Technical Efficiency of Maize Production and Its Influencing Factors in the World’s Largest Groundwater Drop Funnel Area, China
Abstract
:1. Introduction
2. Materials and Methods
2.1. Study Area and Sampling Procedure
2.2. Variable Design and Econometric Model
2.2.1. Variable Design
2.2.2. Econometric Model
3. Results and Discussion
3.1. Descriptive Statistics
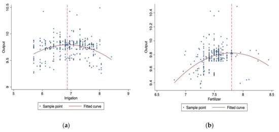
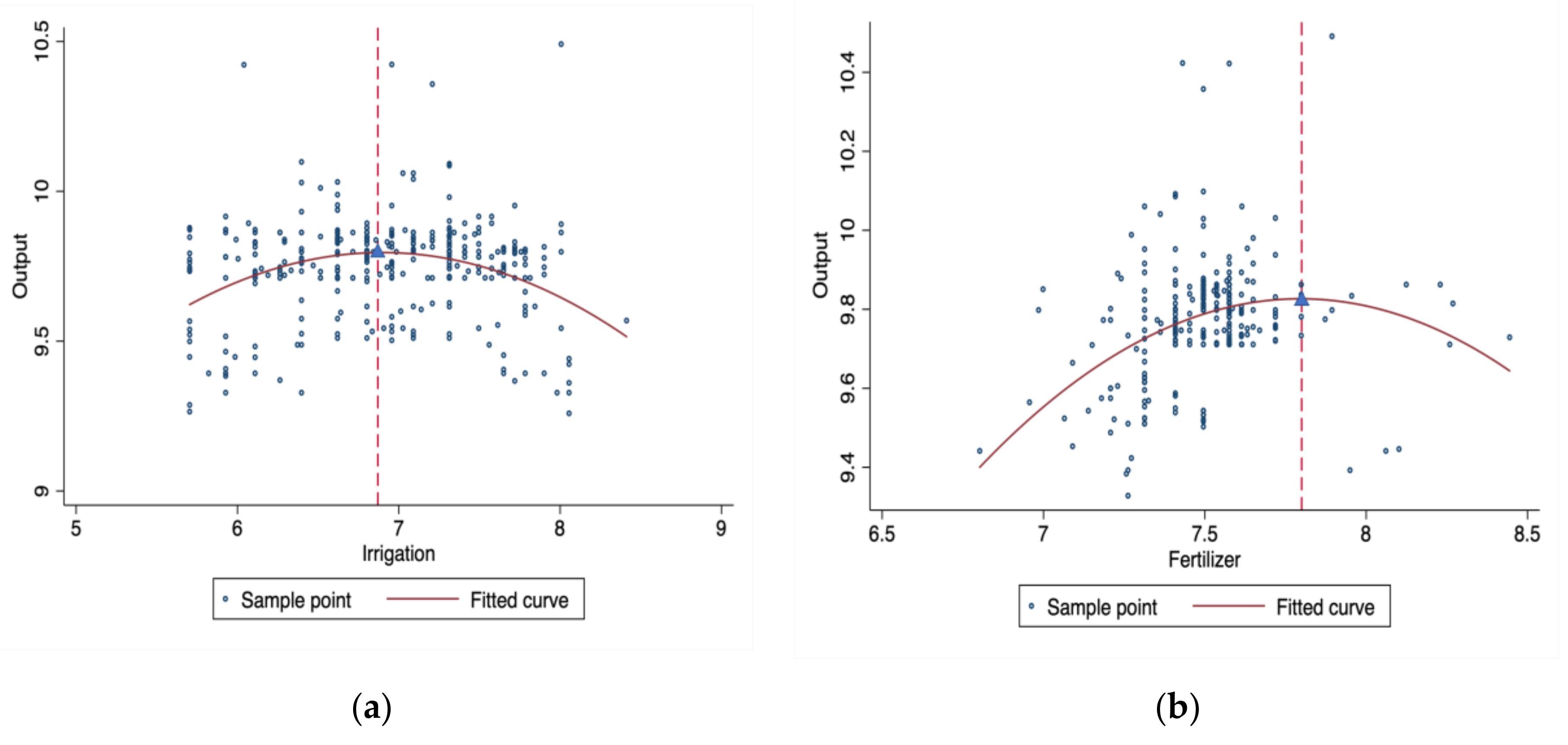
3.2. Stochastic Frontier Model
3.3. Non-Efficiency Influencing Factors
3.4. Robustness Checks
4. Conclusions and Policy Implications
Author Contributions
Funding
Institutional Review Board Statement
Informed Consent Statement
Data Availability Statement
Acknowledgments
Conflicts of Interest
Appendix A

References
- Mukhopadhyay, K.; Thomassin, P.; Zhang, J.Y. Food security in China at 2050: A global CGE exercise. J. Econ. Struct. 2018, 7, 1. [Google Scholar] [CrossRef]
- Torres, A.M.; Ramirez, M.L.; Chulze, S.N. Artificial Systems for Molecular Recognition of Mycotoxins. In Mycotoxins in Food, Feed and Bioweapons; Rai, M., Varma, A., Eds.; Springer: Berlin, Germany, 2009; pp. 3–20. [Google Scholar] [CrossRef]
- Luo, Y.; Huang, D.; Miao, H.M.; Wu, L.P.; Zhu, J.F. Impact of advanced storage facilities on households’ maize storage losses and food security in China. Environ. Dev. Sustain. 2021, 24, 221–237. [Google Scholar] [CrossRef]
- National Bureau of Statistics of China. Available online: http://www.stats.gov.cn/tjsj/zxfb/202102/t20210227_1814154.html (accessed on 28 February 2021).
- China Meteorological Administration. Available online: http://www.cma.gov.cn/2011xzt/2018zt/209180108/20180107/201801/t20180108_459692.html (accessed on 8 January 2018).
- Zhao, P.F.; Cao, G.X.; Zhao, Y.; Zhang, H.Y.; Chen, X.P.; Li, X.L.; Cui, Z.L. Training and organization programs increases maize yield and nitrogen-use efficiency in smallholder agriculture in China. Agron. J. 2016, 108, 1944–1950. [Google Scholar] [CrossRef]
- Liang, H.Y.; Zhang, X.L.; Han, J.; Liao, Y.C.; Liu, Y.; Wen, X.X. Integrated n management improves nitrogen use efficiency and economics in a winter wheat–summer maize multiple-cropping system. Nutr. Cycl. Agroecosystems 2019, 115, 313–329. [Google Scholar] [CrossRef]
- Lobell, D.B.; Roberts, M.J.; Schlenker, W.; Braun, N.; Little, B.B.; Rejesus, R.M.; Hammer, G.L. Greater sensitivity to drought accompanies maize yield increase in the U.S. Midwest. Science 2014, 344, 516–519. [Google Scholar] [CrossRef]
- Grasby, S. World water resources at the beginning of the 21st century. Geosci. Can. 2004, 31, 119–129. [Google Scholar]
- Fraiture, C.D.; Wichelns, D. Satisfying future water demands for agriculture. Agric. Water Manag. 2010, 97, 502–511. [Google Scholar] [CrossRef]
- Cao, X.C.; Shu, R.; Chen, D.; Guo, X.P.; Wang, W.G. Temporal–spatial distributions of water use and productivity of maize in China. J. Agric. Sci. 2018, 156, 528–536. [Google Scholar] [CrossRef]
- Zheng, H.; Shao, R.; Xue, Y.; Ying, H.; Yin, Y.; Cui, Z.; Yang, Q. Water productivity of irrigated maize production systems in Northern China: A meta-analysis. Agric. Water Manag. 2020, 234, 106119. [Google Scholar] [CrossRef]
- Xie, H. Farmers’ Response to Winter Wheat Fallow Policy in the Groundwater Funnel Area of China: Case Study of the Hengshui Area, Hebei Province. In Proceedings of the International Association of Agricultural Economists (IAAE 2018), Vancouver, Canada, 28 July–2 August 2018; p. 1249. [Google Scholar] [CrossRef]
- Wang, D.L.; Zhang, G.H. Groundwater ensure capacity spatial-temporal characteristics and mechanism in main grain producing areas of north China plain under different climatic conditions. Acta Geosci. Sin. 2017, 38, 47–50. [Google Scholar] [CrossRef]
- Lobell, D.B.; Ortiz-Monasterio, J.I.; Addams, C.L.; Asner, G.P. Soil, climate, and management impacts on regional wheat productivity in Mexico from remote sensing. Agric. For. Meteorol. 2002, 114, 31–43. [Google Scholar] [CrossRef]
- Vicente, J.R. Economic efficiency of agricultural production in Brazil. Rev. Econ. Sociol. Rural-RESR 2004, 42, 201–222. [Google Scholar] [CrossRef] [Green Version]
- Van Ittersum, M.K.; Cassman, K.G.; Grassini, P.; Wolf, J.; Tittonell, P.; Hochman, Z. Yield gap analysis with local to global relevance-A review. Field Crop. Res. 2013, 143, 4–17. [Google Scholar] [CrossRef] [Green Version]
- Subedi, K.D.; Ma, B.L. Assessment of some major yield-limiting factors on maize production in a humid temperate environment. Field Crop. Res. 2009, 110, 21–26. [Google Scholar] [CrossRef]
- Huang, F.M.; Luh, Y. The economic value of education in agricultural production: A switching regression analysis of selected East-Asian countries. In Proceedings of the International Association of Agricultural Economists (IAAE 2009), Beijing, China, 16–22 August 2009; pp. 1–19. [Google Scholar]
- Paltasingh, K.R.; Goyari, P. Impact of farmer education on farm productivity under varying technologies: Case of paddy growers in India. Agric. Food Econ. 2018, 6, 7. [Google Scholar] [CrossRef] [Green Version]
- Guo, G.C.; Wen, Q.Y.; Zhu, J.J. The impact of aging agricultural labor population on farmland output: From the perspective of farmer preferences. Math. Probl. Eng. 2015, 20, 730618. [Google Scholar] [CrossRef] [Green Version]
- Ozdemir, D. The impact of climate change on agricultural productivity in Asian countries: A heterogeneous panel data approach. Environ. Sci. Pollut. Res. 2021, 29, 8205–8217. [Google Scholar] [CrossRef]
- Raza, A.; Razzaq, A.; Mehmood, S.; Zou, X.L.; Zhang, X.K.; Lv, Y.; Xu, J.S. Impact of climate change on crops adaptation and strategies to tackle its outcome: A review. Plants 2019, 8, 34. [Google Scholar] [CrossRef] [Green Version]
- Ibrahim, M.M.; Frargy, M.M.E.; Hussainey, K. The impact of corporate social responsibility as a marketing investment on firms’ performance: A risk-oriented approach. J. Risk Financ. Manag. 2021, 14, 515. [Google Scholar] [CrossRef]
- Regaieg, B.; Abidi, E. Islamic banks in the time of the credit subprime: A study of the x-efficiency by the SFA method. Int. J. Innov. Appl. Stud. 2015, 10, 45–59. [Google Scholar]
- Galooyek, M.J. Government Efficiency and Economic Development in Selected Countries. Ph.D. Thesis, University Putra Malaysia, Negeri Selangor, Malaysia, 2016. [Google Scholar]
- Liu, J.; Dong, C.; Liu, S.; Rahman, S.; Sriboonchitta, S. Sources of Total-Factor Productivity and Efficiency Changes in China’s Agriculture. Agriculture 2020, 10, 279. [Google Scholar] [CrossRef]
- Colli, T.J.; Rao, D.S.P.; Donnell, C.J.O.; Battese, G.E.; Wang, Z.Y. An Introduction to Efficiency and Productivity Analysis; Springer: Berlin, Germany, 2006; pp. 241–261. [Google Scholar]
- Wang, S.L.; Huang, J.; Wang, X.; Tuan, F. Are China’s regional agricultural productivities converging: How and why? Food Policy 2019, 86, 101727. [Google Scholar] [CrossRef]
- Gong, B.l. Agricultural productivity convergence in China. China Econ. Rev. 2020, 60, 101423. [Google Scholar] [CrossRef]
- Liu, J.X.; Wang, M.J.; Yang, L.; Rahman, S.; Sriboonchitta, S. Agricultural Productivity Growth and Its Determinants in South and Southeast Asian Countries. Sustainability 2020, 12, 4981. [Google Scholar] [CrossRef]
- Liu, J.X.; Wang, M.J.; Ma, J.; Rahman, S.; Sriboonchitta, S. A simultaneous stochastic frontier model with dependent error components and dependent composite errors: An application to Chinese banking industry. Mathematics 2020, 8, 238. [Google Scholar] [CrossRef] [Green Version]
- Ferreira, M.D.P.; Féres, J.G. Farm size and land use efficiency in the Brazilian amazon. Land Use Policy 2020, 99, 104901. [Google Scholar] [CrossRef]
- Chen, J.D.; Wu, Y.Y.; Song, M.L.; Zhu, Z.H. Stochastic frontier analysis of productive efficiency in China’s forestry industry. J. For. Econ. 2017, 28, 87–95. [Google Scholar] [CrossRef]
- Huang, Y.J.; Huang, X.K.; Xie, M.N.; Cheng, W.; Shu, Q. A study on the effects of regional differences on agricultural water resource utilization efficiency using super-efficiency SBM model. Sci. Rep. 2021, 11, 9953. [Google Scholar] [CrossRef]
- Liu, H.Y.; Guo, H.; Yang, L.J.; Wu, L.H.; Li, F.L.; Li, S.Y.; Ni, P.; Liang, X. Occurrence and formation of high fluoride groundwater in the Hengshui area of the North China Plain. Environ. Earth Sci. 2015, 74, 2329–2340. [Google Scholar] [CrossRef]
- Obeng-Akrofi, G.; Akowuah, J.O.; Maier, D.; Addo, A. Techno-economic analysis of a crossflow column dryer for maize drying in ghana. Agriculture 2021, 11, 568. [Google Scholar] [CrossRef]
- Kutlu, L. Battese-coelli estimator with endogenous regressors. Econ. Lett. 2010, 109, 79–81. [Google Scholar] [CrossRef] [Green Version]
- Liu, S.C.; Xiao, W.; Li, L.L.; Ye, Y.M.; Song, X.L. Urban land use efficiency and improvement potential in China: A stochastic frontier analysis. Land Use Policy 2020, 99, 105046. [Google Scholar] [CrossRef]
- Yu, X.M.; Schweikert, K.; Doluschitz, R. Investigating the environmental Kuznets curve between economic growth and chemical fertilizer surpluses in China: A provincial panel cointegration approach. Environ. Sci. Pollut. Res. 2022, 29, 18472–18494. [Google Scholar] [CrossRef] [PubMed]
- Wu, Q.H.; Guan, X.L.; Zhang, J.; Xu, Y. The role of rural infrastructure in reducing production costs and promoting resource conserving agriculture. Int. J. Environ. Res. Public Health 2019, 16, 3493. [Google Scholar] [CrossRef] [PubMed] [Green Version]
- Mcfadden, J.R.; Rosburg, A.; Njuki, E. Information inputs and technical efficiency in Midwest corn production: Evidence from farmers’ use of yield and soil maps. Am. J. Agric. Econ. 2021, 104, 589–612. [Google Scholar] [CrossRef]
- Wang, H.J.; Schmidt, P. One-step and two-step estimation of the effects of exogenous variables on technical efficiency levels. J. Product. Anal. 2002, 18, 129–144. [Google Scholar] [CrossRef]
- Chen, S.; Gong, B. Response and adaptation of agriculture to climate change: Evidence from China. J. Dev. Econ. 2020, 148, 102557. [Google Scholar] [CrossRef]
- Agricultural Irrigation Water Quota and Agricultural Water Quota Standard of Hebei Province; DB13T1161-2016; Bureau of Quality and Technical Supervision: Shijiazhuang, China, 2016.
- National Development and Reform Commission. Compilation of Cost-Benefit Data of Agricultural Products in China; China Statistics Press: Beijing, China, 2020; p. 26. [Google Scholar]
- Yang, Y.H.; Watanabe, M.; Zhang, X.Y.; Hao, X.H.; Zhang, J.Q. Estimation of groundwater use by crop production simulated by DSSAT-wheat and DSSAT-maize models in the piedmont region of the North China Plain. Hydrol. Process. 2006, 20, 2787–2802. [Google Scholar] [CrossRef]
- Qu, X.; Kojima, D.; Nishihara, Y.; Wu, L.; Ando, M. A study of rice harvest losses in China: Do mechanization and farming scale matter? Jpn. J. Agric. Econ. 2021, 23, 83–88. [Google Scholar] [CrossRef]
- Mathur, S.; Agnihotri, R.; Sharma, M.P.; Reddy, V.R.; Jajoo, A. Effect of High-Temperature Stress on Plant Physiological Traits and Mycorrhizal Symbiosis in Maize Plants. J. Fungi 2021, 7, 867. [Google Scholar] [CrossRef]
- Gao, Z.; Feng, H.Y.; Liang, X.G.; Lin, S.; Zhou, S.L. Adjusting the sowing date of spring maize did not mitigate against heat stress in the north China plain. Agric. For. Meteorol. 2021, 298–299, 108274. [Google Scholar] [CrossRef]
- Tao, F.L.; Zhang, S.; Zhang, Z.; Rötter, R.P. Maize growing duration was prolonged across China in the past three decades under the combined effects of temperature, agronomic management, and cultivar shift. Glob. Chang. Biol. 2014, 20, 3686–3699. [Google Scholar] [CrossRef] [PubMed]
- Lv, S.; Yang, X.G.; Lin, X.M.; Liu, Z.J.; Zhao, J.; Li, K.N.; Mu, C.Y.; Chen, X.C.; Chen, F.J.; Mi, G.H. Yield gap simulations using ten maize cultivars commonly planted in Northeast China during the past five decades. Agric. For. Meteorol. 2015, 205, 84208983. [Google Scholar] [CrossRef]
- Zhao, J.; Yang, X.G.; Dai, S.W.; Lv, S.; Wang, J. Increased utilization of lengthening growing season and warming temperatures by adjusting sowing dates and cultivar selection for spring maize in Northeast China. Eur. J. Agron. 2015, 67, 12–19. [Google Scholar] [CrossRef]
- Pandey, M.; Dwivedi, P.K.; Mishra, R.P.; Srivastava, M. Effect of atmospheric temperature, relative humidity and rainfall on disease development of alternaria alternata causing alternaria leaf spot and fruit rot of chilli under natural conditions. Int. J. Curr. Microbiol. Appl. Sci. 2019, 8, 2860–2864. [Google Scholar] [CrossRef]
- Mulwa, R.; Emrouznejad, A.; Muhammad, L. Economic efficiency of smallholder maize producers in western Kenya: A DEA meta-frontier analysis. Int. J. Oper. Res. 2009, 4, 250–267. [Google Scholar] [CrossRef]
- Toma, P.; Miglietta, P.P.; Zurlini, G.; Valente, D.; Petrosillo, I. A non-parametric bootstrap-data envelopment analysis approach for environmental policy planning and management of agricultural efficiency in EU countries. Ecol. Indic. 2017, 83, 132–143. [Google Scholar] [CrossRef]
- Hayami, Y.; Ruttan, V.W. Agricultural Development: An International Perspective; Johns Hopkins University Press: Baltimore, MD, USA, 1971; pp. 4–294. [Google Scholar]
- Katharakis, G.; Katharaki, M.; Katostaras, T. SFA vs. DEA for measuring healthcare efficiency: A systematic review. Int. J. Stat. Med. Res. 2013, 2, 152–166. [Google Scholar] [CrossRef] [Green Version]



| Code | Variable | Variable Definition | N = 381 | ||
|---|---|---|---|---|---|
| Unit | Mean | SD | |||
| Opt | Output | The output value of maize, maize output = yield × price | RMB·ha−1 | 16,921.40 | 3558.96 |
| Irr | Irrigation cost | Electricity bills that need to be paid for irrigating maize | RMB·ha−1 | 1198.93 | 692.74 |
| Fer | Fertilizer cost | The material costs such as farm manure and nutrients | RMB·ha−1 | 1841.80 | 373.03 |
| Pes | Pesticide cost | Insecticides and herbicides used to control pests and weeds | RMB·ha−1 | 711.22 | 414.41 |
| Mac | Machinery cost | Costs of renting machinery and fuel in the production process | RMB·ha−1 | 2827.23 | 480.73 |
| Lab | Labor cost | The costs of farmers’ own labor force and hired force | RMB·ha−1 | 1403.55 | 314.84 |
| Num | Farmer number | The number of family members engaged in maize production | Pcs·household−1 | 2.22 | 0.88 |
| Pla | Planted area | Maize planted area per household | ha−1 | 1.21 | 1.82 |
| Edu | Education | Farmer’s education level | years | 8.73 | 2.08 |
| Age | Age | Farmer’s age | years | 59.45 | 8.91 |
| Tem | Temperature | The annual average temperature of a county | °C | 13.96 | 0.27 |
| Pre | Precipitation | Average annual precipitation of a county | mm | 506.25 | 33.44 |
| Hum | Humidity | The annual average humidity of a county | % | 60.64 | 0.66 |
| Variables | Classification | Obs. | Proportion |
|---|---|---|---|
| Sex | Male | 307 | 80.58% |
| Female | 74 | 19.42% | |
| Age | ≤40 | 10 | 2.62% |
| 41–59 | 181 | 47.51% | |
| ≥60 | 190 | 49.87% | |
| Education | Below grade 6, primary school or illiteracy | 109 | 28.61% |
| Between grades 6 and 9, middle school | 198 | 51.97% | |
| Between grades 9 and 12, high school | 73 | 19.16% | |
| College level or above | 1 | 00.26% |
| Variable Name | Parameter Estimates | Standard Error |
|---|---|---|
| stochastic frontier model | ||
| ln Irr | 0.876 *** | 0.326 |
| (ln Irr)2 | −0.064 *** | 0.024 |
| ln Fer | 4.135 ** | 1.666 |
| (ln Fer)2 | −0.264 ** | 0.11 |
| ln Mac | 0.033 | 0.057 |
| ln Lab | −0.041 | 0.054 |
| Ln pes | −0.040 ** | 0.019 |
| ln Pla | 0.030 ** | 0.014 |
| ln Num | −0.051 * | 0.028 |
| Year (virtual) | Controlled | |
| Constant | −8.822 *** | 6.495 |
| Influencing Factors of technical inefficiency model | ||
| Pre | −3.207 | 3.191 |
| Tem | 329.3 ** | 134.9 |
| Hum | 550.5 ** | 235.1 |
| ln Age | 0.58 | 0.746 |
| ln Edu | −0.494 | 0.446 |
| Constant | −3112.4 ** | 1321.7 |
| σv | 0.138 *** | 0.013 |
| σu | 0.213 *** | 0.025 |
| Log likelihood | 97.119 | |
| LR test of σu | 0 | chibar2(01) = 6.44 |
| N | 381 | |
| Area | Shenzhou | Wuqiang | Wuyi | Zaoqiang |
|---|---|---|---|---|
| N | (101) | (86) | (88) | (106) |
| Mean | 0.90 | 0.835 | 0.856 | 0.839 |
| SD | 0.041 | 0.081 | 0.073 | 0.081 |
| Min | 0.749 | 0.629 | 0.636 | 0.636 |
| Max | 0.956 | 0.969 | 0.973 | 0.968 |
| Area | Shenzhou | Wuqiang | Wuyi | Zaoqiang | Meta-Frontier |
|---|---|---|---|---|---|
| N | (101) | (86) | (88) | (106) | (381) |
| Mean | 0.963 | 0.955 | 0.960 | 0.958 | 0.959 |
| SD | 0.028 | 0.028 | 0.027 | 0.298 | 0.028 |
| Min | 0.899 | 0.894 | 0.894 | 0.893 | 0.893 |
| Max | 1 | 1 | 1 | 1 | 1 |
| Variable Name | Parameter Estimates | Standard Error |
|---|---|---|
| Pre | −0.040 | 0.044 |
| Tem | 2.064 * | 1.167 |
| Hum | 3.419 ** | 2.083 |
| ln Age | −0.003 | 0.009 |
| ln Edu | −0.008 | 0.006 |
| Constant | −19.153 * | 11.642 |
| N | 381 | |
Publisher’s Note: MDPI stays neutral with regard to jurisdictional claims in published maps and institutional affiliations. |
© 2022 by the authors. Licensee MDPI, Basel, Switzerland. This article is an open access article distributed under the terms and conditions of the Creative Commons Attribution (CC BY) license (https://creativecommons.org/licenses/by/4.0/).
Share and Cite
Wu, Z.; Hua, W.; Luo, L.; Tanaka, K. Technical Efficiency of Maize Production and Its Influencing Factors in the World’s Largest Groundwater Drop Funnel Area, China. Agriculture 2022, 12, 649. https://doi.org/10.3390/agriculture12050649
Wu Z, Hua W, Luo L, Tanaka K. Technical Efficiency of Maize Production and Its Influencing Factors in the World’s Largest Groundwater Drop Funnel Area, China. Agriculture. 2022; 12(5):649. https://doi.org/10.3390/agriculture12050649
Chicago/Turabian StyleWu, Zhaohong, Wenyuan Hua, Liangguo Luo, and Katsuya Tanaka. 2022. "Technical Efficiency of Maize Production and Its Influencing Factors in the World’s Largest Groundwater Drop Funnel Area, China" Agriculture 12, no. 5: 649. https://doi.org/10.3390/agriculture12050649
APA StyleWu, Z., Hua, W., Luo, L., & Tanaka, K. (2022). Technical Efficiency of Maize Production and Its Influencing Factors in the World’s Largest Groundwater Drop Funnel Area, China. Agriculture, 12(5), 649. https://doi.org/10.3390/agriculture12050649

