Abstract
The Narcissus poeticus (L.) species stands out from other narcissus due to its unique ornamental and sensory values. In our experiment, the flowers of N. poeticus were harvested at five different stages. After cutting, the plants were placed directly at room temperature or at 4 °C for 1 week. The opening status of the flowers was recorded every 12 h, and based on this, the ornamental value of the flowers was calculated. Additionally, the flower diameter, the scape and flower weight, the dry matter content, the water soluble K, Ca, and Mg content of the plant parts, and the chlorophyll content of the scapes were measured. The complete senescence of the stored flowers was noted to be earlier (after 6.6–7.5 days) than that of the fresh flowers (7.5–8.5 days) and depended on the bud stage at harvest. Flowers opened from all the buds, but the flower size was smaller in the early developmental harvest stage (a 10 mm reduction in diameter and a 0.38 g reduction in fresh weight between the green bud and the large white bud harvest stages). Cold storage delayed further bud development and reduced the flower size in several cases, but it increased the maximum decorative value of the flowers for those flowers that had been harvested as big white buds.
1. Introduction
Temperature is one of the most important factors influencing cut flowers. The treatment with low temperature after harvest slows down the metabolic processes such as respiration and transpiration, reducing the loss of carbohydrates and other substance reserves, the water, the production of ethylene, and the activity of microorganisms [1,2,3,4,5,6]. As an effect, the flowers’ lives are extended, which broadens the marketing potential of the flower products. This is particularly important in short-lived, cut flower species [7,8]. Cold storage is one of the basic techniques for preserving cut flowers. The range of temperatures to which the flowers can be subjected during cold storage is associated with the species’ susceptibility to chilling injury [3,9,10,11]. The way that low temperature impacts cut flowers’ general longevity and vase life performance depends on the species/cultivar’s biological response, the temperature level, and the storage duration [2,7,12,13,14]. As indicated, the vase life of plants previously in cold storage is mostly shortened in comparison with freshly harvested flowers, and the strength of this reaction is determined by the storage temperature and duration [1,2,4,7,12]. Other studies also indicated that the increase in temperature during storage decreased the vase life [2,4,5,7,15]. In general, for most popular temperate species, a temperature from 0 °C to 1 or 2 °C is recommended [3,10,11]. However, the same storage conditions, including the temperature, affect the various species differently, even those that are closely related, as was shown for Narcissus tazetta ‘Paperwhite’ and Narcissus pseudonarcissus ‘King Alfred’ [13]. Thus, the optimal storage temperatures need to be defined specifically for a given species or cultivar [3,7].
The results of many experiments demonstrate that the phenological phase of the flower at harvest time influences the cut flower’s lifetime, e.g., [15,16,17,18,19,20,21] The bud development stage at harvest is determined mainly by the plant species or cultivar, although other factors, such as the type of flora market, the handling, and the consumer preferences, are also considered. The general guideline is that the flowers should be harvested at the earliest possible stage that will still ensure the full development of the flowers’ decorative values and provide longevity and satisfactory durability during vase life [3,22,23]. The optimal harvest phase should be carefully defined. The flowers, if harvested too early, may be morphologically immature and, as a result, will not open or will show unfavorable characteristics, such as the ‘bent neck’ in roses or scape bending in gerbera [16,22]. The bud stage is one of the most preferable forms for harvesting. It is considered as the easiest to handle (in storage, transport, and distribution), and it extends the vase life period of the flowers’ attractiveness into the bud phase [3,11,16,24]. Harvesting flowers at the bud stage has been proven to prolong the vase lives of many flowers, such as lilies or peonies [15,19].
To expand the pool of the geophyte species which are useful for cut flowers, it is necessary to understand the habits of the lesser-known genotypes. N. poeticus is native to southern and central Europe, but as an ornamental bulb, it is grown in gardens all over the world [25]. N. poeticus (Amaryllidaceae) is assigned to the ninth division of Narcissus, out of the thirteen horticultural divisions created for the entire genus [26]. It is a spring-flowering bulbous plant possessing showy fragrant flowers and characterized by white tepals and small, red-edged, bright yellow corona [27]. These features make this species unique, and yet, no professional recommendations have been developed for its use as a cut flower. The latest research on the N. poeticus cultivation focused mainly on the quality of the propagation material [28] and on monitoring the green vegetation period [29]. The research related to the durability of cut flowers has so far focused mainly on N. tazetta [30,31,32,33], which requires a frost-free environment [34] that is not always easy to maintain in the field. N. poeticus has a strong fragrance and is a rich source of aromatic volatile compounds [35], which in combination with the relatively long shelf life can predispose it to be a novelty fragrant ornamental cut flower. The maximum scent release in this genus was noticed in the fully open flower stage [36], but the scent profile also highly depends on environmental factors (light, temperature, and drought stress) during the pre-harvest and postharvest management [37]. One of the factors affecting narcissus flower quality is the bud stage at harvest. Depending on the destination, narcissus flowers are cut at different stages. Previously, the ‘goose-necked’ stage was the main cropping option accepted by the market. Currently, the ‘upright pencil’ or ‘upright fat pencil’ stage without visible color (export destination) and the ‘upright fat pencil’ and ‘early split spathe’ stages with a little color showing (home and local destination) comply with the current marketing requirements [38].
Compared to the early flowering narcissus species, the late-flowering N. poeticus taxa tend to be exposed during the harvest period to much higher temperatures, which are associated with rapid bud development and flower opening (and senesce). Based on our previous field observations (not published), for the mid-late- and late-flowering taxa of N. poeticus, the plants usually progress from the green bud stage to the horizontal white bud stage or even the large white bud stage in 1 day. For this reason, if the flowers are picked while in the goose neck state recommended for other narcissus varieties, frequent picking (up to twice a day) may be necessary, which increases the cost of picking.
In this study, for the first time, the effects of storing N. poeticus cut flowers harvested at different bud maturities in the conditions of cold storage on the opening and senescence of the flowers was investigated in order to determine the vase life of this species. The ions Ca2+, K+, and Mg2+, the fresh weight and dry matter, and the chlorophyll content in the flowering and senescent plant organs were assessed. Finally, a proprietary evaluating system was presented here to monitor and characterize the decorative quality of the flowers.
2. Materials and Methods
2.1. Plant Material and Growing Conditions
The plant material for this experiment was cultivated under field conditions at the Faculty of Horticulture, Mendel University, in Brno. The cultural form of N. poeticus L. that we used was collected in 2011 from a local population in Hungary (Pákozd, DMS Lat 47°13′ N, Lng 18°32′ E).
The bulbs were removed from the field in the second half of June 2021. After drying, the bulbs were stored at 17 °C and planted on 2 October 2021. The soil is brown with pH (H2O): 7.7; pH (KCl): 7.34; and EC: 330 µS·cm−1. The nutrient supply is N: 0.116%; P: 46.24 mg·kg−1; and K: 199 mg·kg−1. As the top fertilization, 5 g/m2 N was applied as a granular fertilizer and irrigated with 15 mm water after application. After that, irrigation (15–18 mm) was applied twice more, with the last one being 7 days before flowering.
The average daily temperature data of the green vegetation period of the plants and the long-term (10 years) average values are shown in Figure 1.
Figure 1.
Daily average temperature in the experimental year and the average of the previous 10 years (the area shaded in light green shows the standard deviation of the average over ten years).
Flower picking occurred on 29 April in the early morning (6:30–7:30). The flowers were picked at the stage of bud development corresponding to the treatments, with the longest possible scape.
2.2. Treatments and Experimental Conditions
After picking, the stems were placed in distilled water at 4 °C for 24 h. Thereafter, the flowers were separated according to the current bud stage and cut to a uniform length (170–180 mm for green buds and 190–200 mm for the more developed flowers).
In the experiment, for the flowers picked at 5 different bud development stages, two different uses of the flowers were tested as another factor: immediate (fresh) use after 1 day of soaking and use after 1 week of cold storage at 4 °C.
The separated bud stages included (Figure 2):
Figure 2.
Initial bud stages (from left to right: green bud; pencil—white bud, upright; goose neck 1—white bud, skew; goose neck 2—white bud, horizontal; goose neck 3—big white bud, horizontal, maximum with 1 opening petal).
- GB: green buds;
- PE: white bud, upright (pencil);
- GN1: white bud, skew (goose neck 1);
- GN2: white bud, horizontal (goose neck 2);
- GN3: big white bud, horizontal, maximum with 1 opening petal (goose neck 3).
Then, the stems were rinsed once more with clean, distilled water to remove any secreted sap. During the experimental period, transparent 370 mL bottles (“vases”) were used to store the flowers, with 200 mL distilled water in each bottle (55 mm water column). Fifteen plants were placed in each vase, making 6 vases from each bud stage. Three from each treatment were placed at room temperature (20–24 °C), and the other three were placed in a dark cooling chamber (4 °C, RH 82–85%). After 7 days of cold storage, the latter vases were also transferred to room temperature.
The vase water was replaced with fresh distilled water at the same temperature (either 22 or 4 °C) every 24 h.
2.3. Measurement and Analysis
2.3.1. Morphological Examination
The state of openness of the flowers was recorded every 12 h, until the last flower senesced.
The stage of the flowers was classified according to Table 1. The open flower and senescence stages of the flowers are shown in Figure 3 and Figure 4.
Table 1.
Flower opening status categories and scores used to calculate the ornamental value.
Figure 3.
Variations of the open flower stage (upper row: FO—tepals are in a plane; bottom row: FOhb—tepals are standing half backwards (left); half of the petals are standing backwards (middle); FOh—tepals are standing backwards (right)).
Figure 4.
Senescence degree of flowers (from the left: the first two plants are fully open (FO); middle: AF1—all tepals become membranous but keep their turgor; next: AF2—the tepals start to gather, the corona still keeps its color and turgor; AF3—the tepals are shriveled, total wilting).
A parameter called ornamental value was assigned to each phase. The different scores characterize the current usage value of the flowers. To compare the actual condition of the vase, a weighted average was calculated based on the number of pieces per category and the related score. The scores for each 12 h increment were summed to determine the total ornamental value.
For both the flower developing stages and the ornamental value, the ‘full flowering’ period (when all flowers in a vase were fully open) was explicitly examined.
At the fully open (FO) stage of all the flowers in the vases, the diameter of the flowers was measured three times, at 24 h intervals. The diameters of the tepals (perianth) and corona were measured at the widest part, in mm.
2.3.2. Fresh Weight and of Dry Matter Content of the Plant Organs
The weight of the scapes and the flowers was measured twice with 0.001 g accuracy. At the fully open stage of the flowers (108 h after placing the vases at room temperature), 5 representative scapes were taken from each vase. The fresh weights [g] of the stems and the flowers were weighed separately and after being dried at 50 °C to a constant weight in a drying oven (Memmert GmbH + Co. KG, Schwabach, Germany), and after cooling to room temperature in an exicator, the dry weight [g] was measured. The dry and fresh weights were used to calculate the dry matter content (dry weight [g] × 100 × fresh mass [g] −1). The second sampling was performed when all the flowers in the vase had senesced (AF3 stage), at which time the weights of all seven plants in the vase were individually weighed and dried as in the first sampling.
2.3.3. Chlorophyll Content of the Scapes
For the tests, in the case of both sampling times, one laboratory sample per treatment was prepared by mixing the three replicates to increase the homogeneity of the samples, and from this sample, the tests were performed in three replicates. To perform the analysis, 0.2 g of the dried plant part was extracted for 20 min with acetone. After 24 h storage of the prepared samples in the dark, spectrophotometric measurements were taken (Specord 50 PLUS spectrophotometer, Analytik Jena, Germany) at 644 and 662 nm wavelengths.
2.3.4. Potassium, Magnesium, and Calcium Content
The determination of the potassium, magnesium, and calcium content was carried out using a 1:100 water extract (0.5 g of dry plant sample with 50 mL of deionized water). After 1 h shaking, the samples were filtered into a 50 mL flask and filled with deionized water. The analysis was established using a single-column ITP analyzer IONOSEP 2003 (RECMAN—laboratory equipment, Ostrava-Hrabuvka, Czech Republic), with a method based on the principle of capillary isotachophoresis. The used conducting electrolyte was 5 mM H2SO4 + 7 mM 18-crown-6 + 0.1% HPMC; the current power was: initial 100 μA, final 50 μA.
2.4. Data Processing, Statistical Methods
Microsoft 365 Excel and Microsoft 365 Access were used for primary data processing and making basic calculations. TIBCO STATISTICA 14.0.0 (2020) (TIBCO Software Inc./Statistica Software Inc., Palo Alto, CA, USA) was used for performing all the statistical analyses. First of all, normality was evaluated via the Shapiro–Wilk test, and homoscedasticity was evaluated through Bartlett’s test. A one-way, two-way, and three-way analysis of variance (ANOVA) was performed to evaluate the main effects and the combined effects. The means between factor levels were compared using three-way ANOVA with Tukey’s HSD post hoc comparisons. To evaluate the results, a level of p < 0.05 was used to conclude that differences were significant.
3. Results and Discussion
3.1. Flower Developing/Opening and Senescence of Flowers
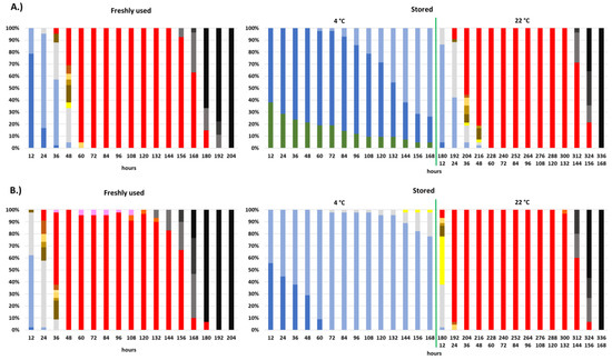
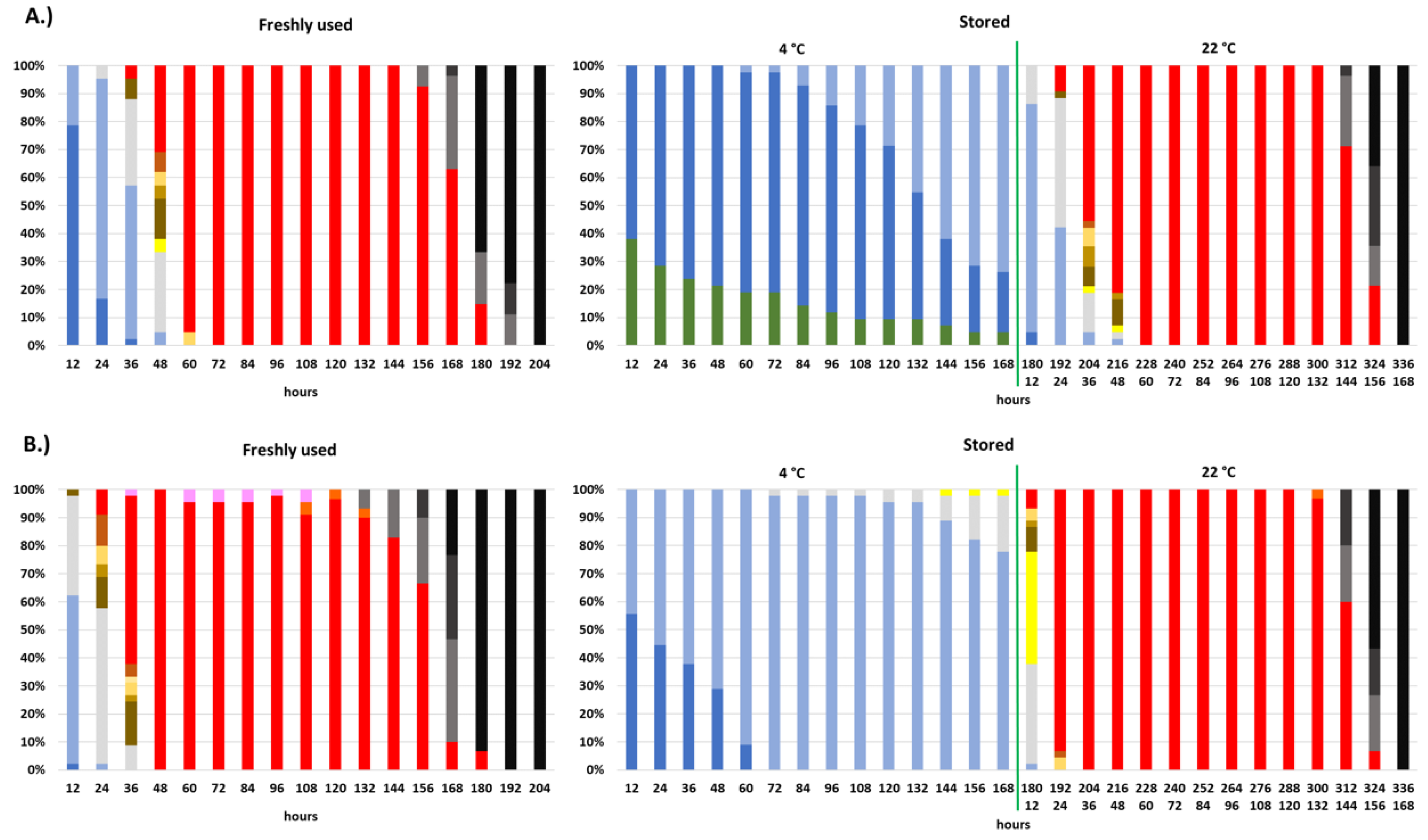
Flowers harvested in the GB stage (Figure 5A) and freshly used (without any storage), had already reached the white bud stage by the first monitoring time. After 12 h from the start of the experiment, almost 80% of the scapes were in the erect white bud stage and in the oblique white bud stage 12 h later. At the same time, we found the first flower in the GN2 stage. The first opened flower was recorded 36 h after the start of the experiment. Based on the interpolation calculations, half of the flowers were open 45 h after the start of the experiment, while in all three replicates 100% openness was observed for the first time 72 h after the start. The first flower started to senesce 156 h after the start of the experiment, and half of the flowers fully senesced after 177 h.

Figure 5.
The development of flowers harvested during the green bud stage: ((A) harvested during the green bud stage; (B) harvested during the pencil stage; (C) harvested during the goose neck 1 stage; (D) harvested during the goose neck 2 stage; (E) harvested during the goose neck 3 stage). (GB = green bud; PE = pencil stage; GN1 = goose neck 1 stage; GN2 = goose neck 2 stage; WBh = goose neck 2/3 stage, with hanging buds; OF1,2,3,4,5 = opening flower with 1, 2, 3, 4, or 5 opened tepals; OF6h= opening flower with 6 half-open tepals; FO = open flower, tepals are in a plane; FOhb = open flower, tepals are half backwards; FOb = open flower, tepals are backwards; AF1 = tepals become membranous, with turgor; AF2 = the tepals start to gather, the corona is still colored with turgor; AF3 = complete wilting, the tepals are shriveled).
The flowers stored at 4 °C changed from the GB stage to the erect white bud (PE) stage first, and after 7 days (when the flowers were placed at room temperature), 74% of them were in the GN1 stage, and only one flower remained as a green bud. The first flower was already open at 24 h of usage. As a result of development during storage, the flower opening occurred 14 (half of the flowers open) to 4 (all flowers open) hours earlier than the fresh flowers harvested at the same stage (Figure 6). The length of the period from 50% opening to 50% senescence was practically the same for the immediately used flowers and the stored flowers (127 h with immediate use and 123 h after storage), but the period when all the flowers were open at the same time was significantly shortened after storage (104 h with immediate use and 84 h after storage). Thereafter, the wilting period (from the first flower senescence to the last flower total senescence) was also shorter for the stored flowers than for the freshly used flowers (24 and 36 h, respectively) (Figure 7, Table 2).
Figure 6.
Length of the main characteristic periods of vase life (from left: duration of the period when at least 50% of the flowers were fully open; middle: duration of the period when all flowers were fully open; right: duration of the period from the start of senescence of the first flower to the total wilting of the last flower). Bud stages: green bud (GB); pencil: white bud, upright (PE); goose neck 1: white bud, skew (GN1); goose neck 2: white bud, horizontal (GN2); goose neck 3: big white bud, horizontal, maximum with 1 opening petal (GN3).
Figure 7.
The full flowering period and the mean of the full flowering period throughout the duration of the vase time. Bud stages: green bud (GB); pencil: white bud, upright (PE); goose neck 1: white bud, skew (GN1); goose neck 2: white bud, horizontal (GN2); goose neck 3: big white bud, horizontal, maximum with 1 opening petal (GN3).
Table 2.
The time to reach the main phases (hours, the length of time from placing the flowers in a vase).
In the vases of flowers picked during the erect white bud (pencil) stage, when freshly used, the first open flowers were observed within 24 h of initiation, while the rest of the flowers were almost all horizontal white buds (GN2) or were opening. In 1–1 open flowers, we observed a temporary bending back of the tepals (Figure 5B). The condition of all flowers being open at the same time was maintained for 96 h (statistically inseparable from a similar period for the flowers harvested during the GB stage).
In the case of the stored flowers, almost half (44%) of the flowers had left the initial bud stage by the first recording time (12 h), and after 72 h, all the buds were at least obliquely angled (GN2), 20% had horizontal white buds (GN3), and one flower bud was bent below the horizontal. After storage, the flowers in this case (as in the case of the flowers harvested during the GB stage) opened earlier than those which were freshly used. At the second monitoring time of the vase period (after 24 h of being placed into the vase), 94% of the flowers were open. Twelve hours later, all of them were open.
The time spent in the full flowering stage was significantly longer for the stored flowers than for the fresh flowers (116 and 96 h, respectively) (Figure 7). However, the length of time from 50% opening to 50% senescence was practically the same for the two methods of usage (137–139 h) (Figure 5B).
For the stems harvested during the PE stage, there was an even more significant difference in the length of the wilting period between the stored and the freshly used flowers when comparing GB. All the pre-stored flowers in the vases wilted within 20 h, while those that were freshly used wilted at 40 h (Figure 5B).
For the freshly used flowers, the scapes harvested at the oblique bud stage (GN1) showed the first open flowers at the first monitoring time (12 h), and 63% of the flowers were open by 24 h of the experiment. Meanwhile, for the cold storage flowers, more than half of the buds were in the horizontal position (GN2) after 12 h, and after 72 h, some buds appeared that were bent below the horizontal. The number of such buds increased continuously, and at the end of storage, all the plants still in the bud stage had bent buds. Meanwhile, we recorded flower opening from 108 h, and at the last monitoring time, while in storage, 23% had opened. After 144 h, we also found flowers that had opened (Figure 5C).
Full flowering (all the flowers in the vases open at the same time), calculated at a 12 h recording frequency, lasted 112 h for both methods of usage. In terms of the length of time from 50% opening to 50% senescence, the fresh flowers lasted on average 9 h longer than the stored ones. The senescing period was practically the same for the two applications (fresh: 32 h; stored: 28 h, respectively) (Figure 6).
More than half of the flowers were harvested at the GN2 stage and placed in a vase while freshly opened within the first 12 h, and only 24% remained in the bud stage. After another 12 h, all the flowers were either just opening (11%) or in full bloom, with flat or fold-back tepals (Figure 5D). During the storage phase, most of the plants remained as closed buds for a relatively long time, but by the 120 h recording, an increasing proportion of the buds were bent below the horizontal (all the buds were bent at the 120 h recording). Subsequently, some of the buds returned to a horizontal position. Tepal opening was recorded for the first flowers at 48 h of recording, and at 132 h, we found a fully opened flower. Only 7% of the flowers were not fully open at the end of storage. The fully open stage was between 32 and 140 h from the time of placing the freshly used flowers in the vase and between 20 and 128 h for the stored flowers (Figure 6).
The first fully senesced flower per vase was found after an average of 160 h for the freshly used flowers and 145 h for the stored flowers. For the stored flowers, the wilting of the remaining flowers was also faster (50% senescence after 3 h, then 100% after an additional 8 h) than that of the freshly used flowers (8 h to 50% senescence (50%), then an additional 12 h to full senescence) (Table 2).
For both methods of usage, a change in tepal position (recurve) was observed in some flowers, not always immediately before wilting (Figure 5D).
The flowers harvested at the large white bud (GN3) stage had opened in the vases by the first recording time (12 h), with a high percentage of flowers having strongly recurved tepals (OFb) (Figure 5E). The buds started to open almost immediately while in cold storage, and after 24 h, at least two petals on more than half of the scapes had already opened. Because of the slower opening, the speed of the tepal opening was also observable. In the 36–84 h recording period, 30–40% of the flowers had just three tepals open. At the 104 h monitoring, more than half of the flowers (58%) were fully open, and the last flower was still opening in cold storage (at 168 h).
Despite this, no signs of senescence were observed on any flower at up to 120 h during the vase period. On the stored scapes, we also observed a relatively small amount of tepal recurving during the vase period. Signs of senescence were observed on half of the stored flowers 131 h after placing them in the vase, while the freshly used flowers took significantly longer (21 h, 152 h mean in total) to reach this stage. There was also a difference of 21 h in the wilting of half of the flowers between the two usage methods, which increased to 24 h by the time all the flowers were fully senesced (freshly used: 180 h, stored: 156 h) (Table 2).
The presented study indicates that the full flowering period of freshly cut N. poeticus flowers, when all the flowers were open with no signs of senescence, was up to 4.7 days (112 h, depending on harvest stage maturity) with no additional preservative treatment (Figure 7, Table 2). However, including the time of flower bud opening and the flowers with the first signs of senescence, the overall period of flowering was longer and reached 6.7 days (160 h, Figure 6). Although some authors have reported that cultivars with a short cup, e.g., N. poeticus, are considered to have longer flower durability compared to the trumpet [34], our results show that the flower vase life of cut N. poeticus is in a range which typical of the genera and can vary between 4 and 13 days [26].
Considering the storage effect on flower durability, it was indicated that the fresh flowers of N. poeticus exhibited longer vase life compared to the stored ones. The complete senescence of fresh flowers was observed after 8.5 days (204 h) for plants harvested at the earliest GB stage, and 7.2–7.5 days when at the GN1–GN3 stages (Table 2). For stored flowers, it was 7 (168 h, for GB and PE) and 6.5–6.8 days (156–164 h), respectively, which is a loss of 0.5 to 1.5 days depending on the bud stage (Table 2). On the basis of other studies [4,13,39], it can be assumed that storing flowers at temperatures lower than 4.0 °C could prolong the flower longevity of N. poeticus. Cevallos and Reid [4] revealed that the vase life of N. pseudonarcissus ‘Geranium’ after 6 days of storage at 4.0 °C was about 4 days; when stored at 1–2 °C, it was about 5.5 days. According to Hanks [38], narcissus harvested at the goose neck stage and stored at 1–2 °C for up to 7 days does not reduce vase life.
The N. poeticus flowers, when transferred to room temperature, were in more mature development stages in comparison to the fresh ones and exhibited differences in the duration of the individual flowering stages (Figure 5). Some trends could be observed. The number of days to reach the open flower (OF) stage was significantly higher for plants harvested at more mature stages, for both the fresh and the stored flowers. A similar trend was noticed in other studies, e.g., Eason et al. [15]. In our study, for both the freshly used and the stored flowers, the harvesting at a more mature stage advanced the appearance of the senescence symptoms up to 2 days in fresh flowers (6.5 days/156 hours at GB compared to 4.5 days/108 hours in GN3) and up to 1 day in stored flowers (6 days/144 hours for GB/PE and 5–5.5 days/120–132 hours for GN1–GN3). As a consequence of storage, the length of the period with open flowers (50%OF–50%AF) was shorter for the stored flowers than the fresh; however, in the case of plants cropped at the GB and PE stages, this difference was minimal (Figure 6). Considering the duration of the full flowering period (all flowers fully open—FO 100%), it was noticed that this period in the case of the flowers cut in PE was significantly longer when the plants were previously stored than for the freshly cut flowers. In the case of the GB stage, it was the opposite (Figure 6 and Figure 7).
Stored flowers harvested at GN1–GN3 showed a slightly shorter vase life compared to the earlier bud stages (PE and GB); however, they presented a longer period of open flowers (50%OF–50%AF) and, in comparison to GB, of full flowering as well. It has been reported that after cool storage, narcissus may fail to fully open, and this probability increases with longer storage periods [40]; it is also the case that N. poeticus opens less well than other popular cultivars [38]. This could be the result of harvesting too early, which may lead to an impairment of normal development in some narcissus cultivars [34], or it could be related to plant carbohydrate status [40]. Although flowers cut at the GN stages display higher flowering parameters, it can be considered unfavorable that they open while in storage. In the case of GN2 and GN3, there were 97 to 100% flowers at the end of the storage period (Figure 5D,E). From a business perspective, this may reduce shelf life and thus the time in which the flowers can be sold [24]. However, this may be acceptable for local markets. As has been pointed out, the tight bud stage is not a necessity if the flowers do not need to be transported over long distances [41].
The obtained results indicate that in terms of parameters such as the duration of the individual flowering stages, the most favorable after storage are the flowers that were cut during GB or PE, due to their having the longest vase life and overall period of open flowers similar to that of fresh flowers. In the case of PE, the longer full flowering occurs when stored. Combined with the later natural period of flowering of N. poeticus compared to other narcissus, an optimal storage protocol would allow producers to maintain good flower quality and extend the availability of this species on the cut flower market.
3.2. Ornamental Value
Evaluating the current ornamental value of the flowers on the basis of our original point scoring system, the flowers harvested during the GB stage achieved the maximum score of ten points (all the flowers in the vase were open and had one petal in a plane), with a significant delay of 56–60 h after being placed in the vase compared to the other harvest stages in both usage methods (fresh or after storage). The stored flowers, however, started to wilt earlier (fewer than 9 points: 142 h for the stored and 163 h for the fresh) and the 5-point mean was also reached with a difference of 21 h (152 and 173 h). An even larger difference of 36 h was observed in the total wilting of the last flower (Figure 8, Table 3 and Table 4). The duration of use as decoration was significantly reduced by storage (109 and 94 h for the 9–9 points and 134 and 127 h for the 5–5 points for the freshly used and stored flowers, respectively) (Figure 9). The results obtained indicate that N. poeticus flowers may be cut during the green bud stage—this is the harvest maturity at which the buds can be finally fully opened. Harvesting the crops at the bud stage reduces the cultivating period of single-harvest species, the possibility of mechanical damage at their most sensitive stage, the risk of desiccation, and the amount of shipping packaging [42].
Figure 8.
The course of changes of ornamental value based on the point scoring system. Bud stages: green bud (GB); pencil: white bud, upright (PE); goose neck 1: white bud, skew (GN1); goose neck 2: white bud, horizontal (GN2); goose neck 3: big white bud, horizontal, maximum with 1 opening petal (GN3).
Table 3.
Time to reach the selected values of ornamental value during the flower opening phase.
Table 4.
Time to reach the selected values of ornamental value in the flower senescence phase.
Figure 9.
Duration of the usable period of flowers based on ornamental score limits. Bud stages: green bud (GB); pencil: white bud, upright (PE); goose neck 1: white bud, skew (GN1); goose neck 2: white bud, horizontal (GN2); goose neck 3: big white bud, horizontal, maximum with 1 opening petal (GN3).
The flowers harvested at the PE, GN1, and GN2 stages, when freshly used in the order of their development at harvest, initially increased in ornamental value, reaching a value approaching 10, with a difference of about 12–12 h. The order of wilting was also related to the order of development at harvest (flowers picked at the GN2 stage wilted fastest, followed by GN1 and then the PE buds). After storage, all the flowers in the vases approached the value of 10 points relatively quickly for all three of these picking states. They needed 10, 14, and 22 h to reach 9 points (GN2, GN1, and PE picking stages) (Table 3). The wilting order also followed the pattern of harvest development. In these three harvest stages, after storage, there was no significant difference in the length of time from reaching 9 points to falling below 9 points at wilting (114–119 h) (Figure 9). When the flowers picked at the PE stage were immediately placed into the vase, the wilting started at about the same time as the flowers picked at the GN2 stage (Figure 8); therefore, the 9-point period was only 106 h long (Figure 9).
The rapid opening of the flowers picked at the GN3 stage, when used immediately, was followed by a significant proportion of flowers with recurving tepals, which reduced the ornamental value according to our scoring system. As a result, even the vase mean values approached the 9-point threshold for only a very short time (Figure 8), although the length of the period above the 5-point value was not different from the other treatments when fresh white bud scapes were used. For the flowers harvested and stored at the GN3 stage, the ornamental value fell below 9 only 119 h after vase placement (Table 4).
The total ornamental score obtained by adding the average ornamental scores of the 12-hourly recordings was the same for the fresh use of those plants picked at the GB, PE, GN1, and GN2 stages. These treatments achieved the highest overall score of around 120. Storage significantly reduced the value of the parameter for the scapes harvested at the GB, PE, and GN2 stages. The total ornamental score of the stems harvested at the GN3 stage was similar for the freshly used and the prior storage (Figure 10). Many studies have shown that cold storage has a positive effect on the postharvest quality of cut flowers [43,44], but it is important to define a range of low temperatures for each genotype, as low-temperature storage may also damage energy metabolism during postharvest life. Our results may be due to decreased adenosine triphosphate (ATP) content in response to cold storage (4 °C) [45]. ATP, as a source of cellular energy, plays a crucial role in the senescence of cut flowers during vase life [46]; thus, preservation technologies, including sucrose supplementation to obtain the preservation effect by maintaining the ATP level [47], should be also considered in the case of N. poeticus.
Figure 10.
Sum of 12 h interval ornamental values. Bud stages: green bud (GB); pencil: white bud, upright (PE); goose neck 1: white bud, skew (GN1); goose neck 2: white bud, horizontal (GN2); goose neck 3: big white bud, horizontal, maximum with 1 opening petal (GN3).
3.3. Flower Diameter
The diameter of the tepals was in most cases the lowest at the first measurement point, and in 6 of the 10 treatments (five picking stage × two usage methods), it was significantly lower than the values measured 48 h later (Figure 11). The smallest flower diameters (both the tepals and the corona) were obtained when picking at the GB stage, while the largest tepal diameter was obtained when picking scapes at the large white bud (GN3) stage and when freshly used. This treatment had the largest diameter at the third measurement time (132 h), with a mean diameter of 68 mm. In contrast, the diameter of the flowers picked at the GB stage was only 57–60 mm. In comparison, the flowers of potted N. poeticus cultivated in a greenhouse can reach a diameter of 63 mm [48]. The tepal diameter of the stored flowers was in most cases (except for the scapes harvested at the GN3 stage) significantly larger than that of the freshly used flowers harvested at the same stage. A similar trend in corona diameter was also found, except for the scapes harvested at the GB and GN3 stages. Cold storage also improved the floral diameter of Iris species [49] and Helianthus annuus [5]. In response to the chilling temperatures (0–15 °C), the regulatory mechanisms in plant metabolism have been identified [50,51]. There are metabolites, e.g., amino acid proline, glucose, fructose, and sucrose, whose levels increase in cold-treated plants [50]. This suggests that the accumulation of such metabolites might have influenced the flower size of our cut N. poeticus stored at 4 °C. It is worth noting that temperatures of 5 °C during postharvest may cause a decrease in the scent complexity of narcissus flowers [37].
Figure 11.
Flower diameter at 84, 108, and 132 h after placing in the vase. Bud stages: green bud (GB); pencil: white bud, upright (PE); goose neck 1: white bud, skew (GN1); goose neck 2: white bud, horizontal (GN2); goose neck 3: big white bud, horizontal, maximum with 1 opening petal (GN3).
3.4. Fresh Weight of the Plant Organs
It is known that the fresh weight of cut stems decreases during postharvest time due to vascular blockage and negative water balance [52,53]. In our study, the lowest fresh stem weight was measured for the stored flowers and for the plants harvested at the GB stage when freshly used. Low temperature decreases membrane fluidity and modifies gene activity and the metabolic profile of plants [54], which may explain the decrease in fresh weight in our N. poeticus stems. As shown in red in Figure 12, the plants with green buds had a significantly smaller stem weight than the other flowers (they were also 20 mm shorter) and did not differ from each other. The stem weight increased significantly during the time in the vase for the stems harvested with green buds (GB) and big white buds (GN3), except for the first sampling of stored flowers in the GN3 treatment.
Figure 12.
Fresh weight of plant organs. Bud stages: green bud (GB); pencil: white bud, upright (PE); goose neck 1: white bud, skew (GN1); goose neck 2: white bud, horizontal (GN2); goose neck 3: big white bud, horizontal, maximum with 1 opening petal (GN3).
The stem weight of the samples taken when the stored flowers were in the open flower stage was significantly lower than in the other cases, while the weight of the flowers was the highest in this sampling. The flower: scape fresh weight ratio in these samples was 1.16–1.37, while for the freshly used flowers at the flowering stage it was 0.71–0.78.
Similarly to the stem, we observed that the flower weight was the same at the PE, GN1, and GN2 picking stages in the three-sample series. The flowers developed from the buds picked at the GN3 stage, when freshly used, showed a significantly higher weight at flowering.
The combined weight of flower and stem at full flowering was significantly higher than the values measured at the beginning of the experiment.
3.5. Dry Matter Content
The dry matter content of the scapes at the beginning of the experiment was the highest for the flowers harvested at the GB stage (11.81%). However, at full flowering and at the senesced stage, the same or lower values were also measured in the samples from this treatment compared to the flowers harvested at more developed stages. In these samplings, the stems of the flowers harvested at GN2 and GN3 had the highest dry matter content. The dry matter content of the scapes of flowers used after storage was higher at flowering than at opening and in the samples of freshly used flowers (Figure 13).
Figure 13.
Dry matter content. Bud stages: green bud (GB); pencil: white bud, upright (PE); goose neck 1: white bud, skew (GN1); goose neck 2: white bud, horizontal (GN2); goose neck 3: big white bud, horizontal, maximum with 1 opening petal (GN3).
The buds harvested at the PE stage had the highest dry matter content (17.10% on average, p < 0.05 compared to the other harvest conditions), while the buds at ZB–GN1–GN2–GN3 did not differ from each other (16.48–16.57%). At full flowering, the dry matter content of the flowers used after storage was significantly lower than that of the freshly used flowers. In the senesced stage, there were smaller differences in the effects of the two usage methods, but even then, the storage significantly reduced the dry matter content by several times.
Looking at the dry matter content of the stems and flowers together, a more developed bud stage at harvest resulted in a higher dry matter content. Among the stored flowers at full flowering, the GN3 harvest stage showed an especially high dry matter content of 13.72%.
The decline in the dry weight of flowers during senescence is commonly considered the final stage of development [16,55] and was reported previously in N. tazetta ‘Kashmir Local’ and N. poeticus cv. Pheasant’s Eye [56,57]. Dry matter depletion is considered to be associated with a plant’s sugar status. As shown by Gult et al. [56,57], the decrease in the dry weight of the flowers was accompanied by a decline in total sugar. According to Nichols [40], in narcissus the state of sugar concentration during senescence depends on the stage of the flower at harvest. The stage of bud development also influences the ratio of sugar concentration (reducing sugars to sucrose). When flowers are harvested at the goose neck stage, the content of the reducing sugars is smaller compared to that of sucrose, but during development and senescence, this proportion reverses [40,57]. In our study, the overall dry matter content increased with a more mature stage at harvesting, which might be the result of a longer period allowing for the accumulation of sugars during the development of plants in the field. The rate at which sugar is metabolized after harvest influences cut flower durability [40,55,56,57]. Nichols [40] reported that during storage the sucrose concentration declines compared to that in fresh flowers and thus affects vase life. This might be the reason for the lower dry matter content at flowering for our stored flowers of N. poeticus compared to the fresh flowers. According to Nichols and Ho [58] and Bieleski [59], between the stem and the flower organs of cut flowers, the translocation and distribution of dry matter occurs during plant development and senescence. This process might be involved in the changes of the dry weight of the scapes and the flowers from full flowering to senescence that we noted in our study.
3.6. Chlorophyll Content of the Scapes
The chlorophyll a content was higher at the senescence flower stage than at the flowering in the plants harvested at the GB stage (fully open flower stage: 1321–1329; senesced stage: 1375–1396 mg·kg−1). The values for the PE, GN2, and GN3 harvest stages were lower at the end of the experiment than at the flowering. The usage method also had no clear effect on this parameter, especially at flowering. At senescence, the chlorophyll a content of the stems of the freshly used flowers was higher than that of those used after storage, except for the GN1 stage harvested flowers. Overall, the plants at the GB harvest stage had the highest values (Figure 14). The chlorophyll b content in the stems of the same plants was also higher compared to the other harvesting stages, with values of 442–448 mg·kg−1 obtained for the freshly used flowers. In terms of use, at flowering the value was significantly higher in the freshly used flowers than in the flowers used after storage, except for the GN1 harvest stage. At the senesced stage, this trend remained only for the flowers harvested at the GN2 and GN3 stages. The biggest change between the two sampling dates was seen in these two treatments. At full flowering, the cumulative amount of the two chlorophyll forms (a + b) was lower in the case of the usage of the stored flowers than in the fresh flower usage (except for GN1). In the GN2 and GN3 harvest stages, the same was observed at the end of the experiment. During senescence, the degradation of the plant structures, including cell organelles such as chloroplasts, occurs and a gradual decrease in the chlorophyll quantity is observed. The assessment of this photosynthetic pigment content is used to indicate senescence in various plant organs [23,60,61]. Skutnik et al. [61] reported that with the more advanced stages of the senescence of cut Zantedeschia leaves, a greater chlorophyll loss was noted. Our results in general are in accordance with these findings in terms of the observed decreased chlorophyll content in the scapes from full flowering to the senescence stages. The higher chlorophyll content at the senescence phase for the fresh flowers than that in the stored flowers might be assigned to the different overall stage of development of those plants during the experiment. According to Szutt and Dołhańczuk-Śródka [62] and Kamble et al. [63], the chlorophyll content in younger plants’ organs is lower than in more mature plants. Dertinger et al. [64] showed that chlorophyll together with photosynthetic rate decreased with leaf aging, which is a consequence of the age-related decreased capacity of the antioxidative system to scavenge the radicals (ROS) that have a degenerative effect on plants. In our experiment, the N. poeticus flowers were cut at different physiological stages, and thus ages, of which GB was most immature, and this might explain the obtained results.

Figure 14.
Chlorophyll content of the scapes. Bud stages: green bud (GB); pencil: white bud, upright (PE); goose neck 1: white bud, skew (GN1); goose neck 2: white bud, horizontal (GN2); goose neck 3: big white bud, horizontal, maximum with 1 opening petal (GN3).
The ratio of the two chlorophyll forms (a:b) was highest in the samples of flowers harvested at the GN3 stage and used after storage (average 9.81), while the lowest was in the case of picking at the GB stage (2.88–3.95). In the full flowering stage, the proportion in the stems of the stored flowers was higher than in those freshly used. The chlorophyll a:b ratio can reflect the pigment decomposition rate. The increase in the chlorophyll a:b ratio value indicates a faster decreasing chlorophyll b content, whose degradation is connected and enhanced by chlorophyll a decomposition during, e.g., senescence [61,65]. The obtained results show that those processes are generally more advanced when the flowers are stored and harvested at more mature stages.
3.7. Water Soluble Potassium, Calcium, and Magnesium Content
In our experiment, the potassium content of the flowers was significantly higher than that of the scapes (more than double the values in the flowers). The K content of the scape was similar for the two usage methods (fresh and stored flowers) (Figure 15). When comparing the fully flowered and the wilted stages, the value increased in the stems, and the same was observed in the flowers of the freshly used plants. Concerning the effect of bud development at harvest, the GB stage resulted in the highest values. In the stems and in the senesced stage of the flowers used after storage, the K content decreased as the bud development progressed. The total amount calculated in one plant (scape + flower) increased with the stage of development at harvest, except for some outlier samples (mainly GN2). The method of use had no effect in the senesced stage, but at the full flowering stage, it was significantly higher in those flowers used after storage than in the fresh flowers (except for the flowers harvested at the green bud stage).
Figure 15.
Water soluble potassium content. Bud stages: green bud (GB); pencil: white bud, upright (PE); goose neck 1: white bud, skew (GN1); goose neck 2: white bud, horizontal (GN2); goose neck 3: big white bud, horizontal, maximum with 1 opening petal (GN3).
As with the K content, the water-soluble Ca and Mg contents were significantly higher in the flowers than in the scapes (except for the values measured in the senescent stage of the freshly harvested plants harvested at the GB stage) (Table 5). Comparing the three elements, the smallest difference between the scapes and the flowers was in the Ca content. With the increasing development of the buds at harvest, an upward trend in Ca content was observed only for the freshly used flowers (a linear or second-order polynomial regression, R2 = 0.86). For the Mg content, a closely fitting second-order polynomial regression curve was fitted in two cases (freshly used scapes at the fully open flower stage: R2 = 0.99; freshly used flowers at the senesced stage: R2 = 0.84). In all other cases, there was no clear trend. When comparing the two samplings, the Ca content was only clearly higher in the opened flower stage of the freshly used plants (regardless of the harvesting stage), compared to the case of using stored flowers. With the exception of two sample pairs, the Mg content of the flowers decreased at the flower wilting. A decrease was also found in the stems of the flowers used after storage. In the latter case, we measured a specifically low value for the GN3 harvesting condition (78 mg·kg−1). The values per plant (scape + flower) of the Ca content increased with increasing harvest development (except for one sample) (mainly because of the bigger harvest weight). There was greater variability in the water-soluble Mg content in this respect, but it was observed that the Mg content of the plants harvested at the GB stage was similar in the two samplings (both for freshly used and the stored plants). The results were similar for the freshly harvested flowers at the GN3 stage.
Table 5.
Calcium and magnesium content of plant organs.
According to Trivellini et al. [66], the macro- and micronutrient concentrations change during a flower’s development, and its senescence and may vary between plant organs. In the existing literature [58,59,67], the relationship between the flower and the stem is also considered in terms of source and sink for various nutrients, and the direction of this relationship strongly depends on the plant’s age. Developing bud flowers act as a most active nutrient sink, while from the flowering to the senescence stages this switches to become a metabolic source [58,67]. This phenomenon might explain our observation of a higher content of K+, Mg2+, and Ca2+ in the N. poeticus flowers than in the scapes. When flowers senesce, the process of macromolecule degradation occurs, and a remobilization of the mobile compounds and ions, such as the cations potassium, calcium, and magnesium from the wilting petals to other organs is observed [67,68]. Our results indicate that in N. poeticus the transfer from flowers to scapes can be observed in the potassium ions. The higher K+ content in the flowers compared to the stems and in the stored vs. the fresh flowers can be attributed to the larger contribution of potassium than sugars in the osmotic energy in petals, which occurs due to the gradual depletion of sugar reservoirs during senescence [69]. Those reserves decrease in accordance with the age and senescence processes. The results for calcium and magnesium are not so clear, especially in the case of flowers after storage. This might suggest that the storage period might affect the senescence process at different rates of advance. Ca2+ and Mg2+ ions are also considered to be less mobile, and their remobilization in plants is lower compared to that of potassium [70]. According to a review by van Doorn and Woltering [68], in Petunia, Ipomea, and Gossypium the potassium cations were withdrawn in the greatest amount, while magnesium and calcium either changed much less or there were no changes in their contents. Thus, the type, amount, and rate of the removed mineral nutrient from senescing flowers also depends on the species [68]. The increasing overall content of K+ and Ca2+, and partially Mg2+, in plant organs with more developed buds at harvest observed in our study might also be due to a better pre-harvest supply of nutrients as a consequence of a longer cultivation period before harvest.
4. Conclusions
Our results show that N. poeticus flowers have an approximately similar vase life durability to most other single-flowered narcissus, and their use as cut flowers is floristically suitable. The results of this study show that the stage of bud maturity at harvest and the storage conditions impact the dynamic of the flower development and the durability of vase life in N. poeticus cut flowers. The interaction of these factors has a significant effect on the flower’s opening stages and also on the terminal senescence point.
It can be concluded that the flower opening occurs at all the harvest development stages tested earlier as the initial development stage progresses. The stage of development at harvest affects the length of time from 50% opening to 50% senescence, which increases with maturity at harvest.
In the case of freshly used flowers, the harvest maturity shortens the time needed to reach the maximum ornamental value by 12 h per maturity level.
The largest flower size (diameter and weight) in freshly used flowers is obtained when they are harvested at the big white bud stage (GN3), but after one week of cold storage, the differences between harvests at different white bud stages are not significant.
Harvesting in the green bud stage results in a delay of 2.3–2.5 days compared to the large white bud harvest stage until reaching the maximum decorative value, and it reduces the size of the opened flowers. In the case of freshly used flowers, the duration of the full flowering (all flowers fully open) of these flowers is not shorter than, for example, that of those harvested at the horizontal white bud stage, while the duration is significantly lower after one week of cold storage.
When harvested at the large white bud stage, practically all the buds open within the first few hours of fresh use. Cold storage did not inhibit the full opening of the flowers, and during the storage period, the flowers were opened. Although the diameter defined by the flattened tepals is the largest for these flowers, the decorative value of the flowers is reducing by the fact that the petals of most of the flowers are recurved throughout the flowering phase.
In general, cold storage at 4 °C does not stop bud development, it only delays it. Continuing to develop in storage also means that buds in a more advanced harvest stage may open while in storage, but in all harvest stages, the flowers open earlier in the vase after storage, and the start of the fully open period is earlier. For flowers harvested at the green bud stage, this results in an earliness of only 4 h, and for flowers harvested at more advanced bud stages, it can be 12–16 h (0.5–0.7 days). Cold storage reduces flower diameter (tepals), but when harvested in the developed (large white) bud stage, it can also be a quality enhancer for N. poeticus, reducing or avoiding tepal recurrence. After storage, the dry matter content of the opened flowers is significantly lower, while that of the scapes is higher.
Author Contributions
Conceptualization, A.J. and K.J.S.; data curation, A.J. and K.J.S.; formal analysis, M.V.; funding acquisition, K.J.S., A.J., and J.U.; investigation, K.J.S., A.J., and M.V.; methodology, K.J.S. and A.J., project administration, K.J.S. and J.U.; resources, K.J.S., A.J., and R.P.; supervision, A.J. and R.P.; validation, R.P.; visualization, K.J.S., A.J., and M.V.; writing—original draft K.J.S., A.J., J.M., and A.K. All authors have read and agreed to the published version of the manuscript.
Funding
Experiments were done on infrastructure supported by project OP VVV CZ.02.1.01/0.0/0.0/16_017/0002334. Research infrastructure for young scientists, financed from structural funds of EU and Ministry of education of the Czech Republic. This paper was supported by project of Internal Grant Agency of Faculty of Horticulture, Mendel University in Brno IGA—ZF/2021–SI2006.
Institutional Review Board Statement
Not applicable.
Informed Consent Statement
Not applicable.
Data Availability Statement
The data presented in this study are available on request from the corresponding author.
Conflicts of Interest
The authors declare no conflict of interest.
References
- Faragher, J.D.; Borochov, A.; Keren-Paz, V.; Adam, Z.; Halevy, A.H. Changes in parameters of cell senescence in carnation flowers after cold storage. Sci. Hortic. 1984, 22, 295–302. [Google Scholar] [CrossRef]
- Faragher, J.D.; Mayak, S.; Tirosh, T. Physiological response of cut rose flowers to cold storage. Physiol. Plant. 1986, 67, 205–210. [Google Scholar] [CrossRef]
- Goszczyńska, D.M.; Rudnicki, R.M. Storage of Cut Flowers. In Horticultural Reviews; John Wiley & Sons, Inc.: Hoboken, NJ, USA, 1988; Volume 10, pp. 35–62. [Google Scholar]
- Cevallos, J.C.; Reid, M.S. Effects of temperature on the respiration and vase life of narcissus flowers. Acta Hortic. 2000, 517, 335–341. [Google Scholar] [CrossRef]
- Çelikel, F.G.; Reid, M.S. Storage temperature affects the quality of cut flowers from the asteraceae. HortScience 2002, 37, 148–150. [Google Scholar] [CrossRef]
- Reid, M.S.; Jiang, C.Z. Postharvest Biology and Technology of Cut Flowers and Potted Plants; John Wiley & Sons, Inc.: Hoboken, NJ, USA, 2012; Volume 40, ISBN 9781118351871. [Google Scholar]
- Jahnke, N.J.; Kalinowski, J.; Dole, J.M. Postharvest Handling Techniques for Long-term Storage of Cut Tulip and Dutch Iris. Horttechnology 2022, 32, 263–274. [Google Scholar] [CrossRef]
- Reid, M.S. Postharvest handling systems: Ornamental crops. In Postharvest Technology of Horticultural Crops; Kader, A.A., Ed.; Univ of California, Agriculture and Natural Resources: St Davis, CA, USA, 2002; pp. 315–325. ISBN 1879906511. [Google Scholar]
- Halevy, A.H.; Mayak, S. Senescence and Postharvest Physiology of Cut Flowers-Part 2. Hortic. Rev. (Am. Soc. Hortic. Sci.) 1981, 3, 59–143. [Google Scholar] [CrossRef]
- Senapati, A.K.; Raj, D.; Jain, R.; Patel, N.L. Advances in packaging and storage of flowers. In Commercial Horticulture; Patel, N.L., Chawla, S.L., Ahlawat, T., Eds.; New India Publishing Agency: New Delhi, India, 2016; pp. 473–488. ISBN 938551623X. [Google Scholar]
- Vijayakumar, S.; Shivani, S.; Pandiyaraj, P.; Sujayasree, O.J. Postharvest handling of cut flowers. In Trends & Prospects in Post Harvest Management of Horticultural Crops; Surajit, M., Banik, A.M.K., Eds.; Today & Tomorrow’s Printers and Publishers: New Delhi, India, 2019; pp. 419–446. ISBN 81-7019-. [Google Scholar]
- Faragher, J.D. Effects of cold storage methods on vase life and physiology of cut waratah inflorescences (Telopea speciosissima, Proteaceae). Sci. Hortic. 1986, 29, 163–171. [Google Scholar] [CrossRef]
- Cevallos, J.; Reid, M.S. Effect of Dry and Wet Storage at Different Temperatures on the Vase Life of Cut Flowers. Horttechnology 2001, 11, 199–202. [Google Scholar] [CrossRef]
- Berlingieri Durigan, M.F.; Mattiuz, B.-H. Effects of Temperature on Some Senescence Parameters During Dry Storage of Cut Flowers of Gerbera “Suzanne”. Acta Hortic. 2009, 847, 399–407. [Google Scholar] [CrossRef]
- Eason, J.; Pinkney, T.; Heyes, J.; Brash, D.; Bycroft, B. Effect of storage temperature and harvest bud maturity on bud opening and vase life of Paeonia lactiflora cultivars. N. Zeal. J. Crop Hortic. Sci. 2002, 30, 61–67. [Google Scholar] [CrossRef]
- Halevy, A.H.; Mayak, S. Senescence and Postharvest Physiology of Cut Flowers, Part 1. In Horticultural Reviews; Jules Janick, Ed.; John Wiley & Sons, Inc.: Hoboken, NJ, USA, 1979; pp. 204–236. [Google Scholar]
- Goszczyńska, D.; Rudnicki, R.M. Long-term storage of carnations cut at the green-bud stage. Sci. Hortic. 1982, 17, 289–297. [Google Scholar] [CrossRef]
- Varu, D.K.; Barad, A. V Effect of stem length and stage of harvest on vase-life of cut flowers in tuberose (Polianthes tuberosa L.) cv. Double. J. Hortic. Sci. 2010, 5, 42–47. [Google Scholar]
- Chaudhary, N.; Kumar, R.; Sindhu, S.S.; Saha, T.N.; Arora, A.; Sharma, R.R.; Sarkar, S.K.; Kadam, G.B.; Girish, K.S. Effect of post harvest treatments and harvesting stage on vase life and flower quality of cut Oriental lily. J. Appl. Nat. Sci. 2016, 8, 1286–1289. [Google Scholar] [CrossRef]
- Dwivedi, N.; Deen, B.; Kumar, A.; Marut Sharma, M.; Kumar Jaiswal, A. Standardization of Vase Solutions for Maximum Buds Opening and Longer Vase-Life of Gladiolus Flower cv. Nova Lux. Int. J. Curr. Microbiol. Appl. Sci. 2018, 7, 3145–3150. [Google Scholar] [CrossRef][Green Version]
- Sun, J.; Guo, H.; Tao, J. Effects of Harvest Stage, Storage, and Preservation Technology on Postharvest Ornamental Value of Cut Peony (Paeonia lactiflora) Flowers. Agronomy 2022, 12, 230. [Google Scholar] [CrossRef]
- Nichols, R. Developments in post-harvest techniques for cut flowers. Sci. Hortic. 1980, 31, 43–47. [Google Scholar]
- Joyce, D.; Faragher, J. Cut Flowers. In Crop Post-Harvest: Science and Technology: Perishables; Rees, D., Farrekk, G., Orchard, J., Eds.; Blackwell Publishing Ltd.: Hoboken, NJ, USA, 2012; pp. 414–438. ISBN 9780632057252. [Google Scholar]
- Swart, A. Maturity of the Buds At the Moment of the Harvest Is of Crucial Importance To Ensure a Good Quality of Bulb Flowers At the Customers. Acta Hortic. 1992, 325, 185–192. [Google Scholar] [CrossRef]
- Pustahija, F.; Šolić, E.M.; Siljak-Yakovlev, S. Karyological study of some Mediterranean species from Bosnia and Herzegovina, Croatia and Lebanon. Flora Mediterr. 2017, 27, 295–301. [Google Scholar] [CrossRef]
- Thakur, P.; Misra, R.L.; Misra, S.N. Commercial Ornamental Crops: Cut Fowers; Kruger Brentt Publishers UK LTD.: Edgware, UK, 2017; pp. 373–388. ISBN 978-1-78715-003-4. [Google Scholar]
- Spaulding, D.D.; Barger, T.W. Key to the wild daffodils ( narcissus, amaryllidaceae) of Alabama and adjacent states. Phytoneuron 2014, 82, 1–10. [Google Scholar]
- Slezák, K.A.; Mazur, J.; Jezdinský, A.; Kapczyńska, A. Bulb size interacts with lifting term in determining the quality of Narcissus Poeticus L. propagation material. Agronomy 2020, 10, 975. [Google Scholar] [CrossRef]
- Slezák, K.J.; Jezdinský, A.; Vachůn, M.; Sotolářová, O.; Pokluda, R.; Uher, J. Monitoring the green vegetation period of two narcissus taxa by non-destructive analysis of selected physiological and morphological properties. Horticulturae 2021, 7, 585. [Google Scholar] [CrossRef]
- Bayat, H.; Aminifard, M.H. Effects of Different Preservative Solutions on Vase Life of Narcissus tazetta Cut Flowers. J. Ornam. Plants 2018, 8, 13–21. [Google Scholar]
- Gun, S. Extending of vase life of Narcissus tazetta by AVG and antimicrobial agents. J. Postharvest Technol. 2020, 8, 27–34. [Google Scholar]
- Gun, S. The effect of herbal oil and citric acid on vase life of cut narcissus flower (Narcissus tazetta L.). J. Postharvest Technol. 2020, 8, 18–26. [Google Scholar]
- Heidari Krush, G.; Rastegar, S. γ-Aminobutyric Acid (GABA) Inhibits the Enzymatic Browning of Cut Narcissus tazetta cv. ‘Shahla-e-Shiraz’ Flowers During Vase Life. J. Plant Growth Regul. 2022, 1–11. [Google Scholar] [CrossRef]
- Hanks, G.R. Narcissus. In The Physiology of Flower Bulbs; Hertogh, A.A., Le Nard, M., Eds.; Elsevier Science Publishers B.V.: Amsterdam, The Netherlands, 1993; pp. 463–558. [Google Scholar]
- Baranauskienė, R.; Venskutonis, P.R. Supercritical CO2 Extraction of Narcissus poeticus L. Flowers for the Isolation of Volatile Fragrance Compounds. Molecules 2022, 27, 353. [Google Scholar] [CrossRef]
- Reuveni, M.; Sagi, Z.; Evnor, D.; Hetzroni, A. β-Glucosidase activity is involved in scent production in Narcissus flowers. Plant Sci. 1999, 147, 19–24. [Google Scholar] [CrossRef]
- Terry, M.I.; Ruiz-Hernández, V.; Águila, D.J.; Weiss, J.; Egea-Cortines, M. The Effect of Post-harvest Conditions in Narcissus sp. Cut Flowers Scent Profile. Front. Plant Sci. 2021, 11, 1–14. [Google Scholar] [CrossRef]
- Hanks, G. Narcissus Manual; Horticultural Development Company: Stoneleigh, UK, 2013. [Google Scholar]
- Smith, W.H. Problems of keeping quality of cut flowers. Sci. Hortic. 1968, 20, 78–81. [Google Scholar]
- Nichols, R. Senescence and Sugar Status of the Cut Flower. Acta Hortic. 1975, 41, 21–30. [Google Scholar] [CrossRef]
- Armitage, A.M.; Laushman, J.M. Specialty Cut Flowers the Production of Annuals, Perennials, Bulbs, and Woody Plants for Fresh and Dried Cut Flowers, 2nd ed.; Timber Press: Cambridge, UK, 2003. [Google Scholar]
- Reid, M.S.; Handling of Cut Flowers for Export. Proflora Bull. 2009, pp. 1–62. Available online: https://ucanr.edu/sites/Postharvest_Technology_Center_/files/231308.pdf (accessed on 10 November 2022).
- Ajinkya, M.; Jadhav, P.B.; More, D.B.; Pokharkar, K.P. Effect of Cold Storage on Post Storage Life of Gerbera (Gerbera jamesonii) Cut Flowers at Ambient Conditions. Int. J. Curr. Microbiol. Appl. Sci. 2018, 7, 2382–2387. [Google Scholar] [CrossRef]
- Thakur, N. A review on the effect of storage methods and packaging material on the post-harvest longevity of cut flowers. Int. J. Chem. Stud. 2020, 8, 2375–2379. [Google Scholar] [CrossRef]
- Aghdam, M.S.; Naderi, R.; Jannatizadeh, A.; Babalar, M.; Sarcheshmeh, M.A.A.; Faradonbe, M.Z. Impact of exogenous GABA treatments on endogenous GABA metabolism in anthurium cut flowers in response to postharvest chilling temperature. Plant Physiol. Biochem. 2016, 106, 11–15. [Google Scholar] [CrossRef] [PubMed]
- Song, L.; Liu, H.; You, Y.; Sun, J.; Yi, C.; Li, Y.; Jiang, Y.; Wu, J. Quality deterioration of cut carnation flowers involves in antioxidant systems and energy status. Sci. Hortic. 2014, 170, 45–52. [Google Scholar] [CrossRef]
- Azad, A.K.; Ishikawa, T.; Ishikawa, T.; Sawa, Y.; Shibata, H. Intracellular energy depletion triggers programmed cell death during petal senescence in tulip. J. Exp. Bot. 2008, 59, 2085–2095. [Google Scholar] [CrossRef]
- Arzu, Ç.I.Ğ. Tolerance of Daffodil (Narcissus poeticus L. c.v. “Ice Folies”) to Nickel Contaminated Media. ISPEC J. Agric. Sci. 2020, 4, 105–112. [Google Scholar] [CrossRef]
- Ahmad, S.S.; Tahir, I.; Shahri, W. Effect of different storage treatments on physiology and postharvest performance in cut scapes of three Iris species. J. Agric. Sci. Technol. 2013, 15, 323–331. [Google Scholar]
- Guy, C.; Kaplan, F.; Kopka, J.; Selbig, J.; Hincha, D.K. Metabolomics of temperature stress. Physiol. Plant. 2008, 132, 220–235. [Google Scholar] [CrossRef]
- Fürtauer, L.; Weiszmann, J.; Weckwerth, W.; Nägele, T. Dynamics of Plant Metabolism during Cold Acclimation. Int. J. Mol. Sci. 2019, 20, 5411. [Google Scholar] [CrossRef]
- Geng, X.M.; Liu, J.; Lu, J.G.; Hu, F.R.; Okubo, H. Effects of Cold Storage and Different Pulsing Treatments on Postharvest Quality of Cut OT Lily “Mantissa” Flowers. J. Fac. Agric. Kyushu Univ. 2009, 54, 41–45. [Google Scholar] [CrossRef]
- Van Doorn, W.G. Water relations of cut flowers: An update. In Horticultural Reviews; Janick, J., Ed.; Wiley-Blackwell: Hoboken, NJ, USA, 2012; Volume 40, pp. 55–106. [Google Scholar]
- Solanke, A.U.; Sharma, A.K. Signal transduction during cold stress in plants. Physiol. Mol. Biol. Plants 2008, 14, 69–79. [Google Scholar] [CrossRef] [PubMed]
- Borochov, A.; Woodson, W.R. Physiology and Biochemistry of Flower Petal Senescence. In Horticultural Reviews; Janick, J., Ed.; John Wiley & Sons, Inc.: Hoboken, NJ, USA, 1989. [Google Scholar]
- Gul, F.; Tahir, I.; Shahri, W. Flower development and senescence in Narcissus tazetta ‘Kashmir Local’. Folia Hortic. 2015, 27, 115–121. [Google Scholar] [CrossRef]
- Gul, F.; Shahri, W.; Tahir, I. Morphological and some biochemical aspects of flower development and senescence in Narcissus poeticus cv. Pheasant’s Eye. Ijarse 2018, 7, 1745–1752. [Google Scholar]
- Nichols, R.; Ho, L.C. Effects of Ethylene and Sucrose on Translocation of Dry Matter and 14C-Sucrose in the Cut Flower of the Glasshouse Carnation ( Dianthus caryophyllus ) During Senescence. Ann. Bot. 1975, 39, 287–296. [Google Scholar] [CrossRef]
- Bieleski, R.L. Onset of phloem export from senescent petals of daylily. Plant Physiol. 1995, 109, 557–565. [Google Scholar] [CrossRef]
- Rani, P.; Singh, N. Senescence and postharvest studies of cut flowers: A critical review. Pertanika J. Trop. Agric. Sci. 2014, 37, 159–201. [Google Scholar]
- Skutnik, E.; Rabiza-Świder, J.; Wachowicz, M.; Łukaszewska, A.J. Senescence of cut leaves of Zantedeschia aethiopica AND Z. elliottiana. Part I. Chlorophyll degradation. Acta Sci. Pol. Hortorum Cultus 2004, 3, 57–65. [Google Scholar]
- Szutt, A. Dołhańczuk-Śródka Chlorophyll content in senescent Pelargonium graveolens leaves. In Proceedings of the ECOpole’19 Conference, Polanica Zdrój, Poland, 9–12 October 2019; Volume 13, pp. 9–12. [Google Scholar]
- Kamble, P.N.; Girish, K.S.; Mane, R.S.; Tiwana, A. Estimation of Chlorophyll Content in Young and Adult Leaves of Some Selected Plants. Univers. J. Environ. Res. Technol. 2015, 5, 306–310. [Google Scholar] [CrossRef]
- Dertinger, U.; Schaz, U.; Schulze, E.D. Age-dependence of the antioxidative system in tobacco with enhanced glutathione reductase activity or senescence-induced production of cytokinins. Physiol. Plant. 2003, 119, 19–29. [Google Scholar] [CrossRef]
- Hu, X.; Gu, T.; Khan, I.; Zada, A.; Jia, T. Research Progress in the Interconversion, Turnover and Degradation of Chlorophyll. Cells 2021, 10, 3134. [Google Scholar] [CrossRef]
- Trivellini, A.; Ferrante, A.; Vernieri, P.; Carmassi, G.; Serra, G. Spatial and temporal distribution of mineral nutrients and sugars throughout the lifespan of Hibiscus rosa-sinensis L. flower. Open Life Sci. 2011, 6, 365–375. [Google Scholar] [CrossRef]
- Zhang, Y.; Zhong, D.; Liu, Z.; Gao, J. Study on the Physiological, Cellular, and Morphological Aspects of the Postharvest Development of Cut Lily Flowers. Hortic. Plant J. 2021, 7, 149–158. [Google Scholar] [CrossRef]
- Van Doorn, W.G.; Woltering, E.J. Physiology and molecular biology of petal senescence. J. Exp. Bot. 2008, 59, 453–480. [Google Scholar] [CrossRef] [PubMed]
- Acock, B.; Nichols, R. Effects of sucrose on water relations of cut, senescing, carnation flowers. Ann. Bot. 1979, 44, 221–230. [Google Scholar] [CrossRef]
- Breś, W.; Golcz, A.; Komosa, A.; Kozik, E. Żywienie Roślin Ogrodniczych (Nutrition of Horticultural Plants), 1st ed.; Komosa, A., Ed.; Powszechne Wydawnictwo Rolnicze i Lesne Sp.z o.o.: Poznań, Poland, 2012. [Google Scholar]
Publisher’s Note: MDPI stays neutral with regard to jurisdictional claims in published maps and institutional affiliations. |
© 2022 by the authors. Licensee MDPI, Basel, Switzerland. This article is an open access article distributed under the terms and conditions of the Creative Commons Attribution (CC BY) license (https://creativecommons.org/licenses/by/4.0/).
















