Grazing Intensity Has More Effect on the Potential Nitrification Activity Than the Potential Denitrification Activity in An Alpine Meadow
Abstract
1. Introduction
2. Materials and Methods
2.1. Site Description and Experimental Design
2.2. Soil Sampling and Analyses
2.3. Soil DNA Extraction and Quantification of Nitrifiers and Denitrifiers
2.4. Potential Nitrification and Denitrification Activities in the Soil
2.5. Statistical Analyses
3. Results
3.1. Effects of the Grazing with Increased Intensity on Soil Abiotic Factors
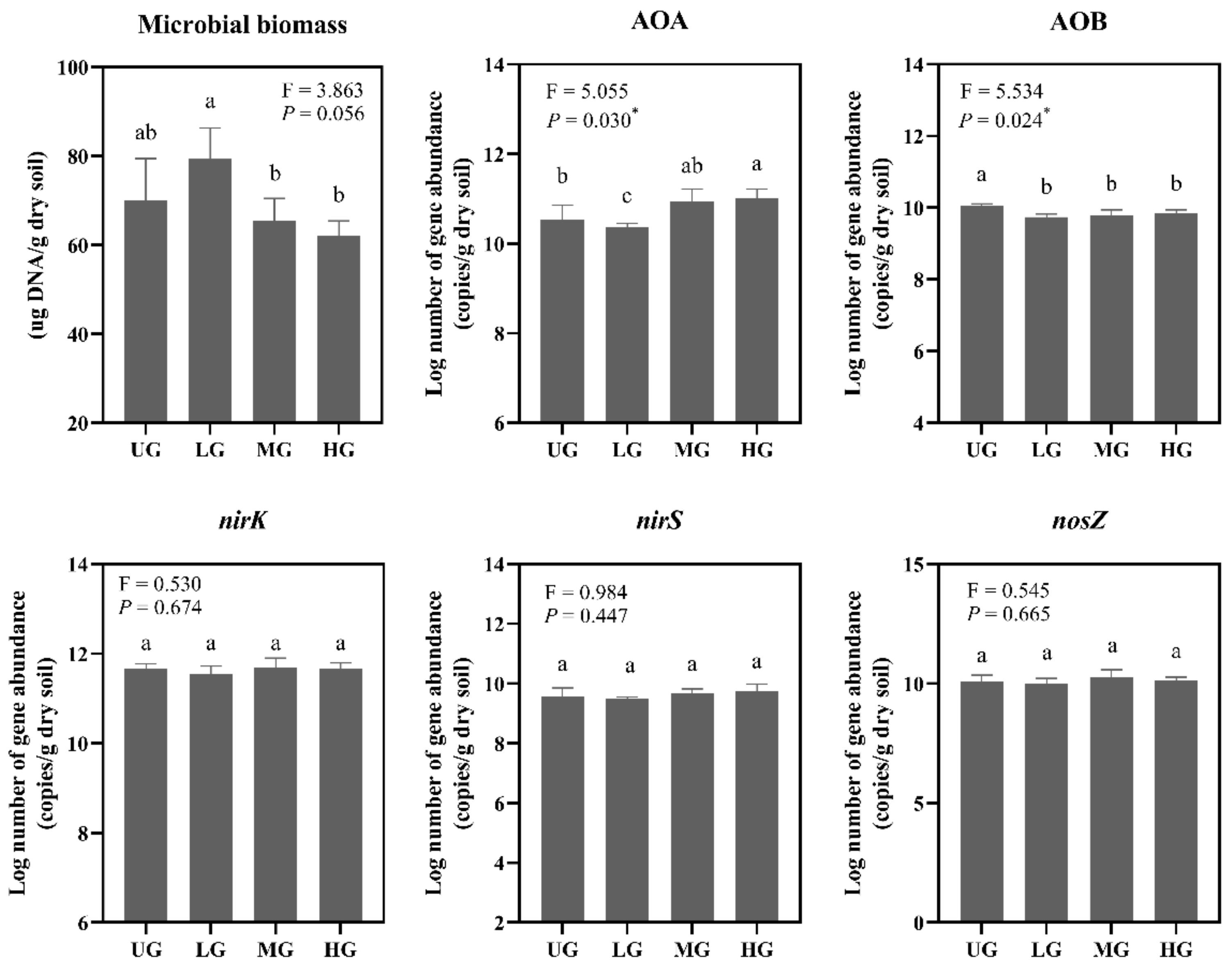
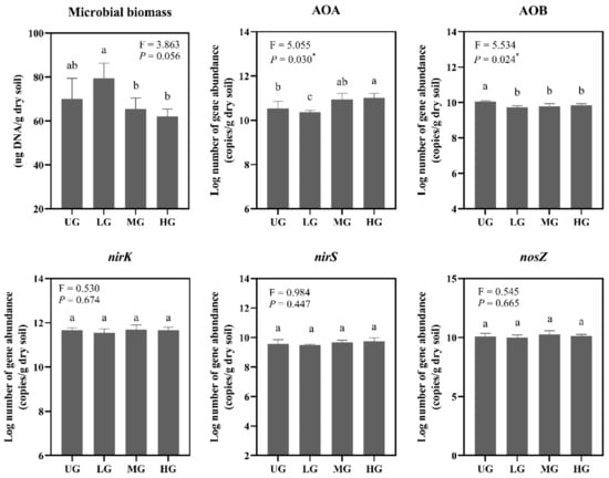
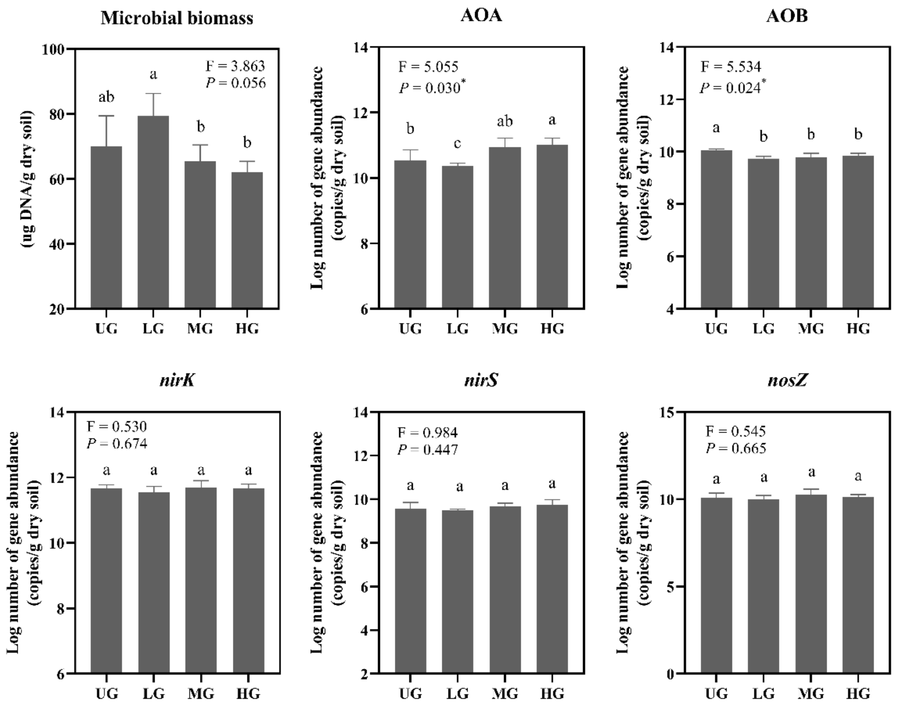
3.2. Effects of the Grazing with Increased Intensity on Biotic Factors
3.3. Soil PNA and PDA at the Different Grazing Intensities
3.4. Contribution of the Abiotic and Biotic Factors to the Changes in PNA and PDA
4. Discussion
4.1. How the Grazing Intensity Affected the Abiotic Factors, and the Implications for the PNA and PDA
4.2. How the Grazing Intensity Affected the Biotic Factors, and the Implications for the PNA and PDA
4.3. The Grazing Intensity Had More Effect on the Variables That Influenced the PNA Than on Those That Influenced the PDA
5. Conclusions
Supplementary Materials
Author Contributions
Funding
Data Availability Statement
Acknowledgments
Conflicts of Interest
References
- Chang, J.; Ciais, P.; Gasser, T.; Smith, P.; Herrero, M.; Havlík, P.; Obersteiner, M.; Guenet, B.; Goll, D.S.; Li, W.; et al. Climate warming from managed grasslands cancels the cooling effect of carbon sinks in sparsely grazed and natural grasslands. Nat. Commun. 2021, 12, 118–128. [Google Scholar] [CrossRef] [PubMed]
- Luo, C.; Xu, G.; Chao, Z.; Wang, S.; Lin, X.; Hu, Y.; Zhang, Z.; Duan, J.; Chang, X.; Su, A.; et al. Effect of warming and grazing on litter mass loss and temperature sensitivity of litter and dung mass loss on the Tibetan plateau. Glob. Chang. Biol. 2010, 16, 1606–1617. [Google Scholar] [CrossRef]
- Zhang, W.; Xue, X.; Peng, F.; You, Q.; Hao, A. Meta-analysis of the effects of grassland degradation on plant and soil properties in the alpine meadows of the Qinghai-Tibetan Plateau. Glob. Ecol. Conserv. 2019, 20, e00774. [Google Scholar] [CrossRef]
- Dong, L.; Li, J.; Sun, J.; Yang, C. Soil degradation influences soil bacterial and fungal community diversity in overgrazed alpine meadows of the Qinghai-Tibet Plateau. Sci. Rep. 2021, 11, 11538. [Google Scholar] [CrossRef] [PubMed]
- Li, G.; Jiang, C.; Cheng, T.; Bai, J. Grazing alters the phenology of alpine steppe by changing the surface physical environment on the northeast Qinghai-Tibet Plateau, China. J. Environ. Manag. 2019, 248, 109257. [Google Scholar] [CrossRef]
- Shen, H.; Wang, S.; Tang, Y. Grazing alters warming effects on leaf photosynthesis and respiration in Gentiana straminea, an alpine forb species. J. Plant Ecol. 2013, 6, 418–427. [Google Scholar] [CrossRef]
- Lang, M.; Li, P.; Long, G.; Yuan, F.; Yu, Y.; Ma, E.; Shan, J.; Müller, C.; Zhu, T. Grazing rest versus no grazing stimulates soil inorganic N turnover in the alpine grasslands of the Qinghai-Tibet plateau. Catena 2021, 204, 105382. [Google Scholar] [CrossRef]
- Kuypers, M.M.M.; Marchant, H.K.; Kartal, B. The microbial nitrogen-cycling network. Nat. Rev. Microbiol. 2018, 16, 263–276. [Google Scholar] [CrossRef]
- Thomson, A.; Giannopoulos, G.; Pretty, J.; Baggs, L.; Richardson, D. Biological sources and sinks of nitrous oxide and strategies to mitigate emissions. Philos. Trans. R. Soc. B-Biol. Sci. 2012, 367, 1157–1168. [Google Scholar] [CrossRef]
- Canfield, D.E.; Glazer, A.N.; Falkowski, P.G. The evolution and future of earth’s nitrogen cycle. Science 2010, 330, 192–196. [Google Scholar] [CrossRef]
- Pan, H.; Feng, H.; Liu, Y.; Lai, C.-Y.; Zhuge, Y.; Zhang, Q.; Tang, C.; Di, H.; Jia, Z.; Gubry-Rangin, C.; et al. Correction to: Grazing weakens competitive interactions between active methanotrophs and nitrifiers modulating greenhouse-gas emissions in grassland soils. ISME Commun. 2022, 2, 7. [Google Scholar] [CrossRef]
- Ouyang, Y.; Evans, S.E.; Friesen, M.L.; Tiemann, L.K. Effect of nitrogen fertilization on the abundance of nitrogen cycling genes in agricultural soils: A meta-analysis of field studies. Soil Biol. Biochem. 2018, 127, 71–78. [Google Scholar] [CrossRef]
- Dong, J.; Zhang, J.; Liu, Y.; Jing, H. How climate and soil properties affect the abundances of nitrogen-cycling genes in nitrogen-treated ecosystems: A meta-analysis. Plant Soil 2022, 477, 389–404. [Google Scholar] [CrossRef]
- Di, H.J.; Cameron, K.C.; Shen, J.; Winefield, C.S.; O’Callaghan, M.; Bowatte, S.; He, J. Ammonia-oxidizing bacteria and archaea grow under contrasting soil nitrogen conditions. FEMS Microbiol. Ecol. 2010, 72, 386–394. [Google Scholar] [CrossRef]
- Di, H.J.; Cameron, K.C.; Shen, J.; Winefield, C.S.; O’Callaghan, M.; Bowatte, S.; He, J. Nitrification driven by bacteria and not archaea in nitrogen-rich grassland soils. Nat. Geosci. 2009, 2, 621–624. [Google Scholar] [CrossRef]
- Morales, S.E.; Cosart, T.; Holben, W.E. Bacterial gene abundances as indicators of greenhouse gas emission in soils. ISME J. 2010, 4, 799–808. [Google Scholar] [CrossRef]
- Li, Y.; Ma, J.; Yu, Y.; Li, Y.; Shen, X.; Huo, S.; Xia, X. Effects of multiple global change factors on soil microbial richness, diversity and functional gene abundances: A meta-analysis. Sci. Total Environ. 2022, 815, 152737. [Google Scholar] [CrossRef]
- Holst, J.; Liu, C.; Brüggemann, N.; Butterbach-Bahl, K.; Zheng, X.; Wang, Y.; Han, S.; Yao, Z.; Yue, J.; Han, X. Microbial N turnover and Noxide (N2O/NO/NO2) fluxes in semi-arid grassland of Inner Mongolia. Ecosystems 2007, 10, 623–634. [Google Scholar] [CrossRef]
- Čuhel, J.; Šimek, M. Proximal and distal control by pH of denitrification rate in a pasture soil. Agric. Ecosyst. Environ. 2011, 141, 230–233. [Google Scholar] [CrossRef]
- Ding, K.; Zhong, L.; Xin, X.P.; Xu, Z.H.; Kang, X.M.; Liu, W.J.; Rui, Y.C.; Jiang, L.L.; Tang, L.; Wang, Y.F. Effect of grazing on the abundance of functional genes associated with N cycling in three types of grassland in Inner Mongolia. J. Soils Sediments 2015, 15, 683–693. [Google Scholar] [CrossRef]
- Xu, Y.; Wan, S.; Cheng, W.; Li, L. Impacts of grazing intensity on denitrification and N2O production in a semi-arid grassland ecosystem. Biogeochemistry 2008, 88, 103–115. [Google Scholar] [CrossRef]
- Menneer, J.C.; Ledgard, S.; McLay, C.; Silvester, W. Animal treading stimulates denitrification in soil under pasture. Soil Biol. Biochem. 2005, 37, 1625–1629. [Google Scholar] [CrossRef]
- Patra, A.K.; Abbadie, L.; Clays-Josserand, A.; Degrange, V.; Grayston, S.J.; Guillaumaud, N.; Loiseau, P.; Louault, F.; Mahmood, S.; Nazaret, S.; et al. Effects of management regime and plant species on the enzyme activity and genetic structure of N-fixing, denitrifying and nitrifying bacterial communities in grassland soils. Environ. Microbiol. 2006, 8, 1005–1016. [Google Scholar] [CrossRef] [PubMed]
- Yin, M.; Gao, X.; Tenuta, M.; Li, L.; Gui, D.; Li, X.; Zeng, F. Enhancement of N2O emissions by grazing is related to soil physicochemical characteristics rather than nitrifier and denitrifier abundances in alpine grassland. Geoderma 2020, 375, 114511. [Google Scholar] [CrossRef]
- Cuhel, J.; Simek, M.; Laughlin, R.; Bru, D.; Chèneby, D.; Watson, C.; Philippot, L. Insights into the effect of soil pH on N2O and N2 emissions and denitrifier community size and activity. Appl. Environ. Microbiol. 2010, 76, 1870–1878. [Google Scholar] [CrossRef]
- Petersen, D.G.; Blazewicz, S.J.; Firestone, M.; Herman, D.J.; Turetsky, M.; Waldrop, M. Abundance of microbial genes associated with nitrogen cycling as indices of biogeochemical process rates across a vegetation gradient in Alaska. Environ. Microbiol. 2012, 14, 993–1008. [Google Scholar] [CrossRef]
- Zhong, L.; Hoogendoorn, C.J.; Bowatte, S.; Li, F.Y.; Wang, Y.; Luo, D. Slope class and grazing intensity effects on microorganisms and nitrogen transformation processes responsible for nitrous oxide emissions from hill pastures. Agric. Ecosyst. Environ. 2016, 217, 70–78. [Google Scholar] [CrossRef]
- Dong, S.; Li, Y.; Ganjurjav, H.; Gao, Q.; Gao, X.; Zhang, J.; Yan, Y.; Zhang, Y.; Liu, S.; Hu, G.; et al. Grazing promoted soil microbial functional genes for regulating C and N cycling in alpine meadow of the Qinghai-Tibetan Plateau. Agric. Ecosyst. Environ. 2020, 303, 107–111. [Google Scholar] [CrossRef]
- Qu, T.; Du, W.; Yuan, X.; Yang, Z.; Liu, D.; Wang, D.; Yu, L. Impacts of grazing intensity and plant community composition on soil bacterial community diversity in a steppe grassland. PLoS ONE 2016, 11, e0159680. [Google Scholar] [CrossRef]
- Le Roux, X.; Poly, F.; Currey, P.; Commeaux, C.; Hai, B.; Nicol, G.W.; Prosser, J.I.; Schloter, M.; Attard, E.; Klumpp, K. Effects of aboveground grazing on coupling among nitrifier activity, abundance and community structure. ISME J. 2008, 2, 221–232. [Google Scholar] [CrossRef]
- Liu, T.; Nan, Z.; Hou, F. Grazing intensity effects on soil nitrogen mineralization in semi-arid grassland on the Loess Plateau of northern China. Nutr. Cycl. Agroecosystems 2011, 91, 67–75. [Google Scholar] [CrossRef]
- Shi, X.; Li, X.; Li, C.; Zhao, Y.; Shang, Z.; Ma, Q. Grazing exclusion decreases soil organic C storage at an alpine grassland of the Qinghai–Tibetan Plateau. Ecol. Eng. 2013, 57, 183–187. [Google Scholar] [CrossRef]
- Zhong, L.; Du, R.; Ding, K.; Kang, X.; Li, F.Y.; Bowatte, S.; Hoogendoorn, C.J.; Wang, Y.; Rui, Y.; Jiang, L.; et al. Effects of grazing on N2O production potential and abundance of nitrifying and denitrifying microbial communities in meadow-steppe grassland in northern China. Soil Biol. Biochem. 2014, 69, 1–10. [Google Scholar] [CrossRef]
- Sun, G.; Zhu-Barker, X.; Chen, D.; Liu, L.; Zhang, N.; Shi, C.; He, L.; Lei, Y. Responses of root exudation and nutrient cycling to grazing intensities and recovery practices in an alpine meadow: An implication for pasture management. Plant Soil 2017, 416, 515–525. [Google Scholar] [CrossRef]
- Mipam, T.; Zhong, L.; Liu, J.; Miehe, G.; Tian, L. Productive overcompensation of alpine meadows in response to yak grazing in the eastern Qinghai-Tibet plateautable. Front. Plant Sci. 2019, 10, 925. [Google Scholar] [CrossRef]
- Shang, Z.; Yang, S.; Wang, Y.; Shi, J.; Ding, L.; Long, R. Soil seed bank and its relation with above-ground vegetation along the degraded gradients of alpine meadow. Ecol. Eng. 2016, 90, 268–277. [Google Scholar] [CrossRef]
- He, M.; Pan, Y.; Zhou, G.; Barry, K.E.; Fu, Y.; Zhou, X. Grazing and global change factors differentially affect biodiversity-ecosystem functioning relationships in grassland ecosystems. Glob. Chang. Biol. 2022, 28, 5492–5504. [Google Scholar] [CrossRef]
- Mipam, T.D.; Chen, S.; Liu, J.; Miehe, G.; Tian, L. Short-term yak-grazing alters plant-soil stoichiometric relations in an alpine meadow on the eastern Tibetan Plateau. Plant Soil 2021, 458, 125–137. [Google Scholar] [CrossRef]
- Tang, Y.; Yu, G.; Zhang, X.; Wang, Q.; Tian, D.; Tian, J.; Niu, S.; Ge, J. Environmental variables better explain changes in potential nitrification and denitrification activities than microbial properties in fertilized forest soils. Sci. Total Environ. 2019, 647, 653–662. [Google Scholar] [CrossRef]
- Wang, C.; Wan, S.; Xing, X.; Zhang, L.; Han, X. Temperature and soil moisture interactively affected soil net N mineralization in temperate grassland in Northern China. Soil Biol. Biochem. 2006, 38, 1101–1110. [Google Scholar] [CrossRef]
- Smith, M.S.; Tiedje, J.M. Phases of denitrification following oxygen depletion in soil. Soil Biol. Biochem. 1979, 11, 261–267. [Google Scholar] [CrossRef]
- Dassonville, N.; Guillaumaud, N.; Piola, F.; Meerts, P.; Poly, F. Niche construction by the invasive Asian knotweeds (species complex Fallopia): Impact on activity, abundance and community structure of denitrifiers and nitrifiers. Biol. Invasions 2011, 13, 1115–1133. [Google Scholar] [CrossRef]
- Wang, Y.; Wang, D.; Shi, B.; Sun, W. Differential effects of grazing, water, and nitrogen addition on soil respiration and its components in a meadow steppe. Plant Soil 2020, 447, 581–598. [Google Scholar] [CrossRef]
- Wolf, B.; Zheng, X.; Brüggemann, N.; Chen, W.; Dannenmann, M.; Han, X.; Sutton, M.A.; Wu, H.; Yao, Z.; Butterbach-Bahl, K. Grazing-induced reduction of natural nitrous oxide release from continental steppe. Nature 2010, 464, 881–884. [Google Scholar] [CrossRef]
- Shi, H.; Hou, L.; Yang, L.; Wu, D.; Zhang, L.; Li, L. Effects of grazing on CO2, CH4, and N2O fluxes in three temperate steppe ecosystems. Ecosphere 2017, 8, e01760. [Google Scholar] [CrossRef]
- Tang, S.; Wang, K.; Xiang, Y.; Tian, D.; Wang, J.; Liu, Y.; Cao, B.; Guo, D.; Niu, S. Heavy grazing reduces grassland soil greenhouse gas fluxes: A global meta-analysis. Sci. Total Environ. 2019, 654, 1218–1224. [Google Scholar] [CrossRef]
- Zhang, T.; Zhang, Y.; Xu, M.; Zhu, J.; Wimberly, M.C.; Yu, G.; Niu, S.; Xi, Y.; Zhang, X.; Wang, J. Light-intensity grazing improves alpine meadow productivity and adaption to climate change on the Tibetan Plateau. Sci. Rep. 2015, 5, 15949. [Google Scholar] [CrossRef]
- Bremer, D.J.; Auen, L.M.; Ham, J.M.; Owensby, C.E. Evapotranspiration in a prairie ecosystem. Agron. J. 2001, 93, 338–348. [Google Scholar] [CrossRef]
- Zhang, T.; Xu, M.; Zhang, Y.; Zhao, T.; An, T.; Li, Y.; Sun, Y.; Chen, N.; Zhao, T.; Zhu, J.; et al. Grazing-induced increases in soil moisture maintain higher productivity during droughts in alpine meadows on the Tibetan Plateau. Agric. For. Meteorol. 2019, 269–270, 249–256. [Google Scholar] [CrossRef]
- Wang, Y.; Pei, W.; Xin, Y.; Guo, X.; Du, Y. Effects of grazing on water-use efficiency of grassland ecosystem in northern China. Grassl. Turf 2021, 41, 49–55. [Google Scholar] [CrossRef]
- Xu, Q.; Wang, Y.; Xin, Y.; Guo, X.; Du, Y. Meta-analysis of the effect of grazing on grassland evapotranspiration in China. Pratacul. Sci. 2020, 37, 1952–1958. [Google Scholar] [CrossRef]
- Attard, E.; Recous, S.; Chabbi, A.; De Berranger, C.; Guillaumaud, N.; Labreuche, J.; Philippot, L.; Schmid, B.; Le Roux, X. Soil environmental conditions rather than denitrifier abundance and diversity drive potential denitrification after changes in land uses. Glob. Change Biol. 2011, 17, 1975–1989. [Google Scholar] [CrossRef]
- Griffiths, R.; Whiteley, A.; O’Donnell, A.; Bailey, M. Physiological and community responses of established grassland bacterial populations to water stress. Appl. Environ. Microbiol. 2004, 69, 6961–6968. [Google Scholar] [CrossRef] [PubMed]
- Enriquez, A.S.; Chimner, R.A.; Cremona, M.V. Long-term grazing negatively affects nitrogen dynamics in Northern Patagonian wet meadows. J. Arid Environ. 2014, 109, 1–5. [Google Scholar] [CrossRef]
- Elrys, A.S.; Ali, A.; Zhang, H.; Cheng, Y.; Zhang, J.; Cai, Z.-C.; Müller, C.; Chang, S.X. Patterns and drivers of global gross nitrogen mineralization in soils. Glob. Chang. Biol. 2021, 27, 5950–5962. [Google Scholar] [CrossRef]
- Li, Z.; Tian, D.; Wang, B.; Wang, J.; Wang, S.; Chen, H.Y.H.; Xu, X.; Wang, C.; He, N.; Niu, S. Microbes drive global soil nitrogen mineralization and availability. Glob. Chang. Biol. 2019, 25, 1078–1088. [Google Scholar] [CrossRef]
- Han, M.; Pan, Z.; Jin, Y.; Qin, J.; Li, J.; Wang, Z.; Han, G. Response of soil nitrogen mineralization to different stocking rates on the Stipa breviflora desert steppe. Acta Pratacul. Sin. 2017, 26, 27–35. [Google Scholar] [CrossRef]
- Zhu, H.; Wang, Y.; Wang, Y.; Xu, Q.; Du, Y. Effects of grazing intensity on soil nitrogen mineralization in different type of grasslands in China based on meta-analysis. Grassl. Turf 2021, 41, 80–86. [Google Scholar] [CrossRef]
- Ma, Y.; Yang, J.; Zhang, D.; Zhou, H.; Zhou, H.; Chen, J. Effects of alpine meadow degradation on soil microbial biomass and nitrogen mineralization rate in the Qilian Mountains. Acta Ecol. Sin. 2020, 40, 2680–2690. [Google Scholar] [CrossRef]
- Bardgett, R.D.; Wardle, D.A. Herbivore-mediated linkages between aboveground and belowground communities. Ecology 2003, 84, 2258–2268. [Google Scholar] [CrossRef]
- Ellis, S.; Howe, M.T.; Goulding, K.W.T.; Mugglestone, M.A.; Dendooven, L. Carbon and nitrogen dynamics in a grassland soil with varying pH: Effect of pH on the denitrification potential and dynamics of the reduction enzymes. Soil Biol. Biochem. 1998, 30, 359–367. [Google Scholar] [CrossRef]
- Patra, A.K.; Abbadie, L.; Clays-Josserand, A.; Degrange, V.; Grayston, S.J.; Loiseau, P.; Louault, F.; Mahmood, S.; Nazaret, S.; Philippot, L.; et al. Effects of grazing on microbial functional groups involved in soil N dynamics. Ecol. Monogr. 2005, 75, 65–80. [Google Scholar] [CrossRef]
- Yang, Q.; He, G.; Sun, H.; Du, G. The response of soil physico-chemical property and microbial biomass to grazing on Tibetan Plateau. J. Gansu Agric. Univ. 2013, 48, 76–81. [Google Scholar] [CrossRef]
- Yang, X.; Du, Y.; Shi, L.; Xie, Q.; Zhao, X. Effects of grazing on soil pH of grassland in northern China based on meta-analysis. Grassl. Turf 2021, 41, 125–130. [Google Scholar] [CrossRef]
- Wang, X.; Wu, Y.; Song, Y.; Huo, G.; Xu, Z.; Dao, R. Effects of grazing on soil physical, chemical and biological properties in the Stipa krylovii steppe of Inner Mongolia. J. Desert Res. 2015, 35, 1193–1199. [Google Scholar] [CrossRef]
- Pan, H.; Li, Y.; Guan, X.; Li, J.; Xu, X.; Liu, J.; Zhang, Q.; Xu, J.; Di, H. Management practices have a major impact on nitrifier and denitrifier communities in a semiarid grassland ecosystem. J. Soils Sediments 2016, 16, 896–908. [Google Scholar] [CrossRef]
- Kirk, G.J.D.; Bellamy, P.H.; Lark, R.M. Changes in soil pH across England and Wales in response to decreased acid deposition. Glob. Chang. Biol. 2010, 16, 3111–3119. [Google Scholar] [CrossRef]
- Egan, G.; Zhou, X.; Wang, D.; Jia, Z.; Crawley, M.; Fornara, D.A. Long-term effects of grazing, liming and nutrient fertilization on the nitrifying community of grassland soils. Soil Biol. Biochem. 2018, 118, 97–102. [Google Scholar] [CrossRef]
- Martens-Habbena, W.; Berube, P.M.; Urakawa, H.; de la Torre, J.R.; Stahl, D.A. Ammonia oxidation kinetics determine niche separation of nitrifying archaea and bacteria. Nature 2009, 461, 976–979. [Google Scholar] [CrossRef]
- Könneke, M.; Schubert Daniel, M.; Brown Philip, C.; Hügler, M.; Standfest, S.; Schwander, T.; Schada von Borzyskowski, L.; Erb Tobias, J.; Stahl David, A.; Berg Ivan, A. Ammonia-oxidizing archaea use the most energy-efficient aerobic pathway for CO2 fixation. Proc. Natl. Acad. Sci. USA 2014, 111, 8239–8244. [Google Scholar] [CrossRef]
- Schleper, C.; Nicol, G.W. Ammonia-oxidising archaea—Physiology, ecology and evolution. In Advances in Microbial Physiology; Poole, R.K., Ed.; Academic Press: Cambridge, MA, USA, 2010; Volume 57, pp. 1–41. [Google Scholar]
- Bai, Y.; Han, X.; Wu, J.; Chen, Z.; Li, L. Ecosystem stability and compensatory effects in the Inner Mongolia grassland. Nature 2004, 431, 181–184. [Google Scholar] [CrossRef]
- Bai, Y.; Wu, J.; Xing, Q.; Pan, Q.; Huang, J.; Yang, D.; Han, X. Primary production and rain use efficiency across a precipitation gradient on the Mongolia Plateau. Ecology 2008, 89, 2140–2153. [Google Scholar] [CrossRef]
- Seitzinger, S.; Harrison, J.A.; Böhlke, J.K.; Bouwman, A.F.; Lowrance, R.; Peterson, B.; Tobias, C.; Van Drecht, G. Denitrification across landscapes and waterscapes: A synthesis. Ecol. Appl. 2006, 16, 2064–2090. [Google Scholar] [CrossRef]
- Lin, Y.; Ding, W.; Liu, D.; He, T.; Yoo, G.; Yuan, J.; Chen, Z.; Fan, J. Wheat straw-derived biochar amendment stimulated N2O emissions from rice paddy soils by regulating the amoA genes of ammonia-oxidizing bacteria. Soil Biol. Biochem. 2017, 113, 89–98. [Google Scholar] [CrossRef]
- Morley, N.; Baggs, E.M. Carbon and oxygen controls on N2O and N2 production during nitrate reduction. Soil Biol. Biochem. 2010, 42, 1864–1871. [Google Scholar] [CrossRef]
- Luo, J.; White, R.E.; Roger Ball, P.; Tillman, R.W. Measuring denitrification activity in soils under pasture: Optimizing conditions for the short-term denitrification enzyme assay and effects of soil storage on denitrification activity. Soil Biol. Biochem. 1996, 28, 409–417. [Google Scholar] [CrossRef]
- Zhang, M.; Daraz, U.; Sun, Q.; Chen, P.; Wei, X. Denitrifier abundance and community composition linked to denitrification potential in river sediments. Environ. Sci. Pollut. Res. 2021, 28, 51928–51939. [Google Scholar] [CrossRef]
- Carey, C.J.; Dove, N.C.; Beman, J.M.; Hart, S.C.; Aronson, E.L. Meta-analysis reveals ammonia-oxidizing bacteria respond more strongly to nitrogen addition than ammonia-oxidizing archaea. Soil Biol. Biochem. 2016, 99, 158–166. [Google Scholar] [CrossRef]
- Xu, Y.; Yu, W.; Ma, Q.; Zhou, H. Responses of bacterial and archaeal ammonia oxidisers of an acidic luvisols soil to different nitrogen fertilization rates after 9 years. Biol. Fertil. Soils 2012, 48, 827–837. [Google Scholar] [CrossRef]
- Isobe, K.; Koba, K.; Suwa, Y.; Ikutani, J.; Fang, Y.; Yoh, M.; Mo, J.; Otsuka, S.; Senoo, K. High abundance of ammonia-oxidizing archaea in acidified subtropical forest soils in southern China after long-term N deposition. FEMS Microbiol. Ecol. 2012, 80, 193–203. [Google Scholar] [CrossRef]
- Kraft, B.; Jehmlich, N.; Larsen, M.; Bristow Laura, A.; Könneke, M.; Thamdrup, B.; Canfield Donald, E. Oxygen and nitrogen production by an ammonia-oxidizing archaeon. Science 2022, 375, 97–100. [Google Scholar] [CrossRef] [PubMed]
- Berg, C.; Vandieken, V.; Thamdrup, B.; Jürgens, K. Significance of archaeal nitrification in hypoxic waters of the Baltic Sea. ISME J. 2015, 9, 1319–1332. [Google Scholar] [CrossRef] [PubMed]
- Sollai, M.; Villanueva, L.; Hopmans, E.C.; Reichart, G.-J.; Sinninghe Damsté, J.S. A combined lipidomic and 16S rRNA gene amplicon sequencing approach reveals archaeal sources of intact polar lipids in the stratified Black Sea water column. Geobiology 2019, 17, 91–109. [Google Scholar] [CrossRef] [PubMed]
- Hallin, S.; Jones, C.M.; Schloter, M.; Philippot, L. Relationship between N-cycling communities and ecosystem functioning in a 50-year-old fertilization experiment. ISME J. 2009, 3, 597–605. [Google Scholar] [CrossRef]
- Dandie, C.E.; Wertz, S.; Leclair, C.L.; Goyer, C.; Burton, D.L.; Patten, C.L.; Zebarth, B.J.; Trevors, J.T. Abundance, diversity and functional gene expression of denitrifier communities in adjacent riparian and agricultural zones. FEMS Microbiol. Ecol. 2011, 77, 69–82. [Google Scholar] [CrossRef]
- Philippot, L.; Andert, J.; Jones, C.M.; Bru, D.; Hallin, S. Importance of denitrifiers lacking the genes encoding the nitrous oxide reductase for N2O emissions from soil. Glob. Chang. Biol. 2011, 17, 1497–1504. [Google Scholar] [CrossRef]
- Graham, E.B.; Knelman, J.E.; Schindlbacher, A.; Siciliano, S.; Breulmann, M.; Yannarell, A.; Beman, J.M.; Abell, G.; Philippot, L.; Prosser, J.; et al. Microbes as engines of ecosystem function: When does community structure enhance predictions of ecosystem processes? Front. Microbiol. 2016, 7, 214. [Google Scholar] [CrossRef]
- Zhang, Y.; Zhao, J.; Huang, X.; Cheng, Y.; Cai, Z.; Zhang, J.; Müller, C. Microbial pathways account for the pH effect on soil N2O production. Eur. J. Soil Biol. 2021, 106, 103337. [Google Scholar] [CrossRef]
- Liu, B.; Mørkved, P.T.; Frostegård, Å.; Bakken, L.R. Denitrification gene pools, transcription and kinetics of NO, N2O and N2 production as affected by soil pH. FEMS Microbiol. Ecol. 2010, 72, 407–417. [Google Scholar] [CrossRef]
- Philippot, L.; Uhel, J.; Saby, N.; Chèneby, D.; Chroň, A.; Bru, D.; Arrouays, D.; Martin-Laurent, F.; Simek, M. Mapping field-scale spatial patterns of size and activity of the denitrifier community. Environ. Microbiol. 2009, 11, 1518–1526. [Google Scholar] [CrossRef]
- Bowen, H.; Maul, J.E.; Cavigelli, M.A.; Yarwood, S. Denitrifier abundance and community composition linked to denitrification activity in an agricultural and wetland soil. Appl. Soil Ecol. 2020, 151, 103521. [Google Scholar] [CrossRef]
- Herold, M.; Giles, M.; Alexander, C.; Baggs, E.; Daniell, T. Variable response of nirK and nirS containing denitrifier communities to long term pH manipulation and cultivation. Fems Microbiol. Lett. 2018, 365, fny035. [Google Scholar] [CrossRef]
- Brenzinger, K.; Doersch, P.; Braker, G. pH-driven shifts in overall and transcriptionally active denitrifiers control gaseous product stoichiometry in growth experiments with extracted bacteria from soil. Front. Microbiol. 2015, 6, 961. [Google Scholar] [CrossRef] [PubMed]
- Francis, C.A.; Roberts, K.J.; Beman, J.M.; Santoro, A.E.; Oakley, B.B. Ubiquity and diversity of ammonia-oxidizing archaea in water columns and sediments of the ocean. Proc. Natl. Acad. Sci. USA 2005, 102, 14683–14688. [Google Scholar] [CrossRef] [PubMed]
- Rotthauwe, J.H.; Witzel, K.P.; Liesack, W. The ammonia monooxygenase structural gene amoA as a functional marker: Molecular fine-scale analysis of natural ammonia-oxidizing populations. Appl. Environ. Microbiol. 1997, 63, 4704–5712. [Google Scholar] [CrossRef] [PubMed]
- Throbäck, I.N.; Enwall, K.; Jarvis, Å.; Hallin, S. Reassessing PCR primers targeting nirS, nirK and nosZ genes for community surveys of denitrifying bacteria with DGGE. FEMS Microbiol. Ecol. 2004, 49, 401–417. [Google Scholar] [CrossRef]
- Hallin, S.; Lindgren, P.-E. PCR detection of genes encoding nitrite reductase in denitrifying bacteria. Appl. Environ. Microbiol. 1999, 65, 1652–1657. [Google Scholar] [CrossRef]
- Henry, S.; Texier, S.; Hallet, S.; Bru, D.; Dambreville, C.; Chèneby, D.; Bizouard, F.; Germon, J.C.; Philippot, L. Disentangling the rhizosphere effect on nitrate reducers and denitrifiers: Insight into the role of root exudates. Environ. Microbiol. 2008, 10, 3082–3092. [Google Scholar] [CrossRef]







| UG | LG | MG | HG | |
|---|---|---|---|---|
| SM (%) | 19.98 ± 2.8c | 26.93 ± 3.44b | 31.29 ± 2.17ab | 33.44 ± 2.91a |
| pH | 5.89 ± 0.1a | 5.85 ± 0.07a | 5.89 ± 0.09a | 5.84 ± 0.06a |
| TN (g/kg) | 3.72 ± 0.39a | 4.1 ± 0.13a | 4.14 ± 0.02a | 4.15 ± 0.35a |
| TC (g/kg) | 37.64 ± 5.44a | 42.62 ± 0.72a | 42.36 ± 0.83a | 42.35 ± 3.24a |
| TON (g/kg) | 3.56 ± 0.44a | 3.75 ± 0.07a | 3.78 ± 0.17a | 4.04 ± 0.25a |
| SOC (g/kg) | 35.34 ± 5.7a | 44.03 ± 7.46a | 39.37 ± 3.42a | 40.38 ± 3.43a |
| TC/TN | 10.09 ± 0.39a | 10.58 ± 0.21a | 10.4 ± 0.38a | 10.37 ± 0.32a |
| DOC (mg/kg) | 51.32 ± 5.28a | 44.36 ± 5.04a | 42.43 ± 6.52a | 47.41 ± 2.59a |
| NH4+-N (mg/kg) | 14.24 ± 3.58a | 11.21 ± 0.84a | 8.9 ± 2.95ab | 5.3 ± 3.04b |
| NO3−-N (mg/kg) | 6.12 ± 1.92a | 5.63 ± 3.31a | 8.21 ± 3.76a | 10.36 ± 3.01a |
| Factor (n = 63) | Standardized Beta | p | ss% | |
|---|---|---|---|---|
| PNA | AOA | 1.22 | <0.001 | 45.4 |
| NH4+-N | −0.63 | <0.001 | 9.6 | |
| Total explained | 55.0 | |||
| PDA | pH | 0.97 | <0.001 | 94.3 |
| Total explained | 94.3 |
Publisher’s Note: MDPI stays neutral with regard to jurisdictional claims in published maps and institutional affiliations. |
© 2022 by the authors. Licensee MDPI, Basel, Switzerland. This article is an open access article distributed under the terms and conditions of the Creative Commons Attribution (CC BY) license (https://creativecommons.org/licenses/by/4.0/).
Share and Cite
Dong, J.; Tian, L.; Zhang, J.; Liu, Y.; Li, H.; Dong, Q. Grazing Intensity Has More Effect on the Potential Nitrification Activity Than the Potential Denitrification Activity in An Alpine Meadow. Agriculture 2022, 12, 1521. https://doi.org/10.3390/agriculture12101521
Dong J, Tian L, Zhang J, Liu Y, Li H, Dong Q. Grazing Intensity Has More Effect on the Potential Nitrification Activity Than the Potential Denitrification Activity in An Alpine Meadow. Agriculture. 2022; 12(10):1521. https://doi.org/10.3390/agriculture12101521
Chicago/Turabian StyleDong, Jingyi, Liming Tian, Jiaqi Zhang, Yinghui Liu, Haiyan Li, and Qi Dong. 2022. "Grazing Intensity Has More Effect on the Potential Nitrification Activity Than the Potential Denitrification Activity in An Alpine Meadow" Agriculture 12, no. 10: 1521. https://doi.org/10.3390/agriculture12101521
APA StyleDong, J., Tian, L., Zhang, J., Liu, Y., Li, H., & Dong, Q. (2022). Grazing Intensity Has More Effect on the Potential Nitrification Activity Than the Potential Denitrification Activity in An Alpine Meadow. Agriculture, 12(10), 1521. https://doi.org/10.3390/agriculture12101521

