Seed Treatment with Iron Chlorine E6 Enhances Germination and Seedling Growth of Rice
Abstract
1. Introduction
2. Materials and Methods
2.1. Biological Material
2.2. Effects of Soaking Seeds with ICE6 on Seed Germination and Seedling Growth
2.3. Effect of Soaking Seeds with ICE6 on Seed Vigor during Germination
2.4. Analysis of Seedling Regeneration Ability after ICE6 Treatment
2.5. The Field Efficacy Evaluation of ICE6 on Rice
2.6. Statistical Analysis
3. Results
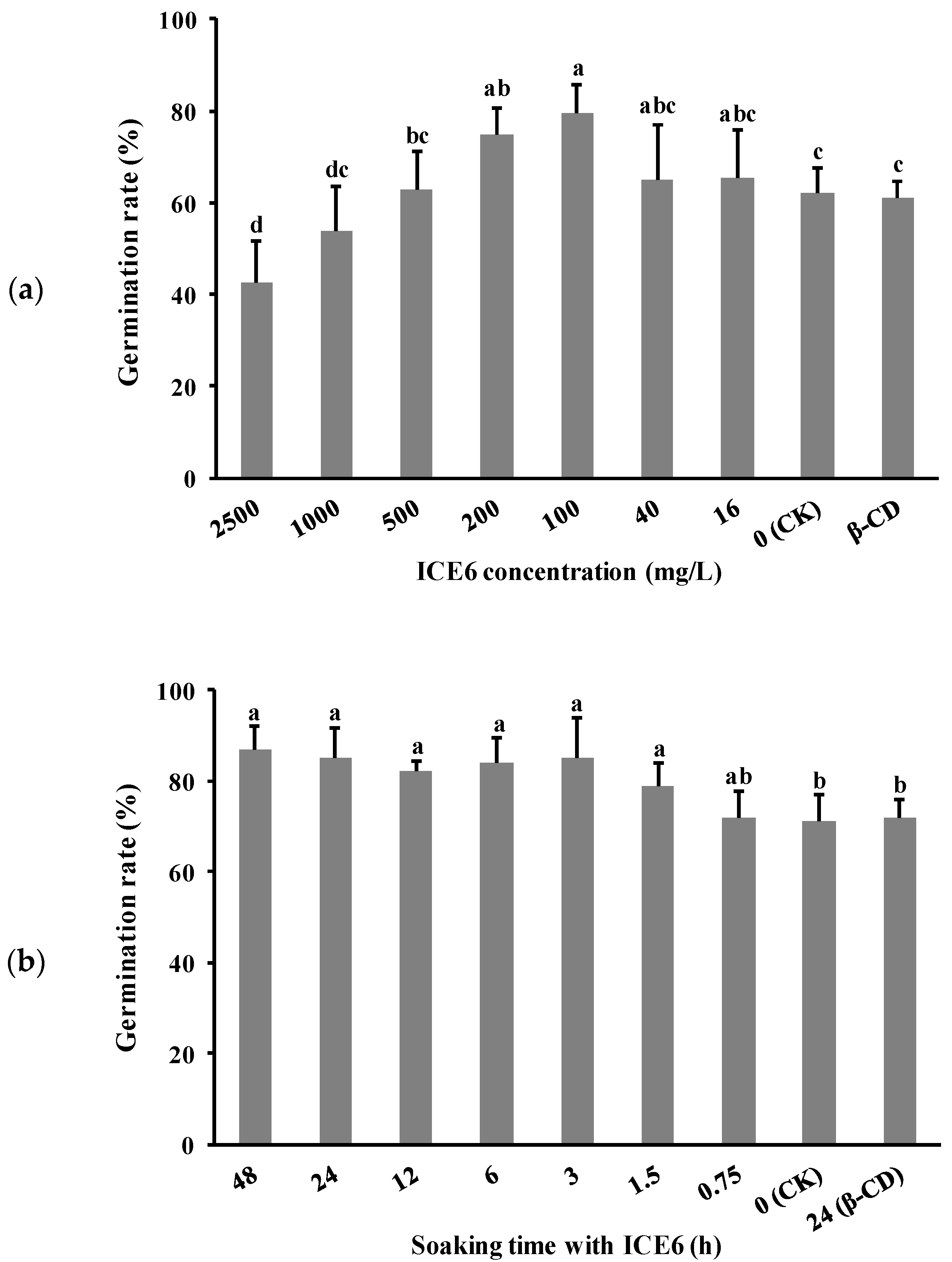
3.1. Seed Soaking with ICE6 Improved the Germination
3.2. Seed Soaking with ICE6 Promoted Growth of Rice Seedlings
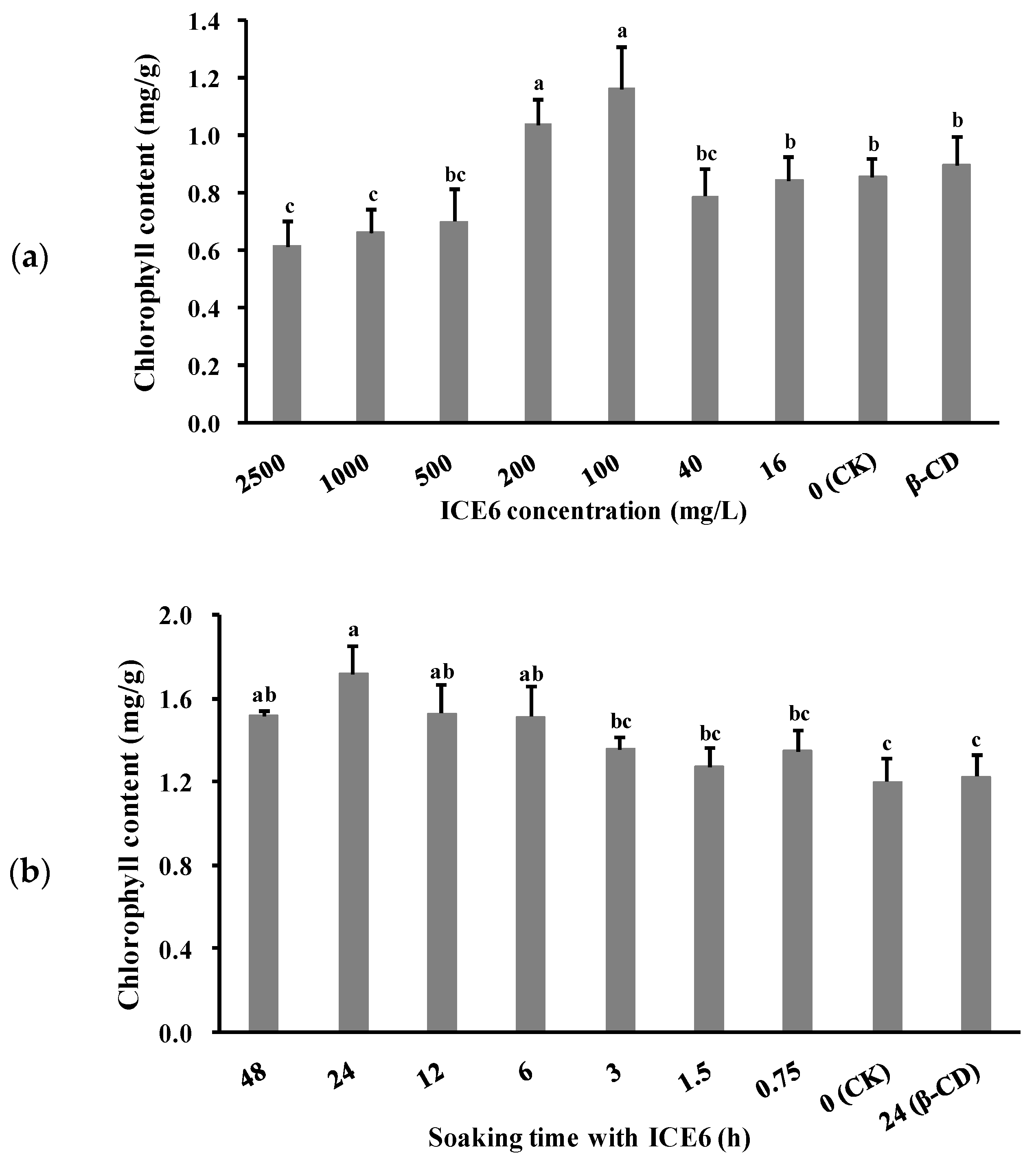
3.3. Seed Soaking with ICE6 Increased the Chlorophyll Content of Rice Seedlings
3.4. The Seed Vigor Was Improved by Soaking with ICE6
3.5. ICE6 Enhanced the Regeneration of Rice Seedlings
3.6. Effects of ICE6 Priming on Rice Seedling Growth under Field Conditions
4. Discussion
5. Conclusions
Author Contributions
Funding
Institutional Review Board Statement
Informed Consent Statement
Data Availability Statement
Conflicts of Interest
References
- He, P.; Shen, L.; Lu, C.; Chen, Y.; Zhu, L. Analysis of quantitative trait loci which contribute to anther culturability in rice (Oryza sativa L.). Mol. Breed. 1998, 4, 165–172. [Google Scholar] [CrossRef]
- Bandumula, N. Rice production in Asia: Key to global food security. Proc. Natl. Acad. Sci. India Sect. B Biol. Sci. 2018, 88, 1323–1328. [Google Scholar] [CrossRef]
- You, H.; Zhang, O.; Xu, L.; Liang, C.; Xiang, X. Effects of soluble starch synthase IIa allelic variation on rice grain quality with different Waxy backgrounds. J. Sci. Food Agric. 2020, 100, 5344–5351. [Google Scholar] [CrossRef]
- Santner, A.; Calderon-Villalobos, L.I.; Estelle, M. Plant hormones are versatile chemical regulators of plant growth. Nat. Chem. Biol. 2009, 5, 301–307. [Google Scholar] [CrossRef] [PubMed]
- Singh, M.; Bashri, G.; Prasad, S.M.; Singh, V.P. Kinetin alleviates UV-B-induced damage in Solanum lycopersicum: Implications of phenolics and antioxidants. J. Plant Growth Regul. 2019, 38, 831–841. [Google Scholar] [CrossRef]
- Sun, S.; Zhou, X.; Cui, X.; Liu, C.; Fan, Y.; McBride, M.B.; Li, Y.; Li, Z.; Zhuang, P. Exogenous plant growth regulators improved phytoextraction efficiency by Amaranths hypochondriacus L. in cadmium contaminated soil. Plant Growth Regul. 2020, 90, 29–40. [Google Scholar] [CrossRef]
- Rademacher, W. Plant growth regulators: Backgrounds and uses in plant production. J. Plant Growth Regul. 2015, 34, 845–872. [Google Scholar] [CrossRef]
- Jiang, K.; Asami, T. Chemical regulators of plant hormones and their applications in basic research and agriculture. Biosci. Biotechnol. Biochem. 2018, 82, 1265–1300. [Google Scholar] [CrossRef]
- Xu, X.; Hou, X.; Han, M.; Qiu, S.; Li, Y. Simultaneous determination of multiclass plant growth regulators in fruits using the quick, easy, cheap, effective, rugged, and safe method and ultra-high performance liquid chromatography-tandem mass spectrometry. J. Sep. Sci. 2020, 43, 788–798. [Google Scholar] [CrossRef] [PubMed]
- Zanardo, D.I.L.; Lima, R.B.; Ferrarese, M.L.L.; Bubna, G.A.; Ferrarese-Filho, O. Soybean root growth inhibition and lignification induced by p-coumaric acid. Environ. Exp. Bot. 2008, 66, 25–30. [Google Scholar] [CrossRef]
- Mathesius, U. Flavonoid functions in plants and their interactions with other organisms. Plants 2018, 7, 30. [Google Scholar] [CrossRef]
- Vanholme, B.; El Houari, I.; Boerjan, W. Bioactivity: Phenylpropanoids’ best kept secret. Curr. Opin. Biotechnol. 2019, 56, 156–162. [Google Scholar] [CrossRef]
- Singh, G.; Sharma, G.; Sanchita; Kalra, P.; Batish, D.R.; Verma, V. Role of alkyl silatranes as plant growth regulators: Comparative substitution effect on root and shoot development of wheat and maize. J. Sci. Food Agric. 2018, 98, 5129–5133. [Google Scholar] [CrossRef] [PubMed]
- Wang, Y.; Zhang, L.; Jiang, H.; Tong, M.; Ren, Y. Effects of iron chlorophyllin on wheat under different fertility conditions. Jiangsu Agric. Sci. 2012, 40, 78–79. [Google Scholar]
- Xing, Y.; Chen, L.; Meng, D.; Xu, J.; Shi, J. Application effect of 0.02% iron chlorin soluble powder in tobacco. Jiangsu Agric. Sci. 2020, 48, 91–94. [Google Scholar]
- Xing, Y.; Chen, L.; Meng, D.; Xu, J.; Shi, J. Effect of a new plant growth regulator iron chlorin 0.02% soluble powder on the growth and yield of grape. Agrochemicals 2020, 59, 933–936. [Google Scholar]
- Maswada, H.F.; Djanaguiraman, M.; Prasad, P.V. Seed treatment with nano-iron (III) oxide enhances germination, seeding growth and salinity tolerance of sorghum. J. Agron. Crop Sci. 2018, 204, 577–587. [Google Scholar] [CrossRef]
- Fang, S.; Gao, K.; Hu, W.; Wang, S.; Chen, B.; Zhou, Z. Foliar and seed application of plant growth regulators affects cotton yield by altering leaf physiology and floral bud carbohydrate accumulation. Field Crops Res. 2019, 231, 105–114. [Google Scholar] [CrossRef]
- Hou, G.; Liang, H.; Zhao, M.; Chen, C.; Meng, X.; Zhao, J.; Wu, Z. Effects of different treatments on seed germination of Bupleurum chinensis. J. Life Sci. 2018, 12, 129–133. [Google Scholar]
- Su, S.; Zhou, Y.; Qin, J.; Yao, W.; Ma, Z. Optimization of the method for chlorophyll extraction in aquatic plants. J. Freshw. Ecol. 2010, 25, 531–538. [Google Scholar] [CrossRef]
- Ma, Z.; Liu, J.; Dong, J.; Yu, J.; Huang, S.; Lin, H.; Hu, S.; Wang, J. Optimized qualitative and quantitative methods for barley viability testing using triphenyl tetrazolium chloride staining. Cereal Chem. 2019, 96, 421–428. [Google Scholar] [CrossRef]
- Xia, X.; Wang, Y.; Zhou, Y.; Tao, Y.; Mao, W.; Shi, K.; Asami, T.; Chen, Z.; Yu, J. Reactive oxygen species are involved in brassinosteroid-induced stress tolerance in cucumber. Plant Physiol. 2009, 150, 801–814. [Google Scholar] [CrossRef]
- Harvey, B.M.; Oaks, A. Characteristics of an acid protease from maize endosperm. Plant Physiol. 1974, 53, 449–452. [Google Scholar] [CrossRef][Green Version]
- Ma, W.; Zhang, Z.; Zheng, Y.; Pan, W.; Qiu, T.; Guan, Y.; Hu, J. Determination of tobacco (Nicotiana tabacum) seed vigour using controlled deterioration followed by a conductivity test. Seed Sci. Technol. 2020, 48, 1–10. [Google Scholar] [CrossRef]
- Lardon, R.; Geelen, D. Natural variation in plant pluripotency and regeneration. Plants 2020, 9, 1261. [Google Scholar] [CrossRef]
- Bewley, J.D. Seed germination and dormancy. Plant Cell 1997, 9, 1055–1066. [Google Scholar] [CrossRef]
- Finch-Savage, W.E.; Leubner-Metzger, G. Seed dormancy and the control of germination. New Phytol. 2006, 171, 501–523. [Google Scholar] [CrossRef] [PubMed]
- Li, Q.; Zhou, Y.; Xiong, M.; Ren, X.; Han, L.; Wang, J.; Zhang, C.; Fan, X.; Liu, Q. Gibberellin recovers seed germination in rice with impaired brassinosteroid signalling. Plant Sci. 2020, 293, 110435. [Google Scholar] [CrossRef]
- Paparella, S.; Araújo, S.S.; Rossi, G.; Wijayasinghe, M.; Carbonera, D.; Balestrazzi, A. Seed priming: State of the art and new perspectives. Plant Cell Rep. 2015, 34, 1281–1293. [Google Scholar] [CrossRef]
- Chen, K.; Arora, R. Dynamics of the antioxidant system during seed osmopriming, post-priming germination, and seedling establishment in Spinach (Spinacia oleracea). Plant Sci. 2011, 180, 212–220. [Google Scholar] [CrossRef]
- Wang, W.; Chen, Q.; Hussain, S.; Mei, J.; Dong, H.; Peng, S.; Huang, J.; Cui, K.; Nie, L. Pre-sowing seed treatments in direct-seeded early rice: Consequences for emergence, seedling growth and associated metabolic events under chilling stress. Sci. Rep. 2016, 6, 19637. [Google Scholar] [CrossRef] [PubMed]
- Wen, D.; Hou, H.; Meng, A.; Meng, J.; Xie, L.; Zhang, C. Rapid evaluation of seed vigor by the absolute content of protein in seed within the same crop. Sci. Rep. 2018, 8, 5569. [Google Scholar] [CrossRef] [PubMed]
- Damaris, R.N.; Lin, Z.; Yang, P.; He, D. The rice alpha-amylase, conserved regulator of seed maturation and germination. Int. J. Mol. Sci. 2019, 20, 450. [Google Scholar] [CrossRef] [PubMed]
- Yamakawa, H.; Hirai-Kimura, R.; Nakata, Y.; Nakata, M.; Kuroda, M.; Yamaguchi, T. An activity-staining method on filtration paper enables high-throughput screening of temperature-sensitive and inactive mutations of rice α-amylase for improvement of rice grain quality. Plant Cell Physiol. 2017, 58, 658–667. [Google Scholar] [CrossRef] [PubMed]
- Li, C.; Cao, X.; Gu, Z.; Wen, H. A preliminary study of the protease activities in germinating brown rice (Oryza sativa L.). J. Sci. Food Agric. 2011, 91, 915–920. [Google Scholar] [CrossRef] [PubMed]
- Xu, J.; Volk, T.A.; Quackenbush, L.J.; Stehman, S.V. Estimation of shrub willow leaf chlorophyll concentration across different growth stages using a hand-held chlorophyll meter to monitor plant health and production. Biomass Bioenergy 2021, 150, 106132. [Google Scholar] [CrossRef]
- Tamiaki, H.; Fukai, K.; Shimazu, H.; Shoji, S. Synthesis of zinc chlorophyll homo/hetero-dyads and their folded conformers with porphyrin, chlorin, and bacteriochlorin π-systems. Photochem. Photobiol. 2014, 90, 121–128. [Google Scholar] [CrossRef]
- Chen, J.; Zhu, Y.; Kaskel, S. Porphyrin-based metal-organic frameworks for biomedical applications. Angew. Chem. Int. Edit. 2021, 60, 5010–5035. [Google Scholar] [CrossRef] [PubMed]
- Lee, J.H.; Park, J. A manganese porphyrin complex is a novel radiation protector. Free Radical Biol. Med. 2004, 37, 272–283. [Google Scholar] [CrossRef]
- Sun, W.; Kühn, F.E. Efficient aldehyde olefination reactions catalyzed by an iron porphyrin complex in an ionic liquid. Tetrahedron Lett. 2005, 45, 7415–7418. [Google Scholar] [CrossRef]
- Borah, K.D.; Bhuyan, J. Magnesium porphyrins with relevance to chlorophylls. Dalton Trans. 2017, 46, 6497–6509. [Google Scholar] [CrossRef]
- Mojzisova, H.; Bonneau, S.; Vever-Bizet, C.; Brault, D. Cellular uptake and subcellular distribution of chlorin e6 as functions of pH and interactions with membranes and lipoproteins. Biochim. Biophys. Acta Biomembr. 2007, 1768, 2748–2756. [Google Scholar] [CrossRef] [PubMed]
- Martin, M.H.; Marschner, H. Mineral nutrition of higher plants. J. Ecol. 1988, 76, 1250. [Google Scholar] [CrossRef]
- Nagajyoti, P.C.; Lee, K.D.; Sreekanth, T.V. Heavy metals, occurrence and toxicity for plants: A review. Environ. Chem. Lett. 2010, 8, 199–216. [Google Scholar] [CrossRef]
- Briat, J.F.; Dubos, C.; Gaymard, F. Iron nutrition, biomass production, and plant product quality. Trends Plant Sci. 2015, 20, 33–40. [Google Scholar] [CrossRef] [PubMed]
- Ikeuchi, M.; Ogawa, Y.; Iwase, A.; Sugimoto, K. Plant regeneration: Cellular origins and molecular mechanisms. Development 2016, 143, 1442–1451. [Google Scholar] [CrossRef]
- Pulianmackal, A.J.; Kareem, A.V.; Durgaprasad, K.; Trivedi, Z.B.; Prasad, K. Competence and regulatory interactions during regeneration in plants. Front. Plant Sci. 2014, 5, 142. [Google Scholar] [CrossRef] [PubMed]
- Nishihama, R.; Ishizaki, K.; Hosaka, M.; Matsuda, Y.; Kubota, A.; Kohchi, T. Phytochrome-mediated regulation of cell division and growth during regeneration and sporeling development in the liverwort Marchantia polymorpha. J. Plant Res. 2015, 128, 407–421. [Google Scholar] [CrossRef]
- Raza, G.; Singh, M.B.; Bhalla, P.L. In vitro plant regeneration from commercial cultivars of soybean. BioMed Res. Int. 2017, 2017, 7379693. [Google Scholar] [CrossRef]
- Boo, K.H.; Cao, D.V.; Pamplona, R.S.; Lee, D.; Riu, K.; Lee, D. In vitro plant regeneration of Aster scaber via somatic embryogenesis. Biosci. Biotech. Bioch. 2015, 79, 725–731. [Google Scholar] [CrossRef]








| Concentration of ICE6 Preparation (mg/L) | Concentration of ICE6 Active Ingredient (mg/L) | Numbers of Root | Root Fresh Weight (g) | Root Length (cm) | Plant Height (cm) | Leaf Fresh Weight (g) |
|---|---|---|---|---|---|---|
| 2500 | 0.5 | 5.15 ± 1.12 a | 0.042 ± 0.010 b | 10.17 ± 1.44 ab | 17.32 ± 1.66 a | 0.067 ± 0.013 a |
| 1000 | 0.2 | 4.95 ± 1.01 abc | 0.048 ± 0.011 b | 9.14 ± 1.81 b | 14.87 ± 1.28 bcd | 0.057 ± 0.014 b |
| 500 | 0.1 | 4.85 ± 1.27 abc | 0.040 ± 0.013 b | 9.02 ± 1.73 b | 14.77 ± 1.30 cd | 0.057 ± 0.013 b |
| 200 | 0.04 | 5.03 ± 1.03 ab | 0.046 ± 0.014 b | 10.00 ± 1.48 ab | 14.98 ± 1.26 bcd | 0.055 ± 0.011 b |
| 100 | 0.02 | 5.08 ± 1.02 ab | 0.057 ± 0.016 a | 10.59 ± 1.89 a | 15.81 ± 1.37 b | 0.060 ± 0.011 ab |
| 40 | 0.008 | 4.4 ± 1.08 bc | 0.041 ± 0.011 b | 9.29 ± 1.42 b | 14.11 ± 1.39 d | 0.056 ± 0.011 b |
| 16 | 0.0032 | 4.23 ± 1.10 c | 0.041 ± 0.011 b | 10.05 ± 1.86 ab | 15.25 ± 1.83 bc | 0.056 ± 0.013 b |
| 0 (CK) | 0 | 4.78 ± 1.10 abc | 0.047 ± 0.014 b | 11.03 ± 2.37 a | 14.88 ± 1.47 bcd | 0.054 ± 0.013 b |
| β-CD | 0 | 4.80 ± 1.03 abc | 0.045 ± 0.009 b | 8.69 ± 1.70 b | 13.84 ± 1.78 d | 0.050 ± 0.015 b |
| Time (h) | Numbers of Root | Root Fresh Weight (g) | Root Length (cm) | Plant Height (cm) | Leaf Fresh Weight (g) |
|---|---|---|---|---|---|
| 48 | 4.75 ± 0.98 a | 0.084 ± 0.020 a | 13.56 ± 1.28 a | 17.04 ± 2.16 a | 0.062 ± 0.012 a |
| 24 | 4.50 ± 0.79 a | 0.085 ± 0.019 a | 12.54 ± 1.63 abc | 17.23 ± 1.79 a | 0.062 ± 0.012 a |
| 12 | 4.55 ± 1.22 a | 0.079 ± 0.014 ab | 11.60 ± 1.52 cde | 16.61 ± 1.92 ab | 0.057 ± 0.014 ab |
| 6 | 4.68 ± 1.00 a | 0.081 ± 0.015 ab | 12.36 ± 1.68 bc | 15.49 ± 1.58 b | 0.057 ± 0.012 ab |
| 3 | 4.88 ± 0.79 a | 0.081 ± 0.013 ab | 12.10 ± 1.54 bcd | 16.49 ± 1.72 ab | 0.058 ± 0.011 ab |
| 1.5 | 4.70 ± 1.04 a | 0.079 ± 0.014 ab | 11.04 ± 1.32 de | 16.74 ± 1.80 ab | 0.056 ± 0.013 ab |
| 0.75 | 4.78 ± 1.07 a | 0.073 ± 0.014 b | 10.78 ± 1.69 e | 16.68 ± 1.79 ab | 0.057 ± 0.012 ab |
| 0 (CK) | 5.05 ± 1.06 a | 0.076 ± 0.016 b | 13.00 ± 2.15 ab | 15.48 ± 1.16 b | 0.053 ± 0.010 b |
| 24 (β-CD) | 4.80 ± 0.99 a | 0.072 ± 0.015 b | 9.11 ± 2.01 e | 13.79 ± 1.77 c | 0.044 ± 0.015 c |
| Growth Indexes | ICE6 Treatment (200 mg/L) | Water Treatment (CK) |
|---|---|---|
| Root fresh weight (g) | 0.17 ± 0.033 a | 0.13 ± 0.039 b |
| Root length (cm) | 6.93 ± 1.32 b | 7.66 ± 1.45 a |
| Plant height (cm) | 10.42 ± 1.28 b | 12.41 ± 1.15 a |
| Leaf fresh weight (g) | 0.089 ± 0.025 a | 0.10 ± 0.028 a |
| Chlorophyll content (mg/g) | 1.25 ± 0.24 a | 0.92 ± 0.12 b |
Publisher’s Note: MDPI stays neutral with regard to jurisdictional claims in published maps and institutional affiliations. |
© 2022 by the authors. Licensee MDPI, Basel, Switzerland. This article is an open access article distributed under the terms and conditions of the Creative Commons Attribution (CC BY) license (https://creativecommons.org/licenses/by/4.0/).
Share and Cite
Xie, Y.; Wei, L.; Ji, Y.; Li, S. Seed Treatment with Iron Chlorine E6 Enhances Germination and Seedling Growth of Rice. Agriculture 2022, 12, 218. https://doi.org/10.3390/agriculture12020218
Xie Y, Wei L, Ji Y, Li S. Seed Treatment with Iron Chlorine E6 Enhances Germination and Seedling Growth of Rice. Agriculture. 2022; 12(2):218. https://doi.org/10.3390/agriculture12020218
Chicago/Turabian StyleXie, Yali, Lihui Wei, Yinghua Ji, and Shuo Li. 2022. "Seed Treatment with Iron Chlorine E6 Enhances Germination and Seedling Growth of Rice" Agriculture 12, no. 2: 218. https://doi.org/10.3390/agriculture12020218
APA StyleXie, Y., Wei, L., Ji, Y., & Li, S. (2022). Seed Treatment with Iron Chlorine E6 Enhances Germination and Seedling Growth of Rice. Agriculture, 12(2), 218. https://doi.org/10.3390/agriculture12020218

