Moisture–Conductivity Calibration for Electrical Imaging of Horticultural Substrate
Abstract
:1. Introduction
2. Principles of Moisture–Conductivity Calibration for Substrate
3. Materials and Methods
3.1. Experimental Materials
3.2. Measurement, Calculation and Characteristic Analysis
4. Results
4.1. Effect of Moisture on Complex Conductivity for Substrate
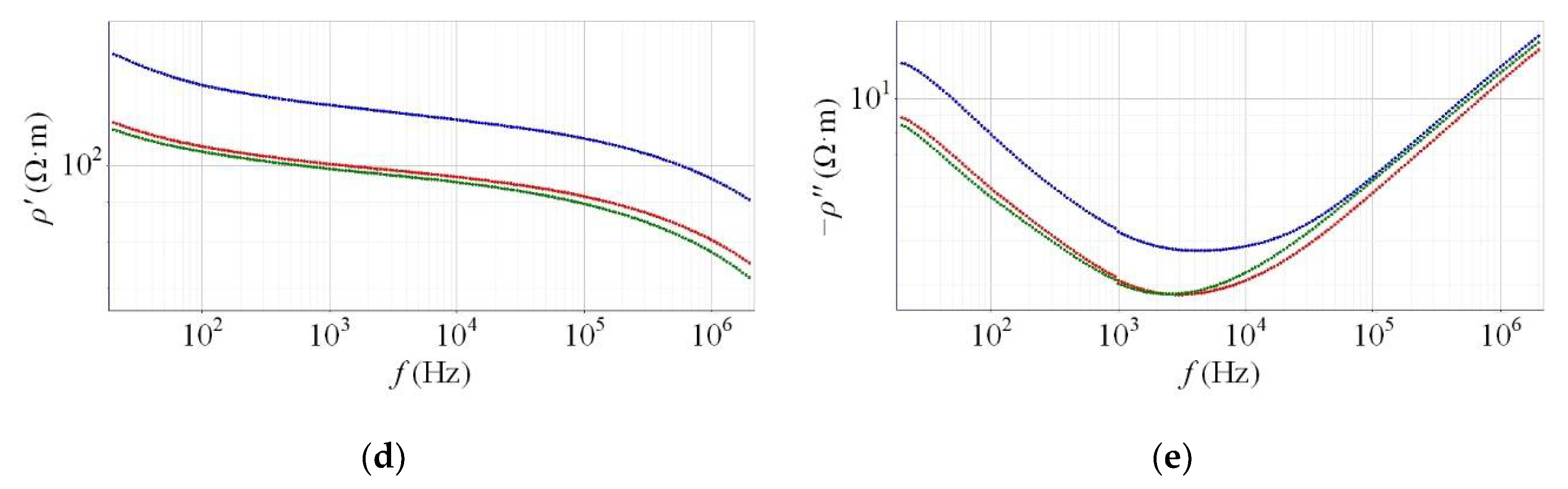
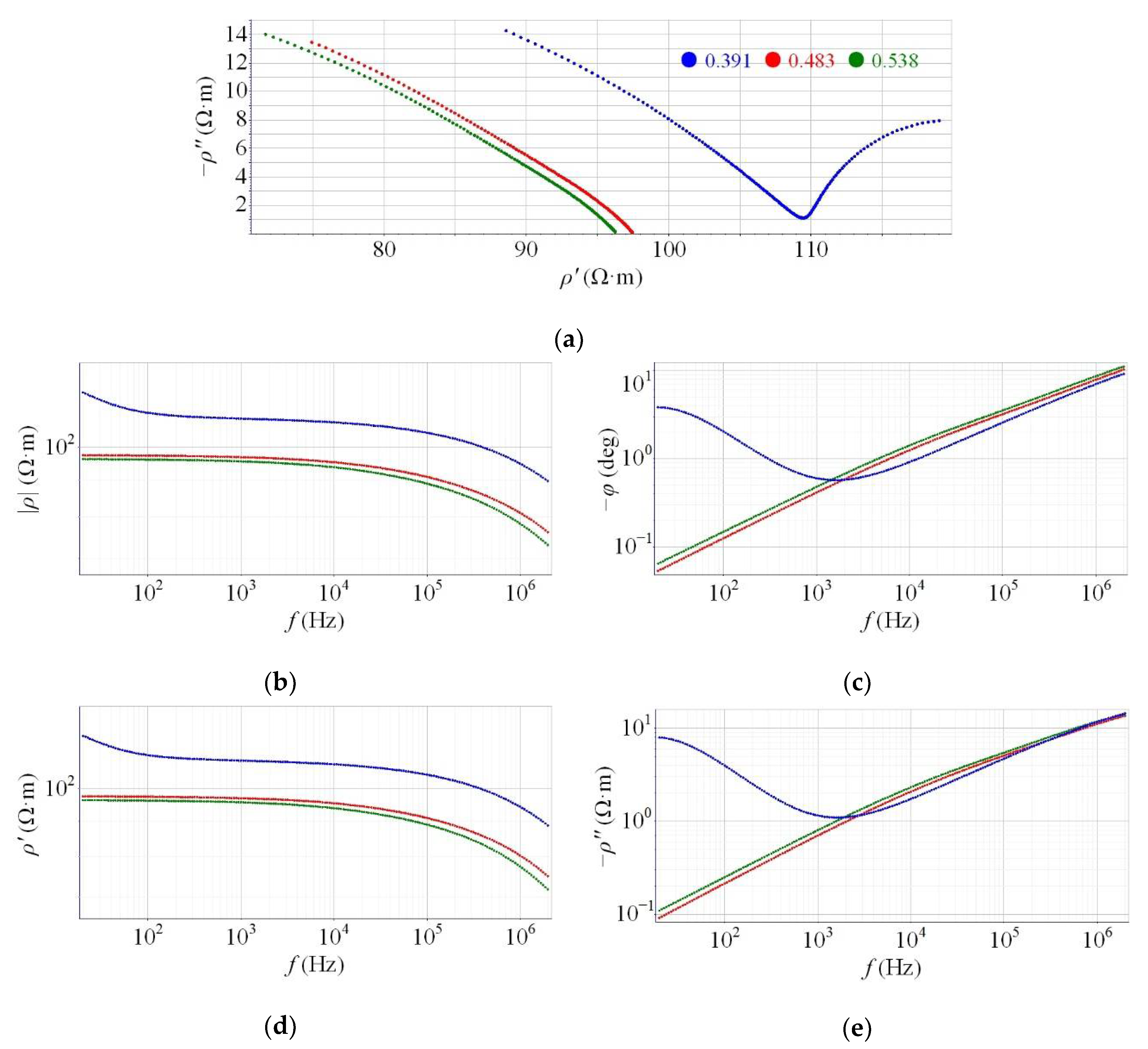
4.2. Effect of Density on Complex Conductivity for Substrate
4.3. Relationship between Electrical Conductivity and Moisture for Substrate
5. Discussion
6. Conclusions
Supplementary Materials
Author Contributions
Funding
Institutional Review Board Statement
Informed Consent Statement
Data Availability Statement
Conflicts of Interest
Appendix A










References
- Zhao, P.-F.; Wang, Y.-Q.; Yan, S.-X.; Fan, L.-F.; Wang, Z.-Y.; Zhou, Q.; Yao, J.-P.; Cheng, Q.; Wang, Z.-Y.; Huang, L. Electrical imaging of plant root zone: A review. Comput. Electron. Agric. 2019, 167, 105058. [Google Scholar] [CrossRef]
- Cimpoiaşu, M.O.; Kuras, O.; Pridmore, T.; Mooney, S.J. Potential of geoelectrical methods to monitor root zone processes and structure: A review. Geoderma 2020, 365, 114232. [Google Scholar] [CrossRef]
- Jayawickreme, D.H.; van Dam, R.L.; Hyndman, D. Subsurface imaging of vegetation, climate, and root-zone moisture interactions. Geophys. Res. Lett. 2008, 35, L18404. [Google Scholar] [CrossRef] [Green Version]
- Jayawickreme, D.H.; van Dam, R.L.; Hyndman, D.W. Hydrological consequences of land-cover change: Quantifying the influence of plants on soil moisture with time-lapse electrical resistivity. Geophysics 2010, 75, WA43–WA50. [Google Scholar] [CrossRef]
- Moreno, Z.; Arnon-Zur, A.; Furman, A. Hydro-geophysical monitoring of orchard root zone dynamics in semi-arid region. Irrig. Sci. 2015, 33, 303–318. [Google Scholar] [CrossRef]
- Cassiani, G.; Kemna, A.; Villa, A.; Zimmermann, E. Spectral induced polarization for the characterization of free-phase hydrocarbon contamination of sediments with low clay content. Near Surf. Geophys. 2009, 7, 547–562. [Google Scholar] [CrossRef]
- Cassiani, G.; Boaga, J.; Vanella, D.; Perri, M.T.; Consoli, S. Monitoring and modelling of soil–plant interactions: The joint use of ERT, sap flow and eddy covariance data to characterize the volume of an orange tree root zone. Hydrol. Earth Syst. Sci. 2015, 19, 2213–2225. [Google Scholar] [CrossRef] [Green Version]
- Cassiani, G.; Boaga, J.; Rossi, M.; Putti, M.; Fadda, G.; Majone, B.; Bellin, A. Soil–plant interaction monitoring: Small scale example of an apple orchard in Trentino, North-Eastern Italy. Sci. Total Environ. 2016, 543, 851–861. [Google Scholar] [CrossRef] [PubMed]
- Furman, A.; Arnon-Zur, A.; Assouline, S. Electrical Resistivity Tomography of the Root Zone. In Soil–Water–Root Processes: Advances in Tomography and Imaging; Anderson, S.H., Hopmans, J.W., Eds.; The Soil Science Society of America, Inc.: Madison, WI, USA, 2013; Volume 615, pp. 223–245. [Google Scholar] [CrossRef]
- Brillante, L.; Bois, B.; Mathieu, O.; Bichet, V.; Michot, D.; Lévêque, J. Monitoring soil volume wetness in heterogeneous soils by electrical resistivity. A field-based pedotransfer function. J. Hydrol. 2014, 516, 56–66. [Google Scholar] [CrossRef]
- Abdulsamad, F.; Revil, A.; Prime, N.; Gnonnoue, P.Y.; Schmutz, M.; Plé, O. Complex conductivity of rammed earth. Eng. Geol. 2020, 273, 105697. [Google Scholar] [CrossRef]
- Breede, K.; Kemna, A.; Esser, O.; Zimmermann, E.; Vereecken, H.; Huisman, J.A. Spectral induced polarization measurements on variably saturated sand-clay mixtures. Near Surf. Geophys. 2012, 10, 479–489. [Google Scholar] [CrossRef]
- Revil, A.; Coperey, A.; Shao, Z.; Florsch, N.; Fabricius, I.L.; Deng, Y.; Delsman, J.R.; Pauw, P.S.; Karaoulis, M.; De Louw, P.G.B.; et al. Complex conductivity of soils. Water Resour. Res. 2017, 53, 7121–7147. [Google Scholar] [CrossRef] [Green Version]
- Deng, Y.; Shi, X.; Revil, A.; Wu, J.; Ghorbani, A. Complex conductivity of oil-contaminated clayey soils. J. Hydrol. 2018, 561, 930–942. [Google Scholar] [CrossRef]
- Gao, Z.; Haegel, F.-H.; Esser, O.; Zimmermann, E.; Vereecken, H.; Huisman, J.A. Spectral Induced Polarization of Biochar in Variably Saturated Soil. Vadose Zone J. 2019, 18, 1–13. [Google Scholar] [CrossRef] [Green Version]
- Wang, Y.-Q.; Zhao, P.-F.; Fan, L.-F.; Zhou, Q.; Wang, Z.-Y.; Song, C.; Chai, Z.-Q.; Yue, Y.; Huang, L.; Wang, Z.-Y. Determination of water content and characteristic analysis in substrate root zone by electrical impedance spectroscopy. Comput. Electron. Agric. 2019, 156, 243–253. [Google Scholar] [CrossRef]
- Dong, X.Q.; Yang, G.H.; Bai, X.H.; Park, J. The alternating current impedance characteristics of silty soil with various water contents. Fresenius Environ. Bull. 2012, 21, 433–440. [Google Scholar]
- Chaudhary, P.; Patel, V.; Rana, V.A.; Gadani, D. Dielectric properties of soil mixed with urea fertilizer over 20 Hz to 2 MHz frequency range. Indian J. Pure Appl. Phys. 2020, 58, 455–464. [Google Scholar]
- Ekwue, E.I.; Bartholomew, J. Electrical conductivity of some soils in Trinidad as affected by density, water and peat content. Biosyst. Eng. 2011, 108, 95–103. [Google Scholar] [CrossRef]
- Rashid, Q.A.; Abuel-Naga, H.M.; Leong, E.-C.; Lu, Y.; Abadi, A. Experimental-artificial intelligence approach for characterizing electrical resistivity of partially saturated clay liners. Appl. Clay Sci. 2018, 156, 1–10. [Google Scholar] [CrossRef]
- Corona-Lopez, D.D.J.; Sommer, S.; Rolfe, S.A.; Podd, F.; Grieve, B.D. Electrical impedance tomography as a tool for phenotyping plant roots. Plant Methods 2019, 15, 49. [Google Scholar] [CrossRef] [Green Version]
- Weigand, M.; Kemna, A. Multi-frequency electrical impedance tomography as a non-invasive tool to characterize and monitor crop root systems. Biogeosciences 2017, 14, 921–939. [Google Scholar] [CrossRef] [Green Version]
- Weigand, M.; Kemna, A. Imaging and functional characterization of crop root systems using spectroscopic electrical impedance measurements. Plant Soil 2019, 435, 201–224. [Google Scholar] [CrossRef] [Green Version]
- Cseresnyés, I.; Vozáry, E.; Kabos, S.; Rajkai, K. Influence of substrate type and properties on root electrical capacitance. Int. Agrophys. 2020, 34, 95–101. [Google Scholar] [CrossRef]
- Binley, A. Tools and Techniques: Electrical Methods. In Treatise on Geophysics, 2nd ed.; Schubert, G., Ed.; Elsevier: Oxford, UK, 2015; Volume 11, pp. 233–259. [Google Scholar] [CrossRef]
- Deo, R.N.; Cull, J.P. Spectral Induced Polarization Techniques in Soil Corrosivity Assessments. Geotech. Test. J. 2015, 38, 965–977. [Google Scholar] [CrossRef]
- Archie, G.E. The Electrical Resistivity Log as an Aid in Determining Some Reservoir Characteristics. Trans. AIME 1942, 146, 54–62. [Google Scholar] [CrossRef]
- Mualem, Y.; Friedman, S.P. Theoretical Prediction of Electrical Conductivity in Saturated and Unsaturated Soil. Water Resour. Res. 1991, 27, 2771–2777. [Google Scholar] [CrossRef]
- Revil, A.; Glover, P.W.J. Nature of surface electrical conductivity in natural sands, sandstones, and clays. Geophys. Res. Lett. 1998, 25, 691–694. [Google Scholar] [CrossRef]
- Rhoades, J.D.; Raats, P.A.C.; Prather, R.J. Effects of Liquid-phase Electrical Conductivity, Water Content, and Surface Conductivity on Bulk Soil Electrical Conductivity. Soil Sci. Soc. Am. J. 1976, 40, 651–655. [Google Scholar] [CrossRef]
- Waxman, M.H.; Smits, L.J.M. Electrical Conductivities in Oil-Bearing Shaly Sands. Soc. Pet. Eng. J. 1968, 8, 107–122. [Google Scholar] [CrossRef]
- Robinson, J.L.; Slater, L.D.; Schäfer, K.V.R. Evidence for spatial variability in hydraulic redistribution within an oak–pine forest from resistivity imaging. J. Hydrol. 2012, 430, 69–79. [Google Scholar] [CrossRef]
- Li, X.J.; Wang, X.; Zhao, Q.; Zhang, Y.Y.; Zhou, Q.X. In Situ Representation of Soil/Sediment Conductivity Using Electrochemical Impedance Spectroscopy. Sensors 2016, 16, 625. [Google Scholar] [CrossRef] [PubMed] [Green Version]
- Vanderborght, J.; Huisman, J.; Kruk, J.; Vereecken, H. Geophysical Methods for Field-Scale Imaging of Root Zone Properties and Processes. In Soil–Water–Root Processes: Advances in Tomography and Imaging; Anderson, S.H., Hossaspmans, J.W., Eds.; The Soil Science Society of America, Inc.: Madison, WI, USA, 2013; Volume 61, pp. 247–282. [Google Scholar] [CrossRef]
- Beff, L.; Günther, T.; Vandoorne, B.; Couvreur, V.; Javaux, M. Three-dimensional monitoring of soil water content in a maize field using Electrical Resistivity Tomography. Hydrol. Earth Syst. Sci. 2013, 17, 595–609. [Google Scholar] [CrossRef] [Green Version]
- Chen, B.Q.; Garré, S.; Liu, H.T.; Yan, C.R.; Liu, E.K.; Gong, D.Z.; Mei, X.R. Two-dimensional monitoring of soil water content in fields with plastic mulching using electrical resistivity tomography. Comput. Electron. Agric. 2019, 159, 84–91. [Google Scholar] [CrossRef]
- Garré, S.; Javaux, M.; Vanderborght, J.; Pagès, L.; Vereecken, H. Three-Dimensional Electrical Resistivity Tomography to Monitor Root Zone Water Dynamics. Vadose Zone J. 2011, 10, 412–424. [Google Scholar] [CrossRef] [Green Version]
- Hussain, K.; Wongleecharoen, C.; Hilger, T.; Vander Borght, J.; Garré, S.; Onsamrarn, W.; Sparke, M.-A.; Diels, J.; Kongkaew, T.; Cadisch, G. Combining δ13C measurements and ERT imaging: Improving our understanding of competition at the crop-soil-hedge interface. Plant Soil 2015, 393, 1–20. [Google Scholar] [CrossRef]
- Rao, B.H.; Bhat, A.M.; Singh, D.N. Application of impedance spectroscopy for modeling flow of AC in soils. Géoméch. Geoengin. Int. J. 2007, 2, 197–206. [Google Scholar] [CrossRef]
- ASTM. ASD18 CommitM D854-14, Standard Test Methods for Specific Gravity of Soil Solids by Water Pycnometer; ASTM International: West Conshohocken, PA, USA, 2014. [Google Scholar] [CrossRef]
- Adler, A.; Lionheart, W.R.B. Uses and abuses of EIDORS: An extensible software base for EIT. Physiol. Meas. 2006, 27, S25–S42. [Google Scholar] [CrossRef] [Green Version]
- Volkmann, J.; Klitzsch, N. Wideband impedance spectroscopy from 1 mHz to 10MHz by combination of four- and two-electrode methods. J. Appl. Geophys. 2015, 114, 191–201. [Google Scholar] [CrossRef] [Green Version]
- Kemna, A.; Binley, A.; Cassiani, G.; Niederleithinger, E.; Revil, A.; Slater, L.; Williams, K.H.; Orozco, A.F.; Haegel, F.-H.; Hördt, A.; et al. An overview of the spectral induced polarization method for near-surface applications. Near Surf. Geophys. 2012, 10, 453–468. [Google Scholar] [CrossRef] [Green Version]
- Garré, S.; Günther, T.; Diels, J.; VanderBorght, J. Evaluating Experimental Design of ERT for Soil Moisture Monitoring in Contour Hedgerow Intercropping Systems. Vadose Zone J. 2012, 11, vzj2011.0186. [Google Scholar] [CrossRef]
- Garré, S.; Coteur, I.; Wongleecharoen, C.; Kongkaew, T.; Diels, J.; VanderBorght, J. Noninvasive Monitoring of Soil Water Dynamics in Mixed Cropping Systems: A Case Study in Ratchaburi Province, Thailand. Vadose Zone J. 2013, 12, 1–12. [Google Scholar] [CrossRef] [Green Version]











| Volumetric Water Content (cm3/cm3) | |||||||||||||
|---|---|---|---|---|---|---|---|---|---|---|---|---|---|
| Dry Density (g/cm3) | |||||||||||||
| 0.396 | 0.396 | 0.397 | 0.396 | 0.401 | 0.395 | 0.397 | 0.396 | 0.392 | 0.393 | 0.393 | 0.405 | 0.407 | 0.405 |
| 0.072 | 0.096 | 0.112 | 0.130 | 0.153 | 0.169 | 0.190 | 0.210 | 0.232 | 0.248 | 0.275 | 0.306 | 0.328 | 0.354 |
| VWC θ (cm3/cm3) | Q3 (F) | α3 | R3 (Ω) | R4 (Ω) | Q2 (F) | α2 | R2 (Ω) | Q1 (F) | α1 | R1 (Ω) |
|---|---|---|---|---|---|---|---|---|---|---|
| 0.072 | 1.14 × 10−6 | 0.699 | 188.9 | 1146 | 6.31 × 10−10 | 0.798 | 3334 | 3.27 × 10−5 | 0.305 | 1137 |
| 0.096 | 1.20 × 10−5 | 0.511 | 209.4 | 54.96 | 2.81 × 10−9 | 0.725 | 1139 | 1.21 × 10−3 | 0.328 | 183.0 |
| 0.112 | 1.72 × 10−5 | 0.530 | 97.49 | 22.95 | 8.66 × 10−9 | 0.673 | 634.8 | 1.10 × 10−3 | 0.477 | 205.9 |
| 0.130 | 1.95 × 10−5 | 0.514 | 62.76 | 4.714 | 2.36 × 10−8 | 0.620 | 435.4 | 1.62 × 10−3 | 0.400 | 332.7 |
| 0.153 | 3.41 × 10−5 | 0.547 | 19.92 | 50.14 | 9.58 × 10−8 | 0.565 | 273.0 | 4.92 × 10−3 | 0.222 | 400.8 |
| 0.169 | 8.81 × 10−5 | 0.616 | 4.598 | 3.170 | 5.37 × 10−7 | 0.473 | 233.8 | 3.53 × 10−3 | 0.330 | 114.6 |
| 0.190 | 9.82 × 10−5 | 0.591 | 5.617 | 10.44 | 4.32 × 10−7 | 0.507 | 164.2 | 4.63 × 10−3 | 0.357 | 106.9 |
| 0.210 | 1.85 × 10−3 | 0.673 | 29.81 | 18.19 | 1.40 × 10−6 | 0.449 | 135.3 | 7.90 × 10−3 | 0.244 | 29.40 |
| 0.232 | 9.00 × 10−4 | 0.856 | 19.81 | 9.018 | 9.62 × 10−7 | 0.485 | 110.1 | 8.73 × 10−3 | 0.251 | 44.82 |
| 0.248 | 2.88 × 10−3 | 0.903 | 5.034 | 3.696 | 8.48 × 10−7 | 0.500 | 96.98 | 1.47 × 10−2 | 0.279 | 117.6 |
| 0.275 | 5.38 × 10−3 | 0.761 | 4.679 | 4.849 | 1.09 × 10−6 | 0.496 | 74.03 | 1.92 × 10−2 | 0.294 | 263.0 |
| 0.306 | 2.32 × 10−3 | 0.772 | 15.52 | 10.41 | 9.64 × 10−7 | 0.518 | 55.06 | 7.50 × 10−2 | 0.369 | 7.847 |
| 0.328 | 8.90 × 10−3 | 0.941 | 14.59 | 12.92 | 5.00 × 10−7 | 0.562 | 44.85 | 2.13 × 10−2 | 0.180 | 22.83 |
| 0.354 | 1.17 × 10−3 | 0.930 | 13.17 | 51.31 | 9.29 × 10−8 | 0.677 | 31.06 | 1.78 × 10−2 | 0.177 | 15.96 |
| Dry Density (g/cm3) | ||
|---|---|---|
| Volumetric Water Content (cm3/cm3) | ||
| 0.232 | 0.231 | 0.230 |
| 0.391 | 0.483 | 0.538 |
| ρd (g/cm3) | Q3 (F) | α3 | R3 (Ω) | R4 (Ω) | Q2 (F) | α2 | R2 (Ω) | Q1 (F) | α1 | R1 (Ω) |
|---|---|---|---|---|---|---|---|---|---|---|
| 0.391 | 9.00 × 10−4 | 0.856 | 19.81 | 9.018 | 9.62 × 10−7 | 0.485 | 110.1 | 8.73 × 10−3 | 0.251 | 44.82 |
| 0.483 | 1.80 × 10−3 | 0.795 | 17.55 | 8.050 | 1.10 × 10−6 | 0.493 | 93.36 | 1.21 × 10−2 | 0.238 | 29.83 |
| 0.538 | 2.18 × 10−3 | 0.857 | 11.58 | 4.111 | 1.62 × 10−6 | 0.477 | 93.01 | 1.67 × 10−2 | 0.233 | 63.58 |
Publisher’s Note: MDPI stays neutral with regard to jurisdictional claims in published maps and institutional affiliations. |
© 2021 by the authors. Licensee MDPI, Basel, Switzerland. This article is an open access article distributed under the terms and conditions of the Creative Commons Attribution (CC BY) license (https://creativecommons.org/licenses/by/4.0/).
Share and Cite
Zhao, P.-F.; Fan, L.-F.; Wang, Y.-Q.; Li, Y.; Wang, N.; Wang, Z.-Y.; Cheng, Q.; Huang, L. Moisture–Conductivity Calibration for Electrical Imaging of Horticultural Substrate. Agriculture 2021, 11, 899. https://doi.org/10.3390/agriculture11090899
Zhao P-F, Fan L-F, Wang Y-Q, Li Y, Wang N, Wang Z-Y, Cheng Q, Huang L. Moisture–Conductivity Calibration for Electrical Imaging of Horticultural Substrate. Agriculture. 2021; 11(9):899. https://doi.org/10.3390/agriculture11090899
Chicago/Turabian StyleZhao, Peng-Fei, Li-Feng Fan, Yong-Qian Wang, Yang Li, Nan Wang, Zhong-Yi Wang, Qiang Cheng, and Lan Huang. 2021. "Moisture–Conductivity Calibration for Electrical Imaging of Horticultural Substrate" Agriculture 11, no. 9: 899. https://doi.org/10.3390/agriculture11090899
APA StyleZhao, P.-F., Fan, L.-F., Wang, Y.-Q., Li, Y., Wang, N., Wang, Z.-Y., Cheng, Q., & Huang, L. (2021). Moisture–Conductivity Calibration for Electrical Imaging of Horticultural Substrate. Agriculture, 11(9), 899. https://doi.org/10.3390/agriculture11090899

