Effects of Humic Acid Added to Controlled-Release Fertilizer on Summer Maize Yield, Nitrogen Use Efficiency and Greenhouse Gas Emission
Abstract
:1. Introduction
2. Materials and Methods
2.1. Experimental Site and Design
2.2. Measurements
2.2.1. Grain Yield and Production Value
2.2.2. GHG Emission
2.2.3. Nitrogen Accumulation and Utilization
2.2.4. NH4+-N and NO3−-N of Soil
2.2.5. Statistical Analysis
3. Results
3.1. Yield and Its Components
3.2. Nitrogen Accumulation and Utilization
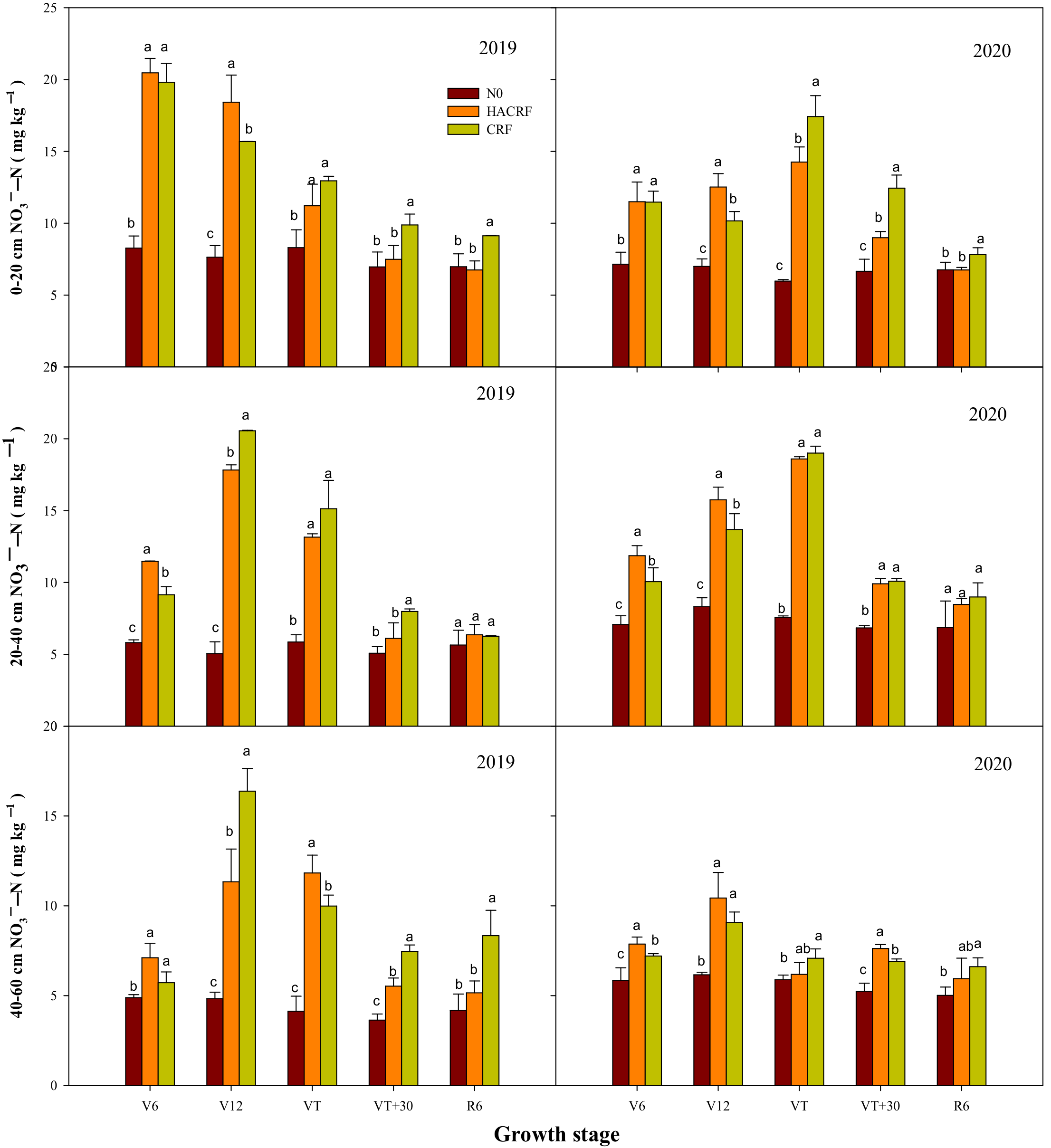
3.3. NH4+-N and NO3−-N Content of Soil
3.4. GHG Emission
3.4.1. Dynamic Change in Gas Emission Flux
3.4.2. Cumulative Gas Emissions and Global Warming Potential
4. Discussion
5. Conclusions
Author Contributions
Funding
Institutional Review Board Statement
Informed Consent Statement
Data Availability Statement
Conflicts of Interest
References
- Tian, Z. Effects of Different Management Practices on Ammonia, Greenhouse Gas Emissions and Soil Organic Carbon Sequestration from Cotton Field. Ph.D. Thesis, Northwest A & F University, Shanxi, China, 2017. [Google Scholar]
- Vilarrasa-Nogue, M.; Teira-Esmatges, M.R.; Pascual, M.; Villar, J.M.; Rufat, J. Effect of N dose, fertilisation duration and application of a nitrification inhibitor on GHG emissions from a peach orchard. Sci. Total Environ. 2020, 699, 134042. [Google Scholar] [CrossRef]
- Tian, Z.; Jim, J.; Wang, S.H.; Gerald, O.M.; Zhang, Z.Q. Application effects of coated urea and urease and nitrification inhibitors on ammonia and greenhouse gas emissions from a subtropical cotton field of the Mississippi Delta Region. Sci. Total Environ. 2015, 533, 329–338. [Google Scholar] [CrossRef]
- Zhong, Y.M.; Wang, X.P.; Yang, J.P.; Zhao, X.; Ye, X.Y. Exploring a suitable nitrogen fertilizer rate to reduce greenhouse gas emissions and ensure rice yields in paddy fields. Sci. Total Environ. 2016, 565, 420–426. [Google Scholar] [CrossRef]
- Chi, Y.B.; Yang, P.L.; Ren, S.M.; Ma, N.; Yang, J.; Xu, Y. Effects of fertilizer types and water quality on carbon dioxide emissions from soil in wheat-maize rotations. Sci. Total Environ. 2020, 698, 134010. [Google Scholar] [CrossRef]
- Puga, A.P.; Grutzmacher, P.; Cerri, C.E.P.; Ribeirinho, V.S.; de Andrade, C.A. Biochar-based nitrogen fertilizers: Greenhouse gas emissions, use efficiency, and maize yield in tropical soils. Sci. Total Environ. 2020, 704, 135375. [Google Scholar] [CrossRef]
- Wang, C.; Zhao, J.C.; Feng, Y.P.; Shang, M.F.; Bo, X.Z.; Gao, Z.Z.; Chen, F.; Chu, Q.Q. Optimizing tillage method and irrigation schedule for greenhouse gas mitigation, yield improvement, and water conservation in wheat–maize cropping systems. Agric. Water Manag. 2021, 248, 106762. [Google Scholar] [CrossRef]
- Ransom, C.J.; Jolley, V.D.; Blair, T.A.; Sutton, L.E.; Hopkins, B.G. Nitrogen release rates from slow- and controlled-release fertilizers influenced by placement and temperature. PLoS ONE 2020, 15, e0234544. [Google Scholar] [CrossRef]
- Sun, H.; Zhou, S.; Zhang, J.; Zhang, X.; Wang, C. Effects of controlled-release fertilizer on rice grain yield, nitrogen use efficiency, and greenhouse gas emissions in a paddy field with straw incorporation. Field Crop. Res. 2020, 253, 107814. [Google Scholar] [CrossRef]
- Duan, Z.Y.; Li, Y.E.; Wan, Y.F.; Qin, X.B.; Wang, B. Emission of greenhouse gases for spring maize on different fertilizer treatments. Editor. Off. Trans. Chin. Soc. Agric. Eng. 2014, 30, 216–224. [Google Scholar]
- Tian, C.; Zhou, X.; Ding, Z.l.; Liu, Q.; Xie, G.X.; Peng, J.W.; Rong, X.M.; Zhang, Y.P.; Yang, Y.; Eissa, M.A. Controlled-release N fertilizer to mitigate ammonia volatilization from double-cropping rice. Nutr. Cycl. Agroecosyst. 2021, 119, 123–137. [Google Scholar] [CrossRef]
- Guo, C.; Xu, Z.W.; Wang, B.; Ren, T.; Wan, Y.F.; Zou, J.L.; Lu, J.W.; Li, X.K. Effects of slow/controlled release urea on annual CH4 and N2O emissions in paddy field. Chin. J. Appl. Ecol. 2016, 27, 1489–1495. [Google Scholar]
- Yao, F.Y.; Wang, L.C.; Duo, X.Q.; Liu, Z.M.; Lv, Y.J.; Cao, Y.J.; Wei, W.W.; Wang, Y.J. Effects of different nitrogen fertilizers on annual emissions of greenhouse gas from maize field in Northeaset China. Chin. J. Appl. Ecol. 2019, 30, 1303–1311. [Google Scholar]
- Banger, K.; Tian, H.Q.; Lu, C.Q. Do nitrogen fertilizers stimulate or inhibit methane emissions from rice fields? Glob. Chang. Biol. 2012, 18, 3259–3267. [Google Scholar] [CrossRef]
- Gao, H.J.; Zhang, W.J.; Peng, C.; Zhang, X.Z.; Li, Q.; Zhu, P. Emission characteristics of greenhouse gas from maize field of black soil region under long-term fertilization. J. Agric. Resour. Environ. 2017, 24, 422–430. [Google Scholar]
- Zhang, D.J.; Zong, J.J.; Ma, J.H.; Yang, X.Q.; Hu, X.; Xu, S. Effects of wheat-maize rotation system tillage method and enhanced organic fertilizer on soil organic carbon pool and greenhouse gas emission in maize soil. Ecol. Environ. Sci. 2019, 28, 1927–1935. [Google Scholar]
- Yang, W.; Feng, G.; Miles, D.; Gao, L.H.; Jia, Y.L.; Li, C.J.; Qu, Z.Y. Impact of biochar on greenhouse gas emissions and soil carbon sequestration in corn grown under drip irrigation with mulching. Sci. Total Environ. 2020, 729, 138752. [Google Scholar] [CrossRef]
- Agegnehu, G.; Bass, A.M.; Nelsona, P.N.; Bird, M.I. Benefits of biochar, compost and biochar–compost for soil quality, maize yield and greenhouse gas emissions in a tropical agricultural soil. Sci. Total Environ. 2016, 543, 295–306. [Google Scholar] [CrossRef]
- Susic, M.; Genc, Y.; Lyons, G. Replenishing humic acids in agricultural soils. Agronomy 2016, 6, 45. [Google Scholar] [CrossRef] [Green Version]
- Schlten, H.R.; Schnitzer, M. A state of the art structural concept for humic substances. Naturwissenschaflen 1993, 80, 29–30. [Google Scholar] [CrossRef]
- Purwanto, B.H.; Wulandari, P.; Sulistyaningsih, E.; Utami, S.N.H.; Handayani, S. Improved corn yields when humic acid extracted from composted manure is applied to acid soils with phosphorus fertilizer. Appl. Environ. Soil Sci. 2021, 2021, 8838420. [Google Scholar] [CrossRef]
- Xiao, Q.L.; Zhu, J.; Peng, H.; Li, S.N.; Ji, X.H. Ammonia volatilization loss and emission reduction measures in paddy fields. J. Agro-Environ. Sci. 2021, 40, 16–25. [Google Scholar]
- Reeza, A.A.; Ahmed, O.H.; Majid, N.M.N.A.; Jalloh, M.B. Reducing ammonia loss from urea by mixing with humic and fulvic acids isolated from coal. Am. J. Environ. Sci. 2009, 5, 420–426. [Google Scholar] [CrossRef]
- Osman, E.A.M.; El-Masry, A.A.; Khatab, K.A. Effect of nitrogen fertilizer sources and foliar spray of humic and/or fulvic acids on yield and quality of rice plants. Adv. Appl. Sci. Res. 2013, 4, 174–183. [Google Scholar]
- Suntari, R.; Retnowati, R.; Soemarno, S.; Munir, M. Determination of urea-humic acid dosage of vertisols on the growth and production of rice. AGRIVITA J. Agric. Sci. 2015, 37, 185–192. [Google Scholar] [CrossRef] [Green Version]
- Zhang, S.Q.; Yuan, L.; Li, W.; Lin, Z.A.; Li, Y.T.; Hu, S.W.; Zhao, B.Q. Effects of urea enhanced with different weathered coal-derived humic acid components on maize yield and fate of fertilizer nitrogen. J. Intergrative Agric. 2019, 18, 656–666. [Google Scholar] [CrossRef]
- Shen, Y.W.; Lin, H.T.; Gao, W.S.; Li, M.L. The effects of humic acid urea and polyaspartic acid urea on reducing nitrogen loss compared with urea. J. Sci. Food Agric. 2020, 100, 4425–4432. [Google Scholar] [CrossRef]
- Yu, K.; Fang, X.T.; Zhang, Y.H.; Miao, Y.C.; Liu, S.W.; Zou, J.W. Low greenhouse gases emissions associated with high nitrogen use efficiency under optimized fertilization regimes in double-rice cropping systems. Appl. Soil Ecol. 2021, 160, 103846. [Google Scholar] [CrossRef]
- Luo, L.G.; Kondo, M.; Itoh, S. N2O and CH4 emission from Japan rice fields under different long-term fertilization patterns and its environmental impact. Chin. J. Appl. Ecol. 2010, 21, 3200–3206. [Google Scholar]
- Jones, S.K.; Rees, R.M.; Skiba, U.M.; Ball, B.C. Greenhouse gas emissions from a managed grassland. Glob. Planet. Chang. 2005, 47, 201–211. [Google Scholar] [CrossRef]
- Wang, X.J.; Zhang, R.Z.; Qi, P.; Jiao, Y.P.; Cai, L.Q.; Wu, J.; Xie, H.J. Meta-analysis on farmland soil CO2 emission in Northern China affected by organic fertilizer. Trans. Chin. Soc. Agric. Eng. 2019, 5, 99–107. [Google Scholar]
- Zhang, A.; Cui, L.; Pan, G.; Li, L.; Hussain, Q.; Zhang, X.; Crowley, D. Effect of biochar amendment on yield and methane and nitrous oxide emissions from a rice paddy from Tai Lake plain, China. Agric. Ecosyst. Environ. 2010, 139, 469–475. [Google Scholar] [CrossRef]
- Shu, X.X.; Wang, Y.Q.; Wang, Y.L.; Ma, Y.; Men, M.X.; Zheng, Y.P.; Xue, C.; Peng, Z.P.; Noulas, C. Response of soil N2O emission and nitrogen utilization to organic matter in the wheat and maize rotation system. Sci. Rep. 2021, 11, 4396. [Google Scholar] [CrossRef]
- IPCC. Impacts, adaptation, and vulnerability. In Working Group II Contribution to the Fifth Assessment Report of the Intergovernmental Panel on Climate Change; Technical Report; Cambridge University Press: Cambridge, UK; New York, NY, USA, 2014. [Google Scholar]
- Liao, B.; Wu, X.; Yu, Y.F.; Luo, S.Y.; Hu, R.G.; Lu, G.A. Effects of mild alternate wetting and drying irrigation and mid-season drainage on CH4 and N2O emissions in rice cultivation. Sci. Total Environ. 2020, 698, 134212. [Google Scholar] [CrossRef]
- Zhao, B.; Dong, S.T.; Zhang, J.W.; Liu, P. Effects of controlled-release fertilizer on yield and nitrogen accumulation and distribution in summer maize. Acta Agron. Sin. 2010, 36, 1760–1768. [Google Scholar]
- Ranjan, R.; Yadav, R. Targeting nitrogen use efficiency for sustained production of cereal crops. J. Plant Nutr. 2019, 42, 1086–1113. [Google Scholar] [CrossRef]
- Bao, S.D. Soil Agricultural Chemistry Analysis; China Agriculture Press: Beijing, China, 2000. [Google Scholar]
- Yuan, L.; Chen, X.; Jia, J.; Chen, H.; Shi, Y.; Ma, J.; Liang, C.; Liu, Y.; Xie, H.; He, H.; et al. Stover mulching and inhibitor application maintain crop yield and decrease fertilizer N input and losses in no-till cropping systems in Northeast China. Agric. Ecosyst. Environ. 2021, 312, 107360. [Google Scholar] [CrossRef]
- Ni, B.L.; Liu, M.Z.; Lü, S.Y.; Xie, L.H.; Wang, Y.F. Multifunctional slow-release organic-inorganic compound fertilizer. Agric. Food Chem. 2010, 58, 12373–12378. [Google Scholar] [CrossRef]
- Yang, Q.L.; Liu, P.; Dong, S.T.; Zhang, J.W.; Zhao, B. Combined application of organic and inorganic fertilizers mitigates ammonia and nitrous oxide emissions in a maize field. Nutr. Cycl. Agroecosyst. 2020, 117, 13–27. [Google Scholar] [CrossRef]
- Shoji, S. Innovative use of controlled availability fertilizers with high performance for intensive agriculture and environmental conservation. Sci. China Ser. C Life Sci. 2005, 48, 912–920. [Google Scholar]
- Gao, H.J.; Zhu, P.; Peng, C.; Zhang, X.Z.; Li, Q.; Zhang, W.J. Effects of partially replacement of inorganic N with organic materials on nitrogen efficiency of spring maize and soil inorganic nitrogen content under the same N input. J. Plant Nutr. Fertil. 2015, 21, 318–325. [Google Scholar]
- Wen, Z.H.; Shen, J.B.; Blackwell, M.; Li, H.G.; Zhao, B.Q.; Yuan, H.M. Combined applications of nitrogen and phosphorus fertilizers with manure increase maize yield and nutrient uptake via stimulating root growth in a long-term experiment. Pedosphere 2016, 26, 62–73. [Google Scholar] [CrossRef]
- Orlov, D.S.; Sadovnikova, L.K. Soil organic matter and protective functions of humic substances in the bioshere. In Use of Humic Substances to Remediate Polluted Environments: From the Ory to Practice; Springer: Dordrecht, The Netherlands, 2005; pp. 37–52. [Google Scholar]
- Trevisan, S.; Francioso, O.; Quaggiotti, S.; Nardi, S. Humic substances biological activity at the plant-soil interface. Plant Signal. Behav. 2010, 6, 635–643. [Google Scholar] [CrossRef] [Green Version]
- Liu, M.L.; Wang, C.; Wang, F.Y.; Xie, Y.J. Maize (Zea mays) growth and nutrient uptake following integrated improvement of vermicompost and humic acid fertilizer on coastal saline soil. Appl. Soil Ecol. 2019, 142, 147–154. [Google Scholar] [CrossRef]
- Deng, A.N.; Luo, J.H.; Su, C.L.; Wu, X.F.; Zhao, M. Reduced inorganic fertilizer in combination with an alkaline humic acid fertilizer amendment on acid growth media properties and cherry tomato growth. N. Z. J. Crop Hortic. Sci. 2021, 49, 225–242. [Google Scholar] [CrossRef]
- Pang, L.Y.; Song, F.P.; Song, X.L.; Guo, X.S.; Lu, Y.Y.; Chen, S.G.; Zhu, F.J.; Zhang, N.D.; Zou, J.C.; Zhang, P.H. Effects of different types of humic acid isolated from coal on soil NH3 volatilization and CO2 emissions. Environ. Res. 2021, 194, 110711. [Google Scholar] [CrossRef]
- Zhang, S.Q.; Yuan, L.; Lin, Z.A.; Li, Y.T.; Hu, S.W.; Zhao, B.Q. Advances in humic acid fou promoting plant growth and its mechanism. J. Plant Nutr. Fertil. 2017, 23, 1065–1076. [Google Scholar]
- Jindo, K.J.; Martim, A.S.; Navarro, E.C.; Pérez-Alfocea, F.; Hernandez, T.; Garcia, C.; Aguiar, N.O.; Canellas, L.P. Root growth promotion by humic acids from composted and non-composted urban organic wastes. Plant Soil 2012, 353, 209–220. [Google Scholar] [CrossRef]
- Hala, S.M.E.B.; Bakry, A.B.; Amany, A.E.M.A.; Maha, M.A.A. Physiological Role of humic acid and nicotinamide on improving plant growth, yield, and mineral nutrient of wheat (triticum durum) grown under newly reclaimed sandy soil. Agric. Sci. 2014, 5, 687–700. [Google Scholar]
- Bayat, H.; Shafie, F.; Aminifard, M.H.; Daghighi, S. Comparative effects of humic and fulvic acids as biostimulants on growth, antioxidant activity and nutrient content of yarrow (Achillea millefolium L.). Sci. Hortic. 2021, 279, 109912. [Google Scholar] [CrossRef]
- Chen, X.G.; Kou, M.; Tang, Z.H.; Zhang, A.J.; Li, H.M. The use of humic acid urea fertilizer for increasing yield and utilization of nitrogen in sweet potato. Plant Soil Environ. 2017, 63, 201–206. [Google Scholar]
- Ma, Z.T.; Ren, B.Z.; Zhao, B.; Liu, P.; Zhang, J.W. Optimising the root traits of summer maize to improve nutrient uptake and utilisation through rational application of urea ammonium nitrate solution. Plant Soil Environ. 2022, 68, 98–107. [Google Scholar] [CrossRef]
- Akbolat, D.; Senyigit, U. Short-term effect of different irrigation water levels on soil carbon dioxide (CO2) emission. Fresenius Environ. Bull. 2012, 21, 3869–3873. [Google Scholar]
- Han, B.; Ye, X.H.; Li, W.; Zhang, X.C.; Zhang, Y.L.; Lin, X.G.; Zou, H.T. The effects of different irrigation regimes on nitrous oxide emissions and influencing factors in greenhouse tomato fields. J. Soils Sediments 2017, 17, 2457–2468. [Google Scholar] [CrossRef]
- Ni, X.; Jiang, C.S.; Chen, S.J.; Li, X.X.; Shi, X.J.; Hao, Q.J. Effects of plastic film mulching and nitrogen fertilizer application on CH4 emissions from a vegetable field. Environ. Sci. 2019, 40, 893–903. [Google Scholar]
- Gioacchini, P.; Nastri, A.; Marzadori, C.; Giovannini, C.; Antisari, L.V.; Gessa, C. Influence of urease and nitrification inhibitors on N losses from soils fertilized with urea. Biol. Fertil. Soils 2002, 36, 129–135. [Google Scholar] [CrossRef]
- Rizhiya, E.; Bertora, C.; Vliet, P.C.J.; Kuikman, P.J.; Faber, J.H.; Groenigen, J.W. Earthworm activity as a determinant for N2O emission from crop residue. Soil Biol. Biochem. 2007, 39, 2058–2069. [Google Scholar] [CrossRef]
- Gao, F.; Li, B.; Ren, B.Z.; Liu, P.; Zhang, J.W. Effects of residue management strategies on greenhouse gases and yield under double cropping of winter wheat and summer maize. Sci. Total Environ. 2019, 687, 1138–1146. [Google Scholar] [CrossRef]
- Jie, X.H.; Zou, D.Y.; Sui, X.H.; Chen, C.F. Application of humic acid fertilizers to reduce greenhouse gas emissions. Humic Acid 2010, 5, 43–44. [Google Scholar]
- Yang, F.; Antonietti, M. Artificial humic acids: Sustainable materials against climate change. Adv. Sci. 2020, 7, 1902992. [Google Scholar] [CrossRef] [Green Version]
- Ma, J.; Ji, Y.; Zhang, G.B.; Xu, H.; Yagi, K. Timing of midseason aeration to reduce CH4 and N2O emissions from double rice cultivation in China. Soil Sci. Plant Nutr. 2013, 59, 35–45. [Google Scholar] [CrossRef] [Green Version]
- Fan, Y.Q.; Hao, X.M.; Carswell, A.; Misselbrook, T.; Ding, R.S.; Li, S.E.; Kang, S.Z. Inorganic nitrogen fertilizer and high N application rate promote N2O emission and suppress CH4 uptake in a rotational vegetable system. Soil Tillage Res. 2021, 206, 104848. [Google Scholar] [CrossRef]
- Qi, L.; Ma, Z.l.; Chang, S.X.; Zhou, P.; Huang, R.; Wang, Y.Y.; Wang, Z.F.; Gao, M. Biochar decreases methanogenic archaea abundance and methane emissions in a flooded paddy soil. Sci. Total Environ. 2021, 752, 141958. [Google Scholar] [CrossRef] [PubMed]
- Feng, Y.Z.; Xu, Y.P.; Yu, Y.C.; Xie, Z.B.; Lin, X.G. Mechanisms of biochar decreasing methane emission from Chinese paddy soils. Soil Biol. Biochem. 2012, 46, 80–88. [Google Scholar] [CrossRef]
- Liu, Y.X.; Yang, M.; Wu, Y.M.; Wang, H.L.; Chen, Y.X.; Wu, W.X. Reducing CH4 and CO2 emissions from waterlogged paddy soil with biochar. J. Soils Sediments 2011, 11, 930–939. [Google Scholar] [CrossRef]
- Qin, X.B.; Li, Y.e.; Wang, H.; Liu, C.; Li, J.l.; Wan, Y.F.; Gao, Q.Z.; Fan, F.L.; Liao, Y.L. Long-term effect of biochar application on yield-scaled greenhouse gas emissions in a rice paddy cropping system: A four-year case study in south China. Sci. Total Environ. 2016, 569, 1390–1401. [Google Scholar] [CrossRef]
- Zhang, A.F. A Study of Effect of Biochar Amendment on Greenhouse Gases Emissions and Crop Productivity in Agriculture. Ph.D. Thesis, Nanjing Agricultural University, Nanjing, China, 2012. [Google Scholar]




| Year | Treatment | 1000-Grain Weight (g) | Grains per Ear | Ears (No·ha−1) | Grain Yield (t·ha−1) | Production Value (USD·ha-1) | Economic Benefits (USD·ha−1) | The Ratio of Production to Investment (USD·ha−1) |
|---|---|---|---|---|---|---|---|---|
| 2019 | N0 | 277.6 c | 319 b | 69,997 a | 6.2 c | 1559 c | −624 c | 0.71 c |
| CRF | 328.2 b | 529 a | 72,989 a | 12.7 b | 3187 b | 701 b | 1.27 b | |
| HACRF | 336.5 a | 536 a | 73,645 a | 13.3 a | 3339 a | 820 a | 1.32 a | |
| 2020 | N0 | 337.9 c | 291 b | 66,945 a | 6.6 c | 1986 c | −196 c | 0.90 c |
| CRF | 392.4 b | 446 a | 65,834 a | 11.5 b | 3478 b | 993 b | 1.39 b | |
| HACRF | 399.1 a | 457 a | 66,389 a | 12.1 a | 3652 a | 1133 a | 1.44 a | |
| Year (Y) | ** | ** | * | * | ** | ** | ** | |
| Treatment (T) | ** | ** | NS | ** | ** | ** | ** | |
| Y × T | NS | NS | NS | * | * | * | ** | |
| Year | Treatments | TNAA (kg·ha−1) | NPFP (kg·kg−1) | SNDR (%) | NUE (%) |
|---|---|---|---|---|---|
| 2019 | N0 | 109.2 c | - | - | - |
| HACRF | 258.1 a | 63.2 a | 42.3 b | 47.4 a | |
| CRF | 239.7 b | 60.4 b | 45.6 a | 45.3 b | |
| 2020 | N0 | 91.3 c | |||
| HACRF | 225.6 a | 57.8 a | 40.5 b | 41.3 a | |
| CRF | 199.8 b | 54.9 b | 45.8 a | 39.2 b | |
| Year (Y) | ** | ** | NS | ** | |
| Treatment (T) | ** | ** | ** | ** | |
| Y × T | NS | NS | NS | NS | |
| Years | Treatments | Total Cumulative Emission of N2O (kg N·ha−1) | Total Cumulative Emission of CO2 (kg C·ha−1) | Total Cumulative Emission of CH4 (kg C·ha−1) | GWP (kg CO2-eq·ha−1) | GHGI (kg CO2-eq·kg−1) |
|---|---|---|---|---|---|---|
| 2019 | N0 | 1.16 c | 21,010 c | −0.82 c | 293 c | 0.047 c |
| HACRF | 8.72 b | 25,580 b | −0.44 b | 2299 b | 0.173 b | |
| CRF | 12.29 a | 26,213 a | −0.15 a | 3253 a | 0.257 a | |
| 2020 | N0 | 0.67 c | 14,872 c | −0.47 c | 165 c | 0.025 c |
| HACRF | 4.95 b | 20,242 b | −0.16 b | 1308 b | 0.108 b | |
| CRF | 6.95 a | 20,838 a | −0.10 a | 1840 a | 0.160 a | |
| Year (Y) | ** | ** | ** | ** | ** | |
| Treatment(T) | ** | ** | ** | ** | ** | |
| Y × T | ** | ** | ** | ** | ** | |
Publisher’s Note: MDPI stays neutral with regard to jurisdictional claims in published maps and institutional affiliations. |
© 2022 by the authors. Licensee MDPI, Basel, Switzerland. This article is an open access article distributed under the terms and conditions of the Creative Commons Attribution (CC BY) license (https://creativecommons.org/licenses/by/4.0/).
Share and Cite
Guo, Y.; Ma, Z.; Ren, B.; Zhao, B.; Liu, P.; Zhang, J. Effects of Humic Acid Added to Controlled-Release Fertilizer on Summer Maize Yield, Nitrogen Use Efficiency and Greenhouse Gas Emission. Agriculture 2022, 12, 448. https://doi.org/10.3390/agriculture12040448
Guo Y, Ma Z, Ren B, Zhao B, Liu P, Zhang J. Effects of Humic Acid Added to Controlled-Release Fertilizer on Summer Maize Yield, Nitrogen Use Efficiency and Greenhouse Gas Emission. Agriculture. 2022; 12(4):448. https://doi.org/10.3390/agriculture12040448
Chicago/Turabian StyleGuo, Yanqing, Zhentao Ma, Baizhao Ren, Bin Zhao, Peng Liu, and Jiwang Zhang. 2022. "Effects of Humic Acid Added to Controlled-Release Fertilizer on Summer Maize Yield, Nitrogen Use Efficiency and Greenhouse Gas Emission" Agriculture 12, no. 4: 448. https://doi.org/10.3390/agriculture12040448
APA StyleGuo, Y., Ma, Z., Ren, B., Zhao, B., Liu, P., & Zhang, J. (2022). Effects of Humic Acid Added to Controlled-Release Fertilizer on Summer Maize Yield, Nitrogen Use Efficiency and Greenhouse Gas Emission. Agriculture, 12(4), 448. https://doi.org/10.3390/agriculture12040448
