Next Article in Journal
Quality and Nutritional Value of ‘Chopin’ and Clone ‘JB’ in Relation to Popular Apples Growing in Poland
Next Article in Special Issue
Important Policy Parameters for the Development of Inclusive Digital Agriculture: Implications for the Redistributive Land Reform Program in South Africa
Previous Article in Journal
N Addition Mitigates Water Stress via Different Photosynthesis and Water Traits for Three Native Plant Species in the Qinghai–Tibet Plateau
Previous Article in Special Issue
Influence of Livelihood Capital Level and Structure on Rural Households’ Payment Willingness for Rural Human Settlement Improvement: Evidence from Hubei Province, China
 
 
Font Type:
Arial Georgia Verdana
Font Size:
Aa Aa Aa
Line Spacing:
Column Width:
Background:
Article

Evolutionary Game Analysis of Government and Enterprise Behavior Strategies in Public-Private-Partnership Farmland Consolidation

1
College of Public Administration, Huazhong Agricultural University, 1 Shizishan Street, Wuhan 430070, China
2
Department of Planning and Landscape Architecture, University of Wisconsin-Madison, Madison, WI 53001-53536, USA
*
Author to whom correspondence should be addressed.
Agriculture 2022, 12(11), 1874; https://doi.org/10.3390/agriculture12111874
Submission received: 24 October 2022 / Revised: 4 November 2022 / Accepted: 6 November 2022 / Published: 8 November 2022

Abstract

To improve the implementation effect of farmland consolidation (FC) and promote the development of agricultural modernization, the Chinese government has vigorously promoted the application of the public-private-partnership for farmland consolidation (PPP-FC). However, many conflicts of interest among stakeholders exist in PPP-FC. Especially in the implementation stage of PPP-FC, most private enterprises probably prefer to decrease the costs of construction to increase the profits when government incentives and supervision are insufficient. Based on this, this paper constructs an evolutionary game model between the government and the enterprises to explore the motivations of the enterprises’ speculative behaviors, the interaction mechanism and the evolutionary stability strategies of both parties and uses numerical simulations to visually analyze the effectiveness of the incentive mechanism and the strategic change of both sides. Our results show that (1) the enterprise’s farmland operating income is the decisive factor that affects behavioral choices: the situation for the income of a low-effort strategy is greater than that of a high-effort strategy is the root cause of speculative behavior; (2) the incentive mechanism can simultaneously affect the decision-making direction and speed of both the government and the enterprises, especially punishment which can effectively regulate the behaviors of the enterprises; (3) government regulation costs and officials’ desire for promotion are important factors affecting their strategic choices: regulation costs negatively impact the government’s plans to adopt an incentive strategy and the promotion desire positively promotes the government implementing incentive measures for the enterprises; and (4) the supervision level of farmers is an important factor that affects the strategic choices of both the government and the enterprises: farmers supervision is an effective remedy for inadequate government regulation and constrains the government’s behavior. Finally, the paper proposes corresponding policy recommendations to improve the implementation effect of PPP-FC and also provides an important reference for other developing countries to formulate PPP-FC incentive mechanisms.

1. Introduction

As an effective way to optimize the allocation of land and other resources, farmland consolidation (FC) is an important tool and platform to promote agricultural and rural modernization and urban–rural integration development [1,2]. Countries such as Germany and the Netherlands have productively consolidated farmlands earlier [3,4]. In China, FC started late and currently is still generally at the stage where government investment is dominant. However, the traditional government-led model of FC suffers from high financial pressure, low investment efficiency, difficulty in industry docking, and insufficient participation of farmers, so it is difficult to meet the needs of agricultural modernization [5,6]. The public-private-partnership (PPP) model is an effective way for governments around the world to relieve financial pressure and improve the efficiency of public project investment [7,8]. Recently, the Chinese government has been vigorously promoting public-private-partnership for farmland consolidation (PPP-FC) and has formulated several relevant policy documents. For example, the “National Land Consolidation Plan (2016–2020)” emphasizes establishing and improving the incentive mechanism for land consolidation, encouraging and guiding social capital to participate in land consolidation, and establishing diversified investment and financing channels. While PPP-FC continues to be promoted in China, the dilemmas it faces are gradually emerging; there are numerous stakeholders with different interest preferences which cause many interest conflicts in PPP-FC [9]. In particular, when government incentives and regulation are insufficient, private enterprises are likely to be driven by profits to abnegate their adherence to government planning objectives and commit irregularities, such as cutting project construction costs and reducing the frequency of agricultural infrastructure maintenance, which will affect the success of PPP-FC and cause the double failure of “market” and “government” [10], thus becoming a problem that requires immediately solution to achieve the high-quality development of PPP-FC.
The private enterprises are initiators and dominators of the PPP-FC. Their behavior choices are key to whether the project can achieve high-quality development. The government has transformed from a dominator to a service provider who sets standards, provides policy support, and supervises and evaluates the PPP-FC [5]. Nevertheless, the characteristics of FC projects, “complex technology, many hidden projects, and long project cycle”, have greatly increased the difficulty of government supervision. Asymmetric information and different interest demands between both parties have induced frequent opportunistic behaviors of investment enterprises [11]. Only by clarifying the relationship between the main stakeholders in PPP-FC, balancing the interests of all parties, and seeking to maximize win–win cooperation can the implementation efficiency of PPP-FC be improved. Therefore, it is urgent to study how to improve the government governance so that it can effectively curb the opportunistic behaviors of private enterprises, resolve the double failure of the “government” and “market”, promote the PPP-FC to achieve higher-quality development, and further promote the implementation of agricultural modernization.
Based on this, this paper applies evolutionary game theory and numerical simulation analysis to discuss the interest demands, behavioral characteristics, interaction mechanisms, and main factors that influence behavioral evolution of each party of PPP-FC in the context of China. This study is important for facilitating the high-quality development of PPP-FC as well as deepening the modernization of China’s agriculture and rural areas. It provides a reference for other developing countries in the world to promote PPP-FC and corresponding plans for cooperative governance.
Consequently, the paper is structured as follows. Section 2 is a literature review and commentary. Section 3 provides a conceptual definition and analysis of the main game relationships in PPP-FC. Section 4 constructs the evolutionary game model and stability analysis. Section 5 is a numerical simulation analysis. Section 6 is a discussion, and Section 7 is the conclusion and implication for the future.

2. Literature Review

In recent years, scholars have conducted extensive research on issues, such as models of farmland consolidation, conflict of interest, and the coordination mechanism for conflicts of interest in PPP-FC.

2.1. Farmland Consolidation Model

China started large-scale land consolidation activities in the late 1990s and has experienced three phases with increasingly rich consolidation contents: single land consolidation with quantity growth as the core (1998–2007), multi-type land consolidation with quality enhancement as the core (2008–2012), and comprehensive land consolidation with ecological construction (2013–present) [2,12,13]. Implementation models of FC have also grown more diversified, from the initial single government-led model to the coexistence of multiple models, such as the government-led model and the PPP model [14]. The government-led model of FC is based upon administrative management with a “top-down” implementation of FC, which effectively resolves the problem of the development and utilization of arable land resources at that time [15]. The PPP model of FC is a “bottom-up” implementation model led by major agricultural enterprises. Its appearance solves the problems of insufficient financial funds, low investment efficiency, and limited farmer participation that occurred in the government-led model [5,6,16]. In PPP-FC, private enterprises have to carry out land transfers, land surveys, planning and design, and engineering construction under the support and supervision of the government. The enterprises are not rewarded or subsidized by the government until the project is completed and accepted, that is, “build before subsidizing” [5,14]. Through field investigation and comparative analysis, many scholars have further verified the more remarkable effects of PPP-FC in decreasing land fragmentation [5], alleviating farmers’ poverty, increasing their income [17], regularizing farmers’ ecological production behaviors [18], and relieving rural households’ poverty vulnerability [19], compared with the government-led model.

2.2. Conflict of Interest in PPP-FC

Based on extensive research on cases of PPP-FC, some scholars found that there are various conflicts of interest in the process of PPP-FC. These mainly include conflicts between the local government, private enterprises, and farmers over compensation and resettlement caused by insufficient funds from the government and severe expense control of the enterprises, manifested as farmers holding back their land for higher compensation, which has seriously hindered the process of land consolidation [10,20,21,22]. There have also been conflicts between the local government and the central government on policy objectives due to government performance appraisal. Local government officials have excessively obtained construction land use indices used for local economic development to improve their own political performance through PPP-FC, which violates the policy objectives of the central government [10,23]. Private enterprises and local government have sparred over the quality of PPP-FC because of the profit-seeking nature of social capital, presented as the obvious tendency of short-term behavior of private enterprises in PPP-FC. They only pursue profits from the land use index, neglect the subsequent management of PPP-FC, and refuse to assume social responsibilities, such as job supply, which harms the long-term interests of farmers and deviates from the government’s goal of ensuring food security [10,24,25].

2.3. Coordination Mechanism for Conflict of Interest in PPP-FC

Scholars have conducted pioneering work on how to effectively resolve conflicts among stakeholders in multiple stages of FC. Barati et al. [26] pointed out that game theory is an effective tool to study the issues of conflicts and cooperation among the stakeholders in rural land fragmentation management and build a game model between the government and farmers, which provides a method for controlling farmers’ behavior of dividing land. Chen et al. [27] stated that there are many conflicts of interest among various stakeholders, insufficient endogenous interest drivers, and numerous external constraints in PPP-FC, which causes low enthusiasm for private enterprises to participate in PPP-FC. By building the evolutionary game model between the local government and private enterprises, the authors pointed out that the local government’s support can increase the enthusiasm of private enterprises to participate in PPP-FC. Based on the typical cases of rural land consolidation projects in Hubei Province, China, Zhou et al. [9] analyzed the game relationships between various stakeholders and constructed an investment game model between the government and agricultural enterprises, which provided ideas for solving the problem of investment apportionment. Combining theoretical analysis and case studies, Wang and Tan [28] explored the income distribution model of rural land consolidation in China, which provided a solution for the land income distribution of stakeholders (government and farmers).

2.4. Literature Analysis

The existing literature has made useful explorations on the implementation model, conflicts among stakeholders, and their possible solutions for PPP-FC, but it has the following shortcomings. First, there are multiple conflicts of interest between the government and private enterprises at different phases of FC projects (before the launch, during implementation, and after completion of the projects). However, in the research on ways to resolve the conflict of interest between the government and private enterprises, the existing literature only focuses on the two phases of “enter before the event” and “income distribution after the event”. No scholars have paid attention to the research on the coordination mechanism of conflicts of interest between the government and private enterprises in the phase of “effort during the event”. Second, most current studies assume that the participants in the FC project are fully rational economic persons with complete information, which means that they can make correct decisions to maximize their own interests at the beginning of the game. It does not conform to the reality of the limited rationality of the government and private enterprises, while evolutionary game theory abandons the assumption of complete rationality and complete information and has more practical applicability. Third, although a few studies have applied evolutionary game theory to conflict resolution research on FC projects, most of them used case studies to empirically test the results of game analysis, and there is no research to use simulation tools to visually analyze the effectiveness of the incentive mechanism and the strategic change of both sides. To address these gaps, this study aims to research the following three aspects. First, through literature research, this paper explains the operating mechanism of the PPP-FC project and the responsibilities of stakeholders, clarifies the game relationship between stakeholders in the project implementation stage, and provides a theoretical basis for the subsequent research. Second, this paper constructs a two-dimensional evolutionary game model between the government and the enterprises in the phase of “effort during the event” and analyzes the evolutionary stability strategies of both sides of the game and the stable conditions for achieving the ideal equilibrium state. Third, by using MATLAB 9.3 (R2017b) software to perform numerical simulation, this paper visually analyzes the influence of related factors on the evolution direction and results of both parties in the game, reveals the evolution mechanism of the strategies, and provides corresponding control strategies for promoting the evolution of corporate strategy to the ideal and stable result of high-effort consolidation. This study can provide a reference for the Chinese government to formulate an incentive mechanism in the implementation stage of PPP-FC projects and also provide a reference for other developing countries to promote PPP-FC projects and promote agriculture and rural modernization.

3. Farmland Consolidation of PPP Model

3.1. The Definition of Farmland Consolidation of the PPP Model

FC refers to the comprehensive improvement of farmland, water, roads, and forests in a certain region in accordance with the objectives and uses determined by general land-use planning and special land consolidation plan through the adoption of administrative, economic, and legal means. It also entails the application of engineering construction measures to improve the intensive use and output rate of land, specifically including land leveling, farmland water conservancy facilities, field roads, protective forests, and other construction content [13,29,30]. PPP-FC refers to a “bottom-up” implementation model in which agricultural industrialized enterprises (hereafter referred to as enterprises) invest in FC for the development of modern agriculture and then obtain partial subsidies from the government after the completion and acceptance of the project [9,17]. The main participants of the PPP project are the government, the enterprise, rural collective organizations, farmers, etc. The operation idea is as follows: (1) The enterprise is entrusted by the rural collective organization in the project area to select this area as the project area for FC, taking into account the local natural, social and economic conditions and their own development needs and declare the FC project to the local government. (2) The government, rural collective organizations, and farmers in the project area, respectively, negotiate with the enterprise on government subsidies, investment scale, construction and operation period, distribution of interests among all parties, etc., and reach an agreement. Then, the enterprise signs the agreements (such as farmland transfer agreement and project investment agreement) with other parties. (3) After the agreements are signed, the enterprise will fund the planning, design, and construction of the project. The government is responsible for supervising and managing the whole project process and for providing the enterprise with subsidies per the standard rate. (4) After the project is completed, the enterprise can develop modern agriculture on the consolidated farmland to obtain operation income. During this period, farmers can obtain several sources of income by collecting farmland rent, working in the project area, or operating the leaseback farmland, meanwhile supervise the construction and operation of the project. (5) After the lease operation period expires, the contracted farmland can be returned to the rural collective for independent operation, or the lease contract can be renewed for continued operation by the enterprise [9,30,31,32].

3.2. The Main Game Relationship of Farmland Consolidation of the PPP Model

According to the previous analysis, the following three game relationships exist in PPP-FC:
(1) Government and enterprise: In the game between the government and the enterprise, the government’s strategic decision is to determine whether to take incentive and restraint measures for the enterprise based on the enterprise’s performance and its own regulatory costs. The strategic decision of the enterprise is to determine the investment intensity of projects based on the degree of government regulation and their own interest considerations.
(2) Enterprise and rural collective organization: In the game between the enterprise and the rural collective organization, the strategic decision of the rural collective organization is to determine the length of the enterprise’s farmland operation lease period. The length of the farmland lease directly affects the enterprise’s farmland operating revenue, and the enterprise realizes its own expected payment by controlling the project construction cost.
(3) Enterprise and farmers. In the game between the enterprise and farmers, the strategic decision of farmers is to determine the level of farmland transfer rent, and the strategic decision of the enterprise is to choose the area of farmland to be transferred.
The game relationship of the main stakeholders of PPP-FC is shown in Figure 1. As can be seen from the figure, the enterprise, as the main participant in the project construction and operation, has interests intersecting with the government, rural collective organization, and farmers in the project area. The investment effort (construction cost) is the key to determining the quality of the project, government investment incentives play an important role in improving the effort of the enterprise, and the social public interest pursued by the government includes protecting the interests of the farmers [23]. Therefore, this paper takes the game between the government and the enterprise as the research object, analyzes the investment behavior of the enterprise under the government’s incentive and non-incentive strategies, and proposes policy suggestions to ensure the smooth implementation and efficient operation of the project.

4. Evolutionary Game Model of “Government–Enterprise”

4.1. Problem Description

The fundamental goal of an enterprise participating in PPP-FC is to maximize its profits, while the government is aiming to promote the interests of society; conflict is inevitable between the government’s “public-interest” goals and the enterprise’s “self-interest” goals. FC projects require large amounts of capital, have low yields and long payback periods, and lack sound laws and regulations, resulting in a lack of willingness and effort of enterprises to invest in FC projects [14]. Therefore, the government provides a certain amount of subsidies to the enterprises to encourage them to invest in and operate FC projects. Then, the enterprise determines whether to invest in more construction and more efforts to consolidate farmland based on the level of government regulation and their own profitability. The government determines whether to provide incentives to the enterprise based on its performance and the government’s own regulatory expenses, causing a dynamic and repetitive game between the government and the enterprise. Evolutionary game theory refers to bounded rational individuals in a certain size group, under information asymmetry, repeatedly playing the game over time to achieve optimal strategy and maximized benefits, emphasizing a dynamic equilibrium. “Evolutionarily Stable Strategy” and the “Replicated Dynamic Equation” are core elements of the theory [33,34]. Evolutionary game theory is an important tool to solve such “cooperation and conflict” problems [35], which has strong applicability in this paper. Therefore, this paper attempts to construct an evolutionary game model between the government and the enterprise to investigate the effect mechanism of the behavioral strategies of the enterprise under the government’s incentive and non-incentive strategies.
There are two strategic options for the government in PPP-FC projects, namely the incentive strategy and the non-incentive strategy for enterprises. (1) ‘Incentive’: In addition to the fixed project investment subsidies agreed upon in the contract, the government strictly regulates the behaviors of enterprises and comprehensively judges their efforts in FC projects based on their investment efforts and the effectiveness of the project so that they can be rewarded and punished accordingly. (2) ‘Non-incentive’: In addition to the fixed project investment subsidies agreed upon in the contract, the government believes that enterprises will work efficiently and consciously in pursuit of profits and therefore only slightly controls their deviating behaviors from the project objectives in monitoring the consolidation process, rather than adopting an incentive strategy toward enterprises.
As investors and implementers of FC projects, enterprises have two strategic options for high and low effort in the PPP project. (1) ‘High-effort’: This paper represents the level of effort of an enterprise based on its investment intensities and consolidation effects of PPP-FC. Therefore, adopting the “high-effort” strategy means the enterprise continues to work hard and invest more money in the implementation of PPP projects in addition to the paid cost C L (minimum investment criteria for project construction and operation) to obtain better results. (2) ‘Low-effort’: After paying the cost C L , the enterprise works passively and pays no further costs.

4.2. Model Assumptions

This paper employs the evolutionary game approach to dynamically analyze the behaviors of the government and the enterprise in PPP-FC. The main assumptions are as follows:
H1. 
The result of the game between the government and the enterprise directly determines the implementation effect of the project. The government is the manager and supervisor of the project and is the agent of other participating parties, safeguarding the fundamental socio-economic interests of the region, assuming that the government is a rational “social person” whose behavioral goal is to pursue the overall optimum of economic, social, and ecological benefits (as shown in Figure 1). As the main body of the market economy, the enterprise conforms to the assumption of a rational “economic person” and can weigh the pros and cons and behave for their interests. Both the government and the enterprise are bounded rational, and the information between the two subjects is asymmetric.
H2. 
In order to stimulate the enterprise to work hard to improve project performance, the government’s candidate set of strategies is incentive and non-incentive. The probabilities of government choosing ‘incentive’ and ‘non-incentive’ are x and 1 x , respectively. The set of behavioral strategies for the enterprise is low-effort and high-effort. The probabilities of the enterprise choosing ‘high effort’ and ‘low-effort’ are y and 1 y , respectively..
H3. 
When the enterprise chooses ‘low-effort’, the cost of building and operating is C L , and the return is R L . Otherwise, the enterprise chooses ‘high-effort’ and pays additional costs β C L to obtain scale return R H   ( R H > R L ) from the modern agricultural production, where β is the coefficient of the additional effort of the enterprise; hence, the total cost of the enterprise is C H = 1 + β C L .
H4. 
When the government chooses ‘non-incentive’, the government loosely regulates the process of FC, where the regulation cost is so small that it is assumed to be 0. In contrast, the government chooses strict regulation with regulation cost C g .
H5. 
When the government chooses ‘incentive’, the government rewards the enterprise for high-effort behavior with M e and penalizes low-effort behavior with F e . When the government chooses ‘non-incentive’, farmers, as beneficiaries, are also important forces for project supervision with a supervision level α ( 0 α 1 ) . Meanwhile, if the enterprise chooses ‘low-effort’, the “indolent behaviors” of the local government and the enterprise would be prosecuted for the superior government by farmers, resulting in fine α F e to the enterprise and accountability of the local government from the superior government. We assume M e α F e F e because decision subjects are more sensitive to losses than to gains [36].
H6. 
When the enterprise chooses ‘high-effort’, the returns of the government are U 1 + M g and U 1 when it chooses ‘incentive’ and ‘non-incentive’, respectively. When the enterprise chooses ‘low-effort’, the returns of the government are U 2 and U 2 α F g ( M g α F g ) when it chooses ‘non-incentive’ and ‘incentive’, respectively.
Figure 2 shows the game process and its influence mechanism of the subjects in this study. Table 1 shows the relevant parameters and their meanings for each subject.
Based on the above assumptions, the payoff matrix of the game between the government and the enterprise can be established as shown in Table 2:

4.3. An Evolutionary Game Model of the Government and the Enterprise

According to Friedman [37], the evolutionary stability of the game process between the government and the enterprise’s investment behaviors in PPP-FC is analyzed as follows:
The expected benefit ( E 11 ) obtained by the government’s choice of the incentive strategy is:
E 11 = y U 1 + M g C g S M e + ( 1 y ) U 2 C g S + F e
The expected benefit ( E 12 ) of the government adopting the non-incentive strategy is:
E 12 = y U 1 S + ( 1 y ) ( U 2 α F g S )
The average benefit ( E 1 ) of the government adopting a hybrid strategy is:
E 1 = xE 11 + ( 1 x ) E 12
Then, the replication dynamic equation F x for the government is:
F x = dx dt = x E 11 E 1 = x 1 x y M g F e + M e + α F g + α F g C g + F e
The expected benefit ( E 21 ) of the enterprise adopting a high-effort strategy is:
E 21 = x R H 1 + β C L + S + M e + ( 1 x ) ( R H 1 + β C L + S )
The expected benefit ( E 22 ) of the enterprise adopting a low-effort strategy is:
E 22 = x R L C L + S F e + ( 1 x ) ( R L C L + S α F e )
The expected benefit ( E 2 ) of the enterprise adopting a hybrid strategy is
E 2 = yE 21 + ( 1 y ) E 22
The replication dynamic equation F y for the enterprise is:
F y = dy dt = y E 21 E 2 = y 1 y x M e α 1 F e + R H β C L R L α F e
Finally, the system of replicated dynamic equations for the government and the enterprise is obtained as:
F x = dx dt = x E 11 E 1 = x 1 x y M g F e + M e + α F g + α F g C g + F e F y = dy dt = y E 21 E 2 = y 1 y x M e α 1 F e + R H β C L R L α F e

4.4. Equilibrium Point and Stability Analysis

To analyze the stable points of the system, let F x = 0 ,   F y = 0, and we obtain five equilibrium points: (0,0), (0,1), (1,0), (1,1), ( x * , y * ) ( x * = R H β C L R L α F e α 1 F e M e ,   y * = α F g C g + F e F e + M e + α F g M g ), where ( x * , y * ) can be the equilibrium point only if 0 x * 1 , 0   y * 1 . Based on the analysis of Friedman [37], the Jacobi matrix was established by deriving (4) and (8) of replication dynamic equations:
J = F x x F x y F y x F y y
where
F x x = ( 1 2 x ) y M g F e + M e + α F g + α F g C g + F e
F x y = x 1 x M g F e + M e + α F g
F y x = y 1 y M e α 1 F e
F y y = 1 2 y x M e α 1 F e + R H β C L R L α F e
Then, the determinant (detJ) of the Jacobian matrix is:
detJ = F x x · F y y F x y · F y x
= ( 1 2 x ) y M g F e + M e + α F g + α F g C g + F e · 1 2 y [ x ( M e α 1 F e ) + R H β C L R L α F e ] x 1 x ( M g ( F e + M e + α F g ) ) · y ( 1 y ) ( M e α 1 F e )
The trace ( trJ ) of the Jacobi matrix is:
trJ = F x x + F y y
= ( 1 2 x ) y M g F e + M e + α F g + α F g C g + F e + 1 2 y [ x ( M e α 1 F e ) + R H β C L R L α F e ]
Based on the research of Friedman [38], whether the above five equilibrium points are the evolutionary stability strategies (ESS) depends on detJ and trJ of the Jacobi matrix. When the corresponding matrix of the equilibrium point satisfies detJ > 0 and trJ < 0 , an evolutionarily stable strategy (ESS) exists. When the corresponding matrix of the equilibrium point satisfies detJ > 0 and trJ > 0 , this point is unstable. When the corresponding matrix of the equilibrium point satisfies detJ < 0 or trJ = 0 , it is a saddle point.
Substituting the coordinates of the five equilibrium points (0,0), (0,1), (1,0), (1,1), and ( x * , y * ) into the detJ and trJ of the Jacobi matrix, respectively, the values of detJ and trJ of each equilibrium point can be obtained as in Table 3 below:
Based on the analysis of determinants and traces of the Jacobi matrix of the equilibrium points in Table 3, five cases can be obtained, and the stability of each local equilibrium point is discussed as follows.
  • Case 1: Discussion on the equilibrium point D 1 (0,0)
When α F g + F e < C g and R H β C L < R L α F e , the point (0,0) is the evolutionary stability point of the system, while (non-incentive, low-effort) is the evolutionarily stable strategy. In this case, the net profits of the enterprise choosing low-effort are more than choosing high-effort. As an economy pursuing profit maximization, the enterprise will inevitably choose low-effort behavioral strategies. At this time, if the government chooses the incentive strategy, the fines paid by the low-effort enterprise are far from making up for the high supervision costs. Even if the local government is held accountable by the superior government, it is reluctant to choose the incentive strategy. In this case, the government chooses the non-incentive strategy, and the enterprise chooses a low−effort strategy, resulting in an inefficient implementation of FC. Table 4 shows the stability of each equilibrium point. When R H + M e β C L > R L F e , the equilibrium point D 3 (1,0) is the only unstable point. When R H + M e β C L < R L F e , the equilibrium point D 4 (1,1) is the only unstable point.
  • Case 2: Discussion on the equilibrium point D 2 (0,1)
When M g M e < C g and R H β C L > α F e , the point (0,1) is the evolutionary stability point of the system, while (non-incentive, high-effort) is the evolutionarily stable strategy. In this case, the net profits of the enterprise choosing a high-effort strategy are more than choosing a low-effort strategy. Therefore, even without government incentives, the enterprise will implement a high-effort strategy spontaneously. On the one hand, because the enterprise initiatively chooses a high-effort strategy, there is no requisite for government to provide incentives. On the other hand, if the government provides incentives, it will not only pay supervision costs but also pay corresponding rewards to the high-effort enterprise. Therefore, the government prefers the non-incentive strategy. This case is the most ideal, which means even if there are no external incentives, the enterprise will maintain the positivism of high-effort work. Table 5 shows the stability of each equilibrium point. When α F g + F e < C g , the equilibrium point D 3 (1,0) is the only unstable point. When C g < α F g + F e , the equilibrium point D 1 (0,0) is the only unstable point.
  • Case 3: Discussion on the equilibrium point D 3 (1,0)
When C g < α F g + F e and R H + M e β C L < R L F e , the point (1,0) is the evolutionary stability point of the system, while (incentive, low-effort) is the evolutionarily stable strategy. In this case, compared with choosing a high-effort strategy, the profits of choosing a low-effort strategy for the enterprise are higher, so the enterprise would rather be punished than invest more in FC. Correspondingly, the government will impose penalties for the passive behaviors of the enterprise. In order to ensure the effect of FC, the government inevitably chooses the incentive strategy to encourage the enterprise to choose a high-effort behavioral strategy. However, even when the government adopts the incentive strategy, the enterprise still chooses a low-effort strategy, which belongs to the state of invalid government incentives and passive work of the enterprise, which is the most unfavorable stable state. Table 6 shows the stability of each equilibrium point. When M g M e < C g , the equilibrium point D 4 (1,1) is the only unstable point. When C g < M g M e , the equilibrium point D 2 (0,1) is the only unstable point.
  • Case 4: Discussion on the equilibrium point D 4 (1,1)
When C g < M g M e and R H + M e β C L > R L F e , the point (1,1) is the evolutionary stability point of the system, while (incentive, high-effort) is the evolutionarily stable strategy. In this case, when the enterprise chooses a high-effort strategy, the profits of the government adopting the incentive strategy are greater than the non-incentive strategy. At this time, under the strict supervision of the government, the enterprise is punished for adopting a low-effort strategy, causing the decline of their profits, and hence abandoning a low-effort strategy. Meanwhile, if the government chose the non-incentive strategy, the low-effort behavior of the enterprise and the behavior of the government’s loose supervision will be prosecuted by farmers in the project area, and the local government will be reprimanded by the superior government. Therefore, the government tends to choose the incentive strategy. The government’s choice of the incentive strategy and the enterprise’s choice of a high-effort strategy is a favorable stable state. Table 7 shows the stability of each equilibrium point. When R H β C L < R L α F e , the equilibrium point D 2 (0,1) is the only unstable point. When R H β C L > R L α F e , the equilibrium point D 1 (0,0) is the only unstable point.
  • Case 5: Discussion on the equilibrium point D 5 ( x * , y * )
When M g M e < C g < α F g + F e and α 1 F e M e < R H β C L R L α F e < 0 , the point ( x * , y * ) is the center point of the system. In this case, when the enterprise chooses a high-effort strategy, the benefit difference between the government’s choice of the incentive strategy and the non-incentive strategy is M g M e C g < 0 . When the enterprise chooses a low-effort strategy, the benefit difference between the government’s choice of the incentive strategy and the non-incentive strategy is α F g + F e C g > 0 . When the government chooses the non-incentive strategy, the benefit difference between the enterprise’s choice of high-effort and low-effort strategies is R H β C L R L α F e < 0 . When the government chooses the incentive strategy, the benefit difference between the enterprise’s choice of high-effort and low-effort strategies is R H + M e β C L R L F e > 0 . At this time, there is a mixed strategy Nash equilibrium point ( x * , y * ) in the evolutionary game. Table 8 shows the stability of each equilibrium point. The equilibrium points (0,0), (0,1), (1,0), and (1,1) are all saddle points, but ( x * , y * ) is neither the asymptotically stable point nor the evolutionary stability point. At this moment, the enterprise and the government will continuously adjust their strategies according to the opponent’s strategy, their behaviors will be periodic, and the evolution path will be an infinite loop of closed loops, as shown in Figure 3.

5. Numerical Simulation Analysis

Based on the idea of the evolutionary game model, this paper has theoretically analyzed the behaviors of the government and the enterprise in PPP-FC. According to the stability analysis, the system may have four asymptotic stable states: the unfavorable stable state (non-incentive, low-effort), the most favorable (a.k.a. ideal) stable state (non-incentive, high-effort), the most unfavorable stable state (incentive, low-effort), and the favorable state (incentive, high-effort). In addition, there is also an unstable state without any stable point. Factors, such as the earnings of farmland operation, government incentives, the cost of government regulation, the level of farmers’ supervision, and the strength of recognition and accountability of superior government, determine the stable equilibrium state that the system ultimately achieves. In order to explore in detail the influence of each parameter on the evolution process and the evolution results and to excavate the effective solutions for three unfavorable states, this paper uses MATLAB R2017b software to conduct numerical simulation analysis to validate the previous theoretical study in an intuitive way and provide evidence for achieving the ideal stable state of the game, thereby providing policy recommendations for improving the implementation effect of the PPP project.
To ensure the objectivity and scientificity of the simulation results, this paper randomly assigns all the parameters that may affect the evolutionary results based on the results of the system stability analysis, under the condition that the previous model assumptions are satisfied.

5.1. Benefit–Cost Analysis

5.1.1. Enterprise Benefit Analysis

The perceived return of the enterprise’s farmland operation after the implementation of PPP-FC is the core factor affecting their investment willingness and investment strength. According to the previous stability analysis, the higher the farmland’s operation income, the stronger the enterprise’s willingness to participate in FC. In order to pursue the excess returns of farmland scale operation, the enterprise will increase its investment in FC. Accordingly, the greater the excess returns obtained, the higher the enterprise’s enthusiasm is devoted to implementing FC.
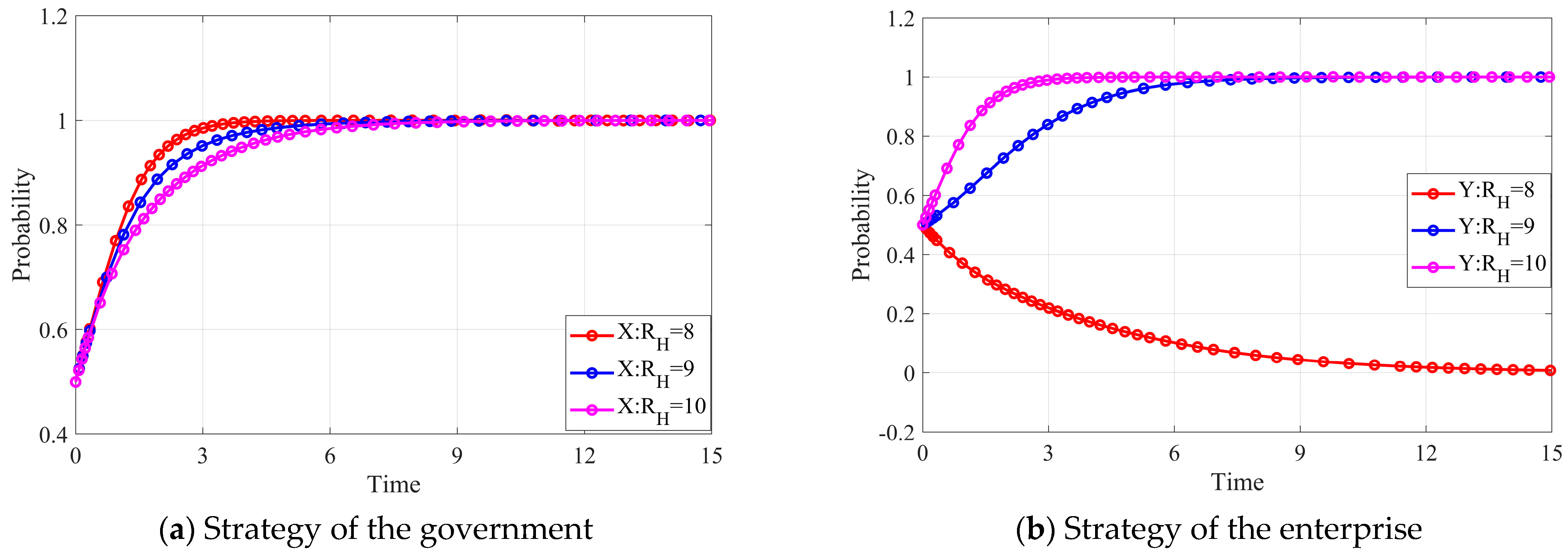
This paper chooses R H = 8, R H = 9, R H = 10 to explore the evolution paths and evolution results of strategies of the government and the enterprise when the farmland operation income under the enterprise’s high-effort strategy changes. Other parameters are set to initial values (see Table 9). In this case, the behavioral strategy of the enterprise obviously has changed (as shown in Figure 4b). First, when increasing R H from 8 to 9, the curve representing the enterprise strategy changes from converging to 0 to converging to 1. This is because of 8 < R L F e M e + β C L < 9. The net return of the enterprise at high-effort changes from less than to greater than its net return at low-effort; thus the enterprise changes from the preference for a low-effort strategy to a high-effort strategy. Furthermore, by adjusting R H from 9 to 10, the convergence time is significantly decreased. All of this indicates that the enterprise pursuing maximizing its own interests will be significantly more enthusiastic to work harder as the returns of high-effort work increase. It can be seen that ensuring stable and high investment returns for FC projects is important to motivate more enterprises to implement high-effort FC. As shown in Figure 4a, the different farmland operation returns do not substantially affect the government strategy evolution. The curve representing the government strategy evolution always converges to one, but the speed of reaching the stable strategy slows down slightly as R H increases. It is probably because the government considers it less necessary to provide incentives to the enterprise due to its increasing initiative of choosing a high-effort strategy.
As shown in Figure 5, R L = 6, R L = 7, and R L = 8 are chosen to explore the evolution paths and evolution results of government and enterprise strategies in the face of changes in farmland operation income obtained by the enterprise adopting a low-effort strategy. Other parameters are set to their initial values (see Table 9). In this case, as shown in Figure 5b, when R L increases from six to seven, the speed of the enterprise’s strategy converges to one significantly slower, indicating that as the enterprise’s return of investment increases at low-effort work, its net return at high-effort work decreases relatively, and its willingness to choose a high-effort strategy diminishes. When R L increases from seven to eight, the curve of the enterprise’s strategy directly shifts to converge to zero. The reason for this change is that 7 < R H + M e β C L + F e < 8, the net return of the enterprise at low-effort changes from less than to greater than its net return at high-effort, and the enterprise then becomes more inclined to work at low-effort, indicating that the enterprise loses its motivation to work at high-effort when it can obtain higher net return by adopting a low-effort strategy. As shown in Figure 5a, different returns of farmland operations do not substantially affect the government’s strategy evolution. The curve representing the government’s strategy evolution always converges to on, except that the time to reach the stable strategy decreases as R L increases. It is probably because the government believes that it must accelerate to provide incentives to reduce the probability of the enterprise choosing a low-effort strategy.

5.1.2. Analysis of Government Regulation Cost

When the government chooses the incentive strategy, it needs to spend numerous manpower, material, and financial resources to strictly supervise the whole process of FC. The high supervision cost sometimes discourages the government from supervising the PPP projects. The cost of regulation is the core factor affecting the government’s strategy choice. The previous stability analysis shows that the lower the cost of regulation, the more positively it will promote the government’s convergence to the incentive strategy.
Therefore, this paper chooses C g = 2, C g = 3, and C g = 4 to simulate the evolution paths and evolution results of government and enterprise strategies when the government’s regulatory cost changes. Other parameters are set to the present value (1) (see Table 9). In this case, as shown in Figure 6a, when the value of C g is 2, the lower regulatory cost will prompt the government to converge spontaneously to adopt the incentive strategy. While the regulatory cost C g exceeds the level ( M g M e = 2.6), the government is more willing to adopt the non-incentive strategy. The curve representing the government strategy changes from converging to one to converging to zero. Moreover, with the further increase of the regulatory cost, the time of the curve converging to zero is significantly shortened, which means the higher the regulatory cost, the faster the government converges to the non-incentive strategy. This indicates that effective control of the government’s regulatory cost helps to increase the enthusiasm of the government adopting incentive measures to enterprises. As shown in Figure 6b, different regulatory costs have no substantial effect on the enterprise’s strategy evolution, and the curve representing the enterprise’s strategy evolution always converges to one. Only as C g increases, does its time to reach a stable strategy slow down slightly, indicating that the enterprise’s determination to adopt a high-effort strategy is hesitant. It is probably because the increased possibility of government deregulation causes a rise in the enterprise’s speculative sentiment.

5.2. Analysis of Reward and Punishment Mechanism

5.2.1. Analysis of Reward and Accountability of Superior Government

For the government authorities and main officials of FC, the rewards and accountability of the superior government are more reflected in the gain or loss of political interests, mainly in the aspects of performance evaluation and promotion. From the previous stability analysis, it is clear that the rewards and accountability of superior government have positive incentive effects on the government’s convergence to the incentive strategy.
First, this paper chooses different reward levels from the superior government, i.e., M g = 1, M g = 2, and M g = 3, to simulate the evolution paths and evolution results of the behavioral strategies of the local government and the enterprise when the reward level of the superior government changes. Other parameters are set to the present value (1) (see Table 9). As shown in Figure 7a, when M g is adjusted from one to two, both curves representing the government’s strategy converge to zero, but it takes longer for the latter to converge to 0. When the enterprise chooses a high-effort strategy, the local government is more willing to choose the non-incentive strategy because the lower reward provided by the superior government cannot compensate for the high regulatory cost of the local government. When M g is further adjusted to three, the curve representing the government strategy changes from converging to zero to converging to one. The higher promotion incentive from the superior government prompts the local government to converge to the incentive strategy. The possible reason is that the officials with strong desires for promotion will have higher expectations for such a promotion incentive and will be more willing to adopt the incentive strategy and more able to play a role in FC projects. As shown in Figure 7b, the superior government reward has no substantial effect on the strategy evolution of the enterprise, and the curve representing the enterprise’s strategy evolution always converges to one. However, as M g increases, its time to reach a stable strategy is slightly shortened, indicating that the enterprise chooses to adopt a high-effort strategy with more determination, which may be because of the increased likelihood of strict regulation by the local government fuels the enterprise’s working passion.
This paper chooses different levels of accountability of the higher government, i.e., F g = 5, F g = 7 , and F g = 9, to simulate the evolution paths and evolution results of the behavioral strategies of the local government and the enterprise when the accountability level of the superior government changes. Other parameters are set to the present value (two) (see Table 9). As shown in Figure 8a, when F g = 5 , the accountability imposed by the superior government for the deregulation of the local government is low, and within its acceptable range compared to the high regulatory cost paid by the local government to regulate the enterprise with low-effort work, causing the convergence of the local government to the non-incentive strategy. When the accountability of the superior government exceeds the level of C g F e / α 5.33, the local government is more inclined to adopt the incentive strategy. The curve representing the government’s strategy changes from converging to zero to converging to one, and its convergence time to one is significantly shortened with further expansion of accountability, which means the greater the accountability of the superior government, the faster the local government converges to the incentive strategy. Therefore, on the one hand, strengthening the management of a local government by its superior government and improving the accountability system can effectively promote the local government to play its regulatory role. On the other hand, officials in the ascending stage are more sensitive to negative evaluations from the superior government and usually work actively to avoid political losses. As shown in Figure 8b, the different accountability levels of the superior government have no substantial effect on the strategy evolution of the enterprise. The curve representing the evolution of the enterprise’s strategy always converges to zero. Only with the increase of F g , is there a significant slowdown in its time to reach a stable strategy, indicating that the enterprise’s determination to choose a low-effort strategy has wavered. The possible reason is that the increasing initiative of the local government to adopt strict regulation causes the enterprise to conceive the idea of working actively.

5.2.2. Analysis of Government Incentive Mechanism

Government incentives, i.e., the rewards and punishments imposed by the government on the enterprise according to its behaviors, can play a two-way incentive role and is an important factor that affects behavioral strategies of both the government and the enterprise. As shown by the stability analysis, government rewards can positively motivate the enterprise to adopt a high-effort strategy but have a reverse hindering effect on the government’s convergence to the incentive strategy. Government penalties can negatively incentivize the enterprise to adopt a high-effort strategy, while positively contributing to government convergence to the incentive strategy.
Firstly, this paper selects M e = 0.6, M e = 0.8, and M e = 1.2 to simulate the effect of different government rewards on the evolution paths and evolution results and sets other parameters to the present value (three) (see Table 9). As shown in Figure 9a, with the increase of reward, the government’s strategy choice is evidently changed. The curve representing the government’s strategy changes from converging to one to converging to zero when the reward strength increases from 0.8 to 1.2. This is because the increase of reward expands the government’s regulatory cost. The net benefit falls to a negative value, and the government is more willing to adopt the non-incentive strategy.
Secondly, this paper chooses M e = 0.15, M e = 0.25, and M e = 0.35 to simulate the effects of different government rewards on the evolution paths and evolution results of the enterprise’s behavioral strategy and sets the other parameters to the present value (four) (see Table 9). As shown in Figure 9b, the enterprise’s strategy choice changes evidently when the reward increases from 0.15 to 0.25. The curve representing the enterprise’s strategy changes from converging to zero to converging to one. This is because the increase of reward makes the net benefit of the high-effort enterprise turn positive, the enterprise is more inclined to adopt a high-effort strategy, and the convergence speed increases significantly with the increase of reward.
Thirdly, F e = 0.85, F e = 0.95, and F e = 1.05 are chosen to simulate the effect of government punishment on the evolution paths and evolution results of its behavioral strategy, and other parameters are set to the present value (two) (see Table 9). As shown in Figure 10a, the government’s strategy choice changes evidently. When the penalty increases from 0.95 to 1.05, the curve representing the government’s strategy changes from converging to zero to converging to one. This is because the increase in the penalty to the enterprise expands the government’s policy gain. The net gain turns positive, and the government is more willing to choose the incentive strategy, but the convergence time is relatively lagged (shown in Figure 9a and Figure 10a), which indicates that the reward that the government needs to pay has a stronger moderating effect on its strategy choice compared to the punishment.
Finally, we choose F e = 2, F e = 3, and F e = 4 to simulate the effect of government punishment on the evolution paths and evolution results of the enterprise’s behavior strategy and assign other parameters to the present value (five) (see Table 9). In this case, as shown in Figure 10b, the enterprise’s strategy choice changes evidently. The curve representing the enterprise’s strategy changes from converging to zero to converging to one when the penalty increases from two to three. This is because the increase in penalty increases the enterprise’s speculative cost and makes the net benefit under the enterprise’s low-effort strategy fall to a negative value. Thus, the enterprise is more inclined to adopt a high-effort strategy. The speed of convergence increases with the increase of penalty, and the convergence time is relatively ahead (as shown in Figure 9b and Figure 10b), indicating that government penalties have a stronger moderating effect on the enterprise’s strategy choice compared to the incentive.

5.3. Analysis of the Supervision Level of Farmers

Effective participation of farmers is an important means of ensuring the implementation effectiveness of FC [39], where effective supervising by farmers can improve the effectiveness of PPP-FC by compensating for actions such as government deregulation or ineffective regulation. From the previous stability analysis, it is clear that the supervision level of farmers has an impact on the behavior of both the enterprise and the government with an increase in the supervision level of farmers positively incentivizing the government to converge towards the incentive strategy and the enterprise to converge towards a high-effort strategy.
In this paper, we choose different supervision levels of farmers i.e., α = 0.6, α = 0.8 and α = 1.0, to simulate the evolution paths and evolution results of government behavioral strategies when the supervision level of farmers changes and set other parameters to the present value (two) (see Table 9). In this case, the change in the supervision level of farmers does not substantially affect the enterprise’s strategy evolution, and the blue curve representing the enterprise’s strategy always tends to zero (as shown in Figure 11) because in this case there are both R H β C L < R L α F e and R H + M e β C L < R L F e , i.e., the net benefit of low-effort is higher than that of high-effort regardless of the government’s choice of incentive or non-incentive strategy and the enterprise’s strategy is entirely determined by project benefits independent of government incentives and farmer supervision. As analyzed earlier, in order to change the undesirable situation of ineffective government incentives, the expected returns of the enterprise can be reduced at this time by increasing the penalties on them in order to obtain better effects in PPP-FC. While the government’s behavioral strategy changes significantly as a result (as shown in Figure 11), with the red curve representing the government’s strategy shifting from converging to zero to converging to one when α increases from 0.6 to 0.8, a change occurs because 0.6 < C g F e / F g = 0.64 < 0.8. As the supervision level of farmers increases, the cost of the government’s deregulatory behavior increases, far exceeding the cost of government regulation, and the government’s choice of strategy changes as a result. When α increases to one, the government strategy’s convergence to one speeds up significantly. The reason for this is probably that public scrutiny is effective in removing the government’s fluke, and the government’s willingness to adopt the incentive strategy is greatly enhanced by the belief that any slackness in its work will be prosecuted in the presence of farmer participation in supervision.
In this paper, we choose different supervision levels of farmers, i.e., α = 0.6, α = 0.8, and α = 1.0, to simulate the evolution paths and evolution results of enterprise behavioral strategies when the supervision level of farmers changes, and other parameters are set to the present value (five) (see Table 9). Changes in the level of public scrutiny have no substantial impact on the evolution of the government’s strategy, with the red curve representing the government’s strategy always tending towards zero (as shown in Figure 12). In this case, M g M e < α F g + F e < C g , i.e., whether or not the enterprise chooses a high-effort strategy, the high cost of regulation causes a higher net benefit to the government from deregulation than from strict regulation, and the government’s strategy is entirely determined by the cost of regulation and not influenced by the enterprise’s behavioral strategy and farmer supervision, while the behavioral strategies of companies have changed significantly as a result (as shown in Figure 12). When α takes the value of 0.6, the lower supervisory level of farmers causes the enterprises to converge to a low-effort strategy. When the probability of farmer supervision exceeds the level of R L R H + β C L / F e = 0.75, the blue curve representing corporate strategy changes from converging to zero to converging to one. The rate of enterprise strategy convergence to one increases significantly as the supervision level of farmers increases, indicating that farmer supervision plays a good complementary role to situations such as slack government regulation, enhances farmers’ awareness of the main role in PPP-FC projects, and effectively plays the role of farmers’ supervision, which can highly promote the effectiveness of PPP-FC.

6. Discussion

6.1. Discussion of Results

This study uses random numerical simulation experiments to intuitively reflect the game process between the government and enterprises and reveals the influence of main parameters on the strategic choices of both parties. The simulation results are the same as the theoretical results of the evolutionary game model. According to the previous simulation analysis, the effects of selected parameters are different on the game parties.
The earnings of farmland operation ( R H , R L ), the cost of government regulation ( C g ), and the strength of recognition and accountability of superior government ( M g , F g ) are specific factors that influence the strategic choice made by the enterprises and the government and play the decisive role in the behavioral decision making of both parties. Regarding the earnings of farmland operation, as a public infrastructure construction project, PPP-FC is characterized by its high investment scale and long payback period. With limited financial subsidies and relatively high investment costs, a certain amount of farming income is the source of motivation for enterprises to adopt active strategies. If the earnings of farmland operation cannot be guaranteed, enterprises may have to adopt irregularities to reduce costs, such as cutting corners and slacking off. Regarding the cost of government regulation, when the cost of government regulation is relatively high, the government’s strategic choice will not be affected by the enterprises’ behavior strategy and will stably adopt loose supervision. The possible reason is that the technical complexity, multiple hidden projects and long project cycle of PPP-FC overwhelmingly increase the difficulty of government regulation, which may cause an imbalance between the cost and the effect of regulation. High regulation costs and limited regulation effect greatly discourage the government from adopting incentive strategies [40]. Concerning the strength of recognition and accountability of superior government, when the local government attaches great importance to the evaluation of the superior government or inadequately trusts the enterprise, the local government will not be affected by the enterprise’s strategies either but stably adopt the incentive strategy. The possible reason is that the superior government holds the authority of evaluating the local government’s performance, and the local government has to play an active role in the supervision of PPP-FC to actively respond to the administrative pressure from the superior government [41].
Government incentives ( M e , F e ) and the level of farmers’ supervision ( α ) are the common factors that influence the strategic choices of both parties and can effectively regulate both of their behaviors. In terms of government incentives, reward and punishment measures affect the decision-making direction of enterprises. Increasing the strength of reward and punishment can improve the decision-making speed of enterprises upon choosing a high-effort strategy, and the regulation effect of punitive measures is significantly better than reward measures. As an “economic person”, enterprises are more sensitive to losses than gains of the same amount and tend to avoid possible losses, which is consistent with the conclusions drawn by similar studies [42,43]. For the government, reward and punishment measures have opposite effects on the evolution of the government’s own decision making. Increasing the strength of reward and punishment will improve the decision-making speed of the government choosing the non-incentive strategy and the incentive strategy, respectively, and the regulatory effect of reward measures is significantly higher than that of the punitive measures. The possible reason is that increasing the strength of reward will increase the policy cost to the government. To further relieve the financial pressure, the government inclines to take punishment-oriented administrative measures to regulate PPP-FC. Regarding the level of farmers’ supervision, this paper shows that under the dual supervision pressure of the government and farmers, the initiative of enterprises to adopt a high-effort strategy has been significantly improved, and the supervision of farmers can assist government regulation to achieve better governance effects, which resembles the research of Chu et al. [43], Feng et al. [44], and Wang et al. [45]. Meanwhile, the supervision of farmers can effectively restrain government behavior, forcing the government to optimize the governance system of PPP-FC.

6.2. Limitations and Future Work

Combining evolutionary game theory and cost–benefit quantitative analysis, this paper discusses the dynamic game equilibrium between the government and enterprises in PPP-FC. Although this paper made certain contributions to the theory and practice, improvements can be made in the following three aspects in further studies. First, although the roles of superior government, farmers, and other subjects in the process of interest coordination are considered in constructing the evolutionary game model between the government and enterprises, their own interests are not considered. Therefore, in the future, farmers and other subjects can be further included in the game model to explore the conflicts of interest and coordination mechanism of more participants in PPP-FC to provide more comprehensive policy implications. Second, according to the differences in the cooperation between social capital and the government and other project entities, there are various PPP models of farmland consolidation. Therefore, the multi-agent game under different PPP subdivision models can be further discussed. Third, constrained by the limited availability of actual case data, the data selection and simulation in the simulation analysis are random. Future studies should further obtain real case data to empirically test the research conclusions.

7. Conclusions and Implication

In this paper, a dynamic evolutionary game model between the government and the enterprise in PPP-FC is established to systematically investigate the dynamic evolution, strategic equilibrium, and influencing factors of game subject behavior under the influence of farmers’ supervision and further simulate the specific impact of parameter changes on subject evolution paths and evolution results through a numerical simulation method. Under the assumption that both the government and the enterprise are bounded rational persons, the dynamics and learning of both sides of the game are considered, thus the following conclusions are obtained:
(1) Under different parameter settings, there are four possible evolutionary stable states for the two subjects: (non-incentive, low-effort) is an unfavorable stable state; (non-incentive, high-effort) is the most favorable (also known as ideal) stable state; (incentive, low-effort) is the most unfavorable stable state; (incentive, high-effort) is a favorable stable state.
(2) In the interest game of PPP-FC, the earnings of farmland operation play a decisive role in the behavioral decision making of the enterprises. When the earnings of farmland operation are relatively low, the enterprises will constantly choose the low-effort speculation strategy whether the government adopts the incentive strategy or not. In contrast, enterprises will spontaneously adopt the high-effort strategy even without government incentives when projected earnings are high.
(3) In the establishment of regulatory mechanisms of PPP-FC, excessive regulatory costs will make the government adopt the non-incentive strategy, while increased supervision by farmers has a positive effect on motivating both the government and enterprises to adopt active strategies. The participation of farmers in supervision can effectively reduce the difficulty of it, and the farmers play a complementary role in situations of “government regulation failure”. Meanwhile, it can also impose “informal” accountability pressure on the government to improve its regulatory efforts.
(4) In the process of coordinating the interests of PPP-FC, government incentive mechanisms play an important role in regulating the behavior of enterprises. When the levels of reward and punishment are the same, punitive measures are more effective in motivating the enterprises.
Based on the above conclusions, this paper puts forward the following implications.
Firstly, sharing of agricultural technology innovation and knowledge should be encouraged, which can help with the effective growth of agricultural business income. Studies have shown that investment in agricultural technology innovation has become a key factor affecting the income growth of agricultural enterprises and agricultural economic growth [46]. Yu and Zhou [47] believe that the sharing of agricultural technology is important to improve the allocation efficiency of agricultural resources. Therefore, the government should enhance the policy environment for modern agricultural development driven by agricultural technology innovation, encourage entities such as agricultural universities, agriculture enterprises and farmers to jointly participate in agricultural technology innovation, raise agricultural research funding to provide necessary technical support for enterprise development, and actively promote the application of modern agricultural technology and transform agricultural scientific results. A simple and easy-to-use agricultural technology knowledge platform should also be established in order to encourage agricultural enterprises to share knowledge in related areas.
Secondly, it is necessary to optimize supervision methods, improve supervision efficiency, and implement regulation measures based on punishment. Promoting the “Internet + supervision” model, staying on top of the work of enterprises in real time, publicly rewarding, punishing, and recording them with the help of Internet platforms will help create reputational pressure for enterprises. Government should innovate the evaluation methods for each stage of PPP-FC, create an assessment mechanism for reviewers, enrich forms of evaluation, and raise the threshold for projects to pass. The government also needs to institute a multi-level punishment system in which the level of punishment gradually increases according to the number of mistakes, forcing enterprises to regulate their behavior.
Thirdly, the government needs to build a collaborative supervision system that uses multiple approaches to motivate farmers to play a supervisory role in the system. First of all, improving and publicizing laws and regulations related to land consolidation, raises farmers‘ subject consciousness in FC. Then, building the collaborative supervision mechanism between the government and farmers through improving the subject tasks and benefit the distribution mechanism in PPP-FC, such as setting up supervision success awards, which can increase farmers’ incentives to participate. The supervision and feedback channels for farmers in project areas, which provide ways for farmers to realize their supervisory role in the areas, need to be improved.
Fourthly, the vertical management mechanism of government departments, the appointment standards of public servants, and the government’s governance capacity in many aspects should be improved. On the one hand, starting with the vertical management of superior governments over local governments, the governments should establish a management system with clear levels of authority, strict governance, laws to follow, and flexible linkage between the top and bottom. On the other hand, starting with the appointment of public servants involved in the management of PPP-FC, the governments should hire “climber” officials who are more familiar with the policies, have stronger professional quality, and are more eager for promotion so that the governments can play an active role in PPP-FC.

Author Contributions

Conceptualization, W.W. and Z.S.; methodology, W.W., Y.J. and Z.S.; software, Z.S.; formal analysis, Z.S. and W.W.; data curation, Z.S.; writing–original draft preparation, Z.S. and W.W.; writing–review and editing, W.W., Z.S. and W.Z.; visualization, Y.S.; supervision, W.W. All authors have read and agreed to the published version of the manuscript.

Funding

This study was supported and funded by the National Natural Science Foundation of China (grant number: 71774065, 72274074). The authors are grateful for the receipt of the fund.

Institutional Review Board Statement

Not applicable.

Data Availability Statement

The data used to support the findings of this study are available from the authors upon request.

Conflicts of Interest

The authors declare no conflict of interest.

References

  1. Wu, Y.; Feng, W.; Zhou, Y. Practice of barren hilly land consolidation and its impact: A typical case study from Fuping County, Hebei Province of China. J. Geogr. Sci. 2019, 29, 762–778. [Google Scholar] [CrossRef]
  2. Zhou, Y.; Li, Y.; Xu, C. Land consolidation and rural revitalization in China: Mechanisms and paths. Land Use Pol. 2020, 91, 104379. [Google Scholar] [CrossRef]
  3. Pašakarnis, G.; Maliene, V. Towards sustainable rural development in Central and Eastern Europe: Applying land consolidation. Land Use Pol. 2010, 27, 545–549. [Google Scholar] [CrossRef]
  4. Asiama, K.O.; Bennett, R.M.; Zevenbergen, J.A. Land Consolidation on Ghana’s Rural Customary Lands: Drawing from The Dutch, Lithuanian and Rwandan Experiences. J. Rural Stud. 2017, 56, 87–99. [Google Scholar] [CrossRef]
  5. Zhang, B.; Niu, W.; Ma, L.; Zuo, X.; Kong, X.; Chen, H.; Zhang, Y.; Chen, W.; Zhao, M.; Xia, X. A company-dominated pattern of land consolidation to solve land fragmentation problem and its effectiveness evaluation: A case study in a hilly region of Guangxi Autonomous Region, Southwest China. Land Use Pol. 2019, 88, 104115. [Google Scholar] [CrossRef]
  6. Gong, Y.; Tan, R. Emergence of local collective action for land adjustment in land consolidation in China: An archetype analysis. Landsc. Urban Plan. 2021, 214, 104160. [Google Scholar] [CrossRef]
  7. Abu-Shams, I.; Rabadi, A. Commercialization and Public-Private Partnership in Jordan. Int. J. Water Resour. Dev. 2003, 19, 159–172. [Google Scholar] [CrossRef]
  8. Mu, R.; Jong, M.; de Koppenjan, J. The rise and fall of Public-Private Partnerships in China: A path-dependent approach. J. Transp. Geogr. 2011, 19, 794–806. [Google Scholar] [CrossRef]
  9. Zhou, H.Z.; Wang, W.X.; Yang, G.Q. Study on the Mechanism of Investment Allotment Game of Rural Land Consolidation Projects: A Case Study on Government and Enterprise. China Popul. Resour. Environ. 2012, 22, 109–114. (In Chinese) [Google Scholar]
  10. Tang, Y.; Mason, R.J.; Wang, Y. Governments’ functions in the process of integrated consolidation and allocation of rural-urban construction land in China. J. Rural Stud. 2015, 42, 43–51. [Google Scholar] [CrossRef]
  11. Terje Karlsen, J. Project owner involvement for information and knowledge sharing in uncertainty management. Int. J. Manag. Proj. Bus. 2010, 3, 642–660. [Google Scholar] [CrossRef]
  12. Li, P.; Chen, Y.; Hu, W.; Li, X.; Yu, Z.; Liu, Y. Possibilities and requirements for introducing agri-environment measures in land consolidation projects in China, evidence from ecosystem services and farmers’ attitudes. Sci. Total Environ. 2019, 650, 3145–3155. [Google Scholar] [CrossRef]
  13. Tang, H.; Yun, W.; Liu, W.; Sang, L. Structural changes in the development of China’s farmland consolidation in 1998–2017: Changing ideas and future framework. Land Use Pol. 2019, 89, 104212. [Google Scholar] [CrossRef]
  14. Tang, X.; Pan, Y.; Liu, Y. Analysis and demonstration of investment implementation model and paths for China’s cultivated land consolidation. Appl. Geogr. 2017, 82, 24–34. [Google Scholar] [CrossRef]
  15. Peng, J.; Yan, S.; Strijker, D.; Wu, Q.; Chen, W.; Ma, Z. The influence of place identity on perceptions of landscape change: Exploring evidence from rural land consolidation projects in Eastern China. Land Use Pol. 2020, 99, 104891. [Google Scholar] [CrossRef]
  16. Fang, Y.; Shi, K.; Niu, C. A comparison of the means and ends of rural construction land consolidation: Case studies of villagers’ attitudes and behaviours in Changchun City, Jilin province, China. J. Rural Stud. 2016, 47, 459–473. [Google Scholar] [CrossRef]
  17. Zhang, D.; Wang, W.; Zhou, W.; Zhang, X.; Zuo, J. The effect on poverty alleviation and income increase of rural land consolidation in different models: A China study. Land Use Pol. 2020, 99, 104989. [Google Scholar] [CrossRef]
  18. Xie, J.H.; Yang, G.Q.; Wang, G.E.; Song, Y.; Yang, F. How do different rural-land-consolidation modes shape farmers’ ecological production behaviors? Land Use Pol. 2022, 109, 105592. [Google Scholar] [CrossRef]
  19. Zhang, Y.; Wang, W.X.; Feng, Y.F. Impact of different models of rural land consolidation on rural household poverty vulnerability. Land Use Pol. 2022, 114, 105963. [Google Scholar] [CrossRef]
  20. Wang, Q.; Zhang, M.; Cheong, K.C. Stakeholder perspectives of China’s land consolidation program: A case study of Dongnan Village, Shandong Province. Habitat Int. 2014, 43, 172–180. [Google Scholar] [CrossRef]
  21. Tan, R.; Heerink, N. Public and self-organized land readjustment in rural China—A comparison. J. Rural Stud. 2017, 53, 45–57. [Google Scholar] [CrossRef]
  22. Wang, R.; Tan, R. Patterns of rural collective action in contemporary China: An archetype analysis of rural construction land consolidation. J. Rural Stud. 2020, 79, 286–301. [Google Scholar] [CrossRef]
  23. Tang, Y.; Mason, R.J.; Sun, P. Interest distribution in the process of coordination of urban and rural construction land in China. Habitat Int. 2012, 36, 388–395. [Google Scholar] [CrossRef]
  24. Dong, H. Analysis of Stakeholders in China’s Rural Land Comprehensive Consolidation. J. Northwest AF Univ. (Soc. Sci. Ed.) 2014, 14, 1–7. (In Chinese) [Google Scholar]
  25. Fonjong, L.N.; Gyapong, A.Y. Plantations, women, and food security in Africa: Interrogating the investment pathway towards zero hunger in Cameroon and Ghana. World Dev. 2021, 138, 105293. [Google Scholar] [CrossRef]
  26. Barati, A.A.; Azadi, H.; Scheffran, J. Agricultural land fragmentation in Iran: Application of game theory. Land Use Pol. 2021, 100, 105049. [Google Scholar] [CrossRef]
  27. Chen, H.; An, C.; Fu, G.; Liu, Y.; Feng, J. Research on Evolutionary Game between government and social investors in the land consolidation and readjustment PPP model. J. China Agric. Univ. 2017, 22, 163–172. [Google Scholar]
  28. Wang, R.; Tan, R. Patterns of revenue distribution in rural residential land consolidation in contemporary China: The perspective of property rights delineation. Land Use Pol. 2020, 97, 104742. [Google Scholar] [CrossRef]
  29. Liu, Y.; Fang, F.; Li, Y. Key issues of land use in China and implications for policy making. Land Use Pol. 2014, 40, 6–12. [Google Scholar] [CrossRef]
  30. Zhou, Y.; Guo, L.; Liu, Y. Land consolidation boosting poverty alleviation in China: Theory and practice. Land Use Pol. 2019, 82, 339–348. [Google Scholar] [CrossRef]
  31. Yang, B.; Wang, Z.; Yao, X.; Chai, J. Assessing the Performance of Land Consolidation Projects in Different Modes: A Case Study in Jianghan Plain of Hubei Province, China. Int. J. Environ. Res. Public Health 2020, 17, 1410. [Google Scholar] [CrossRef]
  32. Wang, C.; Zhou, X. Does social capital affect farmer-migrants’ income? An analysis based on models of estimation and test of the ordered response. Manag. World. 2013, 240, 55–68, 101, 187. (In Chinese) [Google Scholar]
  33. Smith, J.M.; Price, G.R. The Logic of Animal Conflict. Nature 1973, 246, 15–18. [Google Scholar] [CrossRef]
  34. Taylor, P.D.; Jonker, L.B. Evolutionary stable strategies and game dynamics. Math. Biosci. 1978, 40, 145–156. [Google Scholar] [CrossRef]
  35. Van Der Laan, G.; Tieman, X. Evolutionary Game Theory and the Modeling of Economic Behavior. Economist 1998, 146, 59–89. [Google Scholar] [CrossRef]
  36. Kahneman, D.; Tversky, A. Prospect Theory: An Analysis of Decision Under Risk. Econometrics 1979, 47, 263–291. [Google Scholar] [CrossRef]
  37. Friedman, D. On Economic Applications of Evolutionary Game Theory. J. Evol. Econ. 1998, 8, 15–43. [Google Scholar] [CrossRef]
  38. Friedman, D. Evolutionary Games in Economics. Econometrica 1991, 59, 637–666. [Google Scholar] [CrossRef]
  39. Zhang, X.; de Vries, W.T.; Li, G.; Ye, Y.; Zheng, H.; Wang, M. A behavioral analysis of farmers during land reallocation processes of land consolidation in China: Insights from Guangxi and Shandong provinces. Land Use Pol. 2019, 89, 104230. [Google Scholar] [CrossRef]
  40. Xin, L.; Li, X. China should not massively reclaim new farmland. Land Use Pol. 2018, 72, 12–15. [Google Scholar] [CrossRef]
  41. Luo, J.; Wu, Y.; Choguill, C.L.; Zhang, X. A study on promoting the intensive use of industrial land in China through governance: A game theoretical approach. J. Urban Manag. 2022, 11, 298–309. [Google Scholar] [CrossRef]
  42. Sun, Z.; Zhang, W. Do government regulations prevent greenwashing? An evolutionary game analysis of heterogeneous enterprises. J. Clean Prod. 2019, 231, 1489–1502. [Google Scholar] [CrossRef]
  43. Chu, Z.; Bian, C.; Yang, J. How can public participation improve environmental governance in China? A policy simulation approach with multi-player evolutionary game. Environ. Impact Assess. Rev. 2022, 95, 106782. [Google Scholar] [CrossRef]
  44. Feng, F.; Liu, C.; Zhang, J. China’s Railway Transportation Safety Regulation System Based on Evolutionary Game Theory and System Dynamics. Risk Anal. 2020, 40, 1944–1966. [Google Scholar] [CrossRef]
  45. Wang, W.; Wang, X.N.; Ding, L.L.; Zhang, W.S.; Zhang, H. Analysis on evolution game of government and hazardous materials transportation enterprise under public supervision. Chin. J. Syst. Sci. 2022, 30, 92–96, 136. (In Chinese) [Google Scholar]
  46. Liu, Y.; Ji, D.; Zhang, L.; An, J.; Sun, W. Rural Financial Development Impacts on Agricultural Technology Innovation: Evidence from China. Int. J. Environ. Res. Public Health 2021, 18, 1110. [Google Scholar] [CrossRef]
  47. Yu, D.; Zhou, R. Coordination of Cooperative Knowledge Creation for Agricultural Technology Diffusion in China’s “Company Plus Farmers” Organizations. Sustainability 2017, 9, 1906. [Google Scholar] [CrossRef]
Figure 1. The objectives and benefit analysis of PPP-FC.
Figure 1. The objectives and benefit analysis of PPP-FC.
Agriculture 12 01874 g001
Figure 2. The relationship of the players and the analysis frame.
Figure 2. The relationship of the players and the analysis frame.
Agriculture 12 01874 g002
Figure 3. The phase diagram of Case 5.
Figure 3. The phase diagram of Case 5.
Agriculture 12 01874 g003
Figure 4. The dynamic evolution of government and enterprise behavioral strategies with changes in the earnings of farmland operation in a high−effort scenario.
Figure 4. The dynamic evolution of government and enterprise behavioral strategies with changes in the earnings of farmland operation in a high−effort scenario.
Agriculture 12 01874 g004
Figure 5. The dynamic evolution of government and enterprise behavioral strategies with changes in the earnings of farmland operation under low–effort scenarios.
Figure 5. The dynamic evolution of government and enterprise behavioral strategies with changes in the earnings of farmland operation under low–effort scenarios.
Agriculture 12 01874 g005
Figure 6. Dynamic evolution of government and enterprise behavioral strategies in response to the government regulation cost.
Figure 6. Dynamic evolution of government and enterprise behavioral strategies in response to the government regulation cost.
Agriculture 12 01874 g006
Figure 7. Dynamic evolution of government and enterprise behavioral strategies in response to changes in the strength of superior government awards.
Figure 7. Dynamic evolution of government and enterprise behavioral strategies in response to changes in the strength of superior government awards.
Agriculture 12 01874 g007
Figure 8. Dynamic evolution of government and enterprise behavioral strategies with changes in accountability of superior government.
Figure 8. Dynamic evolution of government and enterprise behavioral strategies with changes in accountability of superior government.
Agriculture 12 01874 g008
Figure 9. Dynamic evolution of government and enterprise behavioral strategies with changes in government rewards.
Figure 9. Dynamic evolution of government and enterprise behavioral strategies with changes in government rewards.
Agriculture 12 01874 g009
Figure 10. Dynamic evolution of government and enterprise behavioral strategies in response to changes in government punishment.
Figure 10. Dynamic evolution of government and enterprise behavioral strategies in response to changes in government punishment.
Agriculture 12 01874 g010
Figure 11. Dynamic evolution of government behavioral strategies in response to changes in the level of public scrutiny.
Figure 11. Dynamic evolution of government behavioral strategies in response to changes in the level of public scrutiny.
Agriculture 12 01874 g011
Figure 12. Dynamic evolution of enterprise behavioral strategies in response to changes in the level of public scrutiny.
Figure 12. Dynamic evolution of enterprise behavioral strategies in response to changes in the level of public scrutiny.
Agriculture 12 01874 g012
Table 1. Setting and meaning of relevant parameters.
Table 1. Setting and meaning of relevant parameters.
ParametersDefinitionsNotes
x Probability of the government choosing ‘incentive’ 0 x 1
y Probability of the enterprise choosing ‘high-effort’ 0 y 1
S Fixed subsidies given to the enterprise by the government 0 S
β Effort factor of the enterprise 0 β
C L Costs when the enterprise work low-effort 0 C L
R L Gains when the enterprise work low-effort 0 R L
C H Costs when the enterprise work high-effort 0 C H
R H Gains when the enterprise work high-effort 0 R H
C g The cost of regulation when the government adopts the incentive strategy 0 C g
F e Government penalties for the enterprise under the incentive strategy when they are low-effort 0 F e
M e Government incentives for the enterprise under the incentive strategy when they are high-effort 0 M e
α Probability of the enterprise’ low-effort and the government’s deregulation behaviors being detected and reported by the farmers 0 α 1
U 1 Gains to the government when it chooses ‘non-incentive’ and the enterprise chooses ‘high-effort’ 0 U 1
U 2 Gains to the government when it chooses ‘incentive’ and the enterprise choose ‘low-effort’ 0 U 2
M g Rewards by the superior government for the local government when it chooses ‘incentive’ compared to that of ‘non-incentive’ under ‘high-effort’ strategy of the enterprise 0 M g
F g Losses incurred to the local government when it chooses ‘non-incentive’ and is held accountable by the superior government under ‘low-effort’ strategy of the enterprise 0 F g
Table 2. Game payoff matrix for the government and the enterprise.
Table 2. Game payoff matrix for the government and the enterprise.
The Enterprise
High-Effort (y) Low-Effort (1 − y)
GovernmentIncentive ( x ) U 1 + M g C g S M e ;
R H 1 + β C L + S + M e
U 2 C g S + F e ;
R L C L + S F e
Non-incentive ( 1 x ) U 1 S ;
R H 1 + β C L + S
U 2 α F g S ;
R L C L + S α F e
Table 3. The numerical expressions of the local stabilities of equilibrium points.
Table 3. The numerical expressions of the local stabilities of equilibrium points.
Equilibrium detJ trJ
D 1 (0,0) α F g C g + F e · R H β C L R L α F e α F g C g + F e + R H β C L R L α F e
D 2 (0,1) M g C g M e · R H β C L R L α F e M g C g M e R H β C L R L α F e
D 3 (1,0) α F g C g + F e · R H + M e β C L R L F e α F g C g + F e + R H + M e β C L R L F e
D 4 (1,1) M g C g M e · R H + M e β C L R L F e M g C g M e R H + M e β C L R L F e
D 5 ( x * , y * ) x * 1 x * M g F e + M e + F g · y * 1 y * M e α 1 F e 0
Table 4. Local stability of equilibrium points of Case 1.
Table 4. Local stability of equilibrium points of Case 1.
Equilibrium Point R H + M e β C L > R L F e R H + M e β C L < R L F e
detJ trJ Stability detJ trJ Stability
D 1 (0,0) + ESS + ESS
D 2 (0,1) ± Saddle point ± Saddle point
D 3 (1,0) + + Unstable point ± Saddle point
D 4 (1,1) ± Saddle point + + Unstable point
D 5 ( x * , y * ) Meaningless Meaningless
Table 5. Local stability of equilibrium points of Case 2.
Table 5. Local stability of equilibrium points of Case 2.
Equilibrium Point M g M e < α F g + F e < C g M g M e < C g < α F g + F e
detJ trJ Stability detJ trJ Stability
D 1 (0,0) ± Saddle point + + Unstable point
D 2 (0,1) + ESS + ESS
D 3 (1,0) + + Unstable point ± Saddle point
D 4 (1,1) ± Saddle point ± Saddle point
D 5 ( x * , y * ) Meaningless Meaningless
Table 6. Local stability of equilibrium points of Case 3.
Table 6. Local stability of equilibrium points of Case 3.
Equilibrium Point M g M e < C g < α F g + F e C g < M g M e < α F g + F e
detJ trJ Stability detJ trJ Stability
D 1 (0,0) ± Saddle point ± Saddle point
D 2 (0,1) ± Saddle point + + Unstable point
D 3 (1,0) + ESS + ESS
D 4 (1,1) + + Unstable point ± Saddle point
D 5 ( x * , y * ) Meaningless Meaningless
Table 7. Local stability of equilibrium points of Case 4.
Table 7. Local stability of equilibrium points of Case 4.
Equilibrium Point R H β C L < R L α F e R H β C L > R L α F e
detJ trJ Stability detJ trJ Stability
D 1 (0,0) ± Saddle point + + Unstable point
D 2 (0,1) + + Unstable point ± Saddle point
D 3 (1,0) ± Saddle point ± Saddle point
D 4 (1,1) + ESS + ESS
D 5 ( x * , y * ) Meaningless Meaningless
Table 8. Local stability of equilibrium points of Case 5.
Table 8. Local stability of equilibrium points of Case 5.
Equilibrium Point detJ trJ Stability
D 1 (0,0) ± Saddle point
D 2 (0,1) ± Saddle point
D 3 (1,0) ± Saddle point
D 4 (1,1) ± Saddle point
D 5 ( x * , y * ) center point
Table 9. Initial and present values of all variables.
Table 9. Initial and present values of all variables.
Variable NamesInitial
Values
Present Values (1)Present Values (2)Present Values (3)Present Values (4)Present Values (5)
M g 333333
F g 555555
C g 224226
R H 888888
R L 7.56.57.57.577.5
C L 555555
β 0.40.40.40.40.40.4
M e 0.40.40.4--1
F e 0.820.820.82
α 0.60.60.60.60.60.6
Publisher’s Note: MDPI stays neutral with regard to jurisdictional claims in published maps and institutional affiliations.

Share and Cite

MDPI and ACS Style

Wang, W.; Song, Z.; Zhou, W.; Jiang, Y.; Sun, Y. Evolutionary Game Analysis of Government and Enterprise Behavior Strategies in Public-Private-Partnership Farmland Consolidation. Agriculture 2022, 12, 1874. https://doi.org/10.3390/agriculture12111874

AMA Style

Wang W, Song Z, Zhou W, Jiang Y, Sun Y. Evolutionary Game Analysis of Government and Enterprise Behavior Strategies in Public-Private-Partnership Farmland Consolidation. Agriculture. 2022; 12(11):1874. https://doi.org/10.3390/agriculture12111874

Chicago/Turabian Style

Wang, Wenxiong, Ziying Song, Wei Zhou, Yong Jiang, and Yuan Sun. 2022. "Evolutionary Game Analysis of Government and Enterprise Behavior Strategies in Public-Private-Partnership Farmland Consolidation" Agriculture 12, no. 11: 1874. https://doi.org/10.3390/agriculture12111874

APA Style

Wang, W., Song, Z., Zhou, W., Jiang, Y., & Sun, Y. (2022). Evolutionary Game Analysis of Government and Enterprise Behavior Strategies in Public-Private-Partnership Farmland Consolidation. Agriculture, 12(11), 1874. https://doi.org/10.3390/agriculture12111874

Note that from the first issue of 2016, this journal uses article numbers instead of page numbers. See further details here.

Article Metrics

Back to TopTop