.; Majumder, D.D. An integrated digital image analysis system for detection, recognition and diagnosis of disease in wheat leaves. In Proceedings of the Third International Symposium on Women in Computing and Informatics, Kerala, India, 10–13 August 2015; pp. 400–405. [Google Scholar]
- Guru, D.; Mallikarjuna, P.; Manjunath, S. Segmentation and classification of tobacco seedling diseases. In Proceedings of the Fourth Annual ACM Bangalore Conference, Bangalore, India, 25–26 March 2011; pp. 1–5. [Google Scholar]
- Rumpf, T.; Mahlein, A.K.; Steiner, U.; Oerke, E.C.; Dehne, H.W.; Plümer, L. Early detection and classification of plant diseases with support vector machines based on hyperspectral reflectance. Comput. Electron. Agric. 2010, 74, 91–99. [Google Scholar] [CrossRef]
- Padol, P.B.; Yadav, A.A. SVM classifier based grape leaf disease detection. In Proceedings of the 2016 Conference on Advances in Signal Processing (CASP), Pune, India, 9–11 June 2016; pp. 175–179. [Google Scholar]
- Martins, P.; Silva, J.S.; Bernardino, A. Multispectral Facial Recognition in the Wild. Sensors 2022, 22, 4219. [Google Scholar] [CrossRef]
- Khan, I.R.; Ali, S.T.A.; Siddiq, A.; Khan, M.M.; Ilyas, M.U.; Alshomrani, S.; Rahardja, S. Automatic License Plate Recognition in Real-World Traffic Videos Captured in Unconstrained Environment by a Mobile Camera. Electronics 2022, 11, 1408. [Google Scholar] [CrossRef]
- Orchi, H.; Sadik, M.; Khaldoun, M. On Using Artificial Intelligence and the Internet of Things for Crop Disease Detection: A Contemporary Survey. Agriculture 2022, 12, 9. [Google Scholar] [CrossRef]
- Liu, B.; Ding, Z.; Tian, L.; He, D.; Li, S.; Wang, H. Grape leaf disease identification using improved deep convolutional neural networks. Front. Plant Sci. 2020, 11, 1082. [Google Scholar] [CrossRef]
- Tang, Z.; Yang, J.; Li, Z.; Qi, F. Grape disease image classification based on lightweight convolution neural networks and channelwise attention. Comput. Electron. Agric. 2020, 178, 105735. [Google Scholar] [CrossRef]
- Mohanty, S.P.; Hughes, D.P.; Salathé, M. Using Deep Learning for Image-Based Plant Disease Detection. Front. Plant Sci. 2016, 7, 1419. [Google Scholar] [CrossRef] [PubMed] [Green Version]
- Pandian, J.A.; Kanchanadevi, K.; Kumar, V.D.; Jasińska, E.; Goňo, R.; Leonowicz, Z.; Jasiński, M. A Five Convolutional Layer Deep Convolutional Neural Network for Plant Leaf Disease Detection. Electronics 2022, 11, 1266. [Google Scholar] [CrossRef]
- Chao, X.; Sun, G.; Zhao, H.; Li, M.; He, D. Identification of Apple Tree Leaf Diseases Based on Deep Learning Models. Symmetry 2020, 12, 1065. [Google Scholar] [CrossRef]
- Gao, R.; Wang, R.; Feng, L.; Li, Q.; Wu, H. Dual-branch, efficient, channel attention-based crop disease identification. Comput. Electron. Agri. 2021, 190, 106410. [Google Scholar] [CrossRef]
- Chen, J.; Zhang, D.; Suzauddola, M.; Zeb, A. Identifying crop diseases using attention embedded MobileNet-V2 model. Appl. Soft Comput. 2021, 113, 107901. [Google Scholar] [CrossRef]
- Zeng, W.; Li, H.; Hu, G.; Liang, D. Lightweight dense-scale network (LDSNet) for corn leaf disease identification. Comput. Electron. Agri. 2022, 197, 106943. [Google Scholar] [CrossRef]
- Kamal, K.; Yin, Z.; Wu, M.; Wu, Z. Depthwise separable convolution architectures for plant disease classification. Comput. Electron. Agric. 2019, 165, 104948. [Google Scholar]
- Woo, S.; Park, J.; Lee, J.Y.; Kweon, I.S. Cbam: Convolutional block attention module. In Proceedings of the European Conference on Computer Vision (ECCV), Munich, Germany, 8–14 September 2018; pp. 3–19. [Google Scholar]
- He, K.; Zhang, X.; Ren, S.; Sun, J. Deep residual learning for image recognition. In Proceedings of the IEEE Conference on Computer Vision and Pattern Recognition (CVPR), Las Vegas, NV, USA, 26 June–1 July 2016; pp. 770–778. [Google Scholar]
- Kingma, D.P.; Ba, J. Adam: A method for stochastic optimization. arXiv 2014, arXiv:1412.6980. [Google Scholar]
- Hu, J.; Shen, L.; Sun, G. Squeeze-and-excitation networks. In Proceedings of the IEEE Conference on Computer Vision and Pattern Recognition (CVPR), Salt Lake City, UT, USA, 18–22 June 2018; pp. 7132–7141. [Google Scholar]
- Hou, Q.; Zhou, D.; Feng, J. Coordinate attention for efficient mobile network design. In Proceedings of the 2021 IEEE/CVF Conference on Computer Vision and Pattern Recognition (CVPR), Nashville, TN, USA, 20–25 June 2021; pp. 13708–13717. [Google Scholar]
- Selvaraju, R.R.; Cogswell, M.; Das, A.; Vedantam, R.; Parikh, D.; Batra, D. Grad-cam: Visual explanations from deep networks via gradient-based localization. In Proceedings of the IEEE International Conference on Computer Vision (ICCV), Venice, Italy, 22–29 October 2017; pp. 618–626. [Google Scholar]
- Szegedy, C.; Liu, W.; Jia, Y.; Sermanet, P.; Reed, S.; Anguelov, D.; Erhan, D.; Vanhoucke, V.; Rabinovich, A. Going deeper with convolutions. In Proceedings of the IEEE Conference on Computer Vision and Pattern Recognition (CVPR), Boston, MA, USA, 7–12 June 2015; pp. 1–9. [Google Scholar]
- Simonyan, K.; Zisserman, A. Very deep convolutional networks for large-scale image recognition. arXiv 2014, arXiv:1409.1556. [Google Scholar]
- Huang, G.; Liu, Z.; Van Der Maaten, L.; Weinberger, K.Q. Densely connected convolutional networks. In Proceedings of the IEEE Conference on Computer Vision and Pattern Recognition, Honolulu, HI, USA, 21–26 July 2017; pp. 4700–4708. [Google Scholar]
- Sandler, M.; Howard, A.; Zhu, M.; Zhmoginov, A.; Chen, L.-C. Mobilenetv2: Inverted residuals and linear bottlenecks. In Proceedings of the IEEE Conference on Computer Vision and Pattern Recognition, Salt Lake City, UT, USA, 18–23 June 2018; pp. 4510–4520. [Google Scholar]
- Howard, A.; Sandler, M.; Chu, G.; Chen, L.-C.; Chen, B.; Tan, M.; Wang, W.; Zhu, Y.; Pang, R.; Vasudevan, V.; et al. Searching for MobileNetV3. In Proceedings of the 2019 IEEE/CVF International Conference on Computer Vision (ICCV 2019), Seoul, Korea, 27 October–2 November 2019; pp. 1314–1324. [Google Scholar]
- Ma, N.; Zhang, X.; Zheng, H.-T.; Sun, J. Shufflenet v2: Practical guidelines for efficient cnn architecture design. In Proceedings of the European Conference on Computer Vision (ECCV), Munich, Germany, 8–14 September 2018; pp. 116–131. [Google Scholar]
- Tan, M.; Le, Q.V. Efficientnetv2: Smaller models and faster training. arXiv 2021, arXiv:2104.00298. [Google Scholar]
- Zhao, S.; Peng, Y.; Liu, J.; Wu, S. Tomato Leaf Disease Diagnosis Based on Improved Convolution Neural Network by Attention Module. Agriculture 2021, 11, 651. [Google Scholar] [CrossRef]
- Bao, W.; Yang, X.; Liang, D.; Hu, G.; Yang, X. Lightweight convolutional neural network model for field wheat ear disease identification. Comput. Electron. Agric. 2021, 189, 106367. [Google Scholar] [CrossRef]













| Sample Distribution before Augmentation | Sample Distribution after Augmentation | |||||
|---|---|---|---|---|---|---|
| Class | Training set | Validation set | Test set | Training set | Validation set | Test set |
| Grape healthy leaf (GH) | 265 | 29 | 42 | 2650 | 29 | 42 |
| Grape black rot fungus with general symptoms (BRF_G) | 343 | 38 | 54 | 2058 | 38 | 54 |
| Grape black rot fungus with serious symptoms (BRF_S) | 416 | 46 | 66 | 2496 | 46 | 66 |
| Grape black measles fungus with general symptoms (BMF_G) | 453 | 50 | 74 | 2718 | 50 | 74 |
| Grape black measles fungus with serious symptoms (BMF_S) | 378 | 41 | 59 | 2268 | 41 | 59 |
| Grape leaf blight fungus with general symptoms (LBF_G) | 55 | 6 | 9 | 1980 | 6 | 9 |
| Grape leaf blight fungus with serious symptoms (LBF_S) | 567 | 63 | 90 | 3402 | 63 | 90 |
| Total | 2477 | 273 | 394 | 17,572 | 273 | 394 |
| Name | Parameter |
|---|---|
| CPU | Intel(R) Xeon(R) W-2235 |
| GPU | NVIDIA GeForce RTX 2080Ti |
| System | Windows 10 |
| Programming language | Python 3.8.8 |
| Deep learning framework | Pytorch 1.6.0 |
| RFFB | CBAM | Accuracy | Recall | Precision | F1-Score | Param (M) |
|---|---|---|---|---|---|---|
| - | - | 0.7944 | 0.7569 | 0.7372 | 0.7413 | 2.05 |
| √ | - | 0.8249 | 0.7738 | 0.7878 | 0.7756 | 2.14 |
| - | √ | 0.8223 | 0.7658 | 0.7884 | 0.7689 | 2.05 |
| √ | √ | 0.8629 | 0.7776 | 0.8843 | 0.7905 | 2.15 |
| Attention Mechanism | Accuracy | Recall | Precision | F1-Score | Param (M) |
|---|---|---|---|---|---|
| SE [25] | 0.8553 | 0.8012 | 0.8111 | 0.8053 | 2.15 |
| CA [26] | 0.8553 | 0.8206 | 0.8267 | 0.8217 | 2.15 |
| CBAM | 0.8629 | 0.7776 | 0.8843 | 0.7905 | 2.15 |
| Model | Accuracy | Recall | Precision | F1-Score | Param (M) | Training Time (mins) |
|---|---|---|---|---|---|---|
| GoogLeNet [28] | 0.8299 | 0.7521 | 0.8069 | 0.7601 | 5.98 | 107 |
| Vgg16 [29] | 0.8401 | 0.7761 | 0.7817 | 0.7777 | 134.29 | 254 |
| ResNet34 [23] | 0.8274 | 0.7617 | 0.77 | 0.762 | 21.29 | 108 |
| DenseNet121 [30] | 0.8477 | 0.7845 | 0.8357 | 0.7972 | 6.96 | 206 |
| MobileNetV2 [31] | 0.8096 | 0.7327 | 0.7572 | 0.74 | 2.23 | 98 |
| MobileNetV3_large [32] | 0.8274 | 0.7479 | 0.7818 | 0.7569 | 4.21 | 84 |
| ShuffleNetV2_×1.0 [33] | 0.8096 | 0.7455 | 0.7472 | 0.7424 | 1.26 | 64 |
| EfficientNetV2_s [34] | 0.8376 | 0.7738 | 0.8241 | 0.7865 | 20.19 | 290 |
| GrapeNet | 0.8629 | 0.7776 | 0.8843 | 0.7905 | 2.15 | 101 |
Publisher’s Note: MDPI stays neutral with regard to jurisdictional claims in published maps and institutional affiliations. |
© 2022 by the authors. Licensee MDPI, Basel, Switzerland. This article is an open access article distributed under the terms and conditions of the Creative Commons Attribution (CC BY) license (https://creativecommons.org/licenses/by/4.0/).
Share and Cite
Lin, J.; Chen, X.; Pan, R.; Cao, T.; Cai, J.; Chen, Y.; Peng, X.; Cernava, T.; Zhang, X. GrapeNet: A Lightweight Convolutional Neural Network Model for Identification of Grape Leaf Diseases. Agriculture 2022, 12, 887. https://doi.org/10.3390/agriculture12060887
Lin J, Chen X, Pan R, Cao T, Cai J, Chen Y, Peng X, Cernava T, Zhang X. GrapeNet: A Lightweight Convolutional Neural Network Model for Identification of Grape Leaf Diseases. Agriculture. 2022; 12(6):887. https://doi.org/10.3390/agriculture12060887
Chicago/Turabian StyleLin, Jianwu, Xiaoyulong Chen, Renyong Pan, Tengbao Cao, Jitong Cai, Yang Chen, Xishun Peng, Tomislav Cernava, and Xin Zhang. 2022. "GrapeNet: A Lightweight Convolutional Neural Network Model for Identification of Grape Leaf Diseases" Agriculture 12, no. 6: 887. https://doi.org/10.3390/agriculture12060887
APA StyleLin, J., Chen, X., Pan, R., Cao, T., Cai, J., Chen, Y., Peng, X., Cernava, T., & Zhang, X. (2022). GrapeNet: A Lightweight Convolutional Neural Network Model for Identification of Grape Leaf Diseases. Agriculture, 12(6), 887. https://doi.org/10.3390/agriculture12060887

