Yield and Quality of Rice under the Effects of Digestate Application
Abstract
:1. Introduction
2. Materials and Methods
2.1. Study Site
2.2. Field Experiment
2.3. Sampling and Analysis
2.4. Statistical Analysis
3. Results
3.1. Rice Growth
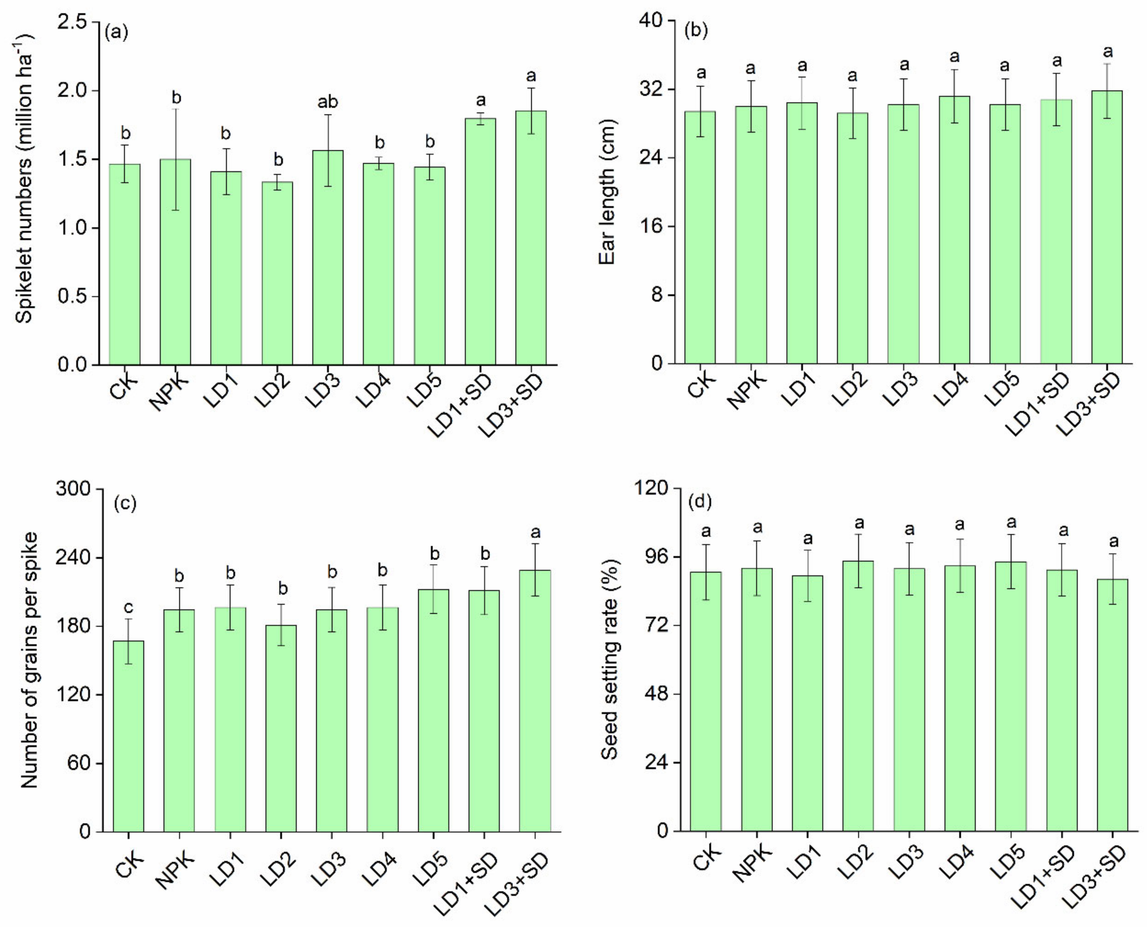
3.2. Rice Yield
3.3. Rice Quality
4. Discussion
4.1. Effect of Digestate on Rice Growth
4.2. Effect of Digestate on Rice Yield and Quality
4.3. Implications and Suggestions
5. Conclusions
Author Contributions
Funding
Data Availability Statement
Conflicts of Interest
References
- Rahaman, M.A.; Zhang, Q.W.; Shi, Y.L.; Zhan, X.Y.; Li, G.C. Biogas slurry application could potentially reduce N2O emissions and increase crop yield. Sci. Total Environ. 2021, 788, 146269. [Google Scholar] [CrossRef]
- Zhang, X.Y.; Fang, Q.C.; Zhang, T.; Ma, W.Q.; Velthof, G.L.; Hou, Y.; Oenema, O.; Zhang, F.S. Benefits and trade-offs of replacing synthetic fertilizers by animal manures in crop production in China: A meta-analysis. Glob. Change Biol. 2019, 26, 888–900. [Google Scholar] [CrossRef] [PubMed]
- Tian, D.S.; Niu, S.L. A global analysis of soil acidification caused by nitrogen addition. Environ. Res. Lett. 2015, 10, 024019. [Google Scholar] [CrossRef]
- Bai, X.L.; Gao, J.J.; Wang, S.C.; Cai, H.M.; Chen, Z.J.; Zhou, J.B. Excessive nutrient balance surpluses in newly built solar greenhouses over five years leads to high nutrient accumulations in soil. Agric. Ecosyst. Environ. 2020, 288, 106717. [Google Scholar] [CrossRef]
- Sainju, U.M.; Ghimire, R.J.; Mishra, U.K.; Jagadamma, S.H. Reducing nitrous oxide emissions and optimizing nitrogen-use efficiency in dryland crop rotations with different nitrogen rates. Nutr. Cycl. Agroecosyst. 2020, 116, 381–395. [Google Scholar] [CrossRef]
- Bai, X.L.; Jiang, Y.; Miao, H.Z.; Xue, S.Q.; Chen, Z.J.; Zhou, J.B. Intensive vegetable production results in high nitrate accumulation in deep soil profiles in China. Environ. Pollut. 2021, 287, 117598. [Google Scholar] [CrossRef]
- Zhan, X.Y.; Zhang, A.P.; Zhang, Q.W. Controlling agricultural non-point source pollution: Thinking and practice in the era of agricultural green high-quality development. Trans. Chin. Soc. Agric. Eng. 2020, 36, 1–7, (In Chinese with English Abstract). [Google Scholar] [CrossRef]
- Ministry of Environment Protection of the People’s Republic of China (MEP). Bulletin of the Second National Survey of Pollution Sources. 2020. Available online: http://www.mee.gov.cn/xxgk2018/xxgk/xxgk01/202006/t20200610_783547.html?from=timeline&isappinstalled=0 (accessed on 8 December 2021).
- Chen, Y.; Wang, F.; Li, H.J.; Aftab, S.; Liu, Y.Q. Triple-hurdle model analysis of the factors influencing biogas digester building, use and processing by Chinese pig farmers. Sci. Total Environ. 2021, 761, 143259. [Google Scholar] [CrossRef]
- Zeng, W.S.; Qiu, L.R.; Wang, D.H.; Wu, Z.Y.; He, L.T. Ultrafiltration concentrated biogas slurry can reduce the organic pollution of groundwater in fertigation. Sci. Total Environ. 2022, 810, 151294. [Google Scholar] [CrossRef]
- Xu, M.; Xian, Y.; Wu, J.; Gu, Y.F.; Yang, G.; Zhang, X.H.; Peng, H.; Yu, X.Y.; Xiao, Y.L.; Li, L. Effect of biogas slurry addition on soil properties, yields, and bacterial composition in the rice-rape rotation ecosystem over 3 years. J. Soils Sediments 2019, 19, 2534–2542. [Google Scholar] [CrossRef]
- He, Q.Y.; Xi, J.; Wang, W.C.; Meng, L.; Yan, S.P.; Zhang, Y.L. CO2 absorption using biogas slurry: Recovery of absorption performance through CO2 vacuum regeneration. Int. J. Greenh. Gas Control 2017, 58, 103–113. [Google Scholar] [CrossRef]
- Zhao, Y.J.; Sun, S.Q.; Hu, C.W.; Zhang, H.; Xu, J.; Ping, L.F. Performance of three microalgal strains in biogas slurry purification and biogas upgrade in response to various mixed light-emitting diode light wavelengths. Bioresour. Technol. 2015, 187, 338–345. [Google Scholar] [CrossRef] [PubMed]
- Lu, R.K. Soil and Agro-Chemistry Analysis; China Agricultural Science and Technology Press: Beijing, China, 2000. [Google Scholar]
- Ministry of Agriculture of the People’s Republic of China. Determination of Amylose Content in Rice, Spectrophotometry Method, (NY/T 2639-2014). 2015. Available online: http://hbba.sacinfo.org.cn/stdDetail/71458d414c10b124a12abac29b068281e3fb2f2d1e9f11832161a2ff0255e3e5 (accessed on 10 December 2021).
- Rahaman, M.A.; Zhan, X.Y.; Zhang, Q.W.; Li, S.Q.; Lv, S.M.; Long, Y.T.; Zeng, H.L. Ammonia Volatilization Reduced by Combined Application of Biogas Slurry and Chemical Fertilizer in Maize–Wheat Rotation System in North China Plain. Sustainability 2020, 12, 4400. [Google Scholar] [CrossRef]
- Yang, Q.L.; Liu, P.; Dong, S.T.; Zhang, J.W.; Zhao, B. Effects of fertilizer type and rate on summer maize grain yield and ammonia volatilization loss in northern China. J. Soils Sediments 2019, 19, 2200–2211. [Google Scholar] [CrossRef]
- Haile, A.; Ayalew, T. Comparative study on the effect of bio-slurry and inorganic N-fertilizer on growth and yield of kale (Brassica oleracea L.). Afr. J. Plant Sci. 2018, 12, 81–87. [Google Scholar] [CrossRef] [Green Version]
- Win, A.T.; Toyota, K.; Win, K.T.; Motobayashi, T.; Ookawa, T.; Hirasawa, T.; Chen, D.J.; Lu, J. Effect of biogas slurry application on CH4 and N2O emissions, Cu and Zn uptakes by whole crop rice in a paddy field in Japan. Soil Sci. Plant Nutr. 2014, 60, 411–422. [Google Scholar] [CrossRef]
- Ghimire, K.; Gautam, D.M.; Mishra, K.; Pande, K.R. Influence of biogass slurry and urea on yield and quality of okra (Abelmoschus esculentus L.) fruits. J. Agric. Environ. 2015, 16, 161–169. [Google Scholar] [CrossRef]
- Abubaker, J.; Cederlund, H.; Arthurson, V.; Pell, M. Bacterial community structure and microbial activity in different soils amended with biogas residues and cattle slurry. Appl. Soil Ecol. 2013, 72, 171–180. [Google Scholar] [CrossRef]
- Locoli, G.A.; Zabaloy, M.C.; Pasdevicelli, G.; Anahí Gómez, M. Use of biogas digestate obtained by anaerobic digestion and co-digestion as fertilizers: Characterization, soil biological activity and growth dynamic of Lactuca sativa L. Sci. Total Environ. 2019, 647, 11–19. [Google Scholar] [CrossRef]
- Yang, Q.L.; Liu, P.; Dong, S.T.; Zhang, J.W.; Zhao, B. Combined application of organic and inorganic fertilizers mitigates ammonia and nitrous oxide emissions in a maize field. Nutr. Cycl. Agroecosyst. 2020, 117, 13–27. [Google Scholar] [CrossRef]
- Rahman, S.M.E.; Islam, M.A.; Rahman, M.M.; Deog-Hwan, O. Effect of cattle slurry on growth, biomass yield and chemical composition of maize fodder. Asian-Australas. J. Anim. Sci. 2008, 21, 1592–1598. [Google Scholar] [CrossRef]
- Liu, W.K.; Yang, Q.C.; Du, L.F. Soilless cultivation for high-quality vegetables with biogas manure in China: Feasibility and benefit analysis. Renew. Agric. Food Syst. 2009, 24, 300–307. [Google Scholar] [CrossRef]
- Li, B.H.; Li, G.J.; Kronzucker, H.J.; Baluška, F.; Shi, W.M. Ammonium stress in Arabidopsis: Signaling, genetic loci, and physiological targets. Trends Plant Sci. 2014, 19, 107–114. [Google Scholar] [CrossRef] [PubMed]
- Li, J.; Deng, X.L.; Zhu, X.M.; Guo, B.W.; Wei, H.Y.; Zhang, H.C. Effects of magnesium and zinc fertilizer application on the yield and accumulation of six elements of Japonica Rice. China Rice 2018, 24, 57–63, (In Chinese with English Abstract). [Google Scholar]
- Lu, L.; Zhu, Z.W. Prediction model for eating property of Indica rice. J. Food Qual. 2014, 37, 274–280. [Google Scholar] [CrossRef]
- Xie, L.L.; Wang, F.M.; Zhang, Y.; Huang, J.F.; Hu, J.H.; Wang, F.L.; Yao, X.P. Monitoring of amylose content in rice based on spectral variables at the multiple growth stages. Trans. Chin. Soc. Agric. Eng. 2020, 36, 165–173, (In Chinese with English Abstract). [Google Scholar] [CrossRef]
- Wu, J.; Yang, Q.; Yang, G.; Shen, F.; Zhang, X.H.; Zhang, Y.Z. Effect of biogas slurry on yield and quality oil-seed rape. J. Plant Nutr. 2013, 36, 2084–2098. [Google Scholar] [CrossRef]
- González-González, L.M.; Zhou, L.H.; Astals, S.; Thomas-Hall, S.R.; Eltanahy, E.; Pratt, S.; Jensen, P.D.; Schenk, P.M. Biogas production coupled to repeat microalgae cultivation using a closed nutrient loop. Bioresour. Technol. 2018, 263, 625–630. [Google Scholar] [CrossRef]
- Lu, Y.D.; Xu, J. Phytohormones in microalgae: A new opportunity for microalgal biotechnology? Trends Plant Sci. 2015, 20, 273–282. [Google Scholar] [CrossRef]
- Xu, Z.M.; Mei, X.Q.; Tan, L.; Li, Q.S.; Wang, L.L.; He, B.Y.; Guo, S.H.; Zhou, C.; Ye, H.J. Low root/shoot (R/S) biomass ratio can be an indicator of low cadmium accumulation in the shoot of Chinese flowering cabbage (Brassica campestris L. ssp. chinensis var. utilis Tsen et Lee) cultivars. Environ. Sci. Pollut. Res. 2018, 25, 36328–36340. [Google Scholar] [CrossRef]
- Ministry of Agriculture of the People’s Republic of China. Green Food-Rice, (NY/T419-2014). 2014. Available online: http://hbba.sacinfo.org.cn/stdDetail/fb5d62b4c264bc8abd9afd2db9afb68d20852858f28f26e39b45083da07a9f3c (accessed on 10 December 2021).
- Xia, L.L.; Lam, S.K.; Yan, X.Y.; Chen, D.L. How does recycling of livestock manure in agroecosystems affect crop productivity, reactive nitrogen losses, and soil carbon balance? Environ. Sci. Technol. 2017, 51, 7450–7457. [Google Scholar] [CrossRef] [PubMed]






| Terms | Total N (g kg−1) | Total P (mg kg−1) | Total K (mg kg−1) | Ammonium N (mg kg−1) | Nitrate N (mg kg−1) | DOC (mg kg−1) |
|---|---|---|---|---|---|---|
| Liquid digestate | 2.0 | 533 | 799 | 1200 | 10.1 | 506 |
| Solid digestate | 10.1 | 7200 | 9272 | 266 | 8.5 | 7466 |
| Treatments | Flag Leaf | The Second Backward Leaf | The Third Backward Leaf | ||||||
|---|---|---|---|---|---|---|---|---|---|
| Leaf Length (cm) | Leaf Width (cm) | Leaf Area (cm2) | Leaf Length (cm) | Leaf Width (cm) | Leaf Area (cm2) | Leaf Length (cm) | Leaf Width (cm) | Leaf Area (cm2) | |
| CK | 30.3 ± 6.0 c | 1.8 ± 0.1 b | 72.2 ± 16.8 b | 56.7 ± 2.5 c | 1.7 ± 0.1 b | 97.5 ± 4.4 c | 55.3 ± 4.4 b | 1.4 ± 0.1 b | 79.4 ± 8.2 c |
| NPK | 40.3 ± 4.4 ab | 2.2 ± 0.2 a | 88.7 ± 17.7 a | 59.5 ± 7.2 b | 1.7 ± 0.1 b | 103.2 ± 18.5 c | 56.4 ± 4.3 ab | 1.4 ± 0.1 b | 82.0 ± 4.1 c |
| LD1 | 38.3 ± 4.6 b | 2.2 ± 0.3 a | 84.3 ± 15.3 a | 60.0 ± 4.2 b | 1.8 ± 0.0 a | 105.7 ± 7.4 c | 58.3 ± 3.8 ab | 1.5 ± 0.0 b | 87.3 ± 4.8 b |
| LD2 | 42.3 ± 5.0 ab | 2.2 ± 0.2 a | 88.4 ± 8.5 a | 58.3 ± 2.2 b | 1.7 ± 0.1 b | 99.8 ± 6.7 c | 55.7 ± 2.1 b | 1.4 ± 0.1 b | 80.3 ± 9.4 c |
| LD3 | 39.0 ± 5.2 b | 2.1 ± 0.2 a | 83.0 ± 14.9 a | 59.3 ± 5.7 b | 1.8 ± 0.1 a | 106.1 ± 15.8 c | 59.7 ± 6.2 ab | 1.6 ± 0.1 ab | 94.0 ± 17.2 b |
| LD4 | 41.0 ± 6.1 ab | 2.2 ± 0.3 a | 96.5 ± 12.3 a | 62.1 ± 4.5 b | 1.8 ± 0.1 a | 110.9 ± 15.1 c | 59.1 ± 3.7 ab | 1.5 ± 0.1 b | 91.5 ± 10.9 b |
| LD5 | 44.3 ± 4.3 ab | 2.2 ± 0.2 a | 89.6 ± 21.1 a | 58.3 ± 6.9 b | 1.8 ± 0.1 a | 102.8 ± 17.2 c | 56.7 ± 3.6 ab | 1.4 ± 0.0 b | 82.0 ± 6.0 c |
| LD1 + SD | 48.3 ± 5.0 a | 2.4 ± 0.2 a | 106.2 ± 13.3 a | 65.1 ± 2.7 ab | 1.9 ± 0.2 a | 124.1 ± 13.7 b | 64.4 ± 1.6 a | 1.6 ± 0.1ab | 106.1 ± 12.0 ab |
| LD3 + SD | 43.3 ± 6.4 ab | 2.3 ± 0.3 a | 99.7 ± 20.6 a | 68.6 ± 1.6 a | 2.0 ± 0.1 a | 139.9 ± 3.8 a | 61.3 ± 4.3 a | 1.9 ± 0.4 a | 116.3 ± 7.9 a |
| Treatments | As (mg kg−1) | Hg (mg kg−1) | Pb (mg kg−1) | Cd (mg kg−1) |
|---|---|---|---|---|
| CK | ND | ND | 0.157 ± 0.044 b | 0.145 ± 0.010 a |
| NPK | 0.043 ± 0.001 c | ND | 0.063 ± 0.001 d | 0.083 ± 0.006 bc |
| LD1 | 0.033 ± 0.002 d | ND | 0.099 ± 0.041 c | 0.106 ± 0.012 b |
| LD2 | 0.046 ± 0.014 bc | ND | 0.125 ± 0.018 c | 0.072 ± 0.026 c |
| LD3 | 0.024 ± 0.000 e | ND | 0.105 ± 0.030 c | 0.153 ± 0.109 a |
| LD4 | 0.027 ± 0.003 e | ND | 0.095 ± 0.003 c | 0.110 ± 0.045 b |
| LD5 | 0.027 ± 0.003 e | 0.010 ± 0.001 | 0.163 ± 0.032 a | 0.155 ± 0.045 a |
| LD1 + SD | ND | ND | 0.118 ± 0.017 c | 0.090 ± 0.045 b |
| LD3 + SD | ND | ND | 0.157 ± 0.010 b | 0.109 ± 0.002 b |
| National standard limit | 0.200 | 0.020 | 0.200 | 0.200 |
Publisher’s Note: MDPI stays neutral with regard to jurisdictional claims in published maps and institutional affiliations. |
© 2022 by the authors. Licensee MDPI, Basel, Switzerland. This article is an open access article distributed under the terms and conditions of the Creative Commons Attribution (CC BY) license (https://creativecommons.org/licenses/by/4.0/).
Share and Cite
Ran, Y.; Bai, X.; Long, Y.; Ai, P. Yield and Quality of Rice under the Effects of Digestate Application. Agriculture 2022, 12, 514. https://doi.org/10.3390/agriculture12040514
Ran Y, Bai X, Long Y, Ai P. Yield and Quality of Rice under the Effects of Digestate Application. Agriculture. 2022; 12(4):514. https://doi.org/10.3390/agriculture12040514
Chicago/Turabian StyleRan, Yi, Xinlu Bai, Yan Long, and Ping Ai. 2022. "Yield and Quality of Rice under the Effects of Digestate Application" Agriculture 12, no. 4: 514. https://doi.org/10.3390/agriculture12040514
APA StyleRan, Y., Bai, X., Long, Y., & Ai, P. (2022). Yield and Quality of Rice under the Effects of Digestate Application. Agriculture, 12(4), 514. https://doi.org/10.3390/agriculture12040514
