Revealing a Significant Latent Loss of Dry Matter in Rice Based on Accurate Measurement of Grain Growth Curve
Abstract
:1. Introduction
2. Materials and Methods
2.1. Plot Location and Test Materials
2.2. Experimental Design
2.3. Sample Collection
2.4. Data Processing and Statistical Analyses
2.4.1. Determination of Sample 1000 Grains of the Standard-Moisture Weight
2.4.2. Determination of Sample Optimal Harvest Days
2.4.3. Latent Dry Matter Loss and Loss Rate
3. Results
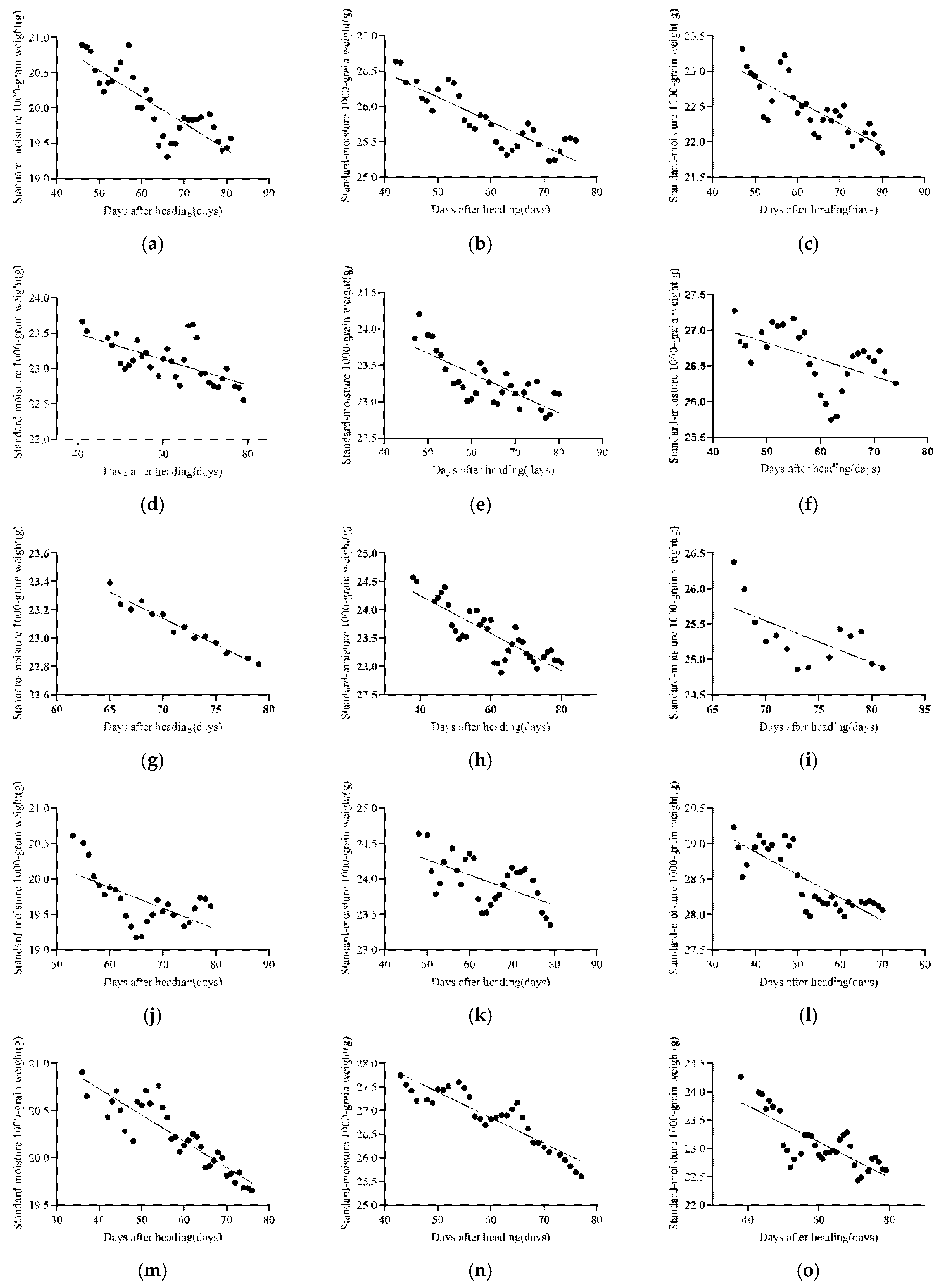
3.1. Standard-Moisture 1000-Grain Weight Model
3.2. Latent Dry Matter Loss and Loss Rate
4. Discussion
4.1. Rice Growth Curve and Optimal Harvest Days
4.2. The Possibility of Latent Loss Exists
4.3. Calculation of the Latent Loss of Dry Matter
4.4. Latent Losses of Dry Matter May Lead to Economic Losses
5. Conclusions
- Latent loss of rice dry matter does exist and is not invisible. Latent loss is the loss of dry matter during harvest operations, not loss of moisture from the grain. To compute the latent losses of rice, dry matter must be on the basis of the same moisture content in order to calculate the loss of weight. The dry matter weight of rice was found to reduce with the heading time due to the delayed harvest. This is called “latent loss of dry matter” and it is an aspect of grain loss that is easily overlooked. It was concluded that if the paddy is not harvested at the right harvest time, the dry matter loss of rice can reach 3.5346%, which is equivalent to 235,051 tons of paddy.
- A decrease in dry matter mass was initially found when the rice grain harvest was delayed; the more mature the grain was, the easier the over-ripe grains fell off and were not harvested [42]. This part of the loss is a chain reaction after the latent loss of dry matter caused by not harvesting at the optimal time, which eventually leads to economic losses. Our team found that the main reasons for this phenomenon are as follows. First, our experimental group were able to take short and continuous sampling intervals and closely observe every detail of the rice growth process; second, the use of modern technology for large-scale sampling and testing was no longer limited to one or two varieties; third, on the basis of the experiment in 2019, the experiment in 2020 extended the duration of the experiment, thus covering the growth link of rice with high water content (≥30%) [29], which made the conclusion of latent loss of dry matter more convincing; finally, it avoided the influence of the traditional idea that farmers should harvest rice as late as possible, and proves to some extent that delayed harvesting will reduce the total rice yield, rather than increase the harvest;
- Reducing food loss and waste is a long-term and arduous task. During the actual experiment, our research team discovered and put forward a brand-new perspective, applying NMR detection technology to make meticulous and multi-variety measurements aiming to improve the 5T management process [43], avoid the loss caused by wrong ideas and improper management, increase intangible fertile land, further changing the concept and habits of agricultural production, popularizing the technology of grain loss reduction and reducing the grain loss in the harvesting process.
Supplementary Materials
Author Contributions
Funding
Institutional Review Board Statement
Informed Consent Statement
Data Availability Statement
Conflicts of Interest
References
- Majid, S.-J.; Ximing, C. Reducing food loss and waste to enhance food security and environmental sustainability. Environ. Sci. Technol. 2016, 50, 8432–8443. [Google Scholar] [CrossRef]
- FAO; IFAD; UNICF; WFP; WHO. The State of Food Security and Nutrition in the World 2020: Transforming Food Systems for Affordable Healthy Diets; FAO: Rome, Italy, 2020. [Google Scholar]
- FAO. The State of Food and Agriculture 2019: Moving Forward on Food Loss and Waste Reduction; FAO: Rome, Italy, 2019. [Google Scholar]
- FAO. Global Food Losses and Food Waste: Extent, Causes and Prevention; FAO: Rome, Italy, 2011. [Google Scholar]
- Aulakh, J.; Regmi, A. Post-Harvest Food Losses Estimation-Development of Consistent Methodology; FAO: Rome, Italy, 2013. [Google Scholar]
- Bendinelli, W.E.; Su, C.T.; Pera, T.G.; Caixeta Filho, J.V. What are the main factors that determine post-harvest losses of grains? Sustain. Prod. Consum. 2020, 21, 228–238. [Google Scholar] [CrossRef]
- Diaz-Valderrama, J.R.; Njoroge, A.W.; Macedo-Valdivia, D.; Orihuela-Ordonez, N.; Smith, B.W.; Casa-Coila, V.; Ramirez-Calderon, N.; Zanabria-Galvez, J.; Woloshuk, C.; Baributsa, D. Postharvest practices, challenges and opportunities for grain producers in Arequipa, Peru. PLoS ONE 2020, 15, e0240857. [Google Scholar] [CrossRef]
- Oguntade, A.E.; Thylmann, D.; Deimling, S. Post-Harvest Losses of Rice in Nigeria and Their Ecological Footprint; Federal Ministry for Economic Coopration and Development: Bonn, Germany, 2014.
- Alavi, H.R.; Htenas, A.; Kopicki, R.; Shepherd, A.W.; Clarete, R. Trusting Trade and the Private Sector for Food Security in Southeast Asia; World Bank Publications: Washington, DC, USA, 2012. [Google Scholar]
- Kannan, E.; Kumar, P.; Vishnu, K.; Vishnu, K.; Abraham, H. Assessment of Pre and Post Harvest Losses of Rice and Red Gram in Karnataka. Agricultural Situation in India. 2015, 72, 101–105. [Google Scholar]
- Wang, G.; Yi, Z.; Chen, C.; Cao, G. Effect of harvesting date on loss component characteristics of rice mechanical harvested in rice and wheat rotation area. Trans. Chin. Soc. Agric. Eng. 2016, 32, 36–42. [Google Scholar] [CrossRef]
- Yanzhi, G.; Yao, C.; Jingli, G. Analysis and countermeasures on the Loss of grain industry chain from field to table in China. Agric. Econ. 2014, 1, 23–24. [Google Scholar] [CrossRef]
- Gou, Y.; Yang, W.; Lin, S.; Gao, Y.; Luan, X. Research progress on rice shattering. Chin. J. Rice Sci. 2019, 33, 479–488. [Google Scholar] [CrossRef]
- Xiaoxin, Y. Causes analysis and countermeasures of loss in grain storage and transportation. Agric. Sci. Technol. Equip. 2020, 5, 74–75. [Google Scholar] [CrossRef]
- Kumar, D.; Kalita, P. Reducing postharvest losses during storage of grain crops to strengthen food security in developing countries. Foods 2017, 6, 8. [Google Scholar] [CrossRef] [Green Version]
- Aiping, M. Reducing the post-harvest loss of grain is equal to building an intangible fertile land in Chinese. Grain Sci. Technol. Econ. 2020, 45, 6–7. [Google Scholar]
- Chen, Z.; Wassgren, C.; Ambrose, K. A review of grain kernel damage: Mechanisms, modeling, and testing procedures. Trans. ASABE 2020, 63, 455–475. [Google Scholar] [CrossRef]
- Gao, L.; Xu, S.; Li, Z.; Cheng, S.; Yu, W.; Zhang, Y.; Li, D.; Wang, Y.; Wu, C. Main grain crop postharvest losses and its reducing potential in China. Trans. Chin. Soc. Agric. Eng. 2016, 32, 1–11. [Google Scholar] [CrossRef]
- Sasaki, T. Present situation and energy saving and environmental protection trend of paddy drying and storage technology in Japan. Grain Storage 2011, 40, 13–17. [Google Scholar]
- Wang, R.; Song, Y.; Fu, P. Present situation and development trend of rice storage technology and equipment in China. China Rice 2021, 27, 66–70. [Google Scholar] [CrossRef]
- Katta, Y.M.; Kamara, M.M.; Abd El–Aty, M.S.; Elgamal, W.H.; Soleiman, R.M.; Mousa, K.M.; Ueno, T. Effect of Storage Temperature on Storage Efficacy, Germination and Physical Characters of Some Paddy Rice Cultivars during Different Storage Periods. J. Fac. Agric. Kyushu Univ. 2019, 64, 61–69. [Google Scholar] [CrossRef]
- Sisi, C.; Qi, F. Research on nutrient loss and waste during rice over processing in China. Cereals Oils 2020, 33, 10–13. [Google Scholar]
- Jie, L. China’s food waste is staggering. Ecol. Econ. 2017, 33, 10–13. [Google Scholar]
- Yu, H.-Y.; Myoung, S.; Ahn, S. Recent Applications of Benchtop Nuclear Magnetic Resonance Spectroscopy. Magnetochemistry 2021, 7, 121. [Google Scholar] [CrossRef]
- Kirtil, E.; Oztop, M.H. 1H Nuclear magnetic resonance relaxometry and magnetic resonance imaging and applications in food science and processing. Food Eng. Rev. 2016, 8, 1–22. [Google Scholar] [CrossRef]
- Rongwen, L.; Wulan, B.; Xiaoliang, Q.; Yanling, B. Comparison of differences in paddy moisture determination methods. Grain Storage 2021, 50, 38–41. [Google Scholar] [CrossRef]
- Jie, Z. Comparison and Analysis of Methods for Determination of Rice Moisture. Mod. Food 2020, 26, 159–161. [Google Scholar] [CrossRef]
- Jianjun, Z.; Hong, L.; Xiaoping, J.; Chunyuan, L.; Qinglin, H.; Xiaoxia, Z. Effects of Direct-seeding Methods and Seeding Rate Combinations on Population Development and Yield Components of Rice. Chin. Agric. Sci. Bull. 2021, 37, 1–7. [Google Scholar]
- Houqing, L.; Tao, Z. The effect on the taste quality from the timely harvesting and drying process of rice. North Rice 2017, 47, 1–6. [Google Scholar] [CrossRef]
- DB22/T 3113-2020. 5T Post-Harvest Management Technique Code for High Quality Paddy; Jilin Market Supervision and Management Department: Jilin, China, 2020. [Google Scholar]
- Caiqin, Z.; Chi, Y. Simulation of plant growth and mathematical modeling Study. J. Inn. Mong. Univ. 2006, 37, 435–440. [Google Scholar]
- Miaonan, J. Mathematical pattern for the elongation growth of rice. J. Biomath. 1995, 10, 54–63. [Google Scholar]
- Linlin, J.; ALin, X. Rapid prediction of ricewater content and activity based on low field nuclear magnetic resonance technique. Food Mach. 2018, 34, 70–74, 95. [Google Scholar] [CrossRef]
- Yong, L.; Lei, Z.; Chunxiang, T. Research on multiple applications of low field nuclear magnetic resonance technology in food inspection. Guangdong Chem. Ind. 2020, 47, 140–142. [Google Scholar]
- Zhang, N.; Wu, W.; Wang, Y.; Li, S. Hazard Analysis of Traditional Post-Harvest Operation Methods and the Loss Reduction Effect Based on Five Time (5T) Management: The Case of Rice in Jilin Province, China. Agriculture 2021, 11, 877. [Google Scholar] [CrossRef]
- Hongzhang, Y.; Yunkang, S.; Yin, C.; Zhixin, Y.; Bichang, L. Accumulation and redistribuyion of dry matter in rice after flowering. J. Integr. Plant Biol. 1956, 5, 177–194. [Google Scholar]
- Hongzhang, Y. Allometric growth and economic yield in rice; Correlation between leaf-sheath ratio and ear weight. Acta Agron. Sin. 1964, 02, 1–14. [Google Scholar]
- Dingchun, Y.; Yan, Z.; Weixing, C.; Shaohua, W. A knowledge model for design of suitable dynamics of growth index in rice. Chin. Acad. Agric. Scicences 2005, 38, 38–44. [Google Scholar] [CrossRef]
- Xinyou, Y.; Changhan, Q. Studies on the rice growth calendar simulation model and it’s application. Acta Agron. Sin. 1994, 20, 339–346. [Google Scholar] [CrossRef]
- Hongzhang, Y. Physiological study on high yield of rice and wheat in Chinese. Plant Physiol. Commun. 1964, 13–22. [Google Scholar] [CrossRef]
- Statistical Bureau of Jilin. Statistical Bulletin on National Economic and Social Development of Jilin Province in 2020. Available online: http://tjj.jl.gov.cn/tjsj/tjgb/ndgb/202104/t20210415_8027371.html (accessed on 12 April 2021).
- Shiyu, L.; Dan, H.; Jinghan, Z.; Li, B. Causes and mitigation strategies of rice harvest and postnatal loss from the perspective of farmers: A survey from four major producing areas in Jilin Province. Henan Nongye 2020, 8–10. [Google Scholar] [CrossRef]
- Wenfu, W.; Na, Z.; Shuyao, L.; Yujia, W.; Wen, X.; Xianmei, M.; Hang, Z.; Jiangtao, Q.; Xiaoguang, Z.; Houqing, L. Construction and application exploration of 5T smart farm management systems. Trans. Chin. Soc. Agric. Eng. (Trans. CSAE) 2021, 37, 340–349. [Google Scholar] [CrossRef]




| Year | Variety | Regression Equation | R2 | p | Variety | Regression Equation | R2 | p |
|---|---|---|---|---|---|---|---|---|
| 2019 | Jijing 816 | y = −0.0325x + 21.704 | 0.7551 | <0.0001 | Jijing 528 | y = −0.0302x + 22.759 | 0.7775 | <0.0001 |
| Wuyoudao 4 | y = −0.0628x + 27.973 | 0.7809 | <0.0001 | |||||
| 2020 | Jijing 816 | y = −0.0372x + 22.390 | 0.6850 | <0.0001 | Zhongke 804 | y = −0.0344x + 26.035 | 0.6178 | <0.0001 |
| Wuyoudao 4 | y = −0.0347x + 27.865 | 0.7502 | <0.0001 | Jinongda 667 | y = −0.0295x + 21.654 | 0.3805 | 0.0010 | |
| Longyang 16 | y = −0.0320x + 24.502 | 0.6337 | <0.0001 | Wokeshou 1 | y = −0.0216x + 25.358 | 0.3345 | 0.0010 | |
| Songjing 29 | y = −0.0182x + 24.218 | 0.4218 | <0.0001 | Tianlong 619 | y = −0.0324x + 30.183 | 0.6548 | <0.0001 | |
| Longyang 7 | y = −0.0274x + 25.038 | 0.5872 | <0.0001 | Jijing 511 | y = −0.0273x + 21.822 | 0.8062 | <0.0001 | |
| Fangyuan 77 | y = −0.0234x + 27.997 | 0.2620 | 0.0054 | DF 416 | y = −0.0545x + 30.121 | 0.8323 | <0.0001 | |
| Jijing 561 | y = −0.0370x + 25.728 | 0.9489 | <0.0001 | Qinglin 611 | y = −0.0317x + 25.020 | 0.6190 | <0.0001 | |
| Longyang 13 | y = −0.0333x + 25.580 | 0.7035 | <0.0001 | Daohuaxiang 9 | y = −0.0133x + 25.084 | 0.3448 | 0.0013 | |
| Zhongkefa 5 | y = −0.0595x + 29.708 | 0.3984 | 0.0155 | Zaoxiang 7 | y = −0.0371x + 27.337 | 0.6381 | <0.0001 |
| Year | Variety | Days after Heading (days) | |||
|---|---|---|---|---|---|
| 70 | 75 | ||||
| Loss Weight/g | Loss Rate/% | Loss Weight/g | Loss Rate/% | ||
| 2019 | Jijing 816 | 1.0075 | 4.9299 | 1.1700 | 5.7251 |
| Jijing 528 | 0.9362 | 4.3380 | 1.0872 | 5.0377 | |
| Wuyoudao 4 | 1.8212 | 7.1706 | 2.1352 | 8.4069 | |
| 2020 | Longyang 16 | 0.7360 | 3.2003 | 0.8960 | 3.8960 |
| Songjing 29 | 0.5278 | 2.2487 | 0.6188 | 2.6364 | |
| Jijing 511 | 0.9282 | 4.4541 | 1.0647 | 5.1091 | |
| Zhongke 804 | 0.7224 | 2.9668 | 0.8944 | 3.6732 | |
| Jijing 816 | 0.8928 | 4.3174 | 1.0788 | 5.2168 | |
| Wokeshou 1 | 0.4752 | 1.9539 | 0.5832 | 2.3979 | |
| Qinglin 611 | 1.0144 | 4.2594 | 1.1729 | 4.9250 | |
| Longyang 7 | 0.6302 | 2.6535 | 0.7672 | 3.2303 | |
| Jijing 561 | 0.1850 | 0.7932 | 0.3700 | 1.5864 | |
| Longyang 13 | 1.0656 | 4.3826 | 1.2321 | 5.0673 | |
| Zhongkefa 5 | 0.1785 | 0.6940 | 0.4760 | 1.8506 | |
| Fangyuan 77 | 0.5382 | 2.0010 | 0.6552 | 2.4359 | |
| Wuyoudao 4 | 0.9716 | 3.6792 | 1.1451 | 4.3363 | |
| Tianlong 619 | 1.1340 | 3.9037 | 1.2960 | 4.4614 | |
| DF 416 | 1.4715 | 5.2975 | 1.7440 | 6.2785 | |
| Jinongda 667 | 0.5015 | 2.4962 | 0.6490 | 3.2304 | |
| Zaoxiang 7 | 0.4081 | 1.6228 | 0.5936 | 2.3604 | |
| Daohuaxiang 9 | 0.1596 | 0.6564 | 0.2261 | 0.9300 | |
| Year | Variety | Optimal Harvest Day | Days after Heading | Variety | Optimal Harvest Day | Days after Heading | Variety | Optimal Harvest Day | Days after Heading |
|---|---|---|---|---|---|---|---|---|---|
| 2019 | Jijing 816 | 11 Sept. | 39 | Jijing 528 | 14 Sept. | 39 | Wuyoudao 4 | 15 Sept. | 41 |
| 2020 | Longyang 16 | 14 Sept. | 47 | Qinglin 611 | 6 Sept. | 38 | Wuyoudao 4 | 13 Sept. | 42 |
| Songjing 29 | 5 Sept. | 41 | Longyang 7 | 14 Sept. | 47 | Tianlong 619 | 12 Sept. | 35 | |
| Jijing 511 | 5 Sept. | 36 | Jijing 561 | 29 Sept. | 65 | DF 416 | 12 Sept. | 43 | |
| Zhongke 804 | 14 Sept. | 49 | Longyang 13 | 5 Sept. | 38 | Jinongda 667 | 21 Sept. | 53 | |
| Jijing 816 | 12 Sept. | 46 | Zhongkefa 5 | 3 Oct. | 67 | Zaoxiang 7 | 19 Sept. | 59 | |
| Wokeshou 1 | 15 Sept. | 48 | Fangyuan 77 | 12 Sept. | 44 | Daohuaxiang 9 | 19 Sept. | 58 |
| Variety | Round Grained | Long Grained | Medium Maturing | Late Maturing | Average | |||||
|---|---|---|---|---|---|---|---|---|---|---|
| Days after heading (days) | 70 | 75 | 70 | 75 | 70 | 75 | 70 | 75 | 70 | 75 |
| Average loss weight (g) | 0.8342 | 0.9914 | 0.6574 | 0.8213 | 0.5318 | 0.6869 | 0.8616 | 1.0312 | 0.6967 | 0.8591 |
| Average loss rate (%) | 3.8818 | 4.6203 | 2.5753 | 3.2243 | 2.2384 | 2.8820 | 3.4928 | 4.1871 | 2.8656 | 3.5346 |
Publisher’s Note: MDPI stays neutral with regard to jurisdictional claims in published maps and institutional affiliations. |
© 2022 by the authors. Licensee MDPI, Basel, Switzerland. This article is an open access article distributed under the terms and conditions of the Creative Commons Attribution (CC BY) license (https://creativecommons.org/licenses/by/4.0/).
Share and Cite
Wang, Y.; Wu, W.; Wu, Z.; Zhang, N.; Li, S.; Meng, X. Revealing a Significant Latent Loss of Dry Matter in Rice Based on Accurate Measurement of Grain Growth Curve. Agriculture 2022, 12, 465. https://doi.org/10.3390/agriculture12040465
Wang Y, Wu W, Wu Z, Zhang N, Li S, Meng X. Revealing a Significant Latent Loss of Dry Matter in Rice Based on Accurate Measurement of Grain Growth Curve. Agriculture. 2022; 12(4):465. https://doi.org/10.3390/agriculture12040465
Chicago/Turabian StyleWang, Yujia, Wenfu Wu, Zidan Wu, Na Zhang, Shuyao Li, and Xianmei Meng. 2022. "Revealing a Significant Latent Loss of Dry Matter in Rice Based on Accurate Measurement of Grain Growth Curve" Agriculture 12, no. 4: 465. https://doi.org/10.3390/agriculture12040465
APA StyleWang, Y., Wu, W., Wu, Z., Zhang, N., Li, S., & Meng, X. (2022). Revealing a Significant Latent Loss of Dry Matter in Rice Based on Accurate Measurement of Grain Growth Curve. Agriculture, 12(4), 465. https://doi.org/10.3390/agriculture12040465
