Effects of Shelterbelt Transformation on Soil Aggregates Characterization and Erodibility in China Black Soil Farmland
Abstract
1. Introduction
2. Materials and Methods
2.1. Study Area
2.2. Research Methods
2.2.1. Soil Sampling
2.2.2. Sample Indicator Determination and Methods
2.3. Statistical Analysis
3. Results
3.1. Effect of Shelterbelts Transformation on Farmland Soil Properties
3.2. Effect of Shelterbelts Transformation on the Characteristics of Soil Aggregates
3.2.1. Soil Aggregate Grain Size Distribution
3.2.2. Soil Aggregate Stability (dMWD, dGMD, dD, wMWD, wGMD and wD)
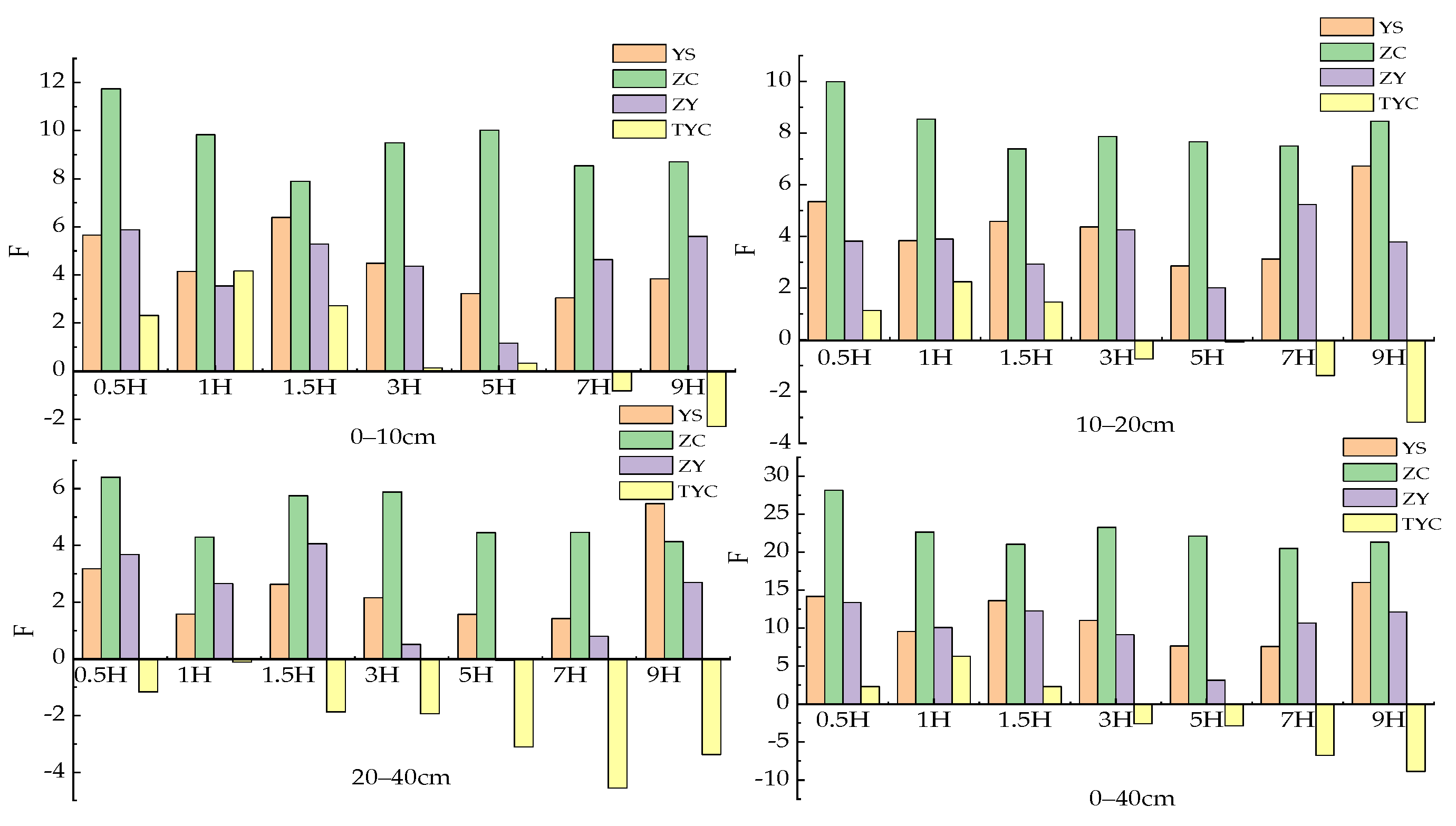
3.3. Effect of Shelterbelts Transformation on Soil Erodibility
3.4. Comprehensive Evaluation of Shelterbelts Transformation on the Stability of Soil Aggregates
3.5. Connection between Stability of Aggregates and Soil Properties
3.6. Shelterbelt Characteristics, Soil Texture and Soil Properties on the Variation of Soil Aggregate Characteristics at Different Distances from Shelterbelts
4. Discussion
4.1. Effect of Shelterbelt Transformation on Particle Size Distribution of Soil Aggregates
4.2. Soil Aggregates Stability in Reaction to Shelterbelts Transformation
4.3. Soil Erodibility K Values in Response to Shelterbelts Transformation
4.4. Effect of Shelterbelts Structure on Soil Physicochemical Properties, Aggregate Stability, and Erodibility
5. Conclusions
Author Contributions
Funding
Institutional Review Board Statement
Data Availability Statement
Acknowledgments
Conflicts of Interest
References
- Six, J.; Bossuyt, H.; Degryze, S.; Denef, K. A history of research on the link between (micro) aggregates, soil biota, and soil organic matter dynamics. Soil Tillage Res. 2004, 79, 7–31. [Google Scholar] [CrossRef]
- Das, B.; Chakraborty, D.; Singh, V.K.; Aggarwal, P.; Singh, R.; Dwivedi, B.S.; Mishra, R.P. Effect of integrated nutrient management practice on soil aggregate properties, its stability and aggregate-associated carbon content in an intensive rice–wheat system. Soil Tillage Res. 2014, 136, 9–18. [Google Scholar] [CrossRef]
- Zuo, F.L.; Li, X.Y.; Yang, X.F.; Wang, Y.; Ma, Y.J.; Huang, Y.H.; Wei, C.F. Soil particle-size distribution and aggregate stability of new reconstructed purple soil affected by soil erosion in overland flow. J. Soils Sediments 2020, 20, 272–283. [Google Scholar] [CrossRef]
- Le Bissonais, Y. Aggregate stability and assessment of soil crustability and erodibility: I. Theory and methodology. Eur. J. Soil Sci. 1996, 47, 425–437. [Google Scholar] [CrossRef]
- Sarker, T.C.; Incerti, G.; Spaccini, R.; Piccolo, A.; Mazzoleni, S.; Bonanomi, G. Linking organic matter chemistry with soil aggregate stability: Insight from 13C NMR spectroscopy. Soil Biol. Biochem. 2018, 117, 175–184. [Google Scholar] [CrossRef]
- Lu, Q.; Ma, H.B.; Yu, H.Q.; Wang, L.; Shen, Y.; Xu, D.M.; Xie, Y.Z. Effects of rotational grazing on soil aggregates and organic carbon characteristics in desert grasslands. Chin.J. App. Ecol. 2019, 30, 3028–3038. [Google Scholar]
- Wiesmeier, M.; Steffens, M.; Mueller, C.W.; Kölbl, A.; Reszkowska, A.; Peth, S.; Horn, R.; Kögel-Knabner, I. Aggregate stability and physical protection of soil organic carbon in semi-arid steppe soils. Eur. J. Soil Sci. 2012, 63, 22–31. [Google Scholar] [CrossRef]
- Wang, Q.K.; Wang, S.L. Forming and stable mechanism of soil aggregate and influencing factors. Chin. J. Soil Sci. 2005, 36, 415–421. (In Chinese) [Google Scholar]
- Xu, X.Z.; Xu, Y.; Chen, S.C.; Xu, S.G.; Zhang, H.W. Soil loss and conservation in the black soil region of Northeast China: A retrospective study. Environ. Sci. Policy 2010, 13, 793–800. [Google Scholar] [CrossRef]
- Zhang, Z.Y. The Mollisols of Northeast China. Land Reclam. Univ. 2011, 23, 1–4. (In Chinese) [Google Scholar]
- Liu, X.T.; Yan, B.X. Water and soil losses in relation to food security in black soil region of Northeast China. Soil Water Conserv. China 2009, 17–19. (In Chinese) [Google Scholar] [CrossRef]
- Cas, F.S.G.O. Forest Soil in Northeast China; Science Press: Beijing, China, 1980. (In Chinese) [Google Scholar]
- Wang, J.G.; Liu, H.X.; Meng, K. Songnen Plain Agricultural Ecosystem Research; Harbin Engineering University Press: Harbin, China, 1996. (In Chinese) [Google Scholar]
- Wang, W.-J.; Qiu, L.; Zu, Y.-G.; Su, D.-X.; An, J.; Wang, H.-Y.; Zheng, G.-Y.; Sun, W.; Chen, X.-Q. Changes in soil organic carbon, nitrogen, pH and bulk density with the development of larch (Larix gmelinii) plantations in China. Glob. Chang. Biol. 2011, 17, 2657–2676. [Google Scholar]
- Wu, Y.; Wang, Q.; Wang, H.; Wang, W.; Han, S. Shelterbelt poplar forests induced soil changes in deep soil profiles and climates contributed their inter-site variations in dryland regions, northeastern China. Front. Plant Sci. 2019, 10, 220. [Google Scholar] [CrossRef]
- Yu, Y.; Yang, X.G.; Fan, W.Y. Efficiency evaluation of wind protection of windbreaks by remote sensing. Trans. Chin. Soc. Agric. Eng. 2016, 32, 177–182. (In Chinese) [Google Scholar]
- Li, Y.Q.; Li, L.; Huang, R.; Zhang, Y.F.; He, H.Y.; Yang, Z.B. Effect of Shelterbelt on Soil Organic carbon in Farmland in Hilly Area of central Sichuan Basin: A case Study of Yanting. J. Ecol. Rural Environ. 2012, 28, 252–559. (In Chinese) [Google Scholar]
- Tang, L. Soil improvement benefits of farmland protection forests and overcoming the phenomenon of land stress. Mod. Agric. Sci. Technol. 2008, 24, 6–247. (In Chinese) [Google Scholar]
- Youzhi, W.; Alexander, F.; Ping, G. A model integrating the system dynamic model with the risk based two-stage stochastic robust programming model for agricultural-ecological water resources management. Stoch Env Res Risk A. 2021, 35, 1953–1968. [Google Scholar] [CrossRef]
- Wang, H.M.; Wang, W.; Hen, H.; Zhang, Z.; Mao, Z.; Zu, Y.G. Temporal changes of soil physic-chemical properties at different soil depths during larch afforestation by multivariate analysis of covariance. Ecol. Evol. 2014, 4, 1039–1048. [Google Scholar] [CrossRef]
- Wang, H.; Wang, W.; Hang, S.X. Sampling method and tree-age affect soil organic C and N contents in larch plantations. Forests 2017, 8, 28. [Google Scholar] [CrossRef]
- Deng, R.; Wang, W.; Li, Y.; Zhang, S. Analysis of shelterbelt effect on crop growth condition. Trans. Chin. Soc. Agric. Eng 2013, 29, 65–72. (In Chinese) [Google Scholar]
- Gao, H.L. Research on the Wind Protection Efficiency and Spatial Distribution of Farmland Protection Forests in Hebei Dam. Master’s Thesis, Hebei Normal University, Hebei, China, 2012. (In Chinese). [Google Scholar]
- Liebig, M.A.; Tanaka, D.L.; Wienhold, B.J. Tillage and cropping effects on soil quality indicators in the northern Great Plains. Soil Tillage Res. 2004, 78, 131–141. [Google Scholar] [CrossRef]
- Demenois, J.; Carriconde, F.; Rey, F.; Stokes, A. Tropical plant communities modify soil aggregate stability along a successional vegetation gradient on a Ferralsol. Ecol. Eng. 2017, 109, 161–168. [Google Scholar] [CrossRef]
- Bao, Y.H.; He, X.B.; Yang, J.H.; Sun, C.N.; Li, H.Y.; Zong, P.P. Study on Preventing Effect of three Farmland Shelter-Forest Network on Soil Wind Erosion. J. Soil Water Conserv. 2007, 21, 5–8. (In Chinese) [Google Scholar]
- Zhu, L.K.; Liu, T.; Zheng, B.; Sun, Q.M.; Han, Z.Q.; Liu, Z.C.; Zhang, L.C. Farmland shelterbelt interval setting based on protection insurance rate. Trans. Chin. Soc. Agric. Eng. 2016, 32, 185–190. (In Chinese) [Google Scholar]
- Fan, Z.P.; Zeng, D.H.; Zhu, J.J.; Jiang, F.Q.; Yu, X.X. Advance in characteristics of Ecological Effects of Farmland Shelterbelts. J. Soil Water Conserv. 2022, 16, 130–140. (In Chinese) [Google Scholar]
- Zeng, D.H.; Jiang, F.Q.; Fan, Z.P. Sustainable management for farmland shelterbelts. Chin. J. Appl. Ecol. 2002, 13, 747–749. (In Chinese) [Google Scholar]
- Shen, Q.Y.; Li, Q.; Zhou, C.J.; Zhang, C. Rice yield of five farmland shelter-belt models on Chongming Island, Shanghai. J. Zhejiang For. Coll. 2010, 27, 198–204. (In Chinese) [Google Scholar]
- Wang, B.F.; Zhao, Y.M.; Wang, Z.G.; Jiang, Z.P.; Yang, X.H. Sheltering Effects of Farmland Protective Forest and Their relationships in Artificial Oasis of Arid region. For. Res. 2008, 21, 707–712. (In Chinese) [Google Scholar]
- Sokołowska, J.; Józefowska, A.; Woźnica, K.; Zaleski, T. Interrelationship between soil depth and soil properties of Pieniny National Park forest (Poland). J. Mt. Sci. 2019, 16, 1534–1545. [Google Scholar] [CrossRef]
- Mao, D.L.; Cai, F.Y.; Zhao, F.; Lei, J.Q.; Lai, F.B.; Xue, J. Spatial Difference of Microclimate in Shelterbelts in Newly Declaimed Land in Jiya Township in Hotan, Xinjiang. Arid Zone Res. 2018, 35, 821–829. (In Chinese) [Google Scholar]
- Cai, X.; Henderson, M.; Wang, L.; Su, Y.; Liu, B. Shelterbelt structure and crop protection from increased typhoon activity in Northeast China. Agriculture 2021, 11, 995. [Google Scholar] [CrossRef]
- Zhang, W. Tutorial on Soil-Water-Plant Physicochemical Analysis, 1st ed.; China Forestry Publishing House: Harbin, China, 2011; pp. 27–47. (In Chinese) [Google Scholar]
- Klute, A.; Dirksen, C. Hydraulic conductivity and diffusivity: Laboratory methods. Methods Soil Anal. Part 1 Phys. Mineral. Methods 1986, 5, 687–734. [Google Scholar]
- Nelson, D.W.; Sommers, L.E. Total carbon, organic carbon, and organic matter. Methods Soil Anal. Part 2 Chem. Microbiol. Prop. 1983, 9, 539–579. [Google Scholar]
- Bremner, J.M. Nitrogen-total. Methods Soil Anal. Part 3 Chem. Methods 1996, 5, 1085–1121. [Google Scholar]
- Li, B.Q.; Fu, Y.; Li, G.L.; Zhang, T.; Zheng, T.F. Effects of age and type of conversion from cropland to forest land and grassland on stability and organic carbon in soil aggregates. Agric. Res. Arid Areas. 2017, 35, 238–244. (In Chinese) [Google Scholar]
- Yang, P.L.; Luo, Y.P.; Shi, Y. Soil fractal characteristics characterized by weight distribution of particle size. Chin. Sci. Bull. 1993, 38, 1896–1899. (In Chinese) [Google Scholar]
- Shirazi, M.A.; Boersma, L. A unifying quantitative analysis of soil texture. Soil Sci. Soc. Am. J. 1984, 48, 141–247. [Google Scholar] [CrossRef]
- Dou, Y.; Yang, Y.; An, S.; Zhu, Z. Effects of different vegetation restoration measures on soil aggregate stability and erodibility on the Loess Plateau, China. Catena 2020, 185, 104294. [Google Scholar] [CrossRef]
- Spaccini, R.; Zena, A.; Igwe, C.A.; Mbagwu, J.S.C.; Piccolo, A. Carbohydrates in water-stable aggregates and particle size fractions of forested and cultivated soils in two contrasting tropical ecosystems. Biogeochemistry 2001, 53, 1–22. [Google Scholar] [CrossRef]
- Dong, X.; Guan, T.; Li, G.; Lin, Q.; Zhao, X. Long-term effects of biochar amount on the content and composition of organic matter in soil aggregates under field conditions. J. Soils Sediments 2016, 16, 1481–1497. [Google Scholar] [CrossRef]
- Ayoubi, S.; Karchegani, P.M.; Mosaddeghi, M.R.; Honarjoo, N. Soil aggregation and organic carbon as affected by topography and land use change in western Iran. Soil Tillage Res. 2012, 121, 18–26. [Google Scholar] [CrossRef]
- Rajeev, P.; Rajiv, R.; Anupam, D.; Sharama, R.P. Effects of various organic amendments on organic carbon pools and water stable aggregates under a scented rice–potato–onion cropping system. Paddy Water Environ. 2016, 14, 481–489. [Google Scholar]
- Zhao, Y.P.; Meng, M.J.; Zhang, J.C.; Ma, J.Y.; Liu, S.L. Study on soil agglomerates and their stability in major forest types in Fengyang Mountain. J. Nanjing For. Univ. 2018, 42, 84–90. (In Chinese) [Google Scholar]
- Wu, Z.; Hong, W. Study on the fractal characteristics of soil agglomerate structure in different management modes. Acta Pedol. Sin. 1999, 36, 161–267. (In Chinese) [Google Scholar]
- Wang, Y.; Ran, L.; Fang, N.; Shi, Z. Aggregate stability and associated organic carbon and nitrogen as affected by soil erosion and vegetation rehabilitation on the Loess Plateau. Catena 2018, 167, 257–265. [Google Scholar] [CrossRef]
- Yao, Y.; Ge, N.; Yu, S.; Wei, X.; Wang, X.; Jin, J.; Liu, X.; Shao, M.; Wei, Y.; Kang, L. Response of aggregate associated organic carbon, nitrogen and phosphorous to re-vegetation in agro-pastoral ecotone of northern China. Geoderma 2019, 341, 172–180. [Google Scholar] [CrossRef]
- Igwe, C.A.; Obalum, S.E. Microaggregate stability of tropical soils and its roles on soil erosion hazard prediction. In Advances in Agrophysical Research; IntechOpen: Longdon, UK, 2013; pp. 175–192. [Google Scholar]
- Igwe, C.A.; Nwite, J.C.; Agharanya, K.U.; Watanabe, Y.; Obalum, S.E.; Okebalama, C.B.; Wakatsuki, T. Aggregate-associated soil organic carbon and total nitrogen following amendment of puddled and sawah-managed rice soils in southeastern Nigeria. Arch. Agron. Soil Sci. 2013, 59, 859–874. [Google Scholar] [CrossRef]
- Chesworth, W. (Ed.) Encyclopedia of Soil Science; Springer: Berlin, Germany, 2008. [Google Scholar]
- Sainju, U.M. Carbon and nitrogen pools in soil aggregates Separated by dry and wet sieving methods. Soil Sci. 2006, 171, 937–949. [Google Scholar] [CrossRef]
- Gurmessa, B.; Demissie, A.; Lemma, B. Susceptibility of soil to wind erosion in arid area of the Central Rift Valley of Ethiopia. Environ. Syst. Res. 2015, 4, 10. [Google Scholar] [CrossRef]
- Puget, P.; Chenu, C.; Balesdent, J. Total and young organic matter distributions in aggregates of silty cultivated soils. Eur. J. Soil Sci. 1995, 46, 449–459. [Google Scholar] [CrossRef]
- Barthès, B.; Roose, E. Aggregates stability as an indicator of soil susceptibility to runoff and erosion; validation at several levels. Catena 2002, 47, 133–149. [Google Scholar] [CrossRef]
- Erktan, A.; Cécillon, L.; Graf, F.; Roumet, C.; Legout, C.; Rey, F. Increase in soil aggregate stability along a Mediterranean successional gradient in severely eroded gully bed ecosystems: Combined effects of soil, root traits and plant community characteristics. Plant Soil. 2016, 398, 121–137. [Google Scholar] [CrossRef]
- Zhou, H.; Peng, X.H.; Peth, S.; Xiao, T.Q. Effects of vegetation restoration on soil aggregates microstructure quantified with synchrotron-based micro-computed to-mography. Soil Tillage Res. 2012, 124, 17–23. [Google Scholar] [CrossRef]
- Fang, X.; Zhao, L.; Zhou, G.; Huang, W.; Liu, J. Increased litter input increases litter decomposition and soil respiration but has minor effects on soil organic carbon in subtropical forests. Plant Soil. 2015, 392, 139–153. [Google Scholar] [CrossRef]
- Upton, A.; Vane, H.; Girkin, N.; Turner, B.L.; Sjögersten, S. Does litter input determine carbon storage and peat organic chemistry in tropical peatlands. Geoderma 2018, 326, 76–87. [Google Scholar] [CrossRef]
- Zhao, D.; Xu, M.; Liu, G.; Ma, L.; Zhang, S.; Xiao, T.; Peng, G. Effect of vegetation type on microstructure of soil aggregates on the Loess Plateau, China. Agric. Ecosyst. Serv. 2017, 242, 1–8. [Google Scholar] [CrossRef]










| Shelterbelt Species Composition | Shelter-Belt Abbreviations | Average Tree Age (Years) | Average Tree Height/(m) | Mean DBH (cm) | Porosity (%) | Plant Interval and Row Interval/(m) |
|---|---|---|---|---|---|---|
| Populus × xiaohei-Pinus sylvestris var. mongolica | ZY | 29 | 10.40 | 24.20 | 0.46 | 2.5 × 4.5 |
| Pinus sylvestris var. mongolica | ZC | 28 | 10.63 | 27.07 | 0.36 | 3.0 × 2.0 |
| Piceaasperata | YS | 28 | 7.27 | 23.25 | 0.43 | 3.5 × 2.0 |
| Populus × xiaohei (degraded) | TYC | 45 | 9.70 | 27.71 | 0.74 | 3.0 × 1.5 |
| dD | wD | dMWD | wMWD | dGMD | wGMD | K | BD | Clay | Silt | Sand | SOC | TN | |
|---|---|---|---|---|---|---|---|---|---|---|---|---|---|
| D | 1 | ||||||||||||
| wD | 0.835 ** | 1 | |||||||||||
| dMWD | −0.368 ** | 0.080 | 1 | ||||||||||
| wMWD | −0.139 * | −0.167 * | 0.196 ** | 1 | |||||||||
| dGMD | −0.351 ** | 0.092 | 0.956 ** | 0.236 ** | 1 | ||||||||
| wGMD | −0.226 ** | −0.210 ** | 0.201 ** | 0.887 ** | 0.274 ** | 1 | |||||||
| K | 0.426 ** | −0.038 | −0.866 ** | −0.172 ** | −0.751 ** | −0.197 ** | 1 | ||||||
| BD | 0.093 | −0.027 | −0.011 | −0.025 | −0.044 | −0.090 | 0.045 | 1 | |||||
| Clay | −0.292 ** | 0.034 | 0.457 ** | 0.113 | 0.453 ** | 0.282 ** | −0.525 ** | −0.327 ** | 1 | ||||
| Silt | −0.304 ** | 0.047 | 0.511 ** | −0.001 | 0.542 ** | 0.139 * | −0.494 ** | −0.258 ** | 0.358 ** | 1 | |||
| Sand | 0.364 ** | −0.050 | −0.591 ** | −0.066 | −0.608 ** | −0.254 ** | 0.618 ** | 0.356 ** | −0.817 ** | −0.831 ** | 1 | ||
| SOC | −0.075 | −0.102 | 0.004 | 0.339 ** | 0.024 | 0.326 ** | −0.033 | −0.248 ** | 0.210 ** | −0.059 | −0.088 | 1 | |
| TN | −0.142 * | −0.102 | 0.070 | 0.290 ** | 0.115 | 0.364 ** | −0.080 | −0.286 ** | 0.413 ** | 0.009 | −0.251 ** | 0.665 ** | 1 |
| Soil Depth | Name | % Explained | Pseudo-F | p | RDA Ordination Figure |
|---|---|---|---|---|---|
| 0–10 cm | Porosity | 27.6 | 27.4 | 0.002 | ![]() |
| DIS | 10.7 | 12.3 | 0.002 | ||
| Sand | 1.5 | 1.8 | 0.190 | ||
| BD | 1.0 | 1.1 | 0.302 | ||
| SOC | 0.4 | 0.5 | 0.650 | ||
| Height | 0.4 | 0.5 | 0.660 | ||
| Clay | 0.5 | 0.6 | 0.604 | ||
| TN | 0.2 | 0.2 | 0.838 | ||
| 10–20 cm | Porosity | 49.6 | 68.0 | 0.002 | ![]() |
| DIS | 7.0 | 11.0 | 0.002 | ||
| TN | 2.2 | 3.6 | 0.03 | ||
| Height | 1.1 | 1.8 | 0.14 | ||
| BD | 0.6 | 1.0 | 0.362 | ||
| Clay | 0.7 | 1.1 | 0.344 | ||
| Silt | 0.3 | 0.4 | 0.648 | ||
| SOC | 0.2 | 0.3 | 0.798 | ||
| 20–40 cm | Porosity | 35.3 | 35.4 | 0.002 | ![]() |
| DIS | 6.8 | 10.1 | 0.002 | ||
| Sand | 2.8 | 3.3 | 0.036 | ||
| TN | 1.8 | 2.2 | 0.096 | ||
| Silt | 1.2 | 1.4 | 0.226 | ||
| Height | 0.6 | 0.7 | 0.554 | ||
| SOC | 0.6 | 0.7 | 0.490 | ||
| BD | 0.2 | 0.3 | 0.832 |
Publisher’s Note: MDPI stays neutral with regard to jurisdictional claims in published maps and institutional affiliations. |
© 2022 by the authors. Licensee MDPI, Basel, Switzerland. This article is an open access article distributed under the terms and conditions of the Creative Commons Attribution (CC BY) license (https://creativecommons.org/licenses/by/4.0/).
Share and Cite
Kong, T.; Liu, B.; Henderson, M.; Zhou, W.; Su, Y.; Wang, S.; Wang, L.; Wang, G. Effects of Shelterbelt Transformation on Soil Aggregates Characterization and Erodibility in China Black Soil Farmland. Agriculture 2022, 12, 1917. https://doi.org/10.3390/agriculture12111917
Kong T, Liu B, Henderson M, Zhou W, Su Y, Wang S, Wang L, Wang G. Effects of Shelterbelt Transformation on Soil Aggregates Characterization and Erodibility in China Black Soil Farmland. Agriculture. 2022; 12(11):1917. https://doi.org/10.3390/agriculture12111917
Chicago/Turabian StyleKong, Tongwei, Binhui Liu, Mark Henderson, Wanying Zhou, Yuanhang Su, Shuai Wang, Ligang Wang, and Guibin Wang. 2022. "Effects of Shelterbelt Transformation on Soil Aggregates Characterization and Erodibility in China Black Soil Farmland" Agriculture 12, no. 11: 1917. https://doi.org/10.3390/agriculture12111917
APA StyleKong, T., Liu, B., Henderson, M., Zhou, W., Su, Y., Wang, S., Wang, L., & Wang, G. (2022). Effects of Shelterbelt Transformation on Soil Aggregates Characterization and Erodibility in China Black Soil Farmland. Agriculture, 12(11), 1917. https://doi.org/10.3390/agriculture12111917




