Critical Time for Weed Removal in Corn as Influenced by Planting Pattern and PRE Herbicides
Abstract
1. Introduction
2. Materials and Methods
2.1. Experimental Site Description
2.2. Experimental Design
2.3. Growing Degree Days (GDDs) Calculation
2.4. Data Collection
2.5. Statistical Analysis
3. Results
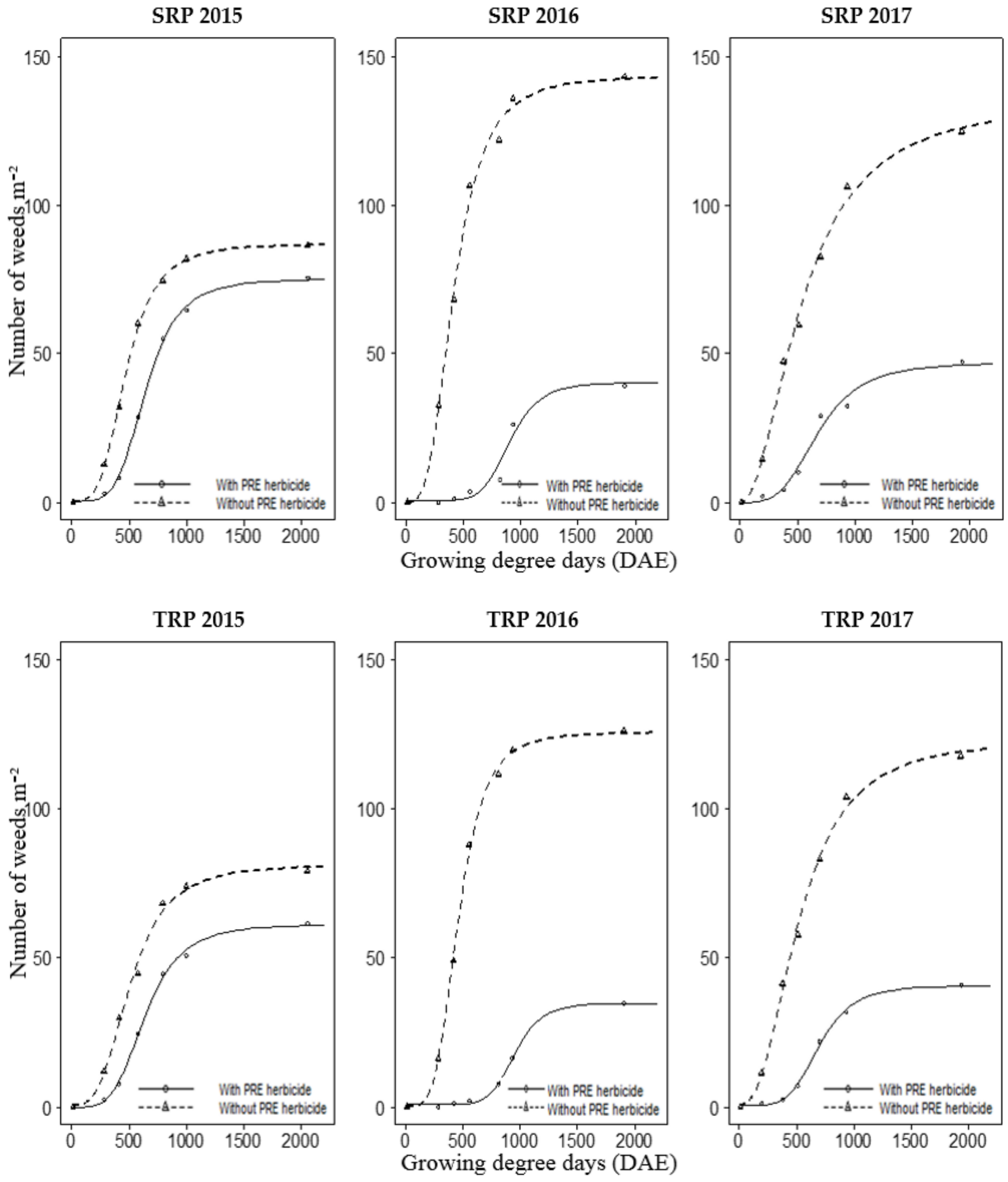
3.1. Weed Density and Species Composition
3.2. Corn Yield
3.3. Corn Yield Losses
3.4. Critical Time for Weed Removal (CTWR)
4. Discussion
5. Conclusions
Author Contributions
Funding
Institutional Review Board Statement
Informed Consent Statement
Data Availability Statement
Conflicts of Interest
References
- Kogbe, J.O.S.; Adediran, J.A. Influence of nitrogen, phosphorus and potassium application on the yield of maize in the savanna zone of Nigeria. Afr. J. Biotechnol. 2003, 2, 345–349. [Google Scholar] [CrossRef]
- Food and Agriculture Organization of the United Nations. FAOSTAT Statistical Database. Rome. Available online: http://www.fao.org/faostat/en/#data/QC/visualize (accessed on 2 January 2021).
- Edmeades, G.O. Progress in Achieving and Delivering Drought Tolerance in Maize an Update; ISAAA: Ithaca, NY, USA, 2013; Volume 130. [Google Scholar]
- Statistical Office of the Republic of Serbia. Available online: https://data.stat.gov.rs/Home/Result/130102?languageCode=en−US (accessed on 2 January 2021).
- Nedeljković, D.; Knežević, S.; Božić, D.; Vrbničanin, S. Impact of weather conditions on the critical period for weed control and corn yield in Serbia. Acta Herbol. 2019, 28, 17–29. [Google Scholar] [CrossRef]
- Murphy, S.D.; Yakubu, Y.; Weise, S.F.; Swanton, C.J. Effect of planting patterns and inter-row cultivation on competition between corn and late emerging weeds. Weed Sci. 1996, 44, 856–870. [Google Scholar] [CrossRef]
- Teasdale, J.R.; Cavigelli, M.A. Subplots facilitate assessment of corn yield losses from weed competition in a long-term systems experiment. Agron. Sustain. Dev. 2010, 30, 445–453. [Google Scholar] [CrossRef]
- Vrbničanin, S.; Onć-Jovanović, E.; Božić, D.; Sarić-Krsmanović, M.; Pavlović, D.; Malidža, G.; Jarić, S. Velvetleaf (Abutilon theophrasti Medik.) productivity in competitive conditions. Arch. Biol. Sci. 2017, 69, 157–166. [Google Scholar] [CrossRef]
- Silva, P.S.L.S.; Silva, E.S.; Mesquita, S.S.X. Weed control and green ear yield in maize. Planta Daninha 2004, 22, 137–144. [Google Scholar] [CrossRef][Green Version]
- Silva, P.S.L.; Sorieudes, S.A.; Silva, R.; Paulo, I. Number and time of weeding effects on maize grain yield. Braz. J. Maize Sorghum 2004, 3, 204–213. [Google Scholar] [CrossRef]
- Chikoye, D.; Udensi, U.E.; Lum, A.F. Evaluation of a new formulation of atrazine and metolachlor mixture for weed control in maize in Nigeria. Crop Prot. 2005, 24, 1016–1020. [Google Scholar] [CrossRef]
- Giannessi, P.L. The Potential for Worldwide Crop Production Increase Due to Adoption of Pesticides Rice, Wheat and Corn; Crop Protection Research Institute: Washington, DC, USA, 2013; pp. 12–18. Available online: https://croplifefoundation.files.wordpress.com/2012/05/ifpri−revisedmay1.pdf (accessed on 2 January 2021).
- Soltani, N.; Dille, J.A.; Burke, C.I.; Everman, W. Potential corn yield losses due to weeds in North America. Weed Technol. 2016, 30, 979–984. [Google Scholar] [CrossRef]
- Teasdale, J.R.; Mohler, C.L. The quantitative relationship between weed emergence and the physical properties of mulches. Weed Sci. 2000, 48, 385–392. [Google Scholar] [CrossRef]
- Kumar, S.M.; Sundari, A. Studies on the effect of major nutrients and crop-weed competition period in maize. Indian J. Weed Sci. 2002, 34, 309–310. [Google Scholar]
- Harrison, S.K.; Regnier, E.E.; Schmoll, J.T.; Webb, J.E. Competition and fecundity of giant ragweed in corn. Weed Sci. 2001, 49, 224–229. [Google Scholar] [CrossRef]
- Massinga, R.A.; Currie, R.S.; Horak, M.J.; Boyer, J.J. Interference of Palmer amaranth in corn. Weed Sci. 2001, 49, 202–208. [Google Scholar] [CrossRef]
- David, I.; Kovacs, I. Competition of three noxious weeds with row crops. Cereal Res. Commun. 2007, 35, 341–344. [Google Scholar] [CrossRef]
- Hussain, Z.; Marwat, B.K.; Cardina, J.; Khan, A.I. Xanthium strumarium L. impact on corn yield and yield components. Turk. J. Agric. For. 2014, 38, 39–46. [Google Scholar] [CrossRef]
- Mhlanga, B.; Chauhan, B.S.; Thierfelder, C. Weed management in maize using crop competition: A review. Crop Prot. 2016, 88, 28–36. [Google Scholar] [CrossRef]
- Knezevic, S.Z.; Evans, S.P.; Blankenship, E.E.; Van Acker, R.C.; Lindquist, J.L. Critical period for weed control: The concept and data analysis. Weed Sci. 2002, 50, 773–786. [Google Scholar] [CrossRef]
- Ghosheh, H.Z.; Holshouser, D.L.; Chandler, J.M. The critical period of johnsongrass (Sorghum halepense) control in field corn. Weed Sci. 1996, 44, 944–947. [Google Scholar] [CrossRef]
- Hall, M.R.; Swanton, C.J.; Anderson, G.W. The critical period of weed control in grain corn (Zea mays). Weed Sci. 1992, 40, 441–447. [Google Scholar] [CrossRef]
- Halford, C.; Hamill, A.S.; Zhang, J.; Doucet, C. Critical period of weed control in no-till soybean (Glycine max) and corn (Zea mays). Weed Technol. 2001, 15, 737–744. [Google Scholar] [CrossRef]
- Evans, S.P.; Knezevic, S.Z.; Lindquist, J.L.; Shapiro, C.A.; Blankenship, E.E. Nitrogen application influences the critical period for weed control in corn. Weed Sci. 2003, 51, 408–417. [Google Scholar] [CrossRef]
- Norsworthy, J.K.; Oliveira, M.J. Comparison of the critical period for weed control in wide- and narrow corn. Weed Sci. 2004, 52, 802–807. [Google Scholar] [CrossRef]
- Williams, M.M. Planting date influences critical period of weed control in sweet corn. Weed Sci. 2006, 54, 928–933. [Google Scholar] [CrossRef]
- Isik, D.; Mennan, H.; Bukun, B.; Oz, A.; Ngouajio, M. The critical period for weed control in corn in Turkey. Weed Technol. 2006, 20, 867–872. [Google Scholar] [CrossRef]
- Page, E.R.; Tollenaar, M.; Lee, E.A.; Lukens, L.; Swanton, C.J. Does the shade avoidance response contribute to the critical period of weed control in corn (Zea mays)? Weed Res. 2009, 49, 563–571. [Google Scholar] [CrossRef]
- Gantoli, G.; Ayala, V.R.; Gerhards, R. Determination of the critical period of weed control in corn. Weed Technol. 2013, 27, 63–71. [Google Scholar] [CrossRef]
- Koch, W.; Kemmer, A. Schadwirkung von Unkräuterngegenüber Mais in Abhängigkeit von Konkurrenzdauer undUnkrautdichte [Negative effect of weeds on corn in dependence of the length of weed competition and weed density]. Med. Fac. Landbouww Rijksuniv Gent 1980, 45, 1099–1109. [Google Scholar]
- Bedmar, F.; Manetti, P.; Monterubbianesi, G. Determination of the CPWC using a thermal basis. Pesqui. Agropecuária Bras. 1999, 34, 187–193. [Google Scholar] [CrossRef]
- Hugo, E.; Morey, L.; Saayman-Du Toit, E.J.A.; Reinhardt, F.C. Critical periods of weed control for naked crabgrass (Digitaria nuda), a grass weed in corn in South Africa. Weed Sci. 2014, 62, 647–656. [Google Scholar] [CrossRef]
- Ferrero, A.; Scanzio, M.; Acutis, M. Critical period of weed interference in maize. In Proceedings of the 2nd International Weed Control Congress, Copenhagen, Denmark, 25–28 June 1996; pp. 171–176. [Google Scholar]
- Knezevic, S.Z.; Osipitan, O.A.; Scott, J. Critical Time for Weed Removal in Corn and Soybean is Delayed by PRE-Herbicides. 2019 Crop Production Clinic and Nebraska Crop Management Conference Proceedings. 9 January 2019. Available online: https://cropwatch.unl.edu/2019/critical-time-weed-removal-corn-and-soybean-delayed-pre-herbicides (accessed on 2 January 2021).
- Knezevic, Z.S.; Evans, S.P.; Mainz, M. Row spacing influences the critical timing for weed removal in soybean (Glycine max). Weed Technol. 2003, 17, 666–673. [Google Scholar] [CrossRef]
- Hock, M.S.; Knezevic, Z.S.; Martin, R.A.; Lindquist, L.J. Soybean row spacing and weed emergence time influence weed competitiveness and competitive indices. Weed Sci. 2006, 54, 38–46. [Google Scholar] [CrossRef]
- Shaner, D.L.; Brunk, G.; Belles, D.; Westra, P.; Nissen, S. Soil dissipation and biological activity of metolachlor and S-metolachlor in five soils. Pest Manag. 2006, 62, 617–623. [Google Scholar] [CrossRef] [PubMed]
- The British Crop Protection Council. The Pesticide Manual: A World Compendium; BCPC: Hampshire, UK, 2012; p. 1606. [Google Scholar]
- Long, Y.H.; Li, R.T.; Li, X.M. Degradation of S-metolachlor in soil as affected by environmental factors. J. Soil Sci. Plant Nutr. 2014, 14, 189–198. [Google Scholar] [CrossRef]
- Bozzo, S.; Azimonti, G.; Villa, S.; Di Guardo, A.; Finizio, A. Spatial and temporal trend of groundwater contamination fromterbuthylazine and desethyl−terbuthylazine in the Lombardyregion (Italy). Environ. Sci. Proc. 2012, 15, 366–372. [Google Scholar]
- Malidža, G.; Rajković, M.; Vrbničanin, S.; Božić, D. Identification and distribution of ALS resistant Sorghum halepense populations in Serbia. In Proceedings of the 17th European Weed Research Society Symposium “Weed Management in Changing Environments”, Montpellier, France, 22–26 June 2015; p. 98. [Google Scholar]
- Gilmore, E.C.; Rogers, R.S. Heat units as a method of measuring maturity in corn. Agron. J. 1958, 50, 611–615. [Google Scholar] [CrossRef]
- R Core Team. R: A Language and Environment for Statistical Computing; R Foundation for Statistical Computing: Vienna, Austria, 2017; Available online: http://www.R-project.org (accessed on 30 August 2017).
- Knezevic, S.Z.; Streibig, J.C.; Ritz, C. Utilizing R software package for dose response studies: The concept and data analysis. Weed Technol. 2007, 21, 840–848. [Google Scholar] [CrossRef]
- Seefeldt, S.S.; Jensen, J.E.; Fuerst, E.P. Log-logistic analysis of herbicide dose–response relationships. Weed Technol. 1995, 9, 218–227. [Google Scholar] [CrossRef]
- Duncan, W.G. The relationship between corn population and yield. Agron. J. 1958, 50, 82–84. [Google Scholar] [CrossRef]
- Duncan, W.G. A theory to explain the relationship between corn population and grain yield. Crop Sci. 1984, 24, 1141–1145. [Google Scholar] [CrossRef]
- Teasdale, J.R. Influence of narrow row/high population corn (Zea mays) on weed control and light transmittance. Weed Technol. 1995, 9, 113–118. [Google Scholar] [CrossRef]
- Teasdale, J.R. Influence of corn (Zea mays) population and row spacing on corn and velvetleaf (Abutilon theophrasti) yield. Weed Sci. 1998, 46, 447–453. [Google Scholar] [CrossRef]
- Knezevic, S.Z.; Pavlovic, P.; Osipitan, O.A.; Barnes, E.R.; Beiermann, C.; Oliveira, M.C.; Lawrence, N.; Scott, J.E.; Jhala, A. Critical time for weed removal in glyphosate-resistant soybean as influenced by preemergence herbicides. Weed Technol. 2019, 33, 393–399. [Google Scholar] [CrossRef]
- Knezevic, S.Z.; Elezovic, I.; Datta, A.; Vrbnicanin, S.; Glamoclija Dj Simic, M.; Malidza, G. Delay in the critical time for weed removal in imidazolinone-resistant sunflower (Helianthus annuus) caused by application of pre-emergence herbicide. Int. J. Pest Manag. 2013, 59, 229–235. [Google Scholar] [CrossRef]
- Ulusoy, N.A.; Osipitan, O.A.; Scott, J.; Jhala, J.A.; Lawrence, C.N.; Knezevic, Z.S. PRE herbicides influence critical time of weed removal in glyphosate-resistant corn. Weed Technol. 2020, 1, 271–278. [Google Scholar] [CrossRef]
- Gözübenli, H. Infuence of planting patterns and plant density on the performance of maize hybrids in the eastern mediterranean conditions. Int. J. Agric. Biol. 2012, 12, 556–560. [Google Scholar]
- Evans, S.P.; Knezevic, S.Z.; Lindquist, J.L.; Shapiro, C.A. Influence of nitrogen and duration of weed interference on corn growth and development. Weed Sci. 2003, 51, 546–556. [Google Scholar] [CrossRef]
- Steckel, E.L.; Sprague, L.S. Common waterhemp (Amaranthus rudis) interference in corn. Weed Sci. 2004, 52, 359–364. [Google Scholar] [CrossRef]



| Year | pH in H2O | pH in KCl | CaCO3 % | N Total % | Humus % | K2O mg/100 g | P2O5 mg/100 g |
|---|---|---|---|---|---|---|---|
| 2015 | 7.18 | 6.01 | 0.95 | 0.19 | 3.85 | 22.1 | 31.5 |
| 2016 | 8.19 | 7.69 | 0.93 | 0.19 | 3.31 | 16.2 | 34.2 |
| 2017 | 8.20 | 7.60 | 6.71 | 0.17 | 2.74 | 30.0 | 36.1 |
| Month | Temperature °C | Total Precipitation (mm) | |||||||
|---|---|---|---|---|---|---|---|---|---|
| 2015 Min | 2015 Max | 2016 Min | 2016 Max | 2017 Min | 2017 Max | 2015 | 2016 | 2017 | |
| April | 5.2 | 20.8 | 15.6 | 25.5 | 11.3 | 20.8 | 5.1 | 76.1 | 3.0 |
| May | 16.5 | 29.6 | 14.4 | 24.8 | 14.2 | 23.9 | 63.9 | 88.7 | 125.9 |
| June | 16.6 | 29.0 | 18.0 | 28.8 | 19.4 | 29.6 | 43.5 | 117.3 | 94.1 |
| July | 19.1 | 32.0 | 18.1 | 29.2 | 19.6 | 31.4 | 7.0 | 123.5 | 43.0 |
| August | 18.4 | 31.8 | 17.2 | 28.4 | 19.7 | 32.7 | 82.5 | 87.6 | 32.1 |
| September | 15.9 | 26.3 | 17.1 | 29.9 | 16.4 | 28.0 | 79.1 | 33.2 | 37.9 |
| Weed Species | SRP b 2015 | TRP 2015 | SRP 2016 | TRP 2016 | SRP 2017 | TRP 2017 | ||||||
|---|---|---|---|---|---|---|---|---|---|---|---|---|
| PRE | With | Without | With | Without | With | Without | With | Without | With | Without | With | Without |
| Common sunflower (Helianthus annuus) | 5.7 (7.6%) a | 6.0 (6.9%) | 4.7 (7.6%) | 5.6 (7.2%) | 2.7 (6.8%) | 2.0 (1.4%) | 2.6 (7.5%) | 2.0 (1.6%) | 3.6 (7.7%) | 3.0 (2.4%) | 2.7 (6.5%) | 5.7 (4.8%) |
| Creeping thistle (Cirsium arvense) | 1.0 (1.3%) | 3.0 (3.5%) | 2.0 (3.2%) | 1.0 (1.3%) | 2.7 (6.8%) | - | 1.7 (4.9%) | 6.0 (4.7%) | - | - | - | - |
| Johnson grass (Sorghum halepense) | 32.3 (42.8%) | 35.4 (40.9%) | 30.0 (48.6%) | 32.6 (41.2%) | 13.0 (33.1%) | 101.5 (70.8%) | 9.7 (28.1%) | 61.0 (48.3%) | 25.0 (52.8%) | 79.3 (63.5%) | 16.0 (39.3%) | 62.7 (53.3%) |
| Jimsonweed (Datura stramonium) | - c | 2.5 (2.9%) | 4.0 (6.5%) | 5.0 (6.3%) | 1.3 (3.5%) | 4.0 (2.8) | 2.5 (7.2%) | 4.7 (3.7%) | 3.7 (7.7) | 3.3 (2.7%) | 3.6 (8.8%) | - |
| Field bindweed (Convolvulus arvensis) | - | - | 4.0 (6.5%) | - | - | - | - | - | - | - | - | - |
| Redroot pigweed (Amaranthus retroflexus) | 19.0 (25.2%) | 35.2 (35.2%) | 7.3 (11.9%) | 22.9 (29.0%) | 10.4 (26.4%) | 21.3 (14.9%) | 8.5 (24.6%) | 25.3 (20.1%) | 2.6 (5.6%) | 13.3 (10.7%) | 9.0 (22.1%) | 28.3 (24.1%) |
| Pigweed (Chenopodium album) | 12.4 (16.4%) | 6.3 (7.3%) | 6.6 (10.8%) | 6.2 (7.8%) | 3.0 (7.6%) | 5.3 (3.7%) | 1.0 (2.9%) | 12.3 (9.8%) | 5.7 (12.1%) | 19.0 (15.2%) | 4.0 (9.8%) | 12.0 (10.2%) |
| Black nightshade (Solanum nigrum) | 5.0 (6.6%) | 2.9 (3.3%) | 3.0 (4.9%) | 5.6 (7.2%) | 4.0 (10.2%) | 2.5 (1.7%) | 2.5 (7.2%) | 6.0 (4.7%) | - | 1.0 (0.8%) | - | 1.0 (0.8%) |
| Volunteer rapeseed (Brassica napus) | - | - | - | - | 2.3 (5.8%) | 6.7 (4.7%) | 6.0 (17.4%) | 9.0 (7.1%) | 4.0 (8.5%) | 3.8 (3.1%) | 4.4 (10.8%) | 5.0 (4.2%) |
| Rough cocklebur (Xanthium strumarium) | - | - | - | - | - | - | - | - | 2.7 (5.6%) | 2.0 (1.6%) | 1.0 (2,5%) | 3.0 (2.5%) |
| Total weed density (plants m2) | 75.4 | 86.6 | 61.7 | 79.1 | 39.3 | 143.3 | 34.5 | 126.3 | 47.3 | 124.8 | 40.7 | 117.7 |
| Year | Planting Pattern | Herbicide Application | Regression Parameters (±SE) | |||
|---|---|---|---|---|---|---|
| B | C | D | I50 | |||
| 2015 | SRP | With PRE | −4.5 (0.3) | 0.3 (1.1) | 75.1 (1.5) | 644.9 (12.1) |
| Without PRE | −3.6 (0.3) | 0.4 (1.5) | 66.9 (1.8) | 472.3 (10.3) | ||
| TPR | With PRE | −4.1 (0.4) | 0.1 (1.3) | 61.4 (1.9) | 642.9 (19.0) | |
| Without PRE | −3.2 (0.4) | 0.6 (3.1) | 81.5 (3.2) | 510.9 (27.4) | ||
| 2016 | SRP | With PRE | −7.0 (0.8) | −0.5 (1.6) | 40.3 (3.2) | 905.3 (37.8) |
| Without PRE | −3.2 (0.5) | −0.1 (5.1) | 143.8 (5.0) | 419.4 (19.8) | ||
| TRP | With PRE | −8.2 (1.5) | 0.6 (0.5) | 34.7 (0.9) | 953.1 (15.8) | |
| Without PRE | −4.1 (0.3) | −0.2 (2.3) | 125.8 (2.2) | 460.4 (9.4) | ||
| 2017 | SRP | With PRE | −3.6 (1.1) | −0.04 (2.5) | 47.3 (4.8) | 683.1 (64.9) |
| Without PRE | −2.0 (0.3) | −0.1 (4.2) | 135.8 (7.9) | 543.3 (42.7) | ||
| TRP | With PRE | −4.8 (0.5) | −0.3 (0.7) | 40.7 (1.1) | 697.6 (16.5) | |
| Without PRE | −2.5 (0.3) | −0.8 (3.1) | 123.8 (4.6) | 519.7 (24.7) | ||
| Year | Planting Pattern | Herbicide Application | Regression Parameters (±SE) | |||
|---|---|---|---|---|---|---|
| B | C | D | I50 | |||
| 2015 | SRP | With PRE | −3.9 (0.2) | −0.1 (0.8) | 93.0 (1.2) | 728.6 (10.1) |
| Without PRE | −3.5 (0.2) | −0.2 (1.1) | 96.8 (1.4) | 647.5 (12.4) | ||
| TRP | With PRE | −3.6 (0.1) | 0.6 (0.7) | 95.3 (0.9) | 688.6 (6.8) | |
| Without PRE | −3.4 (0.1) | 0.4 (0.7) | 96.4 (0.9) | 606.1 (6.5) | ||
| 2016 | SRP | With PRE | −6.3 (0.2) | −0.3 (1.0) | 42.3 (2.0) | 957.3 (27.9) |
| Without PRE | −2.0 (0.1) | −0.7 (1.1) | 56.3 (1.9) | 701.1 (40.3) | ||
| TRP | With PRE | −7.1 (0.6) | 0.2 (0.8) | 38.0 (1.5) | 949.5 (20.4) | |
| Without PRE | −2.7 (0.1) | −0.04 (0.7) | 49.4 (1.0) | 592.9 (13.9) | ||
| 2017 | SRP | With PRE | −3.8 (0.3) | −0.1 (0.9) | 71.1 (1.8) | 711.4 (14.9) |
| Without PRE | −2.2 (0.1) | −0.8 (0.8) | 84.2 (1.4) | 517.4 (11.9) | ||
| TRP | With PRE | −5.0 (0.7) | −0.1 (1.4) | 61.8 (2.4) | 703.8 (22.2) | |
| Without PRE | −2.5 (0.1) | −0.7 (1.0) | 74.2 (1.4) | 473.9 (11.9) | ||
| Year | Planting Pattern | Herbicide Application | CTWR | ||
|---|---|---|---|---|---|
| GDD (±SE) | DAE | CGS | |||
| 2015 | SRP | With PRE | 342.5 (4.8) | 25 | V4 |
| Without PRE | 279.2 (5.4) | 19 | V2 | ||
| TRP | With PRE | 306.1 (8.1) | 22 | V3 | |
| Without PRE | 255.8 (7.1) | 18 | V2 | ||
| 2016 | SRP | With PRE | 599.9 (17.5) | 58 | V10 |
| Without PRE | 160.9 (9.2) | 16 | V1 | ||
| TRP | With PRE | 627.1 (13.8) | 61 | V11 | |
| Without PRE | 202.6 (11.2) | 20 | V2 | ||
| 2017 | SRP | With PRE | 325.3 (16.7) | 37 | V5 |
| Without PRE | 132.9 (7.7) | 16 | V1 | ||
| TRP | With PRE | 392.8 (30.1) | 41 | V6 | |
| Without PRE | 147.6 (9.8) | 19 | V2 | ||
Publisher’s Note: MDPI stays neutral with regard to jurisdictional claims in published maps and institutional affiliations. |
© 2021 by the authors. Licensee MDPI, Basel, Switzerland. This article is an open access article distributed under the terms and conditions of the Creative Commons Attribution (CC BY) license (https://creativecommons.org/licenses/by/4.0/).
Share and Cite
Nedeljković, D.; Knežević, S.; Božić, D.; Vrbničanin, S. Critical Time for Weed Removal in Corn as Influenced by Planting Pattern and PRE Herbicides. Agriculture 2021, 11, 587. https://doi.org/10.3390/agriculture11070587
Nedeljković D, Knežević S, Božić D, Vrbničanin S. Critical Time for Weed Removal in Corn as Influenced by Planting Pattern and PRE Herbicides. Agriculture. 2021; 11(7):587. https://doi.org/10.3390/agriculture11070587
Chicago/Turabian StyleNedeljković, Dejan, Stevan Knežević, Dragana Božić, and Sava Vrbničanin. 2021. "Critical Time for Weed Removal in Corn as Influenced by Planting Pattern and PRE Herbicides" Agriculture 11, no. 7: 587. https://doi.org/10.3390/agriculture11070587
APA StyleNedeljković, D., Knežević, S., Božić, D., & Vrbničanin, S. (2021). Critical Time for Weed Removal in Corn as Influenced by Planting Pattern and PRE Herbicides. Agriculture, 11(7), 587. https://doi.org/10.3390/agriculture11070587

