Field Investigation of the Static Friction Characteristics of High-Yielding Rice during Harvest
Abstract
:1. Introduction
2. Materials and Methods
2.1. Test Location and Materials
2.2. Test Methods
2.2.1. Measurement of Static Friction Coefficient
2.2.2. Measurement Data Statistics
3. Results
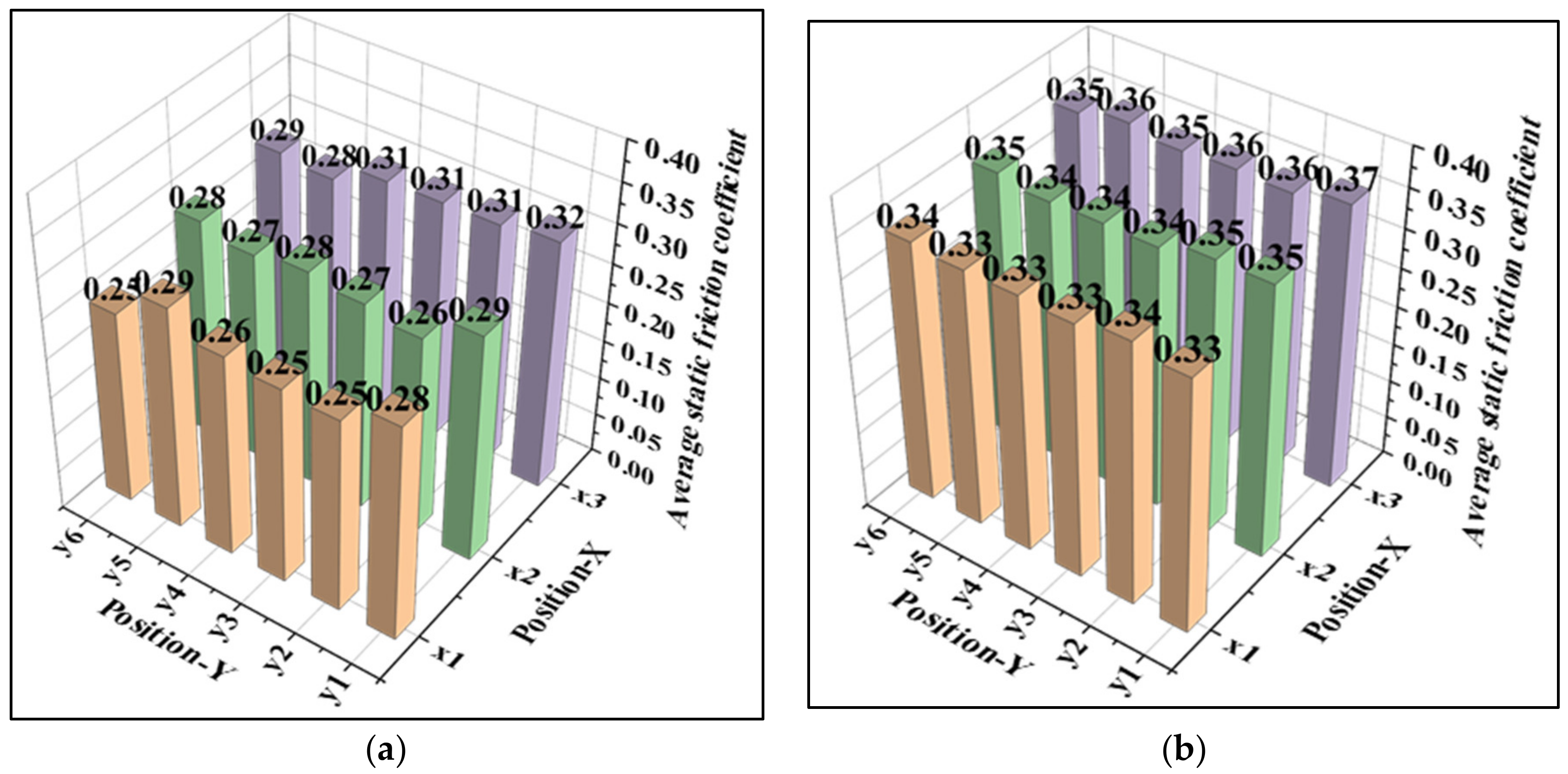
3.1. Effects of Spatial Location on Static Friction Coefficient of Rice
3.2. Effect of Rice Grain and Stem Placement on the Static Friction Coefficient
3.3. Effects of the Harvest Time and Temperature on the Static Friction Coefficients of Rice Grains and Stems
4. Discussion
5. Conclusions
Author Contributions
Funding
Institutional Review Board Statement
Informed Consent Statement
Data Availability Statement
Conflicts of Interest
References
- Van, N.N.; Ferrero, A. Meeting the challenges of global rice production. Paddy Water Environ. 2006, 4, 1–9. [Google Scholar]
- Muthayya, S.; Sugimoto, J.D.; Montgomery, S.; Maberly, G.F. An overview of global rice production, supply, trade, and consumption. Ann. N. Y. Acad. Sci. 2014, 1324, 7–14. [Google Scholar] [CrossRef]
- Zhu, D.; Cheng, S.H.; Zhang, Y.P.; Lin, X.Q.; Chen, H. Analysis of status and constraints of rice production in the world. Sci. Agric. Sin. 2010, 43, 474–479. [Google Scholar]
- Bandumula, N. Rice production in Asia: Key to global food security. Proc. Natl. Acad. Sci. India Sect. B 2018, 88, 1323–1328. [Google Scholar] [CrossRef]
- Coats, B. Global rice production. In Rice Origin, History, Technology and Production, 1st ed.; Smith, C.W., Dilday, R.H., Eds.; John Wiley & Sons, Inc.: Hoboken, NJ, USA, 2003; pp. 247–470. [Google Scholar]
- Nie, L.X.; Peng, S.B. Rice production in China. In Rice Production Worldwide, 1st ed.; Chauhan, B.S., Jabran, K., Mahajan, G., Eds.; Springer: Cham, Switzerland, 2017; pp. 33–52. [Google Scholar]
- Watanabe, M.; Sumita, Y.; Azechi, I.; Ito, K.; Noda, K. The Value Chain of Locally Grown Japonica Rice in Mwea, Kenya. Agriculture 2021, 11, 974. [Google Scholar] [CrossRef]
- Dawe, D.; Pandey, S.; Nelson, A. Emerging Trends and Spatial Patterns of Rice Production. Rice in the global economy: Strategic Research and Policy Issues for Food Security; International Rice Research Institute: Los Banos, Philippines, 2010. [Google Scholar]
- Papademetriou, M.K. Rice Production in the Asia-Pacific Region: Issues and Perspectives, Bridging the rice yield gap in the Asia-Pacific region, Bangkok, Thailand, 1999.10.5; Papademetriou, M.K., Dent, F.J., Herath, E.M., Eds.; FAO Regional Office for Asia and the Pacific: Bangkok, Thailand, 2000. [Google Scholar]
- Peng, S.; Tang, Q.; Zou, Y. Current status and challenges of rice production in China. Plant Prod. Sci. 2009, 12, 3–8. [Google Scholar] [CrossRef] [Green Version]
- Yu, G.P. Analysis of the Strategic Position of Rice in China’s Food Security. Master’s Thesis, Chinese Academy of Agricultural Sciences, Beijing, China, 2009. (In Chinese). [Google Scholar]
- Liang, J.; Lv, X.T.; Feng, Y.P.; Wan, K.J.; Tang, S.; He, J. Development Status and Suggestions of Super Rice in China. China Rice 2020, 26, 1–4. (In Chinese) [Google Scholar]
- Zhu, L.H. Some critical considerations on rice high-yielding breeding in China. J. Nanjing Agric. Univ. 2007, 30, 129–135. (In Chinese) [Google Scholar] [CrossRef]
- Super Hybrid Rice “Liang You 293” Integration and Extension of High Yield and High Efficiency Production Technology. Available online: https://kns.cnki.net/kcms/detail/detail.aspx?FileName=SNAD000001478128&DbName=SNAD2013 (accessed on 13 February 2022). (In Chinese).
- Zhu, Z.; Zhang, Y.D.; Chen, T.; Zhao, Q.Y.; Feng, K.H.; Zhou, L.H.; Yao, Z.; Zhao, L.; Zhao, C.F.; Liang, W.H. Breeding and application of a new japonica rice cultivar “Nanjing Jinggu” with good eating quality. Jiangsu Agric. Sci. 2020, 48, 79–82. (In Chinese) [Google Scholar]
- The total extension and application area of super rice in China is 9000 billion square meters. Fujian Sci. Technol. Rice Wheat. 2018, 36, 60. (In Chinese)
- Trial planting and extension of China’s “Green Super Rice” in 18 Asian and African countries. Agric. Sci. Technol. Inf. 2020, 1, 9. (In Chinese)
- Piveta, L.B.; Roma-Burgos, N.; Noldin, J.A.; Viana, V.E.; Oliveira, C.D.; Lamego, F.P.; Avila, L.A.D. Molecular and physiological responses of rice and weedy rice to heat and drought stress. Agriculture 2021, 11, 9. [Google Scholar] [CrossRef]
- Liu, Q.; Chen, S.; Zhou, L.; Tao, Y.; Tian, J.; Xing, Z.; Wei, H.; Zhang, H. Characteristics of Population Quality and Rice Quality of Semi-Waxy japonica Rice Varieties with Different Grain Yields. Agriculture 2022, 12, 1–15. [Google Scholar] [CrossRef]
- Peng, Y.L.; Hu, Y.G.; Qian, Q.; Ren, D.Y. Progress and prospect of breeding utilization of green revolution gene SD1 in rice. Agriculture 2021, 11, 611. [Google Scholar] [CrossRef]
- Meng, T.Y.; Chen, X.; Zhang, X.B.; Ge, J.L.; Zhou, G.S.; Dai, Q.G.; Wei, H.H. Grain-Filling Characteristics in Extra-Large Pan-icle Type of Early-Maturing japonica/indica Hybrids. Agriculture 2021, 11, 1165. [Google Scholar] [CrossRef]
- Meng, T.Y.; Ge, J.L.; Zhang, X.B.; Chen, X.; Zhou, G.S.; Wei, H.H. Improvements in plant morphology facilitating progressive yield increases of japonica inbred rice since the 1980s in East China. Agriculture 2021, 11, 834. [Google Scholar] [CrossRef]
- Wang, Z.M. Study on distribution spectrum of grain connection force and differential-speed threshing device for combine harvester. J. Zhejiang Univ. (Agric. Life Sci.) 2017, 43, 120–127. [Google Scholar]
- Liang, Z.W.; Li, Y.M.; De Baerdemaeker, J.; Xu, L.Z.; Saeys, W. Development and testing of a multi-duct cleaning device for tangential-longitudinal flow rice combine harvesters. Biosyst. Eng. 2019, 182, 95–106. [Google Scholar] [CrossRef]
- Tang, Z.; Li, Y.M.; Xu, L.Z. Design and optimization for length of longitudinal-flow threshing cylinder of combine harvester. Trans. Chin. Soc. Agric. Eng. 2014, 30, 28–34. [Google Scholar]
- Xu, L.; Li, Y.; Chai, X.; Wang, G.; Li, B. Numerical simulation of gas–solid two-phase flow to predict the cleaning performance of rice combine harvesters. Biosyst. Eng. 2020, 190, 11–24. [Google Scholar] [CrossRef]
- Ma, Z.; Han, M.; Li, Y.; Gao, H.; Ma, K. Motion of cereal particles on variable-amplitude sieve as determined by high-speed image analysis. Comput. Electron. Agric. 2020, 174, 105465. [Google Scholar] [CrossRef]
- Shi, G.K.; Li, J.B.; Ding, L.P.; Zhang, Z.Y.; Ding, H.Z.; Li, N.; Kan, Z. Calibration and Tests for the Discrete Element Simulation Parameters of Fallen Jujube Fruit. Agriculture 2022, 12, 38. [Google Scholar] [CrossRef]
- Rahnejat, H.; Gohar, R. Fundamentals of Tribology, 3rd ed.; World Scientific Publishing Company: Singapore, 2018. [Google Scholar]
- Zhang, S.W.; Fu, J.; Zhang, R.Y.; Zhang, Y.; Yuan, H.F. Experimental Study on the Mechanical Properties of Friction, Collision and Compression of Tiger Nut Tubers. Agriculture 2022, 12, 65. [Google Scholar] [CrossRef]
- Zhou, Y.P.; Su, H.T. Study on the Influencing Factors of High Yield of Rice in China. Mod. Agric. Res. 2020, 26, 130–131. (In Chinese) [Google Scholar]
- Ghadge, P.N.; Prasad, K. Some physical properties of rice kernels: Variety PR-106. J. Food Process. Technol. 2012, 3, 1–5. [Google Scholar] [CrossRef] [Green Version]
- Jouki, M.; Khazaei, N. Some physical properties of rice seed (Oryza sativa). Res. J. Appl. Sci. Eng. Technol. 2012, 4, 1846–1849. [Google Scholar]
- Li, H.C.; Gao, F.; Li, Y.M.; Yan, J.C. Determination of Rice Grain Physical Properties. J. Agric Mech. Res. 2014, 36, 23–27. (In Chinese) [Google Scholar]
- Bhattacharya, K.R. Rice Quality: A Guide to Rice Properties and Analysis, 2nd ed.; Woodhead Publishing: Philadelphia, PA, USA, 2011; pp. 26–60. [Google Scholar]
- Yuan, J.B.; Wu, C.Y.; Li, H.; Qi, X.D.; Xiao, X.X.; Shi, X.X. Determination and Analysis of Two Kinds of Threshed Rice Physi-cal Properties in South China. J. Agric. Mech. Res. 2018, 40, 154–159. (In Chinese) [Google Scholar]
- Yu, H.M. The Experimental Measurement of Physical Characteristics for Special Grains. Master’s Thesis, Nanjing Agricultural University, Nanjing, China, 2006. (In Chinese). [Google Scholar]
- Zhang, Q.; Puri, V.M.; Manbeck, H.B. An empirical model for friction force versus relative displacement between maize, rice and soybeans on galvanized steel. J. Agric. Eng. Res. 1991, 49, 59–71. [Google Scholar] [CrossRef]
- Kayode, S.E.; Olorunfemi, B.J.; Soyoye, B.O. Determination of engineering properties of some Nigerian local grain crops. Int. J. Agric. Biosyst. Eng. 2018, 3, 10–18. [Google Scholar]
- Kumar, S.; Haq, R.; Prasad, K. Studies on physico-chemical, functional, pasting and morphological characteristics of developed extra thin flaked rice. J. Saudi Soc. Agric. Sci. 2018, 17, 259–267. [Google Scholar] [CrossRef] [Green Version]
- Tang, H.; Xu, C.S.; Jiang, Y.M.; Wang, J.W.; Wang, Z.H.; Tian, L.Q. Evaluation of Physical Characteristics of Typical Maize Seeds in a Cold Area of North China Based on Principal Component Analysis. Processes 2021, 9, 1167. [Google Scholar] [CrossRef]
- Zhou, X.W. The Physical and Mechanical Properties Research of Corn Grain. Master’s Thesis, Northeast Agricultural University, Harbin, China, 2015. (In Chinese). [Google Scholar]











| Measurement Period | Measuring Time/h | Sampling Point |
|---|---|---|
| Morning | 8:20 a.m.–9:35 a.m. | x3 (y1→y6) |
| 9:42 a.m.–10:32 a.m. | x1 (y1 → y6) | |
| 11:00 a.m.–12:00 p.m. | x2 (y1 → y6) | |
| Afternoon | 1:20 p.m.–2:23 p.m. | x1 (y1 → y6) |
| 2:37 p.m.–3:19 p.m. | x3 (y1 → y6) | |
| 3:24 p.m.–4:05 p.m. | x2 (y1 → y6) | |
| Evening | 5:00 p.m.–5:27 p.m. | x1 (y1 → y6) |
| 5:32 p.m.–5:57 p.m. | x2 (y1 → y6) | |
| 6:00 p.m.–6:30 p.m. | x3 (y1 → y6) |
| Harvest Time | Air Temperature/°C | Spatial Position X | Spatial Position Y | Static Friction Coefficient of Rice Grain | Static Friction Coefficient of Rice Stem |
|---|---|---|---|---|---|
| 1 | 15 | 1 | 1 | 0.37 | 0.39 |
| 1 | 15 | 1 | 2 | 0.37 | 0.37 |
| 1 | 16 | 1 | 3 | 0.34 | 0.37 |
| 1 | 16 | 1 | 4 | 0.32 | 0.36 |
| 1 | 16 | 1 | 5 | 0.30 | 0.38 |
| 1 | 16 | 1 | 6 | 0.30 | 0.34 |
| 2 | 21 | 2 | 1 | 0.23 | 0.34 |
| 2 | 21 | 2 | 2 | 0.23 | 0.32 |
| 2 | 21 | 2 | 3 | 0.23 | 0.32 |
| 2 | 21 | 2 | 4 | 0.22 | 0.32 |
| 2 | 21 | 2 | 5 | 0.22 | 0.33 |
| 2 | 21 | 2 | 6 | 0.23 | 0.33 |
| 3 | 18 | 3 | 1 | 0.36 | 0.37 |
| 3 | 18 | 3 | 2 | 0.37 | 0.37 |
| 3 | 18 | 3 | 3 | 0.33 | 0.39 |
| 3 | 17 | 3 | 4 | 0.38 | 0.38 |
| 3 | 17 | 3 | 5 | 0.33 | 0.38 |
| 3 | 17 | 3 | 6 | 0.35 | 0.38 |
| Rice Grain Contact Posture | Static Friction Coefficient of Rice Grain | Rice Stem Contact Posture | Static Friction Coefficient of Rice Stem |
|---|---|---|---|
| 1 | 0.39 | 1 | 0.42 |
| 1 | 0.40 | 1 | 0.37 |
| 1 | 0.35 | 1 | 0.37 |
| 1 | 0.33 | 1 | 0.38 |
| 1 | 0.31 | 1 | 0.39 |
| 1 | 0.30 | 1 | 0.34 |
| 2 | 0.35 | 2 | 0.36 |
| 2 | 0.34 | 2 | 0.36 |
| 2 | 0.33 | 2 | 0.36 |
| 2 | 0.31 | 2 | 0.35 |
| 2 | 0.29 | 2 | 0.37 |
| 2 | 0.29 | 2 | 0.33 |
| Position | Category | Square Sum | Free Degree | Mean Square | F | p |
|---|---|---|---|---|---|---|
| X | Static friction coefficient of rice grain | 0.006 | 2 | 0.003 | 14.101 | 0.000 |
| Static friction coefficient of rice stem | 0.002 | 2 | 0.001 | 25.173 | 0.000 | |
| Y | Static friction coefficient of rice grain | 0.001 | 5 | 0.000 | 0.367 | 0.861 |
| Static friction coefficient of rice stem | 0.000 | 5 | 0.000 | 0.204 | 0.955 |
| Source | Project | Xi | Xj | Difference in Mean (Xi–Xj) | Standard Error | p | 95% Confidence Interval | |
|---|---|---|---|---|---|---|---|---|
| Lower Limit | Upper Limit | |||||||
| Bonferroni | Rice grain | X1 | X2 | −0.01440 | 0.0081 | 0.540 | −0.0332 | 0.0104 |
| X3 | −0.04156 | 0.0081 | 0.000 | −0.0635 | −0.0198 | |||
| X2 | X1 | 0.01140 | 0.0081 | 0.540 | −0.0104 | 0.0332 | ||
| X3 | −0.03025 | 0.0081 | 0.006 | −0.0521 | −0.0084 | |||
| X3 | X1 | −0.04166 | 0.0081 | 0.000 | 0.0198 | 0.0635 | ||
| X2 | −0.03025 | 0.0081 | 0.006 | 0.0084 | 0.0521 | |||
| Rice stem | X1 | X2 | −0.01152 | 0.00352 | 0.015 | −0.0210 | −0.0020 | |
| X3 | −0.02496 | 0.00352 | 0.000 | −0.0344 | −0.0155 | |||
| X2 | X1 | 0.01152 | 0.00352 | 0.015 | 0.0020 | 0.0210 | ||
| X3 | −0.01343 | 0.00352 | 0.005 | −0.0299 | −0.0039 | |||
| X3 | X1 | 0.02496 | 0.00352 | 0.000 | 0.0155 | 0.0344 | ||
| X2 | 0.01343 | 0.00352 | 0.005 | 0.0039 | 0.0229 | |||
| Category | Square Sum | Free Degree | Mean Square | F | p |
|---|---|---|---|---|---|
| Rice grain | 0.009 | 1 | 0.009 | 2.435 | 0.122 |
| Rice stem | 0.018 | 1 | 0.018 | 31.540 | 0.000 |
| Factor | Dependent Variable | Square Sum | Free Degree | Mean Square | F | p |
|---|---|---|---|---|---|---|
| Harvest time | Grain static friction coefficient | 0.129 | 2 | 0.065 | 44.235 | 0.000 |
| Stem static friction coefficient | 0.012 | 2 | 0.006 | 23.264 | 0.000 | |
| Temperature | Grain static friction coefficient | 0.087 | 6 | 0.015 | 5.937 | 0.000 |
| Stem static friction coefficient | 0.014 | 6 | 0.002 | 9.613 | 0.000 |
Publisher’s Note: MDPI stays neutral with regard to jurisdictional claims in published maps and institutional affiliations. |
© 2022 by the authors. Licensee MDPI, Basel, Switzerland. This article is an open access article distributed under the terms and conditions of the Creative Commons Attribution (CC BY) license (https://creativecommons.org/licenses/by/4.0/).
Share and Cite
Ma, Z.; Zhu, Y.; Chen, S.; Traore, S.N.; Li, Y.; Xu, L.; Shi, M.; Zhang, Q. Field Investigation of the Static Friction Characteristics of High-Yielding Rice during Harvest. Agriculture 2022, 12, 327. https://doi.org/10.3390/agriculture12030327
Ma Z, Zhu Y, Chen S, Traore SN, Li Y, Xu L, Shi M, Zhang Q. Field Investigation of the Static Friction Characteristics of High-Yielding Rice during Harvest. Agriculture. 2022; 12(3):327. https://doi.org/10.3390/agriculture12030327
Chicago/Turabian StyleMa, Zheng, Yongle Zhu, Shuren Chen, Souleymane Nfamoussa Traore, Yaoming Li, Lizhang Xu, Maolin Shi, and Qian Zhang. 2022. "Field Investigation of the Static Friction Characteristics of High-Yielding Rice during Harvest" Agriculture 12, no. 3: 327. https://doi.org/10.3390/agriculture12030327
APA StyleMa, Z., Zhu, Y., Chen, S., Traore, S. N., Li, Y., Xu, L., Shi, M., & Zhang, Q. (2022). Field Investigation of the Static Friction Characteristics of High-Yielding Rice during Harvest. Agriculture, 12(3), 327. https://doi.org/10.3390/agriculture12030327

