Dactyloctenium aegyptium (L.) Willd. (Poaceae) Differentially Responds to Pre- and Post-Emergence Herbicides through Micro-Structural Alterations
Abstract
1. Introduction
2. Materials and Methods
2.1. Experimental Layout
2.2. Herbicide Application
2.3. Herbicide Tolerance Criteria
2.4. Collection of Plant Material and Growth Measurements
2.5. Anatomical Measurements
2.6. Statistical Analysis
3. Results
3.1. Anatomical Measurements
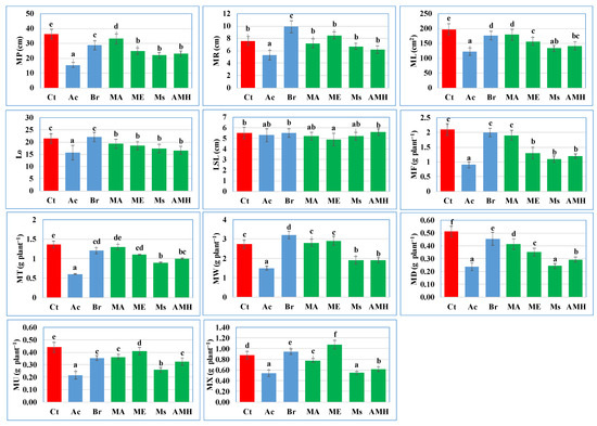
3.1.1. Morphological Attributes
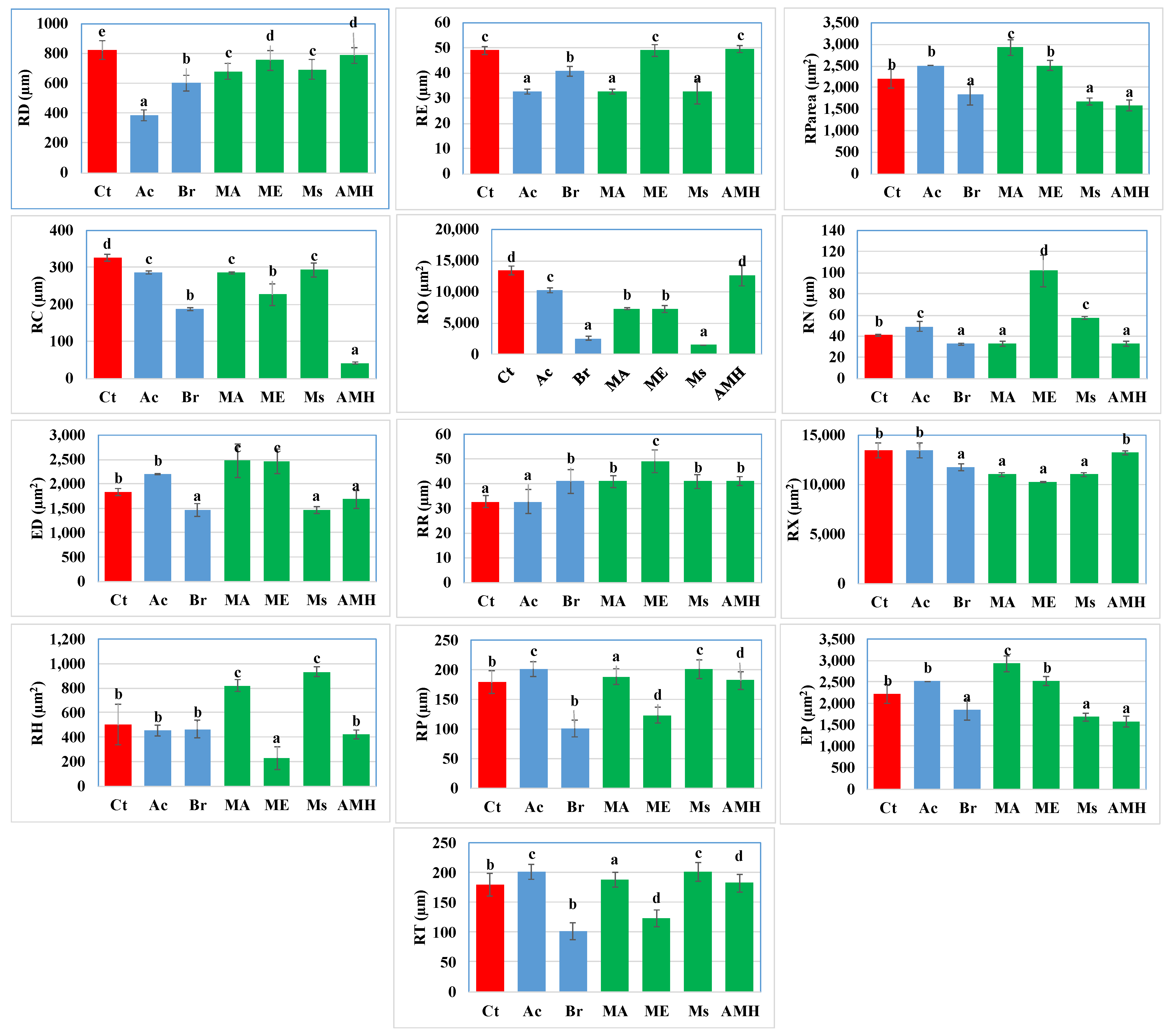
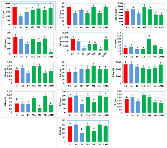
3.1.2. Root Anatomy
3.1.3. Stem Anatomy
3.1.4. Leaf Sheath Anatomy
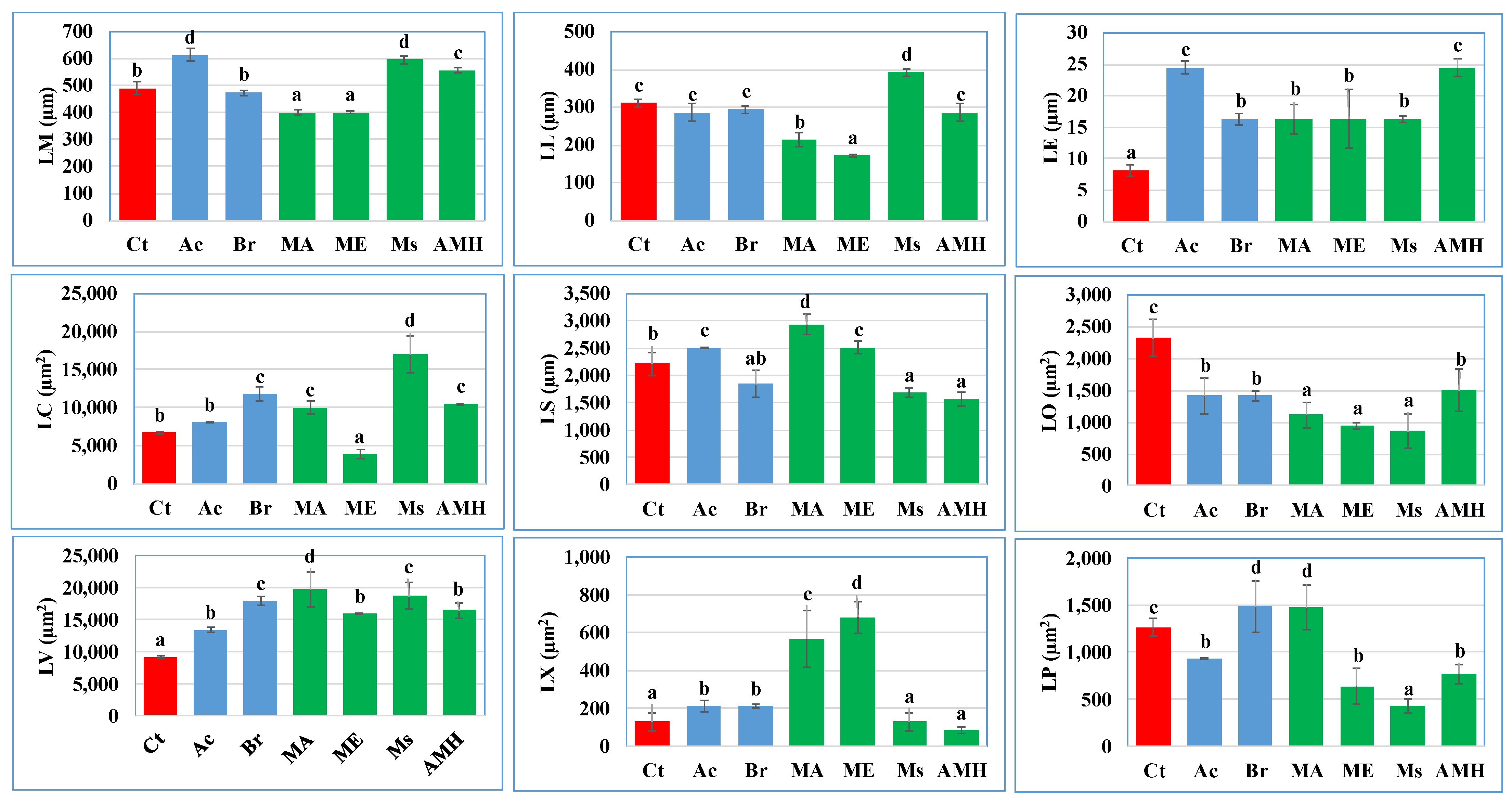
3.1.5. Leaf Blade Anatomy
3.2. Pearson’s Correlation Coefficient
3.3. Relationship between Micro–Structural and Morphological Adaptations with Herbicides
3.4. Specificity of Herbicide Induced Micro–Structural Modifications
3.5. Principle Component Analysis for Assessment of Mode of Application and Herbicide Specific Effects
3.6. Clustering of Herbicides Treatments Based on the Observed Plant Growth Traits
3.7. Classification of Tolerance Mechanisms/Alterations by Mode of Application
4. Discussion
| Herbicide Name | Efficacy on D. aegyptium (%) | Rate Applied | Mode of Action | Cellular Processes Affected |
|---|---|---|---|---|
| Pre-emergence herbicides | ||||
| Acetamide (Ac) [2-chloro-N-(2-ethyl-6-methylphenyl)acetamide] | 41.7 ± 3 | 2250 mL ha−1 | 15/K3 | Inhibits protein, lipid and terpenoids synthesis [16] and other metabolic processes like photosynthesis, respiration, RNA synthesis, etc. [17]. |
| Bromoxynil (Br) [3,5-dibromo-4-hydroxybenzonitrile] | 25.8 ± 2 | 2250 mL ha−1 | 6/C3 | Uncouples oxidative phosphorylation [35]. |
| Post emergence herbicides | ||||
| Metolachlor-Atrazine (MA) [720 SC [290 g LS-Metolachlor + 370 g LAtrazine + Shift 37% OD] [Pretilachlor 50% EC] | 30.5 ± 3 | 2000 mL ha−1 | 15/K3 + 5/C1 | Herbicide is inhibitor of photosynthesis at photosystem II [36]. |
| Methyl ester (ME) [Methyl 3-chloro-5-(4,6-dimethoxypyrimidin-2-ylcarbamoylsulfamoyl)-1-methylpyrazole-4-carboxylate] | 38.9 ± 4 | 50 g ha−1 | 1/A | Inhibits acetolactate synthetase (ALS) enzymes, thus arrests growth [37]. |
| Mesotrione (Ms) [2-[4-(methylsulfonyl)-2-nitrobenzoyl]-1,3-cyclohexanedione] | 31.7 ± 2 | 2000 mL ha−1 | 5/C1 + 27/F2 | Inhibits photosynthesis through inhibiting electron transport of photosystem II [38]. |
| Atrazine-Mesotrione-Halosulfuron methyl (AMH) | 28.2 ± 1 | 2000 mL ha−1 | 5/C1 + 27/F 2+ 1/A | It is a photosynthesis inhibitor which inhibits electron transport of photosystem II, leading to inhibition of photosynthesis [38,39]. |
5. Conclusions
Supplementary Materials
Author Contributions
Funding
Institutional Review Board Statement
Data Availability Statement
Acknowledgments
Conflicts of Interest
Abbreviations
| Herbicides: | Br- Bromoxynil: Ct-Control: AMH-Atrazine-Mesotrione-Halosulfuron methyl, Ms-Mesotrione, ME-Methyl ester, MA-Metolachlor-Atrazine, Ac-Acetamide |
| Application Mode: | Pre-Pre-emergence, Post-Post-emergence. |
| Morphology: | Lo-Leaves per plant, LH-Leaf sheath length, MD-Root dry weight, MF-Root fresh weight, ML-Leaf area, MP-Plant height, MR-Root length, MT-Stem fresh weight, MU-Stem dry weight, MW-Leaf fresh weight, MX-Leaf dry weight |
| Root anatomy: | ED-Endodermal cell area, EP-Epidermal cell area, RC-Cortical region thickness, RD-Root radius, RE-Epidermal thickness, RH-Phloem area, RN-Endodermal thickness, RO-Cortical cell area, RP-Epidermal cell area, RR-Pericycle thickness, RT-Pith area, RX-Metaxylem area |
| Stem anatomy: | ScT-Cortical cell area, SC-Epidermal cell area, SE-Epidermal thickness, SH-Phloem area, SR-Stem radius, SS-Sclerenchymatous thickness, SV-Vascular bundle area, SX-Metaxylem area |
| Leaf sheath anatomy: | HE-Epidermal thickness, HO-Cortical cell area, HS-Sclerenchymatous thickness, HT-Sheath thickness, HV-Vascular bundle area |
| Leaf blade anatomy: | LC-Cortical cell area, LE-Epidermal thickness, LL-Lamina thickness, LM-Midrib thickness, LO-Mesophyll cell area, LP-Phloem area, LSL-Leaf sheath length, LS-Mesophyll thickness, LV-Vascular bundle area, LX-Metaxylem area |
References
- Lawrence, B.H.; Bond, J.A.; Edwards, H.M.; Golden, B.R.; Montgomery, G.B.; Eubank, T.W.; Walker, T.W. Effect of fall-applied residual herbicides on rice growth and yield. Weed Technol. 2018, 32, 526–531. [Google Scholar] [CrossRef]
- Naseer-ud-Din, G.M.; Shehzad, M.A.; Nasrullah, H.M. Efficacy of various pre and post-emergence herbicides to control weeds in wheat. Pak. J. Agric. Sci. 2011, 48, 185–190. [Google Scholar]
- Qasem, J.R. Herbicide resistant weeds: The technology and weed management. Herbicides—Current Research and Case Studies in Use; InTech Publishers: London, UK, 2013; pp. 445–471. [Google Scholar]
- Powles, S.B.; Yu, Q. Evolution in action: Plants resistant to herbicides. Annu. Rev. Plant Biol. 2010, 61, 317–347. [Google Scholar] [CrossRef] [PubMed]
- Vila-Aiub, M.M.; Balbi, M.C.; Distéfano, A.J.; Fernández, L.; Hopp, E.; Yu, Q.; Powles, S.B. Glyphosate resistance in perennial Sorghum halepense (Johnsongrass), endowed by reduced glyphosate translocation and leaf uptake. Pest. Manag. Sci. 2012, 68, 430–436. [Google Scholar] [CrossRef]
- Huangfu, C.; Song, X.; Qiang, S. Morphological disparities in the epidermal and anatomical features of the leaf among wild Brassica juncea populations. Weed Biol. Manag. 2009, 9, 234–242. [Google Scholar] [CrossRef]
- Cobb, A.H.; Reade, P.H.J. Herbicides and Plant Physiology, 2nd ed.; John Wiley & Sons Ltd.: Hoboken, NJ, USA, 2011. [Google Scholar]
- Perotti, V.E.; Larran, A.S.; Palmieri, V.E.; Martinatto, A.K.; Permingeat, H.R. Herbicide resistant weeds: A call to integrate conventional agricultural practices, molecular biology knowledge and new technologies. Plant Sci. 2020, 290, 110255. [Google Scholar] [CrossRef]
- Khaliq, A.; Matloob, A.; Ahmad, N.; Rasul, F.; Awan, I.U. Post emergence chemical weed control in direct seeded fine rice. J. Anim. Plant Sci. 2012, 22, e1106. [Google Scholar]
- Sanglakpam, P.; Mathur, R.R.; Pandey, A.K. Ethnobotany of Chothe tribes of Bishnupur district (Manipur). Indian J. Nat. Prod. Res. 2012, 3, 414–425. [Google Scholar]
- Tauseef, M.; Ihsan, F.; Nazir, W.; Farooq, J. Weed flora and importance value index (IVI) of the weeds in cotton crop fields in the region of Khanewal, Pakistan. Pak. J. Weed Sci. Res. 2012, 18, 319–330. [Google Scholar]
- Rohlf, F.J. NTSYS-pc: Numerical Taxonomy and Multivariate Analysis System, version 2.2; Exeter Publications: Setauket, NY, USA, 2000. [Google Scholar]
- Yim, O.; Ramdeen, K.T. Hierarchical cluster analysis: Comparison of three linkage measures and application to psychological data. Quant. Methods Psychol. 2015, 11, 8–21. [Google Scholar] [CrossRef]
- Barberon, M.; Geldner, N. Radial transport of nutrients: The plant root as a polarized epithelium. Plant Physiol. 2014, 166, 528–537. [Google Scholar] [CrossRef] [PubMed]
- Blum, A. Plant water relations, plant stress and plant production. In Plant Breeding for Water–Limited Environments; Blum, A., Ed.; Springer: New York, NY, USA, 2011; pp. 11–52. [Google Scholar]
- Hess, F.D. Herbicide effects on plant structure, physiology, and biochemistry. In Pesticide Interactions in Crop Production; Altman, J., Ed.; CRC Press: Boca Raton, FL, USA, 2018; pp. 13–34. [Google Scholar]
- Fedtke, C. Biochemistry and Physiology of Herbicide Action; Springer Science & Business Media: New York, NY, USA; Berlin/Heidelberg, Germany, 2012; Available online: https://link.springer.com/book/10.1007/978-3-642-68375-6 (accessed on 10 September 2022).
- Lefèvre-Utile, A.; Braun, C.; Haftek, M.; Aubin, F. Five functional aspects of the epidermal barrier. Int. J. Mol. Sci. 2021, 22, 11676. [Google Scholar] [CrossRef] [PubMed]
- Krähmer, H.; Walter, H.; Jeschke, P.; Haaf, K.; Baur, P.; Evans, R. What makes a molecule a pre-or a post-herbicide—How valuable are physicochemical parameters for their design? Pest. Manag. Sci. 2021, 77, 4863–4873. [Google Scholar] [CrossRef] [PubMed]
- da Cunha Valença, D.; Bezerra, A.C.M.; Ferreira, M.A.; Junqueira, N.E.G.; Macrae, A.; Medici, L.O.; Reinert, F. Changes in leaf blade morphology and anatomy caused by clomazone and saflufenacil in Setaria viridis, a model C4 plant. S. Afr. J. Bot. 2020, 135, 365–376. [Google Scholar]
- Barroso, A.A.M.; Galeano, E.; Albrecht, A.J.P.; Dos Reis, F.C.; Victoria Filho, R. Does sourgrass leaf anatomy influence glyphosate resistance? Comun. Sci. 2015, 6, 445–453. [Google Scholar] [CrossRef]
- Lamalakshmi Devi, E.; Kumar, S.; Basanta Singh, T.; Sharma, S.K.; Beemrote, A.; Devi, C.P.; Wani, S.H. Adaptation strategies and defence mechanisms of plants during environmental stress. In Medicinal Plants and Environmental Challenges; Ghorbanpour, M., Varma, A., Eds.; Springer: Berlin/Heidelberg, Germany, 2017; pp. 359–413. [Google Scholar]
- Abouziena, H.F.; El-Saeid, H.M.; Amin, A.A.E. Water loss by weeds: A review. Int. J. Chemtech. Res. 2014, 7, 323–336. [Google Scholar]
- Meyer, C.J.; Peterson, C.A.; Steudle, E. Permeability of Iris germanica’s multiseriate exodermis to water, NaCl, and ethanol. J. Exp. Bot. 2011, 62, 1911–1926. [Google Scholar] [CrossRef]
- Gianessi, L.P. The increasing importance of herbicides in worldwide crop production. Pest. Manag. Sci. 2013, 69, 1099–1105. [Google Scholar] [CrossRef]
- Kraehmer, H.; Baur, P. Weed Anatomy; John Wiley & Sons: Hoboken, NJ, USA, 2013. [Google Scholar]
- Fatima, S.; Hameed, M.; Ahmad, F.; Ashraf, M.; Ahmad, R. Structural and functional modifications in a typical arid zone species Aristida adscensionis L. along altitudinal gradient. Flora 2018, 249, 172–182. [Google Scholar] [CrossRef]
- Ghanizadeh, H.; Harrington, K.C. Non-target site mechanisms of resistance to herbicides. Crit. Rev. Plant Sci. 2017, 36, 24–34. [Google Scholar] [CrossRef]
- Vrbničanin, S.; Stefanović, L.; Božić, D.; Sarić, M.; Radošević, R. Comparative analysis of the anatomy of two populations of red-root amaranth (Amaranthus retroflexus L.). Pestic. I Fitomed. 2009, 24, 103–112. [Google Scholar] [CrossRef]
- Aswani, V.; Rajsheel, P.; Bapatla, R.B.; Sunil, B.; Raghavendra, A.S. Oxidative stress induced in chloroplasts or mitochondria promotes proline accumulation in leaves of pea (Pisum sativum): Another example of chloroplast-mitochondria interactions. Protoplasma 2019, 256, 449–457. [Google Scholar] [CrossRef] [PubMed]
- Pereira, M.R.R.; Martins, A.R.; Martins, D.; Sasso, G.; Silva, A. Effect of sethoxydim herbicide in the leaf anatomy and physiology of Brachiaria grass under water stress. Planta Daninha 2017, 35, e017162268. [Google Scholar] [CrossRef][Green Version]
- Schneider, H.M.; Wojciechowski, T.; Postma, J.A.; Brown, K.M.; Lücke, A.; Zeisler, V.; Lynch, J.P. Root cortical senescence decreases root respiration, nutrient content and radial water and nutrient transport in barley. Plant Cell Environ. 2017, 40, 1392–1408. [Google Scholar] [CrossRef] [PubMed]
- Sellin, A.; Tullus, A.; Niglas, A.; Ounapuu, E.; Karusion, A.; Lohmus, K. Humidity-driven changes in growth rate, photosynthetic capacity, hydraulic properties and other functional traits in silver birch (Betula pendula). Ecol. Res. 2013, 28, 523–535. [Google Scholar] [CrossRef]
- Guo, H.; Hu, Z.; Zhang, H.; Min, W.; Hou, Z. Comparative effects of salt and alkali stress on antioxidant system in cotton (Gossypium hirsutum L.) leaves. Open Chem. 2019, 17, 1352–1360. [Google Scholar] [CrossRef]
- Shimmen, T. Further electrophysiological studies on cellular effect of herbicide, bromoxynil, using characean cells. J. Plant Res. 2012, 125, 749–754. [Google Scholar] [CrossRef] [PubMed]
- Beaulieu, M.; Cabana, H.; Huot, Y. Adverse effects of atrazine, DCMU and metolachlor on phytoplankton cultures and communities at environmentally relevant concentrations using Fast Repetition Rate Fluorescence. Sci. Total. Environ. 2020, 712, 136239. [Google Scholar] [CrossRef]
- Zhao, B.; Huo, J.; Liu, N.; Zhang, J.; Dong, J. Transketolase is identified as a target of herbicidal substance α-terthienyl by proteomics. Toxins 2018, 10, 41. [Google Scholar] [CrossRef]
- Richburg, J.T.; Norsworthy, J.K.; Barber, T.; Roberts, T.L.; Gbur, E.E. Tolerance of corn to PRE-and POST-applied photosystem II–inhibiting herbicides. Weed Technol. 2020, 34, 277–283. [Google Scholar] [CrossRef]
- Rehan, M.; Sharkawy, A.E.; Fadly, G.E. Microbial biodegradation of S-triazine herbicides in soil. J. Crop Res. Fert. 2016, 1, 1–6. [Google Scholar] [CrossRef]









Publisher’s Note: MDPI stays neutral with regard to jurisdictional claims in published maps and institutional affiliations. |
© 2022 by the authors. Licensee MDPI, Basel, Switzerland. This article is an open access article distributed under the terms and conditions of the Creative Commons Attribution (CC BY) license (https://creativecommons.org/licenses/by/4.0/).
Share and Cite
Riaz, S.; Basharat, S.; Ahmad, F.; Hameed, M.; Fatima, S.; Ahmad, M.S.A.; Shah, S.M.R.; Asghar, A.; El-Sheikh, M.A.; Kaushik, P. Dactyloctenium aegyptium (L.) Willd. (Poaceae) Differentially Responds to Pre- and Post-Emergence Herbicides through Micro-Structural Alterations. Agriculture 2022, 12, 1831. https://doi.org/10.3390/agriculture12111831
Riaz S, Basharat S, Ahmad F, Hameed M, Fatima S, Ahmad MSA, Shah SMR, Asghar A, El-Sheikh MA, Kaushik P. Dactyloctenium aegyptium (L.) Willd. (Poaceae) Differentially Responds to Pre- and Post-Emergence Herbicides through Micro-Structural Alterations. Agriculture. 2022; 12(11):1831. https://doi.org/10.3390/agriculture12111831
Chicago/Turabian StyleRiaz, Sidra, Sana Basharat, Farooq Ahmad, Mansoor Hameed, Sana Fatima, Muhammad Sajid Aqeel Ahmad, Syed Mohsan Raza Shah, Ansa Asghar, Mohamed A. El-Sheikh, and Prashant Kaushik. 2022. "Dactyloctenium aegyptium (L.) Willd. (Poaceae) Differentially Responds to Pre- and Post-Emergence Herbicides through Micro-Structural Alterations" Agriculture 12, no. 11: 1831. https://doi.org/10.3390/agriculture12111831
APA StyleRiaz, S., Basharat, S., Ahmad, F., Hameed, M., Fatima, S., Ahmad, M. S. A., Shah, S. M. R., Asghar, A., El-Sheikh, M. A., & Kaushik, P. (2022). Dactyloctenium aegyptium (L.) Willd. (Poaceae) Differentially Responds to Pre- and Post-Emergence Herbicides through Micro-Structural Alterations. Agriculture, 12(11), 1831. https://doi.org/10.3390/agriculture12111831

