Influence of Various Composted Organic Amendments and Their Rates of Application on Nitrogen Mineralization and Soil Productivity Using Chinese Cabbage (Brassica rapa. L. var. Chinensis) as an Indicator Crop
Abstract
1. Introduction
2. Materials and Methods
2.1. Site and Soil
2.2. Collection of Organics and Composting
2.3. Incubation Experiment Setup
2.4. Nitrogen Mineralization
2.5. Screen House Pot Experiment
2.6. Statistical Analyses
3. Results
3.1. Composted Organic Amendments Characterization
3.2. Nitrogen Mineralization
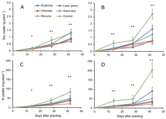
3.3. Interaction Effect of OAs on Plant Growth Parameters
3.4. Interaction Effects of Organic Amendments (OAs) on Leaves’ Chlorophyll Content
3.5. Interaction Effects on Yield Parameters
3.6. Total N Uptake by Chinese Cabbage
3.7. Correlation between Nutrient Content and N Mineralization of Composted OAs and the Plant Parameters, and N Uptake
4. Discussions
4.1. Nitrogen Mineralization
4.2. Interaction Effects of Organic Amendments (OAs) on Crop Growth Parameters
4.3. Interaction Effects of Organic Amendments (OAs) on Yield Parameters
4.4. Total N Uptake by the Chinese Cabbage
4.5. Correlation between Nutrient Content, N Mineralization of Composted OAs, the Plant Parameters and N Uptake
5. Conclusions
Supplementary Materials
Author Contributions
Funding
Institutional Review Board Statement
Informed Consent Statement
Data Availability Statement
Acknowledgments
Conflicts of Interest
References
- Pierre-Louis, R.C.; Kader, M.A.; Desai, M.N.; Jhon, E.H. Potentiality of Vermicomposting in the South Pacific Island Countries: A review. Agriculture 2021, 11, 876. [Google Scholar] [CrossRef]
- Ghosh, S.; Ow, L.F.; Wilson, B. Influence of biochar and compost on soil properties and tree growth in a tropical urban environment. Int. J. Environ. Sci. Technol. 2015, 12, 1303–1310. [Google Scholar] [CrossRef]
- Makumba, W.; Akinnifesi, F.K.; Janssen, B.; Oenema, O. Long-term impact of a Gliricidia- maize intercropping system on carbon sequestration in southern Malawi. Agric. Ecosyst. Environ. 2007, 118, 237–243. [Google Scholar] [CrossRef]
- Ferdous, Z.; Zulfiqar, F.; Datta, A.; Hasan, A.K.; Sarker, A. Potential and challenges of organic agriculture in Bangladesh: A review. J. Crop Improv. 2021, 35, 403–426. [Google Scholar] [CrossRef]
- Manojlovic, N.T.; Vasiljevic, P.J.; Gritsanapan, W.; Supabphol, R.; Manojlovic, I. Phytochemical and antioxidant studies of Laurera benguelensis growing in Thailand. Biol. Res. 2010, 43, 169–176. [Google Scholar] [CrossRef] [PubMed]
- Bueno, P.; Tapias, R.; López, F.; Díaz, M. Optimizing composting parameters for nitrogen conservation in composting. Bioresour. Technol. 2008, 99, 5069–5077. [Google Scholar] [CrossRef]
- Gurtler, J.B.; Doyle, M.P.; Erickson, M.C.; Jiang, X.; Millner, P.; Sharma, M. Composting to inactivate foodborne pathogens for crop soil application: A review. J. Food Prot. 2018, 81, 1821–1837. [Google Scholar] [CrossRef]
- Somerville, P.D.; Farrell, C.; May, P.B.; Livesley, S.J. Biochar and compost equally improve urban soil physical and biological properties and tree growth, with no added benefit in combination. Sci. Total Environ. 2020, 706, 135736. [Google Scholar] [CrossRef]
- Palaniveloo, K.; Amran, M.A.; Norhashim, N.A.; Mohamad-Fauzi, N.; Peng-Hui, F.; Hui-Wen, L.; Kai-Lin, Y.; Jiale, L.; Chian-Yee, M.G.; Jing-Yi, L.; et al. Food Waste Composting and Microbial Community Structure Profiling. Processes 2020, 8, 723. [Google Scholar] [CrossRef]
- Partey, S.T.; Thevathasan, N.V.; Zougmoré, R.B.; Preziosi, R.F. Improving maize production through nitrogen supply from ten rarely-used organic resources in Ghana. Agrofor. Syst. 2018, 92, 375–387. [Google Scholar] [CrossRef]
- Dinesh, R.; Suryanarayana, M.A.; Nair, A.K.; Chaudhuri, S.G. Leguminous cover crop effects on nitrogen mineralization rates and kinetics in soils. J. Agron. Crop Sci. 2011, 187, 161–166. [Google Scholar] [CrossRef]
- LeBauer, D.S.; Treseder, K.K. Nitrogen limitation of net primary productivity in terrestrial ecosystems is globally distributed. Ecology 2008, 89, 371–379. [Google Scholar] [CrossRef] [PubMed]
- Wright, S.J. Plant responses to nutrient addition experiments conducted in tropical forests. Ecol. Monogr. 2019, 89, e01382. [Google Scholar] [CrossRef]
- Fageria, N.; Baligar, V. Enhancing nitrogen use efficiency in crop plants. Adv. Agron. 2005, 88, 97–185. [Google Scholar]
- Xing, Y.; Jiang, W.; He, X.; Fiaz, S.; Ahmad, S.; Lei, X.; Wang, W.; Wang, Y.; Wang, X. A review of nitrogen translocation and nitrogen-use efficiency. J. Plant Nutr. 2019, 42, 2624–2641. [Google Scholar] [CrossRef]
- Masunga, R.H.; Uzokwe, V.N.; Mlay, P.D.; Odeh, I.; Singh, A.; Buchan, D.; De Neve, S. Nitrogen mineralization dynamics of different valuable organic amendments commonly used in agriculture. Appl. Soil Ecol. 2016, 101, 185–193. [Google Scholar] [CrossRef]
- Córdova, S.C.; Olk, D.C.; Dietzel, R.N.; Mueller, K.E.; Archontouilis, S.V.; Castellano, M.J. Plant litter quality affects the accumulation rate, composition, and stability of mineral-associated soil organic matter. Soil Biol. Biochem. 2018, 125, 115–124. [Google Scholar] [CrossRef]
- Azim, K.; Soudi, B.; Boukhari, S.; Perissol, C.; Roussos, S.; Alami, I.T. Composting parameters and compost quality: A literature review. Org. Agric. 2018, 8, 141–158. [Google Scholar] [CrossRef]
- Calderon, F.J.; McCarty, G.W.; Reeves, J.B. Analysis of manure and soil nitrogen mineralization during incubation. Biol. Fertil. Soils. 2005, 41, 328–336. [Google Scholar] [CrossRef]
- Mohanty, M.; Reddy, K.S.; Probert, M.; Dalal, R.C.; Rao, A.S.; Menzies, N. Modelling N mineralization from green manure and farmyard manure from a laboratory incubation study. Ecol. Modell. 2011, 222, 719–726. [Google Scholar] [CrossRef]
- Meschede, C.A.C.; Abdalla, M.A.; Mühling, K.H. Sulfur but not nitrogen supply increases the ITC/Nitrile ratio in Pak Choi (Brassica rapa subsp. Chinensis (L.) Hanelt). J. Appl. Bot. Food Qual. 2020, 93, 95–104. [Google Scholar]
- Zhu, B.; Yang, J.; Zhu, Z.J. Variation in glucosinolates in pak choi cultivars and various organs at different stages of vegetative growth during the harvest period. J. Zhejiang Univ. Sci. 2013, 14, 309–317. [Google Scholar] [CrossRef] [PubMed]
- Kim, M.J.; Chiu, Y.-C.; Kim, N.K.; Park, H.M.; Lee, C.H.; Juvik, J.A.; Ku, K.-M. Cultivar-specifc changes in primary and secondary metabolites in Pak Choi (Brassica Rapa, Chinensis Group) by methyl jasmonate. Int. J. Mol. Sci. 2017, 18, 1004. [Google Scholar] [CrossRef] [PubMed]
- Li, T.; Lalk, G.T.; Zhang, Q.; Xing, Z.; Bi, G. Winter Production of Asian Leafy Greens in High Tunnels Using Biodegradable Mulches. Horticulturae 2021, 7, 454. [Google Scholar] [CrossRef]
- Siose, T.K.; Kader, M.A.; Tulin, A.B. Determination of limiting nutrient to Sweetpotato (Ipomoea batatas (L.) growth on Samoa Oxisol using a Nutrient Omission Technique. Ann. Trop. Res. 2017, 39, 106–119. [Google Scholar] [CrossRef]
- De Neve, S.; Hofman, G. Quantifying soil water effects on nitrogen mineralization from soil organic matter and from fresh crop residues. Biol. Fertil. Soils. 2002, 35, 379–386. [Google Scholar] [CrossRef]
- Bouyoucos, G.J. Hydrometer method improved for making particle size analysis of soils. Agron. J. 1962, 54, 464–465. [Google Scholar] [CrossRef]
- Blackmore, L.C.; Searle, P.L.; Daly, B.K. Methods for Chemical Analysis of Soil; New Zealand Soil Bureau, Department of Scientific and Industrial Research: Lower Hutt, New Zealand, 1987; p. 103.
- Olsen, S.R.; Cole, C.V.; Watanabe, F.N.; Dean, L.A. Estimation of Available Phospherous in Soils by Extraction with Sodium Bicarbonate; USDA Department Circular: Washington, DC, USA, 1954.
- Daly, B.K.; Manu, V.; Halavatau, S.M. Soil and Plant Analysis Methods for Use at Agriculture Research Station. In New Zealand Soil Bureau Laboratory Report; New Zealand Soil Bureau: Vaini, Tonga, 1984. [Google Scholar]
- Lindsay, W.L.; Norwell, W.A. Development of A DTPA soil test for zinc, iron, manganese and copper. Soil Sci. Soc. Am. J. 1978, 42, 421–428. [Google Scholar] [CrossRef]
- Walkley, A.; Black, I.A. An Examination of the Degtjareff method for determining organic matter and propose modification of chromic acid titration method. Soil Sci. 1934, 37, 29–38. [Google Scholar] [CrossRef]
- Morrison, R.; Prasad, R.A.; Asghar, M. Taxonomy of Some Western Samoa Benchmark Soils; Institute of Natural Resources, University of the South Pacific: Suva, Fiji, 1986. [Google Scholar]
- Bremner, J.; Keeney, D.R. Steam distillation methods for determination of ammonium, nitrate and nitrite. Anal. Chim. Acta 1965, 32, 485–495. [Google Scholar] [CrossRef]
- Hamad, A.A.A.; Xu, J.; Wei, Q.; Hamoud, Y.A.; Shaghaleh, H.; Wang, K.; Hameed, F.; Xu, L. Effect of different irrigation and nitrogen management options on growth, yield and water use efficiency of Chinese cabbage in greenhouse cultivation. Pak. J. Agric. Sci. 2021, 58, 341–356. [Google Scholar]
- Kader, M.A.; Sleutel, S.; Begum, S.A.; Moslehuddin, A.Z.M.; De Neve, S. Nitrogen mineralization in sub-tropical paddy soils in relation to soil mineralogy, management, pH, carbon, nitrogen and iron contents. Eur. J. Soil Sci. 2013, 64, 47–57. [Google Scholar] [CrossRef]
- Kader, M.A.; Yeasmin, S.; Solaiman, Z.M.; De Neve, S.; Sleutel, S. Response of hydrolytic enzyme activities and N mineralization to fertilizer and organic matter application in two long-term subtropical paddy field experiments. Eur. J. Soil Biol. 2017, 80, 27–34. [Google Scholar] [CrossRef]
- Omari, R.A.; Aung, H.P.; Mudan, H.; Yokoyama, T.; Onwona-Agyeman, S.; Oikawa, Y.; Fujii, Y.; Bellingrath-Kimura, S.D. Influence of different plant materials in combination with chicken manure on soil carbon and nitrogen contents and vegetable yield. Pedosphere 2016, 26, 510–521. [Google Scholar] [CrossRef]
- Seneviratne, G. Litter quality and nitrogen release in tropical agriculture: A synthesis. Biol. Fertil. Soils 2000, 31, 60–64. [Google Scholar] [CrossRef]
- Silva-Galicia, A.; Álvarez-Espino, R.; Sosa-Montes, E.; Ceccon, E. Fertilisation schemes based on organic amendments; decomposition and nutrient contribution of traditionally used species in an indigenous region of southern Mexico. Biol. Agric. Hortic. 2020, 37, 55–70. [Google Scholar] [CrossRef]
- Ge, X.; Deng, S.; Zhu, L.; Li, Y.; Jia, Z.; Tian, Y.; Tang, L. Response of nitrogen mineralization dynamics and biochemical properties to litter amendments to soils of a poplar plantation. J. For. Res. 2018, 29, 915–924. [Google Scholar] [CrossRef]
- Widowati, L.R.; De Neve, S.; Setyorini, D.; Kasno, A.; Sipahutar, I.A. Nitrogen balances and nitrogen use efficiency of intensive vegetable rotations in South East Asian tropical Andisols. Nutr. Cycling Agroecosyst. 2011, 91, 131–143. [Google Scholar] [CrossRef]
- De Neve, S.; Hofman, G. Modelling N mineralization of vegetable crop residues during laboratory incubations. Soil Biol. Biochem. 1996, 28, 1451–1457. [Google Scholar] [CrossRef]
- De Neve, S.; Sáez, S.G.; Daguilar, B.C.; Sleutel, S.; Hofman, G. Manipulating N mineralization from high N crop residues using on-and off-farm organic materials. Soil Biol. Biochem. 2004, 36, 127–134. [Google Scholar] [CrossRef]
- Sigurnjak, I.; De Waele, J.; Michels, E.; Tack, F.; Meers, E.; De Neve, S. Nitrogen release and mineralization potential of derivatives from nutrient recovery processes as substitutes for fossil fuel-based nitrogen fertilizers. Soil Use Manag. 2017, 33, 437–446. [Google Scholar] [CrossRef]
- Constantinides, M.; Fownes, J. Nitrogen minerlization from leaves and litter of tropical plants: Relationship to nitrogen, lignin and soluble polyphenol concentrations. Soil Biol. Biochem. 1994, 26, 49–55. [Google Scholar] [CrossRef]
- Widowati, L.R.; Sleutel, S.; Setyorini, D.; De Neve, S. Nitrogen mineralisation from amended and unamended intensively managed tropical andisols and inceptisols. Soil Res. 2012, 50, 136–144. [Google Scholar] [CrossRef]
- Sano, S.; Yanai, J.; Kosaki, T. Relationships between labile organic matter and nitrogen mineralization in Japanese agricultural soils with reference to land use and soil type. Soil Sci. Plant Nutr. 2006, 52, 49–60. [Google Scholar] [CrossRef]
- Poku, P.A.; Agyarko, K.; Dapaah, H.; Dawuda, M. Influence of Mucuna pruriens Green Manure, NPK and Chicken Manure Amendments on Soil Physico–Chemical Properties and Growth and Yield of Carrot (Daucus carota L.). J. Agric. Sustain. 2014, 5, 26–44. [Google Scholar]
- Zhao, F.; Zou, G.; Shan, Y.; Ding, Z.; Dai, M.; He, Z. Coconut shell derived biochar to enhance water spinach (Ipomoea aquatica Forsk) growth and decrease nitrogen loss under tropical conditions. Sci. Rep. 2019, 9, 1–8. [Google Scholar] [CrossRef]
- Zhu, B.; Gutknecht, J.L.; Herman, D.J.; Keck, D.C.; Firestone, M.K.; Cheng, W. Rhizosphere priming effects on soil carbon and nitrogen mineralization. Soil Biol. Bioch. 2014, 76, 183–192. [Google Scholar] [CrossRef]
- Blay, E.; Danquah, E.; Ofosu-Anim, J.; Ntumy, J. Effect of poultry manure and/or inorganic fertilizer on the yield of shallot [Allium cepa var. aggregatum (G. Don)]. Adv. Hortic. Sci. 2002, 16, 13–16. [Google Scholar]
- Poinkar, M.; Shembekar, R.; Neha, C.; Nisha, B.; Archana, K.; Kishor, D. Effect of organic manure and biofertilizers on growth and yield of turmeric (Curcuma longa L.). J. Soils Crops 2006, 16, 417–420. [Google Scholar]
- Weil, R.R.; Brady, N.C. The Nature and Properties of Soils, 15th ed.; Prentice Hall: Hoboken, NJ, USA, 2017. [Google Scholar]
- Qiu, X.; Wang, Y.; Hu, G.; Wang, Q.; Zhang, X.; Dong, Y. Effect of different fertilization modes on physiological characteristics, yield and quality of Chinese cabbage. J. Plant Nutr. 2013, 36, 948–962. [Google Scholar] [CrossRef]
- Jasso-Chaverria, C.; Hochmuth, G.; Hochmuth, R.; Sargent, S. Fruit yield, size, and color responses of two greenhouse cucumber types to nitrogen fertilization in perlite soilless culture. HortTechnology 2005, 15, 565–571. [Google Scholar] [CrossRef]
- Ahmad, A.A.; Fares, A.; Hue, N.V. Nitrate dynamic in a tropical mollisol amended with organic manures, planted with sweet corn, and monitored with SPAD readings. Commun. Soil Sci. Plant Anal. 2012, 43, 2274–2288. [Google Scholar] [CrossRef]
- Maseko, I.; Beletse, Y.G.; Nogemane, N.; du Plooy, C.P.; Musimwa, T.R.; Mabhaudhi, T. Productivity of non-heading Chinese cabbage (Brassica rapa subsp. chinensis) under different agronomic management factors. S. Afr. J. Plant Soil 2017, 34, 275–282. [Google Scholar]
- Siose, T.K.; Guinto, D.F.; Kader, M.A. Organic Amendments Increased Sweetpotato (Ipomoea batata L.) Yield in Calcareous Sandy Soil of Samoa. S. Pac. J. Nat. Appl. Sci. 2018, 36, 36–45. [Google Scholar] [CrossRef][Green Version]
- Frank, D.A.; Groffman, P.M. Plant rhizospheric N processes: What we don’t know and why we should care. Ecology 2009, 90, 1512–1519. [Google Scholar] [CrossRef] [PubMed]
- Kuzyakov, Y.; Xu, X. Competition between roots and microorganisms for nitrogen: Mechanisms and ecological relevance. New Phytol. 2013, 198, 656–669. [Google Scholar] [CrossRef] [PubMed]
- Van Averbeke, W.; Juma, K.; Tshikalange, T. Yield response of African leafy vegetables to nitrogen, phosphorus and potassium: The case of Brassica rapa L. subsp. chinensis and Solanum retroflexum Dun. Water SA 2007, 33, 355–362. [Google Scholar]
- Lee, J.H.; Luyima, D.; Lee, J.Y.; Kim, S.J.; Son, M.K.; Yoon, C.W.; Choi, Y.J.; Choi, H.Y.; Shinogi, Y.; Park, K.W. Effects of two biochar–based organic amendments on soil chemical properties and productivity of selected vegetables. J. Fac. Agric. Kyushu Univ. 2019, 64, 39–46. [Google Scholar] [CrossRef]
- Bonanomi, G.; Sarker, T.C.; Zotti, M.; Cesarano, G.; Allevato, E.; Mazzoleni, S. Predicting nitrogen mineralization from organic amendments: Beyond C/N ratio by 13C-CPMAS NMR approach. Plant Soil 2019, 441, 129–146. [Google Scholar] [CrossRef]
- Luo, G.; Li, L.; Friman, V.P.; Guo, J.; Guo, S.; Shen, Q.; Ling, N. Organic amendments increase crop yields by improving microbe-mediated soil functioning of agroecosystems: A meta-analysis. Soil Biol. Biochem. 2018, 124, 105–115. [Google Scholar] [CrossRef]
- Anand, S. Developing a Taro (Colocasia esculenta) Production System Based on Genotype and Fallow System for Economic and Environmental Sustainability under Local Conditions in Samoa. Ph.D. Thesis, The University of the South Pacific, Suva, Fiji, 2016. [Google Scholar]
- Agyarko, K.; Kwakye, P.; Bonsu, M.; Osei, B.; Frimpong, K. The effect of organic soil amendments on root-knot nematodes, soil nutrients and growth of carrot. J. Agron. 2006, 5, 641–646. [Google Scholar]
- Choi, W.J.; Ro, H.M.; Chang, S.X. Recovery of fertilizer-derived inorganic-15N in a vegetable field soil as affected by application of an organic amendment. Plant Soil 2004, 263, 191–201. [Google Scholar] [CrossRef]
- Schimel, J.P.; Bennett, J. Nitrogen mineralization: Challenges of a changing paradigm. Ecology 2004, 85, 591–602. [Google Scholar] [CrossRef]
- Musyoka, M.W.; Adamtey, N.; Bünemann, E.K.; Muriuki, A.W.; Karanja, E.N.; Mucheru-Muna, M.; Fiaboe, K.K.; Cadisch, G. Nitrogen release and synchrony in organic and conventional farming systems of the Central Highlands of Kenya. Nutr. Cycl. Agroecosyst. 2019, 113, 283–305. [Google Scholar] [CrossRef]
- Blagodatskaya, E.; Yuyukina, T.; Blagodatsky, S.; Kuzyakov, Y. Turnover of soil organic matter and of microbial biomass under C3–C4 vegetation change: Consideration of 13C fractionation and preferential substrate utilization. Soil Biol. Biochem. 2011, 43, 159–166. [Google Scholar] [CrossRef]
- Moriwaki, T.; Falcioni, R.; Tanaka, F.A.O.; Cardoso, K.A.K.; Souza, L.; Benedito, E.; Nanni, M.R.; Bonato, C.M.; Antunes, W.C. Nitrogen-improved photosynthesis quantum yield is driven by increased thylakoid density, enhancing green light absorption. Plant Sci. 2019, 278, 1–11. [Google Scholar] [CrossRef] [PubMed]
- Zhang, J.; Wei, Q.; Xiong, S.; Shi, L.; Ma, X.; Du, P.; Guo, J. A spectral parameter for the estimation of soil total nitrogen and nitrate nitrogen of winter wheat growth period. Soil Use Manag. 2021, 37, 698–711. [Google Scholar] [CrossRef]
- Lynch, J.P. Root phenotypes for improved nutrient capture: An underexploited opportunity for global agriculture. New Phytol. 2019, 223, 548–564. [Google Scholar] [CrossRef]
- Orcutt, D.M. The Physiology of Plants under Stress: Soil and Biotic Factors; John Wiley & Sons: Hoboken, NJ, USA, 2000. [Google Scholar]
- Ahmad, A.; Hue, N.; Radovich, T. Nitrogen release patterns of some locally made composts and their effects on the growth of Chinese cabbage (Brassica rapa, Chinensis group) when used as soil amendments. Compost Sci. Util. 2014, 22, 199–206. [Google Scholar] [CrossRef]
- Vigil, M.; Kissel, D. Equations for estimating the amount of nitrogen mineralized from crop residues. Soil Sci. Soc. Am. J. 1991, 55, 757–761. [Google Scholar] [CrossRef]





| Soil Composition | Values |
|---|---|
| Total Nitrogen (%) | 0.32 |
| Organic Carbon (%) | 3.34 |
| Olsen phosphorus (mg kg−1) | 12.1 |
| Ex. Potassium (cmol kg−1) | 0.46 |
| Ex. Calcium (cmol kg−1) | 6.40 |
| Ex. Magnesium (cmol kg−1) | 3.0 |
| Available Iron (mg kg−1) | 60.0 |
| Available Manganese (mg kg−1) | 87.0 |
| Available Copper (mg kg−1) | 4.0 |
| Available Zinc (mg kg−1) | 4.3 |
| pH (water) | 5.30 |
| Electrical Conductivity (sm−1) | 78 × 10−4 |
| Sand (%) | 31 |
| Silt (%) | 39 |
| Clay (%) | 30 |
| Texture class | Clay loam |
| USDA Soil Classification | Typic Humitripept |
| Organic Amendments | Chemical Composition | |||||||
|---|---|---|---|---|---|---|---|---|
| Moisture Content (%) | NTotal (%) | CTotal (%) | C/N (-) | Total P (%) | Total K (%) | NH4+-N (mg N kg−1) | NO3−-N (mg N kg−1) | |
| Erythrina | 25.57 ± 0.52 c | 1.87 ± 0.09 b | 38.37 ± 0.11 b | 20.51 ± 0.90 b | 0.33 ± 0.01 ab | 0.21 ± 0.05 c | 30.76 ± 8.78 d | 263.70 ± 8.77 b |
| Gliricidia | 18.40 ± 0.70 d | 2.01 ± 0.04 b | 42.05 ± 0.61 b | 20.92 ± 0.67 b | 0.33 ± 0.01 ab | 0.16 ± 0.06 d | 69.14 ± 6.20 a | 218.95 ± 6.26 c |
| Mucuna | 31.70 ± 0.26 ab | 2.91 ± 0.04 a | 63.59 ± 4.29 a | 21.85 ± 1.21 b | 0.20 ± 0.06 b | 0.25 ± 0.15 b | 41.49 ± 2.32 abc | 341.10 ± 16.23 a |
| Lawn grasses | 30.41 ± 0.96 b | 1.33 ± 0.25 c | 33.04 ± 0.43 c | 24.84 ± 1.66 a | 0.40 ± 0.00 a | 0.03 ± 0.15 e | 36.51 ± 6.99 abc | 100.19 ± 2.33 d |
| Giant taro | 33.14 ± 0.31 a | 1.02 ± 0.07 c | 26.65 ± 0.06 d | 25.81 ± 1.27 a | 0.39 ± 0.00 a | 0.34 ± 0.33 a | 55.92 ± 2.28 ab | 93.20 ± 15.98 e |
| Level of significance | ** | ** | ** | ** | ** | ** | ** | ** |
| Organic Amendments | k (mg N kg−1 Soil Day−1) | N Released from Compost during Growing Season (6 Weeks) | |
|---|---|---|---|
| (mg N kg−1 Compost) | % of Total Compost N | ||
| 10 t ha−1 | |||
| Erythrina | 0.51 ± 0.05 ab | 30.42 ± 3.97 d | 21.69 |
| Gliricidia | 0.64 ± 0.02 ab | 33.55 ± 4.42 d | 22.26 |
| Mucuna | 0.70 ± 0.05 a | 41.54 ± 4.13 c | 19.03 |
| Lawn grass | 0.45 ± 0.01 b | 18.83 ± 3.92 f | 23.46 |
| Giant taro | 0.35 ± 0.04 c | 15.44 ± 3.07 g | 15.95 |
| 20 t ha−1 | |||
| Erythrina | 0.57 ± 0.11 ab | 50.00 ± 0.11 b | 21.43 |
| Gliricidia | 0.59 ± 0.04 ab | 49.26 ± 3.89 b | 19.61 |
| Mucuna | 0.72 ± 0.09 a | 67.67 ± 3.91 a | 18.61 |
| Lawn grass | 0.48 ± 0.05 b | 23.17 ± 2.51 e | 18.93 |
| Giant taro | 0.41 ± 0.04 c | 19.10 ± 3.17 f | 12.76 |
| Control | 0.21 ± 0.04 d | NA | NA |
| Level of significance | * | ** | NS |
| Organic Amendments | 1st Harvest (m2 m−2) | 2nd Harvest (m2m−2) | 3rd Harvest (m2m−2) |
|---|---|---|---|
| 10 t ha−1 | |||
| Erythrina | 2.13 ± 0.5 a | 3.71 ± 0.2 c | 4.45 ± 0.5 c |
| Gliricidia | 1.68 ± 0.4 b | 5.06 ± 0.5 bc | 5.86 ± 1.1 b |
| Mucuna | 1.84 ± 0.3 ab | 5.41 ± 0.3 a | 6.46 ± 1.9 a |
| Lawn grass | 1.56 ± 0.4 b | 3.98 ± 1.7 b | 4.25 ± 0.5 c |
| Giant taro | 1.35 ± 0.7 bc | 3.31 ± 0.9 c | 3.86 ± 0.2 c |
| 20 t ha−1 | |||
| Erythrina | 1.86 ± 0.5 ab | 4.35 ± 0.2 b | 5.37 ± 0.1 b |
| Gliricidia | 1.72 ± 0.2 b | 5.47 ± 0.9 a | 5.94 ± 1.3 b |
| Mucuna | 1.67 ± 0.7 b | 5.89 ± 2.2 a | 6.62 ± 0.5 a |
| Lawn grass | 1.02 ± 0.1 c | 4.04 ± 1.1 b | 4.20 ± 0.2 c |
| Giant taro | 1.42 ± 0.3 bc | 3.29 ± 0.3 c | 4.96 ± 0.3 c |
| Control | 0.41 ± 0.3 d | 1.17 ± 0.6 d | 1.90 ± 0.8 d |
| Level of significance | * | ** | ** |
| Organic Amendments | 1st Harvest | 2nd Harvest | 3rd Harvest |
|---|---|---|---|
| 10 t ha−1 | |||
| Erythrina | 32.0 ± 0.7 a | 35.4 ± 4.3 ab | 44.9 ± 6.9 a |
| Gliricidia | 32.7 ± 3.3 a | 36.6 ± 3.1 ab | 39.3 ± 1.4 b |
| Mucuna | 32.6 ± 2.1 a | 39.8 ± 4.7 a | 44.1 ± 2.9 a |
| Lawn grass | 30.8 ± 1.6 a | 37.0 ± 6.2 ab | 39.8 ± 2.9 b |
| Giant taro | 31.9 ± 0.6 a | 37.8 ± 7.1 ab | 35.1 ± 2.6 b |
| 20 t ha−1 | |||
| Erythrina | 32.8 ± 2.6 a | 39.1 ± 4.6 ab | 40.3 ± 3.1 b |
| Gliricidia | 30.4 ± 2.1 a | 36.0 ± 3.0 ab | 40.7 ± 5.7 b |
| Mucuna | 31.4 ± 3.7 a | 40.4 ± 7.0 a | 45.1 ± 5.1 a |
| Lawn grass | 33.6 ± 2.6 a | 36.2 ± 3.5 ab | 38.8 ± 3.1 b |
| Giant taro | 30.1 ± 2.1 a | 30.0 ± 3.4 b | 32.7 ± 2.4 bc |
| Control | 23.9 ± 2.6 b | 31.2 ± 5.5 c | 30.9 ± 3.1 c |
| Level of significance | ** | ** | ** |
| Nutrient Content of OAs | Mineralization Rates (k) (mg N kg−1 Day−1) |
|---|---|
| Total nitrogen (%) | 0.904 ** |
| Total carbon (%) | 0.764 |
| Phosphorus (%) | −0.884 ** |
| Potassium (%) | 0.396 |
| Ammonium –N (mg N kg−1 soil) | 0.272 |
| Nitrate –N (mg N kg−1 soil) | 0.884 ** |
| C/N | −0.506 |
| Plant Growth Parameters | OAs Nutrient Content | N Mineralization Rates (mg N kg−1 Day−1) | |||||
|---|---|---|---|---|---|---|---|
| Ntotal (%) | P (%) | K (%) | NH4+-N (mg N kg−1 Soil) | NO3−-N (mg N kg−1 Soil) | 10 tha−1 | 20 tha−1 | |
| Leaf number (count) | 0.992 ** | −0.953 * | −0.022 | −0.115 | 0.908 * | 0.914 * | 0.895 * |
| Plant height (cm) | 0.879 * | −0.781 | −0.026 | 0.008 | 0.922 * | 0.906 * | 0.889 * |
| Chlorophyll content (nmolcm−2) | 0.900 * | −0.820 | −0.231 | −0.468 | 0.885 * | 0.913 * | 0.922 * |
| Fresh biomass yield (g pot−1) | 0.983 ** | −0.982 ** | 0.096 | −0.198 | 0.921 * | 0.904 * | 0.960 ** |
| Dry biomass yield (g pot−1) | 0.819 | −0.738 | −0.376 | −0.164 | 0.624 | 0.908 * | 0.965 ** |
| LAI (m2/m2) | 0.953 * | −0.899 * | 0.063 | 0.190 | 0.886 * | 0.918 * | 0.892 * |
| Total N uptake (mg N pot−1) | 0.994 ** | −0.981 ** | 0.088 | −0.102 | 0.924 * | 0.912 * | 0.903 * |
Publisher’s Note: MDPI stays neutral with regard to jurisdictional claims in published maps and institutional affiliations. |
© 2022 by the authors. Licensee MDPI, Basel, Switzerland. This article is an open access article distributed under the terms and conditions of the Creative Commons Attribution (CC BY) license (https://creativecommons.org/licenses/by/4.0/).
Share and Cite
Suruban, C.; Kader, M.A.; Solaiman, Z.M. Influence of Various Composted Organic Amendments and Their Rates of Application on Nitrogen Mineralization and Soil Productivity Using Chinese Cabbage (Brassica rapa. L. var. Chinensis) as an Indicator Crop. Agriculture 2022, 12, 201. https://doi.org/10.3390/agriculture12020201
Suruban C, Kader MA, Solaiman ZM. Influence of Various Composted Organic Amendments and Their Rates of Application on Nitrogen Mineralization and Soil Productivity Using Chinese Cabbage (Brassica rapa. L. var. Chinensis) as an Indicator Crop. Agriculture. 2022; 12(2):201. https://doi.org/10.3390/agriculture12020201
Chicago/Turabian StyleSuruban, Charlie, Md. Abdul Kader, and Zakaria M. Solaiman. 2022. "Influence of Various Composted Organic Amendments and Their Rates of Application on Nitrogen Mineralization and Soil Productivity Using Chinese Cabbage (Brassica rapa. L. var. Chinensis) as an Indicator Crop" Agriculture 12, no. 2: 201. https://doi.org/10.3390/agriculture12020201
APA StyleSuruban, C., Kader, M. A., & Solaiman, Z. M. (2022). Influence of Various Composted Organic Amendments and Their Rates of Application on Nitrogen Mineralization and Soil Productivity Using Chinese Cabbage (Brassica rapa. L. var. Chinensis) as an Indicator Crop. Agriculture, 12(2), 201. https://doi.org/10.3390/agriculture12020201
