Effect of Irrigation and Nitrogen Topdressing at Different Leaf Ages on the Length and Growth of Wheat Leaves, Leaf Sheaths, and Internodes
Abstract
1. Introduction
2. Materials and Methods
2.1. Experimental Site
2.2. Experimental Design
2.3. Sampling and Measurement
2.3.1. Organ Length
2.3.2. Monitoring and Analysis of the Organ Growth Process
2.3.3. Soil Surface Temperature
2.4. Statistical Analyses
3. Results
3.1. Effect of Timing of Irrigation and N Topdressing on the Length and Growth of the Leaf
3.1.1. Leaf Length
3.1.2. The Growth of the Leaf
3.2. Effect of Timing of Irrigation and N Topdressing on the Length and Development of the Leaf Sheath
3.2.1. Leaf Sheath Length
3.2.2. The Growth of the Leaf Sheath
3.3. Effect of Timing of Irrigation and N Topdressing on the Length and Growth of Internodes
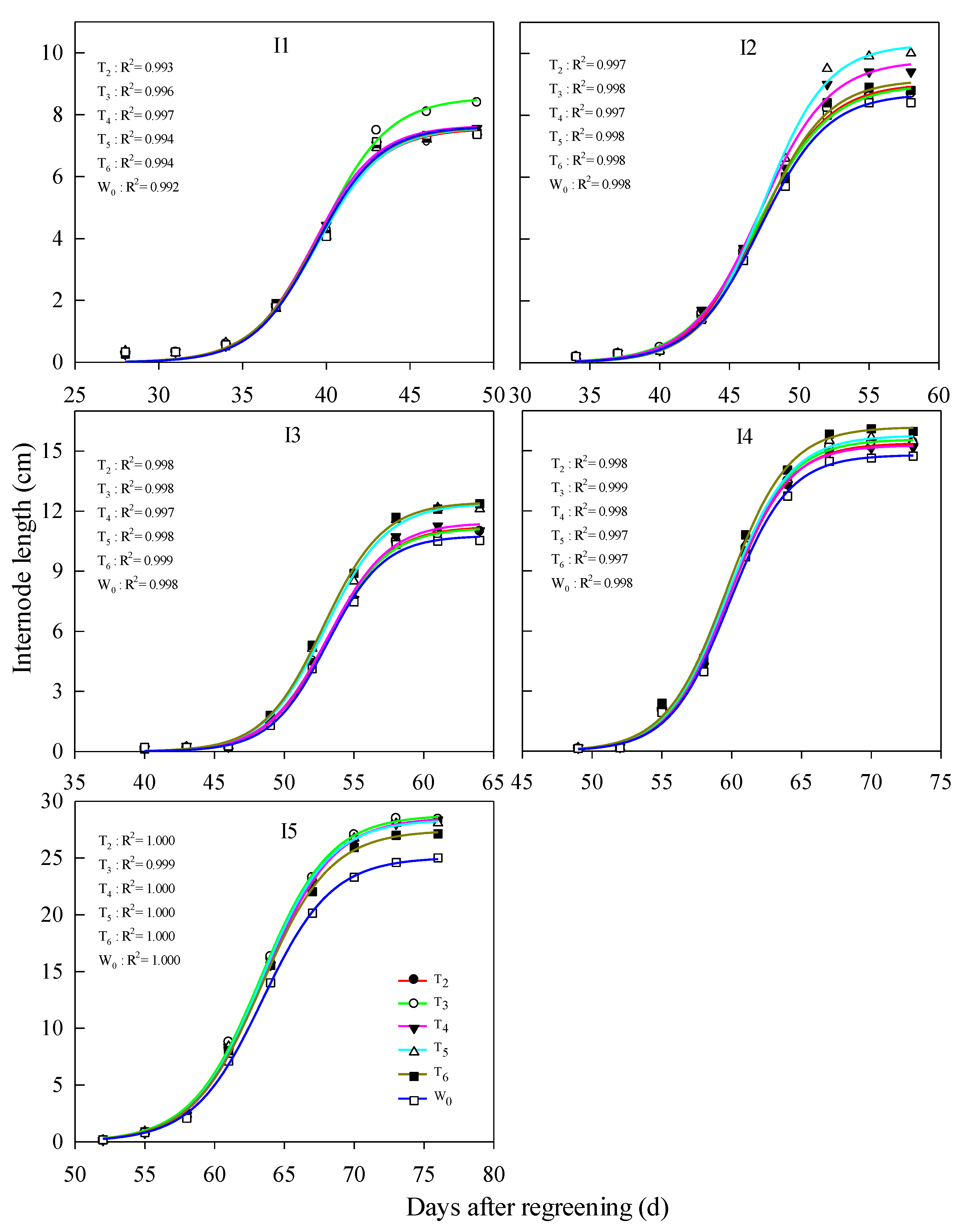
3.3.1. Internode Length
3.3.2. The Growth of the Internodes
3.4. Effect of Timing of Irrigation and N Topdressing on Leaf Auricular Spacing
3.5. Effect of Irrigation and N Topdressing at Different Growth Stages of Each Organ
4. Discussion
4.1. Effect of Irrigation and N Topdressing at Different Leaf Ages on the Leaf, the Leaf Sheath, and the Internode
4.2. Effect of Irrigation and N Topdressing at Different Leaf Ages on the Growth of the Leaf, Leaf Sheath, and Internode
4.3. The Effect of Irrigation and N Topdressing at Different Growth Stages of an Organ on Its Length
4.4. Interaction Effect between Irrigation and N Topdressing Period and Years
5. Conclusions
Author Contributions
Funding
Institutional Review Board Statement
Data Availability Statement
Acknowledgments
Conflicts of Interest
Abbreviations
| GIP | the gradual incremental phase |
| RIP | the rapid incremental phase |
| SIP | the slow incremental phase |
| TIP | the total incremental phase |
| L2, L3, L4, L5, L6, Ln | the 2nd, 3rd, 4th, 5th, 6th, nth spring leaf |
| S2, S3, S4, S5, S6, Sn | the 2nd, 3rd, 4th, 5th, 6th, nth spring leaf sheath |
| I1, I2, I3, I4, I5, In | the 1st, 2nd, 3rd, 4th, 5th, nth internode |
| L3–L4, L4–L5, L5–L6 | the spacing from the 3rd leaf auricle to the 4th leaf auricle, from the 4th leaf auricle to the 5th leaf auricle, and from the 5th leaf auricle to the 6th leaf auricle |
References
- Liu, Y.; Yang, M.; Yao, C.S.; Zhou, X.N.; Li, W.; Zhang, Z.; Gao, Y.M.; Sun, Z.C.; Zhang, Z.M.; Zhang, Y.H. Optimum water and nitrogen management increases grain yield and resource use efficiency by optimizing canopy structure in wheat. Agronomy 2021, 11, 441. [Google Scholar] [CrossRef]
- Zheng, J.C.; Hong, Z.; Jie, Y.; Zhan, Q.W.; Yang, W.Y.; Xu, F.; Wang, G.J.; Liu, T.; Li, J.C. Late sowing and nitrogen application to optimize canopy structure and grain yield of bread wheat in a fluctuating climate. Turk. J. Field Crops 2021, 26, 170–179. [Google Scholar] [CrossRef]
- Hawkesford, M.J.; Araus, J.L.; Park, R.; Calderini, D.; Miralles, D.; Shen, T.M.; Zhang, J.P.; Parry, M.A.J. Prospects of doubling global wheat yields. Food Energy Secur. 2013, 2, 34–48. [Google Scholar] [CrossRef]
- Li, R.F.; Zhang, G.Q.; Liu, G.Z.; Wang, K.; Xie, R.Z.; Hou, P.; Ming, B.; Wang, Z.G.; Li, S.K. Improving the yield potential in maize by constructing the ideal plant type and optimizing the maize canopy structure. Food Energy Secur. 2021, 10, e312. [Google Scholar] [CrossRef]
- Liu, Z.Y.; Yu, J.C.; Jiang, H.M.; Xin, Q.G.; Liu, K.N.; Zhao, M. A discussion on ideal plant type of wheat. Chin. Agric. Sci. Bull. 2010, 26, 137–141, (In Chinese with English Abstract). [Google Scholar]
- Chen, W.; Zhang, J.J.; Deng, X.P. The spike weight contribution of the photosynthetic area above the upper internode in a winter wheat under different nitrogen and mulching regimes. Crop J. 2019, 7, 89–100. [Google Scholar] [CrossRef]
- Henry, R.J.; Furtado, A.; Rangan, P. Pathways of Photosynthesis in Non-Leaf Tissues. Biology 2020, 9, 438. [Google Scholar] [CrossRef]
- Ma, J.L.; Fang, B.T.; Qiao, Y.W.; Li, C.X.; Wang, Z.M.; Hao, B.Z.; Jiang, L.N. Effect of lower nitrogen application an canopy structure and photosynthesis of winter wheat grown under limited irrigation in northern henan province. J. Triticeae Crops 2019, 39, 346–355, (In Chinese with English Abstract). [Google Scholar]
- Zhan, D.X.; Zhang, C.; Yang, Y.; Luo, H.H.; Zhang, Y.L.; Zhang, W.F. Water deficit alters cotton canopy structure and increases photosynthesis in the mid-canopy layer. Agron. J. 2015, 107, 1947–1957. [Google Scholar] [CrossRef]
- Liu, S.Q.; Wang, Y.; Song, F.B.; Qi, X.N.; Li, X.N.; Zhu, X.C. Responses of leaf architecture traits and yield in maize to different row orientation and planting patterns in Northeast China. Rom. Agric. Res. 2017, 34, 1–12. [Google Scholar]
- Zhao, H.X.; Zhang, P.; Wang, Y.Y.; Ning, T.Y.; Xu, C.L.; Wang, P. Canopy morphological changes and water use efficiency in winter wheat under different irrigation treatments. J. Integr. Agric. 2020, 19, 1105–1116. [Google Scholar] [CrossRef]
- Gao, Y.M.; Zhang, M.; Yao, C.S.; Liu, Y.Q.; Wang, Z.M. Increasing seeding density under limited irrigation improves crop yield and water productivity of winter wheat by constructing a reasonable population architecture. Agric. Water Manag. 2021, 253, 106951. [Google Scholar] [CrossRef]
- Li, Z.Y.; Guo, Y.X.; Wang, P.; Zhai, Z.X.; Marion, B.Z. A comparative study of canopy structures of winter wheat under different models of irrigation and n fertilization. J. Triticeae Crops 2007, 27, 1085–1088, (In Chinese with English Abstract). [Google Scholar]
- Xu, C.L.; Tao, H.B.; Tian, B.J.; Gao, Y.B.; Ren, J.H.; Wang, P. Limited-irrigation improves water use efficiency and soil reservoir capacity through regulating root and canopy growth of winter wheat. Field Crops Res. 2016, 196, 268–275. [Google Scholar] [CrossRef]
- Miller, T.D. Growth stages of wheat: Identification and understanding improve crop management. Better Crops Plant Food. Potash Phosphate Inst. 1992, 76, 12. [Google Scholar]
- Zhang, Y.P.; Zhang, Y.H.; Wang, Z.M.; Wang, Z.J. Characteristics of canopy structure and contributions of non-leaf organs to yield in winter wheat under different irrigated conditions. Field Crops Res. 2011, 123, 187–195. [Google Scholar] [CrossRef]
- Xu, X.X.; Zhang, Y.H.; Li, J.P.; Zhang, M.; Zhou, X.N.; Zhou, S.L.; Wang, Z.M. Optimizing single irrigation scheme to improve water use efficiency by manipulating winter wheat sink-source relationships in Northern China Plain. PLoS ONE 2018, 13, e0193895. [Google Scholar] [CrossRef]
- Tian, Z.W.; Liu, X.X.; Gu, S.L.; Yu, J.H.; Zhang, L.; Zhang, W.W.; Jiang, D.; Gao, W.X.; Dai, T.B. Postponed and reduced basal nitrogen application improves nitrogen use efficiency and plant growth of winter wheat. J. Integr. Agric. 2018, 17, 2648–2661. [Google Scholar] [CrossRef]
- Sloane, D.H.G.; Gill, G.S.; Mcdonald, G.K. The impact of agronomic manipulation of early vigour in wheat on growth and yield in South Australia. Aust. J. Agric. Res. 2004, 55, 645–654. [Google Scholar] [CrossRef]
- Zhao, H.J.; Zou, Q.; Guo, T.C.; Yu, Z.W.; Wang, Y.H. Regulating effects of density and top-dressing time of nitrogen on characteristics of radiation transmission and photosynthesis in canopy of massive-spike winter wheat variety L906. Acta Agron. Sin. 2002, 28, 270–277, (In Chinese with English Abstract). [Google Scholar]
- Aisikaer, W.S.R.; Maimaiti, T.R.X.; Ayiguli. Effects of different topdressing periods on winter wheat yield. Xinjiang Agric. Sci. 2007, 44, 50–51, (In Chinese with English Abstract). [Google Scholar]
- Huang, S.B.; Xu, L.N.; Tao, H.B.; Dong, Z.Q.; Wang, P. Effect of plant type regulation on canopy structure and physiology of summer maize. J. China Agric. Univ. 2012, 17, 40–45, (In Chinese with English Abstract). [Google Scholar]
- Yang, R.; Huang, G.B. Canopy architecture characteristics of spring wheat under controlled traffic tillage with mulching in ridge. Acta Agron. Sin. 2010, 36, 163–169, (In Chinese with English Abstract). [Google Scholar] [CrossRef]
- Lu, C.G.; Hu, N.; Yao, K.M.; Xia, S.J.; Qi, Q.M. Plant type and its effects on canopy structure at heading stage in various ecological areas for a two-line hybrid rice combination, Liang you pei jiu. Chin. J. Rice Sci. 2009, 23, 529–536, (In Chinese with English Abstract). [Google Scholar] [CrossRef]
- Zhou, J.H.; Mao, S.S.; Meng, F.Y.; Man, J.; Tong, G.X.; Liu, G.M.; Luo, J.; Xie, C.Y. Effect of irrigation and nitrogen topdressing in spring of wheat in Beijing suburb. J. Triticeae Crops. 2021, 41, 1548–1555, (In Chinese with English Abstract). [Google Scholar]
- Zhang, X.; Li, H.R.; Bu, D.N.; Li, R.Q.; Li, Y.M. Effect of spring application of nitrogen and paclobutrazol on growth and development and yield of winter wheat. J. Triticeae Crops. 2017, 37, 769–776, (In Chinese with English Abstract). [Google Scholar]
- Ma, S.C.; Duan, A.W.; Ma, S.T.; Yang, S.J. Effect of early-stage regulated deficit irrigation on stem lodging resistance, leaf photosynthesis, root respiration and yield stability of winter wheat under post-anthesis water stress conditions. Irrig. Drain. 2016, 65, 673–681. [Google Scholar] [CrossRef]
- Zhang, J.; Dai, Q.G.; Zhang, H.C.; Xu, K.; Huo, Z.Y. Effects of nitrogen topdressing canopy stage on population quality and quality of medium gluten wheat. Jiangsu Agric. Sci. 2003, 5, 34–36+75, (In Chinese with English Abstract). [Google Scholar]
- Yu, Z.W. Crop Cultivation: North of China, 2nd ed.; China Agriculture Press: Beijing, China, 2013. (In Chinese) [Google Scholar]
- Zhu, B.T.; Duan, S.G. Effects of fertilization at different leaf stages on organ growth and development of barley. J. Shanghai Agric. Sci. Technol. 1982, 6, 6–8, (In Chinese with English Abstract). [Google Scholar]
- Zhang, J.X.; Liu, X.S.; Zhu, D.H.; Fang, C.L.; Li, H.X.; Chen, Q.S.; Luo, Y.Q. Studies on the “cultivating method according to leaf remainder index” of winter wheat. Sci. Agric. Sin. 1981, 14, 1–13, (In Chinese with English Abstract). [Google Scholar]
- Zhu, D.H.; Li, H.X.; Chen, Q.S.; Zhang, J.X.; Liu, X.S.; Gao, X.Y.; Luo, Y.Q.; Wang, L.; Zheng, B.H. Effect of topdressing and watering at different leaf ages on organogenesis of wheat in spring. Liaoning Agric. Sci. 1979, 2, 1–14, (In Chinese with English Abstract). [Google Scholar]
- Yang, S.Z.; Li, R.J.; Liu, J.Y.; Wang, W.P.; Han, J.L. The effect of topdressing nitrogen and irrigation on plant traits and yield of winter wheat. Chin. Agric. Sci. Bull. 2014, 30, 227–232, (In Chinese with English Abstract). [Google Scholar]
- Wang, X. Regulation of water and fertilizer in winter wheat from regreening to jointing. J. Mod. Agric. Sci. Technol. 2011, 9, 43+45, (In Chinese with English Abstract). [Google Scholar]
- Lv, T.; Wang, H.G.; Li, D.X.; Li, H.R.; Li, R.Q.; Li, Y.M. Effect of nitrogen topdressing at different spring leaf age on the yield formation and lodging resistance of winter wheat. J. Triticeae Crops. 2018, 38, 825–833, (In Chinese with English Abstract). [Google Scholar]
- Nakamura, S.; Goto, Y.; Hoshikawa, K. Analysis of yield production process in sweet sorghum (Sorghum bicolor Moench): I. elongation patterns of leaf blade, leaf sheath and elongated internode. Jpn. J. Crop Sci. 1995, 64, 43–49. [Google Scholar] [CrossRef]
- Jiang, T.C.; Dou, Z.H.; Liu, J.; Gao, Y.J.; Malone, R.W.; Chen, S.; Feng, H.; Yu, Q.; Xue, G.N.; He, J.Q. Simulating the influences of soil water stress on leaf expansion and senescence of winter wheat. Agric. For. Meteorol. 2020, 291, 108061. [Google Scholar] [CrossRef]
- Dornbusch, T.; Baccar, R.; Watt, J.; Hillier, J.; Bertheloot, J.; Fournier, C.; Andrieu, B. Plasticity of winter wheat modulated by sowing date, plant population density and nitrogen fertilisation: Dimensions and size of leaf blades, sheaths and internodes in relation to their position on a stem. Field Crops Res. 2011, 121, 116–124. [Google Scholar] [CrossRef]
- Fournier, C.; Andrieu, B.; Ljutovac, S.; Jean, S.S. ADEL-Wheat: A 3D Architectural Model of Wheat Development; INRA, UMR Environnement et Grandes Cultures, 78850 Thiverval-Grignon: Île-de-France, France, 2003. [Google Scholar]
- Fournier, C.; Andrieu, B. Dynamics of the elongation of internodes in maize (Zea mays L.): Analysis of phases of elongation and their relationships to phytomer development. Ann. Bot. 2000, 86, 551–563. [Google Scholar] [CrossRef]
- Zhu, J.Q.; Andrieu, B.; Vos, J.; Werf, W.V.D.; Fournier, C.; Evers, J.B. Towards modelling the flexible timing of shoot development: Simulation of maize organogenesis based on coordination within and between phytomers. Ann. Bot. 2014, 114, 753–762. [Google Scholar] [CrossRef][Green Version]
- Li, G.Q. Plant Type Characteristics in Wheat and Its Nitrogen Regulation Approach. Ph.D. Dissertation, Nanjing Agricultural University, Nanjing, China, 2011. (In Chinese with English Abstract). [Google Scholar]
- Xue, S.; Han, D.Q.; Yu, Y.J.; Steinberger, Y.; Han, L.P.; Xie, G.H. Dynamics in elongation and dry weight of internodes in sweet sorghum plants. Field Crops Res. 2012, 126, 37–44. [Google Scholar] [CrossRef]
- Chen, G.Q.; Zhu, Y.; Cao, W.X. Modeling leaf growth dynamics in winter wheat. Acta Agron. Sin. 2005, 31, 1524–1527, (In Chinese with English Abstract). [Google Scholar]
- Tan, Z.H. Studies on Simulation of Morphologial Development in Wheat Plant. Master’s Thesis, Nanjing Agricultural University, Nanjing, China, 2006. (In Chinese with English Abstract). [Google Scholar]
- Chen, G.Q.; Zhu, Y.; Cao, W.X. Modeling leaf sheath and internode growth dynamics in wheat. J. Triticeae Crops. 2005, 35, 71–74, (In Chinese with English Abstract). [Google Scholar]
- He, J.N.; Yu, S.; Cao, C.Y.; Zhao, J.Y.; Yu, Z.W. Strip rotary tillage with subsoiling increases winter wheat yield by alleviating leaf senescence and increasing grain filling. Crop J. 2020, 29, 327–340. [Google Scholar] [CrossRef]
- Wang, L.Q.; Yu, X.F.; Gao, J.L.; Ma, D.L.; Li, L.; Hu, S.P. Regulation of subsoiling tillage on the grain filling characteristics of maize varieties from different eras. Sci. Rep. 2021, 11, 20430. [Google Scholar] [CrossRef]
- Zou, Y.F.; Saddiqueao, Q.; Dong, W.J.; Zhao, Y.; Zhang, X.; Liu, J.C.; Ding, D.Y.; Feng, H.; Wendroth, O.; Siddique, K.H.M. Quantifying the compensatory effect of increased soil temperature under plastic film mulching on crop growing degree days in a wheat–maize rotation system. Field Crops Res. 2021, 260, 107993. [Google Scholar] [CrossRef]
- Tao, Z.Q.; Li, C.F.; Li, J.J.; Ding, Z.S.; Xu, J.; Sun, X.F.; Zhou, P.L.; Zhao, M. Tillage and straw mulching impacts on grain yield and water use efficiency of spring maize in Northern Huang–Huai–Hai Valley. Crop J. 2015, 3, 445–450. [Google Scholar] [CrossRef]
- Zhao, H.X.; Qin, J.H.; Gao, T.P.; Zhang, M.K.; Sun, H.C.; Zhu, S.W.; Xu, C.L.; Ning, T.Y. Immediate and long-term effects of tillage practices with crop residue on soil water and organic carbon storage changes under a wheat-maize cropping system. Soil Tillage Res. 2022, 218, 105309. [Google Scholar] [CrossRef]
- Voorend, W.; Lootens, P.; Nelissen, H.; Ruiz, I.R.; Inzé, D.; Muylle, H. LEAF-E: A tool to analyze grass leaf growth using function fitting. Plant Methods 2014, 10, 37–49. [Google Scholar] [CrossRef]
- Zhou, X.B.; Hu, Y.X.; Wang, G.Y.; Wu, H.Y. Irrigation schedules and planting modes impact on farmland microclimate and dry matter accumulation of winter wheat. J. Anim Plant Sci. 2021, 31, 1078–1086. [Google Scholar]
- Hou, T.C. Effect of Jointing and Booting Low Temperature stress on the Morphology of Wheat. Master’s Thesis, Nanjing Agricultural University, Nanjing, China, 2017. (In Chinese with English Abstract). [Google Scholar]
- Chen, S.Y.; Zhang, X.Y.; Pei, D.; Sun, H.Y.; Chen, S.L. Effects of straw mulching on soil temperature, evaporation and yield of winter wheat: Field experiments on the North China Plain. Ann. Appl. Biol. 2010, 150, 261–268. [Google Scholar] [CrossRef]
- Dong, Z.; Wang, S. Introduction to Crop Production, 3rd ed.; China Agriculture Press: Beijing, China, 2018. (In Chinese) [Google Scholar]
- Mo, J.R. Crop Physiology-Lesson 17 Growth and Development of Crops (I). J. Guangxi Agric. Sci. 1982, 7, 46–49, (In Chinese with English Abstract). [Google Scholar]
- Li, Y.B.; Hou, R.X.; Tao, F.L. Interactive effects of different warming levels and tillage managements on winter wheat growth, physiological processes, grain yield and quality in the North China Plain. Agric. Ecosyst. Environ. 2020, 295, 106923. [Google Scholar] [CrossRef]










| Growing Season | Variety | Regreening | T2 | T3 | T4 | T5 | T6 | Anthesis |
|---|---|---|---|---|---|---|---|---|
| 2012–2013 | Shimai18 | 27/2 | 18/3 | 30/3 | 8/4 | 15/4 | 23/4 | 13/5 |
| 2013–2014 | Shixin828 | 25/2 | 17/3 | 25/3 | 31/3 | 6/4 | 11/4 | 2/5 |
| 2018–2019 | Gaoyou2018 | 23/2 | — | 22/3 | 30/3 | 7/4 | 13/4 | 10/5 |
| 2019–2020 | Gaoyou2018 | 25/2 | — | 20/3 | 26/3 | 1/4 | 11/4 | 2/5 |
| 2020–2021 | Gaoyou2018 | 20/2 | 3/3 | 16/3 | 27/3 | 4/4 | 9/4 | 5/5 |
| Organs | Treatments | Years | Years × Treatments |
|---|---|---|---|
| L2 | NS | ** | * |
| L3 | ** | ** | NS |
| L4 | ** | ** | ** |
| L5 | ** | ** | ** |
| L6 | ** | ** | * |
| S2 | NS | ** | NS |
| S3 | NS | ** | NS |
| S4 | ** | ** | ** |
| S5 | ** | ** | ** |
| S6 | ** | ** | NS |
| I1 | ** | ** | NS |
| I2 | ** | ** | NS |
| I3 | ** | ** | * |
| I4 | ** | ** | ** |
| I5 | ** | ** | NS |
| L3–L4 | ** | ** | ** |
| L4–L5 | ** | ** | NS |
| L5–L6 | ** | ** | * |
| Leaf | Treatment | The End Time of Each Phase (d) | Duration of Each Phase (d) | Growth Rate of Each Phase (cm/d) | |||||||
|---|---|---|---|---|---|---|---|---|---|---|---|
| GIP | RIP | SIP | GIP | RIP | SIP | TIP | GIP | RIP | SIP | ||
| L3 | T2 | 18.36a | 26.47a | 36.57a | 14.36a | 8.11a | 10.10a | 32.57a | 0.31a | 1.48b | 0.41b |
| T3 | 18.39a | 25.95b | 35.36b | 14.39a | 7.56b | 9.41b | 31.37b | 0.30a | 1.57a | 0.44a | |
| T4/T5/T6/W0 | 18.15a | 25.03c | 33.58c | 14.15a | 6.88c | 8.56c | 29.58c | 0.28b | 1.59a | 0.44a | |
| L4 | T2 | 27.46a | 35.35a | 45.17a | 14.46a | 7.89a | 9.82a | 32.17a | 0.36a | 1.83a | 0.51a |
| T3 | 27.35a | 34.96a | 44.43ab | 14.35a | 7.60a | 9.47a | 31.43ab | 0.35b | 1.80a | 0.50a | |
| T4 | 26.23b | 33.99b | 43.67b | 13.23b | 7.77a | 9.67a | 30.67b | 0.34bc | 1.58b | 0.45b | |
| T5/T6/W0 | 25.48c | 32.94c | 42.23c | 12.48c | 7.46a | 9.29a | 29.23c | 0.33c | 1.49b | 0.42b | |
| L5 | T2 | 37.31a | 43.44a | 51.07a | 15.31a | 6.13b | 7.63b | 29.07a | 0.33a | 2.24a | 0.63a |
| T3 | 36.77b | 43.04a | 50.86a | 14.77b | 6.28b | 7.82b | 28.86a | 0.34a | 2.17a | 0.61a | |
| T4 | 35.34c | 42.30b | 50.94a | 13.34c | 6.95a | 8.65a | 28.94a | 0.32b | 1.69b | 0.48b | |
| T5 | 34.68d | 41.04c | 48.96b | 12.68d | 6.36b | 7.92b | 26.96b | 0.29c | 1.58b | 0.44b | |
| T6/W0 | 34.65d | 40.56c | 47.91b | 12.65d | 5.91b | 7.35b | 25.91b | 0.28d | 1.65b | 0.46b | |
| L6 | T2 | 43.52a | 49.53a | 57.01a | 18.52a | 6.01b | 7.48b | 32.01a | 0.21a | 1.80a | 0.51a |
| T3 | 43.37a | 49.33a | 56.74a | 18.37a | 5.96b | 7.41b | 31.74a | 0.21a | 1.78ab | 0.50ab | |
| T4 | 42.85a | 49.11a | 56.91a | 17.85a | 6.26b | 7.79b | 31.91a | 0.22a | 1.70ab | 0.48ab | |
| T5 | 40.49b | 47.61b | 56.46a | 15.49b | 7.11a | 8.86a | 31.46a | 0.20a | 1.23c | 0.34c | |
| T6 | 40.46b | 46.65bc | 54.36b | 15.46b | 6.20b | 7.71b | 29.36b | 0.20a | 1.32bc | 0.37bc | |
| W0 | 39.22b | 45.35c | 52.97b | 14.22b | 6.13b | 7.63b | 27.97b | 0.19a | 1.59abc | 0.45abc | |
| Leaf Sheath | Treatment | The End Time of Each Phase (d) | Duration of Each Phase (d) | Growth Rate of Each Phase (cm/d) | |||||||
|---|---|---|---|---|---|---|---|---|---|---|---|
| GIP | RIP | SIP | GIP | RIP | SIP | TIP | GIP | RIP | SIP | ||
| S3 | T2 | 28.47a | 33.76a | 40.33a | 12.47a | 5.28b | 6.57b | 24.33a | 0.23b | 1.47a | 0.41a |
| T3 | 27.48b | 33.65a | 41.32a | 11.48b | 6.16a | 7.67a | 25.32a | 0.24ab | 1.21b | 0.34b | |
| T4 | 27.37b | 33.59a | 41.34a | 11.37b | 6.22a | 7.74a | 25.34a | 0.24ab | 1.19b | 0.33b | |
| T5/T6/W0 | 27.32b | 33.70a | 41.63a | 11.32b | 6.37a | 7.93a | 25.63a | 0.24a | 1.17b | 0.32b | |
| S4 | T2 | 37.12a | 42.43a | 49.03a | 12.12a | 5.31a | 6.60a | 24.03a | 0.23ab | 1.47a | 0.41a |
| T3 | 36.58b | 42.07ab | 48.91a | 11.58b | 5.49a | 6.84a | 23.91a | 0.25a | 1.43a | 0.40a | |
| T4 | 36.25b | 41.95ab | 49.04a | 11.25b | 5.70a | 7.09a | 24.04a | 0.25a | 1.33a | 0.37a | |
| T5 | 36.25b | 41.81ab | 48.72a | 11.25b | 5.55a | 6.91a | 23.72a | 0.24ab | 1.35a | 0.38a | |
| T6/W0 | 36.17b | 41.31b | 47.70a | 11.17b | 5.14a | 6.40a | 22.70a | 0.23b | 1.36a | 0.38a | |
| S5 | T2 | 44.47a | 49.33ab | 55.38a | 10.47a | 4.86c | 6.05c | 21.38a | 0.31b | 1.79a | 0.50a |
| T3 | 44.39a | 48.94bc | 54.60a | 10.39a | 4.55c | 5.66c | 20.60a | 0.31b | 1.96a | 0.55a | |
| T4 | 44.52a | 49.53a | 55.76a | 10.52a | 5.00bc | 6.23bc | 21.76a | 0.32ab | 1.86a | 0.52a | |
| T5 | 42.82b | 48.61cd | 55.82a | 8.82b | 5.79a | 7.21a | 21.82a | 0.34a | 1.41b | 0.39b | |
| T6 | 42.73b | 48.31d | 55.27a | 8.73b | 5.59ab | 6.95ab | 21.27a | 0.34a | 1.45b | 0.40b | |
| W0 | 42.80b | 48.42cd | 55.42a | 8.80b | 5.61ab | 6.99ab | 21.42a | 0.33a | 1.43b | 0.40b | |
| S6 | T2 | 49.64b | 56.29a | 64.57a | 9.65b | 6.65ab | 8.27ab | 24.57a | 0.39c | 1.54b | 0.43c |
| T3 | 50.05a | 55.85a | 63.07ab | 10.05a | 5.80c | 7.22c | 23.07ab | 0.37d | 1.73a | 0.49a | |
| T4 | 50.03a | 56.13a | 63.71ab | 10.03a | 6.09bc | 7.59bc | 23.71ab | 0.38cd | 1.70a | 0.48ab | |
| T5 | 49.43b | 56.10a | 64.40ab | 9.43b | 6.67ab | 8.30ab | 24.40ab | 0.41b | 1.60ab | 0.45bc | |
| T6 | 48.02c | 55.09b | 63.88ab | 8.02c | 7.06a | 8.79a | 23.88ab | 0.45a | 1.40c | 0.39d | |
| W0 | 47.60d | 54.41b | 62.89b | 7.60d | 6.81ab | 8.48ab | 22.89b | 0.44a | 1.35c | 0.38d | |
| Inter -node | Treatment | The End Time of Each Phase (d) | Duration of Each Phase (d) | Growth Rate of Each Phase (cm/d) | |||||||
|---|---|---|---|---|---|---|---|---|---|---|---|
| GIP | RIP | SIP | GIP | RIP | SIP | TIP | GIP | RIP | SIP | ||
| I1 | T2 | 36.76a | 41.96a | 48.44a | 8.76a | 5.20a | 6.48a | 20.44a | 0.18b | 0.84a | 0.24a |
| T3 | 37.12a | 42.34a | 48.84a | 9.12a | 5.22a | 6.50a | 20.84a | 0.20a | 0.95a | 0.27a | |
| T4 | 36.76a | 41.74a | 47.95a | 8.76a | 4.98a | 6.20a | 19.95a | 0.19b | 0.90a | 0.25a | |
| T5 | 36.88a | 41.98a | 48.34a | 8.88a | 5.11a | 6.36a | 20.34a | 0.18b | 0.86a | 0.24a | |
| T6 | 36.76a | 41.92a | 48.34a | 8.76a | 5.16a | 6.42a | 20.34a | 0.18b | 0.85a | 0.24a | |
| W0 | 36.92a | 41.93a | 48.16a | 8.92a | 5.01a | 6.23a | 20.16a | 0.18b | 0.89a | 0.25a | |
| I2 | T2 | 43.83bc | 50.29a | 58.32a | 9.83bc | 6.45a | 8.03a | 24.32a | 0.19b | 0.80bc | 0.22bc |
| T3 | 43.74c | 50.22a | 58.27a | 9.74c | 6.47a | 8.05a | 24.27a | 0.19b | 0.80bc | 0.23bc | |
| T4 | 43.97bc | 50.50a | 58.63a | 9.97bc | 6.53a | 8.13a | 24.63a | 0.21a | 0.88b | 0.25b | |
| T5 | 44.46a | 50.74a | 58.56a | 10.46a | 6.28a | 7.82a | 24.56a | 0.21a | 0.97a | 0.27a | |
| T6 | 44.15ab | 50.46a | 58.31a | 10.15ab | 6.31a | 7.85a | 24.31a | 0.19b | 0.84bc | 0.24bc | |
| W0 | 44.02bc | 50.51a | 58.59a | 10.02bc | 6.49a | 8.08a | 24.59a | 0.19b | 0.78c | 0.22c | |
| I3 | T2 | 50.25ab | 55.98a | 63.11a | 10.25ab | 5.73a | 7.13a | 23.11a | 0.23b | 1.13b | 0.32b |
| T3 | 50.17ab | 55.92a | 63.07a | 10.17ab | 5.75a | 7.15a | 23.07a | 0.23b | 1.13b | 0.32b | |
| T4 | 50.26ab | 56.01a | 63.17a | 10.26ab | 5.75a | 7.16a | 23.17a | 0.24b | 1.15ab | 0.32ab | |
| T5 | 50.08ab | 55.86a | 63.05a | 10.08ab | 5.78a | 7.19a | 23.05a | 0.26a | 1.24ab | 0.35ab | |
| T6 | 49.96b | 55.63a | 62.68a | 9.96b | 5.66a | 7.05a | 22.68a | 0.26a | 1.28a | 0.36a | |
| W0 | 50.40a | 55.80a | 62.51a | 10.40a | 5.40a | 6.72a | 22.51a | 0.22b | 1.17ab | 0.33ab | |
| I4 | T2 | 56.96a | 62.64a | 69.72a | 7.96a | 5.69a | 7.08a | 20.72a | 0.41bc | 1.56a | 0.44a |
| T3 | 56.91a | 62.62a | 69.74a | 7.91a | 5.71a | 7.11a | 20.74a | 0.42ab | 1.57a | 0.44a | |
| T4 | 56.98a | 62.51a | 69.38a | 7.98a | 5.53a | 6.88a | 20.38a | 0.40bc | 1.60a | 0.45a | |
| T5 | 56.80a | 62.66a | 69.95a | 7.80a | 5.86a | 7.29a | 20.95a | 0.43ab | 1.56a | 0.44a | |
| T6 | 56.78a | 62.56a | 69.75a | 7.78a | 5.78a | 7.19a | 20.75a | 0.44a | 1.62a | 0.45a | |
| W0 | 57.01a | 62.64a | 69.63a | 8.01a | 5.62a | 7.00a | 20.63a | 0.39c | 1.52a | 0.43a | |
| I5 | T2 | 60.04bc | 66.58a | 74.72a | 8.04bc | 6.54a | 8.14a | 22.72a | 0.75ab | 2.52a | 0.70a |
| T3 | 60.01c | 66.55a | 74.70a | 8.01c | 6.55a | 8.15a | 22.70a | 0.76a | 2.54a | 0.71a | |
| T4 | 60.24a | 66.79a | 74.95a | 8.24a | 6.55a | 8.16a | 22.95a | 0.73bc | 2.52a | 0.71a | |
| T5 | 60.10abc | 66.53a | 74.52a | 8.10abc | 6.43a | 8.00a | 22.52a | 0.74ab | 2.55a | 0.71a | |
| T6 | 60.09bc | 66.59a | 74.69a | 8.09bc | 6.51a | 8.10a | 22.69a | 0.72c | 2.43b | 0.68b | |
| W0 | 60.17ab | 66.69a | 74.80a | 8.17ab | 6.52a | 8.11a | 22.80a | 0.65d | 2.22c | 0.62c | |
| Treatment | L4 | L5 | L6 | S3 | S4 | S5 | S6 | I1 | I2 | I3 | I4 |
|---|---|---|---|---|---|---|---|---|---|---|---|
| T2 | 4 | −5 | −8 | 1 | −8 | −17 | −23 | −11 | −17 | −23 | −32 |
| T3 | 11 | 2 | −1 | 8 | −1 | −10 | −16 | −4 | −10 | −16 | −25 |
| T4 | 22 | 13 | 10 | 19 | 10 | 1 | −5 | 7 | 1 | −5 | −14 |
| T5 | 29 | 20 | 17 | 26 | 17 | 8 | 2 | 14 | 8 | 2 | −7 |
| T6 | 35 | 26 | 23 | 32 | 23 | 14 | 8 | 20 | 14 | 8 | −1 |
Publisher’s Note: MDPI stays neutral with regard to jurisdictional claims in published maps and institutional affiliations. |
© 2022 by the authors. Licensee MDPI, Basel, Switzerland. This article is an open access article distributed under the terms and conditions of the Creative Commons Attribution (CC BY) license (https://creativecommons.org/licenses/by/4.0/).
Share and Cite
Han, D.; Li, H.; He, L.; Fang, Q.; He, J.; Li, R.; Wang, H. Effect of Irrigation and Nitrogen Topdressing at Different Leaf Ages on the Length and Growth of Wheat Leaves, Leaf Sheaths, and Internodes. Agriculture 2022, 12, 1517. https://doi.org/10.3390/agriculture12101517
Han D, Li H, He L, Fang Q, He J, Li R, Wang H. Effect of Irrigation and Nitrogen Topdressing at Different Leaf Ages on the Length and Growth of Wheat Leaves, Leaf Sheaths, and Internodes. Agriculture. 2022; 12(10):1517. https://doi.org/10.3390/agriculture12101517
Chicago/Turabian StyleHan, Dongwei, Haoran Li, Lu He, Qin Fang, Jianning He, Ruiqi Li, and Hongguang Wang. 2022. "Effect of Irrigation and Nitrogen Topdressing at Different Leaf Ages on the Length and Growth of Wheat Leaves, Leaf Sheaths, and Internodes" Agriculture 12, no. 10: 1517. https://doi.org/10.3390/agriculture12101517
APA StyleHan, D., Li, H., He, L., Fang, Q., He, J., Li, R., & Wang, H. (2022). Effect of Irrigation and Nitrogen Topdressing at Different Leaf Ages on the Length and Growth of Wheat Leaves, Leaf Sheaths, and Internodes. Agriculture, 12(10), 1517. https://doi.org/10.3390/agriculture12101517
