Next Article in Journal
Effects of Biodegradable Liquid Film on Cabernet Sauvignon (V. vinifera L.) Grape Quality
Next Article in Special Issue
High-Vigor Seeds Associated with Seed Hardness and Water Absorption Rate in Rice (Oryza sativa L.)
Previous Article in Journal
Genotype by Environment Interaction Analysis for Grain Yield and Yield Components of Summer Maize Hybrids across the Huanghuaihai Region in China
Previous Article in Special Issue
Sand Priming Promotes Seed Germination, Respiratory Metabolism and Antioxidant Capacity of Pinus massoniana Lamb.
 
 
Font Type:
Arial Georgia Verdana
Font Size:
Aa Aa Aa
Line Spacing:
Column Width:
Background:
Article

Effects of Seed Priming on Vitality and Preservation of Pepper Seeds

Beijing Key Laboratory of Crop Genetic Improvement, Department of Plant Genetics & Breeding and Seed Science, College of Agronomy and Biotechnology, China Agricultural University—The Innovation Center (Beijing) of Crop Seeds Whole-Process Technology Research, Ministry of Agriculture and Rural Affairs, Beijing 100193, China
*
Author to whom correspondence should be addressed.
Agriculture 2022, 12(5), 603; https://doi.org/10.3390/agriculture12050603
Submission received: 16 March 2022 / Revised: 17 April 2022 / Accepted: 19 April 2022 / Published: 25 April 2022
(This article belongs to the Special Issue Genetic Mechanism and Quality Detection of High Vigor Crop Seeds)

Abstract

:
Seed priming is a method for improving seed vigor, which can improve seed germinability, but the disappearance of positive priming effects and decrease of seed longevity during storage may limit its application. To determine the effect of priming on hot pepper seeds and the time during which priming effects can be maintained, it is necessary to monitor and study the variability of primed seeds during storage. In this study, several priming treatments with 3% KNO3, 20% PEG, or 3% KNO3 + 20% PEG and up to 8 months of storage of primed seeds were conducted on seeds of pepper strains No.63, No.73, and No.101. Germinability was improved by priming treatment. The germination percentage of primed seeds did not vary compared to non-primed ones, seeds germinated quickly and had strengthened emergence, especially for those primed with 3% KNO3 solution, which germinated significantly faster and the seedlings grew stronger. During the 8-month storage process, the beneficial effects of priming disappear after 6 months, beyond which the performance of primed seeds is worse than non-primed seeds. After 8 months of storage, the viability of primed pepper seeds dropped sharply. In general, preservation at −4 °C can retain the priming effects to the greatest degree and prevent the seed from losing viability for up to 6 months. Resistance to aging differed across varieties, with No.101 pepper seeds more resistant to aging than the other two varieties, regardless of priming treatment.

1. Introduction

Hot pepper (Capsicum spp.) is an important vegetable crop [1]. It has been planted in more than 20 provinces in China, and its production value ranks first among various vegetable crops. Pepper is not only suitable for traditional open field cultivation, but is also an important product of greenhouse production [2]. Protected cultivation has become an important part of contemporary vegetable production, guaranteeing an annual supply of vegetables, regardless of season. Industrial production requires consistency of seed germination and uniformity of seedling emergence. However, the seed coat of pepper seeds is thick, creating a problem with slow and irregular germination [3]. Seed priming is a treatment method to improve seed vigor, which can improve the germinability of seeds by making the seed germinate more quickly, strengthening emergence, and improving resistance of seedlings [4,5,6,7,8,9,10,11,12,13,14].
Several priming compounds are commonly used to treat seeds for industrial production. Polyethylene glycol (PEG) is a macromolecular compound which is difficult to infiltrate into seeds and does not cause damage to seeds [15]. Priming with PEG can slow the initial rate of seed absorption, prevent cell damage due to excessive water absorption, and provide time for cell self-repair to prepare for subsequent germination and seedling growth. Li et al. [16] found that priming with 20% PEG had the best effect on improving the seed vigor of aged pepper seeds, compared with 15% or 25% PEG treatment. However, PEG initiation has the disadvantages of high cost, poor solution ventilation, and difficulty in removal from the seed after treatment. The commonly used inorganic salt potassium nitrate (KNO3) has the advantages of simplicity and easy ventilation. Many studies have shown that the use of potassium nitrate to induce a variety of crop seeds can effectively increase seed vigor and promote germination. Zhang et al. [17] found that KNO3 can promote the germination of pepper seeds of different storage ages (2 or 3 years), that the best concentration was 0.2–0.3%, and that the time of osmotic adjustment was 12–24 h, which depended on the different storage periods of seeds. Another study in greenhouse conditions showed that 3% KNO3 priming promoted the emergence of watermelon (Citrullus lanatus) seedlings, and that the seedlings became stronger [18]. Priming with 3% KNO3 enhanced eggplant (Solanum melongena) seed vigor and the salt tolerance of seedlings. The germination percentage, germination index, vigor index, and dry and fresh seedling weight of primed eggplant seeds were significantly higher than those of the control, when germinated under Ca (NO3)2 stress [19]. Additionally, 3% KNO3 priming treatment markedly improved the germination and emergence rates for all seed lots of two pepper varieties (42 lots of ’YoloWonder’ and 30 lots of ’Anaheim’) in the research of Bradford et al. [20]. Wu et al. [21] applied 30% PEG and 3% KNO3 for tomato (Solanum lycopersicum) seed priming. Both of these priming treatments increased the germination rate and the uniformity of emergence.
The disappearance of the priming effects during storage and the reduced longevity of primed seeds may limit the application of priming techniques. The longevity of primed seeds is significantly reduced compared to non-primed seeds [22,23,24,25]. Primed sweet corn (Zea mays) seeds had poorer germination and seedling growth performance after storage for 3 months at 25 °C than non-primed seeds [23]. Argerich et al. [22] found that after 6 months of storage at 30 °C, primed tomato seeds exhibited germination delay and low germination percentage compared to the control. The viability of primed lettuce (Lactuca sativa) seeds decreased sharply to about 20% within 60 days at 32 °C or 70 h at 50 °C, both under 75% relative humidity, while the non-primed control remained at about 100% [24]. Another paper has also reported that the decline in viability of primed lettuce seeds was greater than that of non-primed seeds during storage, whether at 38 °C or 48 °C [25]. When under mild aging conditions (relative humidity 50%, 45 °C), primed lettuce seeds exhibited slower germination and less neat shoots than the non-primed seeds after 14 days of storage [26]. However, Chiu et al. [23] observed that primed sweet corn seeds exhibited longer longevity and showed better germination and vigor than non-primed seeds, even after 12 months of storage at 10 or −80 °C.
In total, it is widely believed that seed priming can increase the germination rate, seedling emergence uniformity, or stress resistance. However, the change in final germination percentage may vary due to different varieties or seed lots; some could be improved [27], some were little affected [28], or even slightly reduced [20]. Besides, in different research, the primed seeds behaved differently during the storage; some performed better than non-primed [23], while another was inferior to control [22], which might be related to genetic characteristics or the environment [29,30]. The inconsistencies among these studies lead to the need for further investigation.
At present, seed priming has not yet been commercialized in China, and little research has been conducted on the storage of primed pepper seeds. In order to determine the effects of different priming methods on pepper seed vigor, the duration priming effects can be maintained, and to reduce the decline in the longevity of primed seeds during storage, it is necessary to monitor and study the change in primed seed vigor across different storage processes. This information is of important ecological, agricultural, and economic significance. The purpose of this study was to: (1) explore the effects of different seed priming solutions on pepper seed vigor; (2) study the effects of storage conditions (−4 or 25 °C, plastic or paper bags) on the germination and seedling growth of pepper seeds; (3) further understanding of primed pepper seeds losing viability during storage; and (4) establishing a preliminary understanding of the relationship between the different performances among pepper varieties and their self-aging resistance.

2. Materials and Methods

2.1. Test Materials

The materials used in this study were No.63, No.73, and No.101 pepper seeds, provided by Beijing Biosow Seeds Co., Ltd., Beijing, China. The appearance and seed coat structure of three pepper varieties were shown in Figure 1. These three hybrids belong to cavel pepper type, and their fruits are of sheep-horn shape.

2.2. Treatment Methods

2.2.1. Treatment

We chose the most widely accepted 3% KNO3 priming treatment in seeds of Solanaceae, such as eggplant [19], tomato [21], and pepper [20,27]: the 20% PEG treatment (proven to be superior to 15% or 25% in pepper seeds [16]), and 3% KNO3 + 20% PEG (as the priming effects of PEG + KNO3 combination treatment on artificially aged rice seeds were better than those of PEG or KNO3 alone [31]). In short, the seed priming treatments used in this study were 3% KNO3, 20% PEG, and 3% KNO3 + 20% PEG. No.63, No.73, and No.101 pepper seeds were soaked in priming solution for 48 h in dark conditions at 25 °C. After priming, the seeds were washed several times with distilled water, then dried back to the original weight at room temperature. From each treatment, 100 seeds were germinated, with 4 replicates. Non-primed seeds of each variety were used as controls for comparison with the germinability of primed seeds. The germination percentages on the 7th and 14th day (the final germination percentage) were counted, as well as the fresh weight of seedlings.

2.2.2. Storage after Priming

Primed and non-primed seeds of each variety were stored in three different conditions: in a plastic bag (Shanghai Huanmao MAN. & Trading Co., Ltd., Shanghai, China) at room temperature, in a plastic bag in the freezer (BC/BD-272SE, Haier Group Corp, Qingdao, China) set to −4 °C, or in a paper bag (Taizhou Zhengda Shaiwang Factory, Zhejiang, China) at room temperature. Paper bags easily take up water under refrigerated conditions, and thus this experimental combination was not used. Seeds were taken for standard germination tests every two months during the storage period of 8 months. Each time, 100 seeds were used, with 3 replicates.

2.2.3. Accelerated Aging Test

Seeds were placed in a mesh bag in a dry plate. The bottom of the dish was filled with distilled water (RH 100%) and placed in an oven at 41 °C for accelerated aging for 1, 2, 3, and 4 days. After artificial aging, seeds were dried to their original moisture content (about 10%) on top of filter paper on the laboratory bench (23 ± 1 °C) for about 24 h. The seeds without aging treatment served as the control, which were stored sealed in plastic bags and kept in the freezer (−4 °C) after being obtained from the seed company, with no difference in germination characteristics compared to post-harvest.

2.3. Data Analysis

All data were analyzed by variance analysis with IBM SPSS Statistics 21.0 (https://www.ibm.com/support/pages/downloading-ibm-spss-statistics-21?mhsrc=ibmsearch_a&mhq=spss%2021 (accessed on 21 May 2021)). ANOVA was used to analyze the effect of three priming treatments and storage conditions on the germinability of three pepper varieties. All figures were created with Origin 2021 and Microsoft Office 2019.

3. Results

3.1. Effects of Different Priming Treatments on Pepper Seed Vigor

It can be seen from Table 1 that the factor varieties, priming treatments, and the interaction have extremely significant effects on these germination indexes of pepper seeds, except that the germination percentage was only significantly affected by varieties. In general, the main effect appeared to be varieties > treatments > interaction. Through the results of multiple comparisons, it can be seen that the No.63 pepper seeds germinated faster and the final germination percentage was higher than that of No.73 and No.101 (Table 2). When comparing different priming treatments, KNO3 and KNO3 + PEG treatment can significantly improve the germination rate and the robustness of seedlings for pepper seeds, but the final germination percentage has no significant effect. However, there was no significant difference between seeds primed by PEG and non-primed (Table 2).
As the variety factor and the interaction were extremely significant, we needed to further analyze the specific performance of different priming treatments in different varieties, so we conducted the one-way ANOVA for priming treatments. Seed priming significantly increased the germinability of pepper seeds, though this effect varied across varieties (Table 3). Some were significantly improved, while only No.63 seeds showed a germination rate significantly lower after PEG priming. KNO3 had the best priming effect with the 7th day germination percentage for No.63, No.73, and No.101 primed seeds increased by 5.2%, 55.5%, and 24.9%, respectively. No.73 pepper seeds with PEG and KNO3 + PEG priming also increased their 7th day germination percentage, by 28.7% and 55.5%, respectively. However, these priming treatments had no significant effect on the final germination percentage of pepper seeds. The germination percentage of No.101 pepper seeds increased (from 65.3 to 72.7%), when primed by PEG, but this increase was not significant.
For No.63 pepper seeds, the average fresh weight of seedlings after KNO3 priming was heavier than that of the non-primed, the root length was significantly shorter, while the lateral roots and root hairs were more numerous, and the cotyledon was further developed (Table 3, Figure 2). The seedling length of No.63 peppers primed by KNO3 + PEG was significantly increased. For No.73 peppers, the three priming treatments significantly increased the 7th day germination percentage and enhanced the growth characteristics of the seedlings. The KNO3 priming effect was strongest, with average fresh seedling weight and simple vigor index significantly higher than that of the control. When primed with PEG or KNO3 + PEG, the taproot of the seedlings was significantly shorter, but the lateral roots were significantly increased compared to the control, and the root hairs were more developed. For No.101 peppers, priming with KNO3 or with KNO3 + PEG had significant effects on the seedlings. The average fresh weight and the simple vigor index of seedlings primed by KNO3 were significantly increased. The seedling and root length both increased significantly, and the seedlings appeared to be heavier. Priming effects of KNO3 + PEG were slightly less than those of KNO3, but also significantly increased the quality of No.101 pepper seedlings.
In general, considering all varieties, the priming effects of KNO3 were much better than PEG treatment and slightly better than KNO3 + PEG treatment. Besides, pepper varieties with lower initial vigor (No.73 and No.101) gained the most from priming repair processes, manifested in more significantly increased germination rate and seedling growth, compared with the more advantageous variety, No.63.

3.2. Influence of Different Storage Conditions on Germination and Early Seedling Growth of Primed Pepper Seeds

From the three-way ANOVA, the varieties factor always had extremely significant effects on 7th day germination percentage and final germination percentage, throughout the whole storage period. When stored for the sixth month, the treatments, storage conditions, and interactions began to significantly affect the 7th day germination percentage (representing the priming benefits), while the final germination percentage (indicating seed viability) was significantly affected in the 8th month of storage (Tables S1 and S3). Meanwhile, the primed seeds of No.101 could maintain the priming benefit better during storage, and the plastic bag (−4 °C) was the best preservation condition (Tables S2 and S4). As the variety factor was always extremely significant, further analysis of specific performance for different priming treatments of different varieties in several storage conditions was still needed, which can also help to conveniently and intuitively monitor the priming benefit and longevity disappearance process of primed seeds for each pepper variety.
Germination of pepper seeds after 0, 2, 4, 6 and 8 months of storage under different conditions was tested (Figure 3). Compared with primed seeds that were not stored (0 month), the 7th day germination percentage of primed pepper seeds exhibited a downward trend over time. The exception was No.63 seeds primed by PEG, which showed an upward trend until the 4th month, and then a downward trend.
With an increase in storage time, the germinability of the primed pepper seeds began to decrease. After 6 months, the 7th day germination percentage of primed seeds decreased clearly, with some treatments performing worse than non-primed seeds (Figure 3). The germination percentage of non-primed seeds did not change significantly during storage. After 8 months of storage, the 7th day germination percentage of No.63 and No.73 primed seeds had been reduced to less than 50% of the non-primed control. For No.101 seeds, this sharp decline was only observed in the paper bag at room temperature (25 °C) treatment. Comparing the three storage conditions, the plastic bag at −4 °C best minimized the disappearance of priming benefits. In this treatment for the No.73 and No.101 KNO3 primed pepper seeds, the 7th day germination percentage of the seeds was similar to that of the non-primed seeds after 8 months. At room temperature, germination percentage was maintained up to 6 months.
Compared with unprimed seeds, the final germination percentage of primed seeds showed a decreasing trend over time during storage (Figure 4). No.73 seeds primed by KNO3 + PEG began to decline most quickly, by the second month. The germination percentage of No.63 and No.73 primed pepper seeds declined sharply after storage for 6 months, and primed seeds in paper bags at room temperature showed the sharpest decline, with many of them reaching less than 20% of the original germination percentage. However, the primed seeds put in plastic bag at room temperature or −4 °C degrees showed a higher germination percentage. For No.101 pepper seeds, the germination percentage of the primed seeds also decreased with an increase in storage time, but this decrease trend was not as obvious as for the other two varieties. After 8 months of storage, the germination percentage remained above 50% of the original germination percentage. KNO3 primed seeds showed a minimal reduction of only 10% after 8 months of storage.
The decrease in the 7th day germination percentage for primed seeds during the storage reflected the disappearance of priming benefits, and the change of final germination percentage represented the impact on the longevity of primed seeds. It can be concluded from Figure 3 and Figure 4 that when the storage time exceeded 6 months, not only did the priming benefits of primed pepper seeds disappear but also the viability was affected, under different storage conditions, especially for the preservation using paper bags at room temperature. In addition, among the three varieties, No.101 pepper seeds performed best. After 8 months of storage, even if the priming effect disappeared, there was no significant difference in the final germination rate between primed seeds and the control, except that they were preserved in plastic bags at −4 °C after PEG priming and in paper bags at room temperature after KNO3 and PEG priming (Table S5).
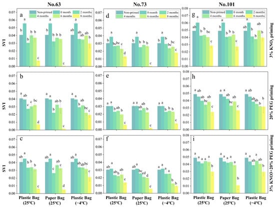
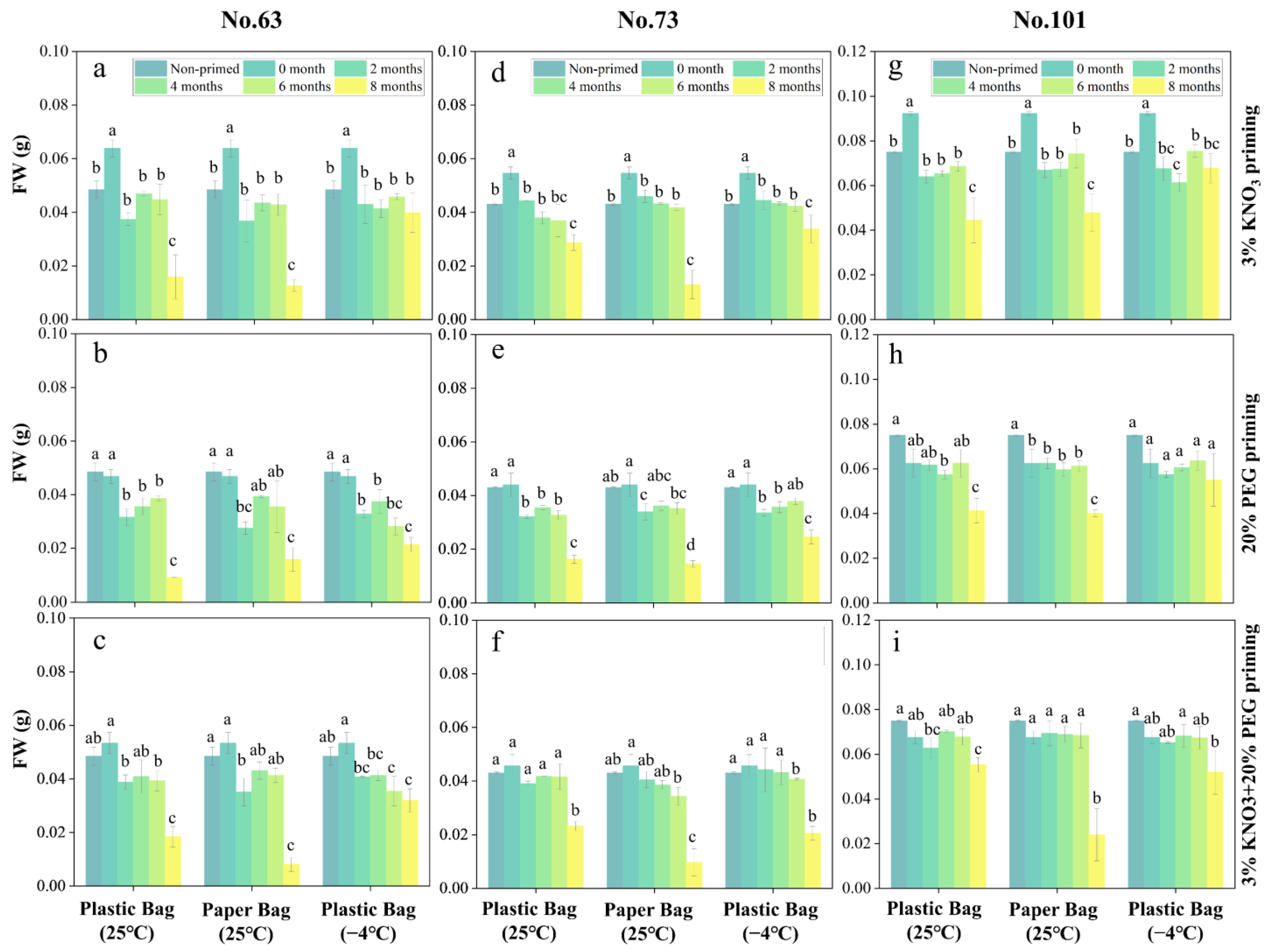
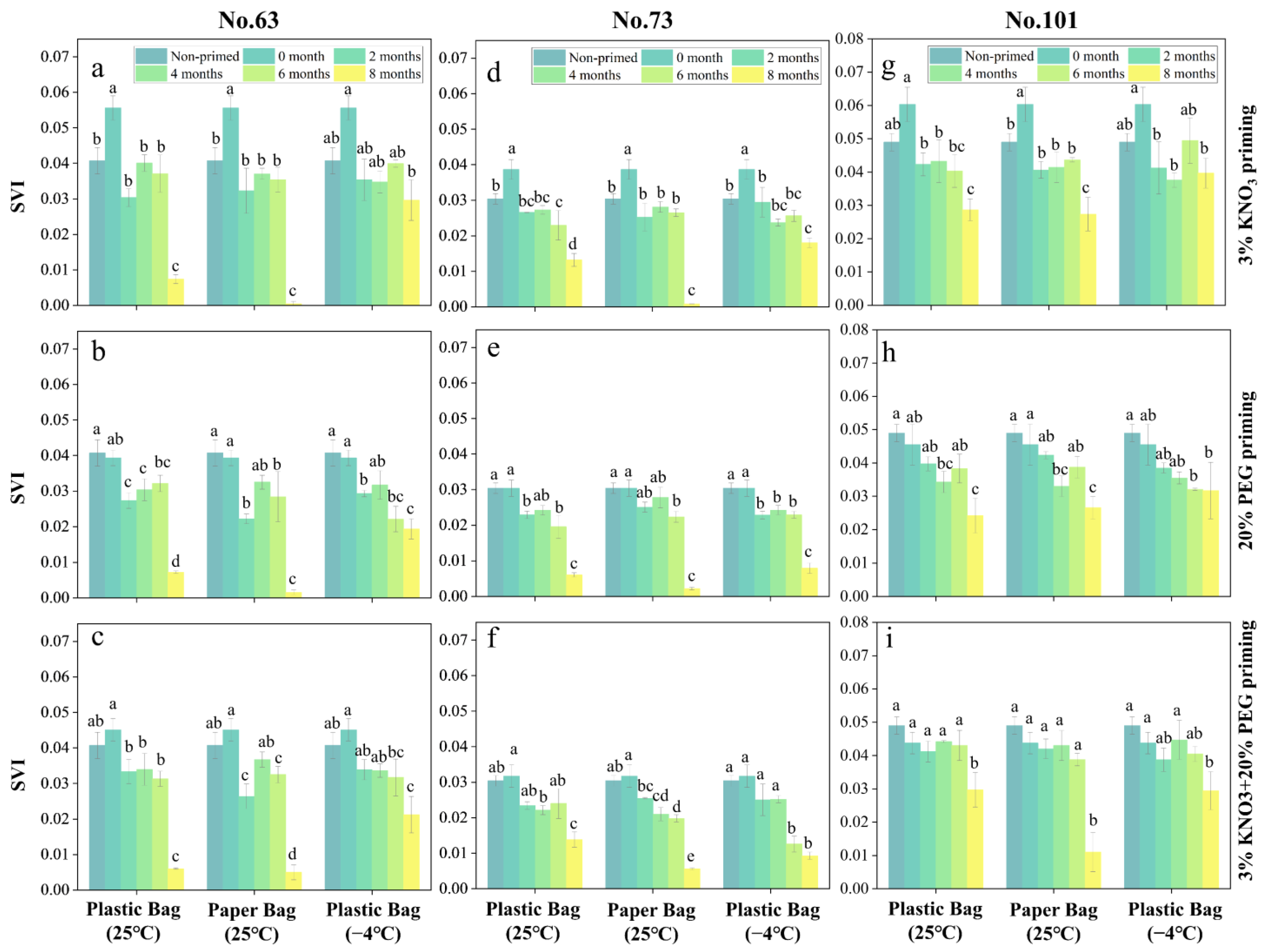
Effects of priming and storage duration on the growth of pepper seedlings were observed in all three varieties. When primed seeds were stored, average seedling fresh weight (Figure 5) and the simple vigor index (Figure 6) both decreased over time for all treatments. With an increase in storage time, seedling growth characteristics decreased. This decrease was reduced for primed seeds stored in plastic bags at −4 °C for less than 6 months. Similarly, No.101 pepper seeds performed better than the other two varieties, with a slighter decrease trend.

3.3. Comparison of Self-Aging Resistance of Three Varieties of Pepper Seeds

The dissimilar performance for primed seeds of three pepper varieties seeds during storage encouraged us to further explore. Hence, the artificial accelerating aging experiment (41 °C, RH 100%) was carried out for 1, 2, 3, and 4 days. The germination percentages of No.63 and No.73 pepper seeds were affected by the accelerated aging test, first decreasing and then increasing (Figure 7). No.63 began to rebound on day 4 of aging, and No.73 on day 2. However, there was no significant difference in the germination percentage of No.101 pepper seeds at different aging times. Additionally, the average fresh seedling weight of No.101 peppers was much heavier than that of the other two varieties, although it declined with increasing aging days until the 4th day (Figure 8). The average fresh weight of No.63 pepper seeds dropped significantly to below 50% of the control. The average fresh weight of No.73 pepper seeds after aging did not change, and average weight was much lower than that of the other two varieties. In general, the germinated seeds of No.101 had higher vigor, which was consistent with the results of seed priming and storage.

4. Discussion

Seed priming not only promotes seed germination more quickly and orderly, but also has great significance for breeding strong seedlings. Previous studies found that for most horticultural plant seeds, the effect of priming treatment is primarily reflected in the increase in seed germination rate and emergence uniformity, with the effect on the final germination percentage of seeds not obvious [4,5,6,7,20,32,33,34]. The results of the current study were similar. No.73 and No.101 non-primed seeds germinated slowly, compared with the No. 63 variety, making priming effects more obvious, as the slower lots would presumably have suffered greater deterioration and would, therefore, gain the most from priming repair processes, which was consistent with the research of Bradford et al. [20]. It might also be caused by the thinner seed coat of No.73 and No.101, which was conducive to the infiltration of the priming solutions to obtain more priming benefits. In addition, the commonly used KNO3 and PEG priming have advantages, but they also have deficiencies. For example, No.63 seeds primed by PEG had a lower germination rate than non-primed seeds, because PEG has high viscosity and is not easy to remove [3]. The residual amount of PEG may have controlled the slow water absorption of the seeds. To explore the practical value and priming effects, this experiment used the previously mentioned two primers as well as PEG + KNO3 combination solution. The results showed that the combination of two reagents had a better priming effect than PEG priming, but was slightly inferior to KNO3 priming. However, since the production of KNO3 is expensive and is further increasing due to the increase in the price of oil, to save costs, especially for large-scale industrial applications, investigation into whether an intermediate concentration between 0.3 and 3% could still be effective should be conducted in future research. In future experiments, different combined concentrations of PEG and KNO3 can be further optimized to reduce costs and simplify operations.
There was no definitive conclusion on the effect of priming on seed longevity. It was reported that priming treatment can control Okra seed deterioration during storage [35], while in other research, the storage life of primed tomato seeds was reduced [22]. Alvarado and Bradford [36] also showed that tomato seeds primed by KNO3 had faster loss of vigor and viability than non-primed seeds. Demir and Okcu [37] found that the benefits from treatment persisted only for four months when pepper seeds were stored at 5 °C. The decline in viability and vigor of primed seeds may occur during storage, which can limit the large-scale adoption of priming. Based on the results of this study, the primed pepper seeds deteriorated and lost longevity faster than that of non-primed seeds, which confirms the reported results in previous studies [25].
The accelerated aging test is widely used to detect seed vigor and storability. High vigor seeds are more resistant to aging and show a higher germination percentage, while low vigor seeds show increasing aging and reduced vigor, with an associated decrease in germination percentage. The change in the primed pepper seeds of the three varieties during storage was different. The No.101 pepper seeds performed better, and the germinability of the seeds after 8 months of storage decreased least compared with the other two varieties. This may be related to the stronger anti-aging ability of the pepper seed itself. As reported previously, the rate of aging is strongly influenced by genetic factors (seed quality) and environmental (storage condition), and low relative humidity and low temperature might correspond to the optimal storage conditions to improve seed life span [29]. Furthermore, it was reported that prolonged storage increased the peroxidation of unsaturated fatty acid, then degraded the cell membrane, causing leakage from the cellular membrane, which resulted in reduced seed longevity [35]. These aspects may have contributed to the fact that the viabilities of primed pepper seeds were affected to different degrees among varieties, under different storage conditions and duration, in this study.
In summary, the germinability of primed seeds was improved to a certain extent, with priming effects maintained for a certain period. However, the specific storage time should be determined based on the aging resistance of test seeds, priming treatment, and preservation conditions, and not as a fixed value, which is in accordance with the results found by Hussain et al. [38]. This study indicates that the priming effect on pepper seeds can be maintained for about 6 months, and that primed seeds can be preserved in sealed plastic bags at a low temperature for the maintenance of the best priming effects and viability. Seed companies can reasonably arrange seed treatment time and preservation conditions and regularly monitor changes in seed vigor.

5. Conclusions

In this work, pepper seeds of varieties No.63, No.73, and No.101 were primed in different ways, and unprimed seeds were used as controls. We also explored whether primed seeds can be stored and determined what kind of storage conditions maintain the priming effects to the greatest extent, reduce the loss of seed longevity, and result in the longest storage time for primed seeds. The following specific conclusions can be drawn from this study:
  • Treatment with PEG, KNO3, and a mixed solution of both was able to improve the germinability of pepper seeds, where germination was rapid and emergence was neat, but there were no significant effects on the final germination percentage. KNO3 solution had the best priming effects, as the seed germination percentage was significantly improved when primed by 3% KNO3 for 48 h, and the seedlings were also stronger.
  • Pepper variety with lower initial vigor (non-primed seeds germinated slowly) gained the most from priming repair processes, manifested in more significantly increased germination rate and seedling growth.
  • The priming effect on pepper seeds can be maintained for about 6 months, for all three varieties, and primed seeds can be preserved in sealed plastic bags at a low temperature (−4 °C) for maintenance of the best priming effects and viability.
  • After 8 months of storage, the primed pepper seeds deteriorated and lost longevity faster than that of non-primed seeds, which was also related to the different aging resistance of different varieties. The viability of primed seeds for the variety with strong aging resistance dropped more lightly.
  • The specific storage time should be determined based on the aging resistance of test seeds, priming treatment, and preservation conditions, and not as a fixed value.
This comprehensive study for pepper seed priming and the variability of primed seeds during storage can help to address the inconsistencies in previous studies, as well as provide a reference for seed companies or farmers to reasonably arrange seed treatment time and preservation conditions and regularly monitor changes in seed vigor.

Supplementary Materials

The following supporting information can be downloaded at: https://www.mdpi.com/article/10.3390/agriculture12050603/s1, Table S1: Three-way ANOVA of priming treatments on the 7th days germination percentage for three pepper varieties in different storage conditions; Table S2: The Tukey multiple comparison test result for the mean separations of 7th days germination percentage during the storage at the 0.05 level; Table S3: Three-way ANOVA of priming treatments on the final germination percentage for three pepper varieties in different storage conditions; Table S4: The Tukey multiple comparison test result for the mean separations of germination percentage during the storage at the 0.05 level; Table S5: Different growth indexes of primed pepper seeds in different storage conditions over time.

Author Contributions

Conceptualization, K.T. and Q.S.; methodology, K.T.; software, K.T.; validation, Y.C. and T.P.; formal analysis, K.T.; investigation, K.T.; resources, Q.S.; data curation, K.T.; writing—original draft preparation, K.T.; writing—review and editing, Q.S.; visualization, K.T; supervision, J.W.; funding acquisition, Q.S. All authors have read and agreed to the published version of the manuscript.

Funding

This research was funded by “Beijing Municipal Science and Technology Project, grant number Z151100001015004” and “National Key Research and Development Project of the 13th Five-year Plan, grant number 2018YFD010141”.

Institutional Review Board Statement

Not applicable.

Informed Consent Statement

Not applicable.

Data Availability Statement

The data presented in this study are available in Supplementary Materials.

Conflicts of Interest

The authors declare no conflict of interest.

References

  1. Miranda-Molina, F.D.; Valle-Guadarrama, S.; Guerra-Ramírez, D.; Arévalo-Galarza, M.D.L.; Pérez-Grajales, M.; Artés-Hernández, F. Quality Attributes and Antioxidant Properties of Serrano Chili Peppers (Capsicum annuum L.) Affected by Thermal Conditions Postharvest. Int. Food Res. J. 2019, 26, 1889–1898. [Google Scholar]
  2. Qiu, Q.; Li, M.; Yao, D.; Lei, C.; Zhu, Y. Effects of Priming Treatment with Vermiculite on the Seed Germination and Seedlings’ Antioxidant Characteristics of Hot Pepper under NaCl Stress. Acta Agric. Shanghai 2009, 25, 47–50. (In Chinese) [Google Scholar]
  3. Qiu, Q. Study on Effect of Priming with Vermiculite on Pepper Seed’s Germination and Physiological Indexes. Master’s Thesis, Nanjing Agricultural University, Nanjing, China, 2009. [Google Scholar]
  4. Bray, C.M. Biochemical Processes during the Osmopriming of Seeds. In Seed Development and Germination; Taylor & Francis Group: Abingdon, UK, 2017. [Google Scholar]
  5. Hu, J. Seed priming and its effects. Seed 1998, 2, 33–35. (In Chinese) [Google Scholar]
  6. McDonald, M.B. Seed priming. In Seed Technology and Its Biological Basis; Black, M., Bewley, J.D., Eds.; Sheffield Academic Press: Sheffield, UK, 2000; pp. 287–325. [Google Scholar]
  7. Wei, S.; Zhu, Z. Test of optimization of pepper seed priming. Chin. Agric. Sci. Bull. 2011, 4, 169–172. (In Chinese) [Google Scholar]
  8. Qian, Z.; Chen, H.; Wu, Z.; Cui, Y. Effect of priming on Solamum torvum seed physiological changes. China Veg. 2011, 8, 28–34. (In Chinese) [Google Scholar]
  9. Fang, P.; Geng, M.; Li, X.; Chen, J. Studies on solid matrix priming enhancing seed vigor of cucumber. China Veg. 2013, 18, 61–66. (In Chinese) [Google Scholar]
  10. Michalska-Klimczak, B.; Wyszyński, Z.; Pačuta, V.; Rašovský, M.; Różańska, A. The Effect of Seed Priming on Field Emergence and Root Yield of Sugar Beet. Plant Soil Environ. 2018, 64, 227–232. [Google Scholar]
  11. Peraza-Villarreal, H.; Sánchez-Coronado, M.E.; Lindig-Cisneros, R.; Tinoco-Ojanguren, C.; Velázquez-Rosas, N.; Cámara-Cabrales, L.; Orozco-Segovia, A. Seed Priming Effects on Germination and Seedling Establishment of Useful Tropical Trees for Ecological Restoration. Trop. Conserv. Sci. 2018, 11, 1940082918817886. [Google Scholar] [CrossRef]
  12. Imran, M.; Mahmood, A.; Neumann, G.; Boelt, B. Zinc Seed Priming Improves Spinach Germination at Low Temperature. Agriculture 2021, 11, 271. [Google Scholar] [CrossRef]
  13. Rhaman, M.S.; Imran, S.; Rauf, F.; Khatun, M.; Baskin, C.C.; Murata, Y.; Hasanuzzaman, M. Seed Priming with Phytohormones: An Effective Approach for the Mitigation of Abiotic Stress. Plants 2021, 10, 37. [Google Scholar] [CrossRef] [PubMed]
  14. Weerasekara, I.; Sinniah, U.R.; Namasivayam, P.; Nazli, M.H.; Abdurahman, S.A.; Ghazali, M.N. Priming with Humic Acid to Reverse Ageing Damage in Soybean [Glycine max (L.) Merrill.] Seeds. Agriculture 2021, 11, 966. [Google Scholar] [CrossRef]
  15. Pill, W.G. Low Water Potential and Pre-Sowing Germination Treatments to Improve Seed Quality; Basra, A.S., Ed.; Food Products Press: New York, NY, USA, 1995; pp. 319–359. [Google Scholar]
  16. Li, X.; Zou, X.; Liu, Z.; Tan, X. Studies on raising the vigor of aged hot pepper seeds. J. China Capsicum 2005, 36–39. (In Chinese) [Google Scholar]
  17. Zhang, J.; Zhang, Y.; Kang, Y.; Zhang, X. Effects of KNO3 treatment on germination of pepper seeds of different storage time. Seed 2005, 4, 28–30. (In Chinese) [Google Scholar]
  18. Demir, I.; Mavi, K. The Effect of Priming on Seedling Emergence of Differentially Matured Watermelon (Citrullus lanatus (Thunb.) Matsum and Nakai) Seeds. Sci. Hortic. 2004, 102, 467–473. [Google Scholar] [CrossRef]
  19. Chen, L.; Zhu, Y.; Li, M.; Yao, D.; Liu, Z. Effects of osmotic priming with KNO3 on germination characteristics and antioxidant properties of eggplant seedlings under Ca (NO3)2 Stress. Acta Bot. Boreali-Occident. Sin. 2008, 7, 1410–1414. (In Chinese) [Google Scholar]
  20. Bradford, K.J.; Steiner, J.J.; Trawatha, S.E. Seed Priming Influence on Germination and Emergence of Pepper Seed Lots. Crop Sci. 1990, 30, 718–721. [Google Scholar] [CrossRef]
  21. Wu, P.; Song, S.H.; Li, L.; Xing, B.; Ding, H. Effects of Priming Treatment on Storage and Longevity of Tomato Seed. China Veg. 2015, 4, 36–40. (In Chinese) [Google Scholar]
  22. Argerich, C.A.; Bradford, K.J.; Tarquis, A.M. The Effects of Priming and Ageing on Resistance to Deterioration of Tomato Seeds. J. Exp. Bot. 1989, 40, 593–598. [Google Scholar] [CrossRef]
  23. Chiu, K.Y.; Chen, C.L.; Sung, J.M. Effect of Priming Temperature on Storability of Primed Sh-2 Sweet Corn Seed. Crop Sci. 2002, 42, 1996–2003. [Google Scholar] [CrossRef]
  24. Schwember, A.R.; Bradford, K.J. Drying Rates Following Priming Affect Temperature Sensitivity of Germination and Longevity of Lettuce Seeds. HortScience 2005, 40, 778–781. [Google Scholar] [CrossRef] [Green Version]
  25. Hill, H.J.; Cunningham, J.D.; Bradford, K.J.; Taylor, A.G. Primed Lettuce Seeds Exhibit Increased Sensitivity to Moisture Content during Controlled Deterioration. HortScience 2007, 42, 1436–1439. [Google Scholar] [CrossRef] [Green Version]
  26. Hacisalihoglu, G.; Taylor, A.G.; Paine, D.H.; Hilderbrand, M.B.; Khan, A.A. Embryo Elongation and Germination Rates as Sensitive Indicators of Lettuce Seed Quality: Priming and Aging Studies. HortScience 1999, 34, 1240–1243. [Google Scholar] [CrossRef] [Green Version]
  27. Amjad, M.; Ziaf, K.; Iqbal, Q.; Ahmad, I.; Atif, M.; Saqib, Z.A. Effect of Seed Priming on Seed Vigour and Salt Tolerance in Hot Pepper. Pak. J. Agric. Res. 2007, 44, 408–416. [Google Scholar]
  28. Barboza da Silva, C.; Marcos-Filho, J. Storage Performance of Primed Bell Pepper Seeds with 24-Epibrassinolide. Agron. J. 2020, 112, 948–960. [Google Scholar] [CrossRef]
  29. Rajjou, L.; Debeaujon, I. Seed Longevity: Survival and Maintenance of High Germination Ability of Dry Seeds. C. R. Biol. 2008, 331, 796–805. [Google Scholar] [CrossRef]
  30. Joao Abba, E.; Lovato, A. Effect of Seed Storage Temperature and Relative Humidity on Maize (Zea mays L.) Seed Viability and Vigour. Seed Sci. Technol. 1999, 27, 101–114. [Google Scholar]
  31. Zhu, S.; Hong, D. Priming effect of PVA + KNO3 on artificially aged F1 seed in Indica rice (Oryza sativa L.). Southwest China J. Agric. Sci. 2007, 3, 383–387. (In Chinese) [Google Scholar]
  32. Akbari, G.A.; Heshmati, S.; Soltani, E.; Amini Dehaghi, M. Influence of Seed Priming on Seed Yield, Oil Content and Fatty Acid Composition of Safflower (Carthamus tinctorius L.) Grown Under Water Deficit. Int. J. Plant Prod. 2020, 14, 145–258. [Google Scholar] [CrossRef]
  33. Da Silva, J.E.S.B.; De Paiva, E.P.; Leite, M.D.S.; Torres, S.B.; de Souza Neta, M.L.; Guirra, K.S. Salicylic Acid in the Physiological Priming of Onion Seeds Subjected to Water and Salt Stresses. Rev. Bras. Eng. Agric. Ambient. 2019, 23, 919–924. [Google Scholar] [CrossRef]
  34. Michalska-Klimczak, B.; Wyszyński, Z.; Pačuta, V.; Rašovský, M.; Leśniewska, J. Impact of Sugar Beet Seed Priming on Molasses Components, Sugar Content and Technological White Sugar Yield. Plant Soil Environ. 2019, 65, 41–45. [Google Scholar] [CrossRef] [Green Version]
  35. Rahman, I.-U.U.; Ali, N.; Rab, A.; Shah, Z. Role of Pre Storage Seed Priming in Controlling Seed Deterioration during Storage. Sarhad J. Agric. 2013, 29, 379–386. [Google Scholar]
  36. Alvarado, A.; Bradford, K. Priming and Storage of Tomato (Lycopersicon lycopersicum) Seeds. I: Effects of Storage Temperature on Germination Rate and Viability. Seed Sci. Technol. 1988, 16, 601–612. [Google Scholar]
  37. Demir, I.; Okcu, G. Aerated Hydration Treatment for Improved Germination and Seedling Growth in Aubergine (Solanum melongena) and Pepper (Capsicum annuum). Ann. Appl. Biol. 2004, 144, 121–123. [Google Scholar] [CrossRef]
  38. Hussain, S.; Zheng, M.; Khan, F.; Khaliq, A.; Fahad, S.; Peng, S.; Huang, J.; Cui, K.; Nie, L. Benefits of Rice Seed Priming Are Offset Permanently by Prolonged Storage and the Storage Conditions. Sci. Rep. 2015, 5, 8101. [Google Scholar] [CrossRef] [PubMed]
Figure 1. The appearance and seed coat structure of pepper seeds of three varieties, No.63, No.73, and No.101.
Figure 1. The appearance and seed coat structure of pepper seeds of three varieties, No.63, No.73, and No.101.
Agriculture 12 00603 g001
Figure 2. Growth of pepper seedlings under three priming treatments.
Figure 2. Growth of pepper seedlings under three priming treatments.
Agriculture 12 00603 g002
Figure 3. The 7th day germination percentage of primed pepper seeds in different storage conditions over time. GP: germination percentage. (ac) the germination percentages for No.63 pepper seeds; (df) the germination percentages for No.73 pepper seeds; (gi) the germination percentages for No.101 pepper seeds. (a,d,g) 3% KNO3 priming; (b,e,h) 20% PEG priming; (c,f,i) 3% KNO3 + 20% PEG priming. The light-shaded area around the curve represents the standard error.
Figure 3. The 7th day germination percentage of primed pepper seeds in different storage conditions over time. GP: germination percentage. (ac) the germination percentages for No.63 pepper seeds; (df) the germination percentages for No.73 pepper seeds; (gi) the germination percentages for No.101 pepper seeds. (a,d,g) 3% KNO3 priming; (b,e,h) 20% PEG priming; (c,f,i) 3% KNO3 + 20% PEG priming. The light-shaded area around the curve represents the standard error.
Agriculture 12 00603 g003
Figure 4. The final germination percentage of primed pepper seeds in different storage conditions over time. GP: germination percentage. (ac) the germination percentages for No.63 pepper seeds; (df) the germination percentages for No.73 pepper seeds; (gi) the germination percentages for No.101 pepper seeds. (a,d,g) 3% KNO3 priming; (b,e,h) 20% PEG priming; (c,f,i) 3% KNO3 + 20% PEG priming. The light-shaded area around the curve represents the standard error.
Figure 4. The final germination percentage of primed pepper seeds in different storage conditions over time. GP: germination percentage. (ac) the germination percentages for No.63 pepper seeds; (df) the germination percentages for No.73 pepper seeds; (gi) the germination percentages for No.101 pepper seeds. (a,d,g) 3% KNO3 priming; (b,e,h) 20% PEG priming; (c,f,i) 3% KNO3 + 20% PEG priming. The light-shaded area around the curve represents the standard error.
Agriculture 12 00603 g004
Figure 5. Average fresh weight of seedlings from primed pepper seeds under different storage conditions. FW: fresh weight. (ac) the fresh weight for No.63 pepper seeds; (df) the fresh weight for No.73 pepper seeds; (gi) the fresh weight for No.101 pepper seeds. (a,d,g) 3% KNO3 priming; (b,e,h) 20% PEG priming; (c,f,i) 3% KNO3 + 20% PEG priming. Different letters in the same cultivar for each treatment denote the difference between the storage duration of a storage condition at the 5% level.
Figure 5. Average fresh weight of seedlings from primed pepper seeds under different storage conditions. FW: fresh weight. (ac) the fresh weight for No.63 pepper seeds; (df) the fresh weight for No.73 pepper seeds; (gi) the fresh weight for No.101 pepper seeds. (a,d,g) 3% KNO3 priming; (b,e,h) 20% PEG priming; (c,f,i) 3% KNO3 + 20% PEG priming. Different letters in the same cultivar for each treatment denote the difference between the storage duration of a storage condition at the 5% level.
Agriculture 12 00603 g005
Figure 6. Simple vigor index of seedlings from primed pepper seeds under different storage conditions. SVI: simple vigor index = average fresh weight × germination percentage. (ac) the simple vigor index for No.63 pepper seeds; (df) the simple vigor index for No.73 pepper seeds; (gi) the simple vigor index for No.101 pepper seeds. (a,d,g) 3% KNO3 priming; (b,e,h) 20% PEG priming; (c,f,i) 3% KNO3 + 20% PEG priming. Different letters in the same cultivar for each treatment denote the difference between the storage duration of a storage condition at the 5% level.
Figure 6. Simple vigor index of seedlings from primed pepper seeds under different storage conditions. SVI: simple vigor index = average fresh weight × germination percentage. (ac) the simple vigor index for No.63 pepper seeds; (df) the simple vigor index for No.73 pepper seeds; (gi) the simple vigor index for No.101 pepper seeds. (a,d,g) 3% KNO3 priming; (b,e,h) 20% PEG priming; (c,f,i) 3% KNO3 + 20% PEG priming. Different letters in the same cultivar for each treatment denote the difference between the storage duration of a storage condition at the 5% level.
Agriculture 12 00603 g006
Figure 7. Effect of aging days on germination percentage of three varieties of pepper seeds. The different letters in the same cultivar are significantly different at 5% level.
Figure 7. Effect of aging days on germination percentage of three varieties of pepper seeds. The different letters in the same cultivar are significantly different at 5% level.
Agriculture 12 00603 g007
Figure 8. Effect of aging days on average fresh weight (FW) and simple vigor index (SVI) of three varieties of pepper seedlings.
Figure 8. Effect of aging days on average fresh weight (FW) and simple vigor index (SVI) of three varieties of pepper seedlings.
Agriculture 12 00603 g008
Table 1. Two-way ANOVA of priming treatments and varieties on the germinability of pepper seed.
Table 1. Two-way ANOVA of priming treatments and varieties on the germinability of pepper seed.
Germination
Indexes
SourceSSdfMSFp-Value
7th day GPVarieties0.269020.134519.84 **8.21 × 10−6
Treatments0.228530.076211.24 **8.46 × 10−5
Varieties × Treatments0.261260.04356.42 **3.88 × 10−4
Error0.1627240.0068
GPVarieties0.214520.107284.67 **1.34 × 10−11
Treatments0.003130.00100.80700.50
Varieties × Treatments0.011260.00191.47370.23
Error0.0304240.0013
FWVarieties0.005020.0025153.47 **2.12 × 10−14
Treatments0.001930.000638.98 **2.20 × 10−9
Varieties × Treatments0.000460.00014.32 **4.29 × 10−3
Error0.0004240.0000
SVIVarieties0.001820.000951.35 **2.13 × 10−9
Treatments0.001030.000318.44 **2.02 × 10−6
Varieties × Treatments0.000160.00001.320.29
Error0.0004240.0000
SLVarieties5.667422.8337219.05 **2.45 × 10−31
Treatments0.292730.09767.54 **1.86 × 10−4
Varieties × Treatments0.598360.09977.71 **2.05 × 10−6
Error0.9314720.0129
RLVarieties24.6907212.345425.08 **5.44 × 10−9
Treatments23.240437.746815.74 **5.75 × 10−8
Varieties × Treatments56.506469.417719.13 **3.43 × 10−13
Error35.4457720.4923
Notes: GP: germination percentage; FW: fresh weight; SVI: simple vigor index; SL: seeding length; RL: root length. Simple vigor index = fresh weight × germination percentage. ** indicates significance at p < 0.01.
Table 2. The Tukey multiple comparison test result for the mean separations of different germination indexes at the 0.05 level.
Table 2. The Tukey multiple comparison test result for the mean separations of different germination indexes at the 0.05 level.
FactorsLevels7th Day GP (%)GP (%)FW (g)SVISL (cm)RL (cm)
VarietiesNo.6370.5 a84.7 a0.0531 b0.0452 b0.97 c4.21 b
No.7350.3 b70.0 b0.0468 c0.0328 c1.07 b4.51 b
No.10154.8 b67.0 b0.0743 a0.0496 a1.56 a5.48 a
TreatmentsNon-primed52.9 b73.3 a0.0555 b0.0400 b1.14 b4.75 b
KNO367.6 a74.0 a0.0703 a0.0515 a1.27 a5.52 a
PEG48.7 b75.3 a0.0511 b0.0384 b1.15 b4.60 bc
KNO3 + PEG65.1 a72.9 a0.0555 b0.0402 b1.25 a4.05 c
Notes: Means associated with different letters for each germination index in the same factors are significantly different at the 5% level according to the Tukey multiple comparison test. GP: germination percentage; FW: fresh weight; SVI: simple vigor index; SL: seeding length; RL: root length.
Table 3. Effects of priming with KNO3, PEG, and KNO3 + PEG on germination of three varieties of pepper seeds.
Table 3. Effects of priming with KNO3, PEG, and KNO3 + PEG on germination of three varieties of pepper seeds.
VarietiesTreatments7th Day GP (%)GP (%)FW (g)SVISL (cm)RL (cm)
No.63Non-primed77.3 a84.0 a0.0484 b0.0407 b0.97 b4.34 a
KNO381.3 a86.0 a0.0639 a0.0556 a0.91 bc3.70 b
PEG28.0 b84.0 a0.0468 b0.0394 b0.87 c4.51 a
KNO3 + PEG82.0 a84.7 a0.0534 b0.0451 b1.13 a4.27 ab
No.73Non-primed37.3 c70.7 a0.0430 b0.0304 b1.03 bc5.60 a
KNO358.0 a70.7 a0.0547 a0.0387 a1.21 a5.00 ab
PEG48.0 b69.3 a0.0440 b0.0304 b0.93 c4.00 bc
KNO3 + PEG58.0 a69.3 a0.0457 b0.0317 b1.10 b3.44 c
No.101Non-primed44.0 b65.3 a0.0750 b0.0490 ab1.41 b4.31 c
KNO363.3 a65.3 a0.0932 a0.0603 a1.69 a7.87 a
PEG56.7 ab72.7 a0.0624 c0.0455 b1.64 a5.29 b
KNO3 + PEG55.3 ab64.7 a0.0676 bc0.0438 b1.51 ab4.44 c
Notes: Means associated with different letters in the same cultivar are significantly different at the 5% level according to the Tukey multiple comparison test. GP: germination percentage; FW: fresh weight; SVI: simple vigor index; SL: seeding length; RL: root length.
Publisher’s Note: MDPI stays neutral with regard to jurisdictional claims in published maps and institutional affiliations.

Share and Cite

MDPI and ACS Style

Tu, K.; Cheng, Y.; Pan, T.; Wang, J.; Sun, Q. Effects of Seed Priming on Vitality and Preservation of Pepper Seeds. Agriculture 2022, 12, 603. https://doi.org/10.3390/agriculture12050603

AMA Style

Tu K, Cheng Y, Pan T, Wang J, Sun Q. Effects of Seed Priming on Vitality and Preservation of Pepper Seeds. Agriculture. 2022; 12(5):603. https://doi.org/10.3390/agriculture12050603

Chicago/Turabian Style

Tu, Keling, Ying Cheng, Tong Pan, Jianhua Wang, and Qun Sun. 2022. "Effects of Seed Priming on Vitality and Preservation of Pepper Seeds" Agriculture 12, no. 5: 603. https://doi.org/10.3390/agriculture12050603

APA Style

Tu, K., Cheng, Y., Pan, T., Wang, J., & Sun, Q. (2022). Effects of Seed Priming on Vitality and Preservation of Pepper Seeds. Agriculture, 12(5), 603. https://doi.org/10.3390/agriculture12050603

Note that from the first issue of 2016, this journal uses article numbers instead of page numbers. See further details here.

Article Metrics

Back to TopTop