Calibration and Evaluation of the FAO AquaCrop Model for Canola (Brassica napus) under Varied Moistube Irrigation Regimes
Abstract
1. Introduction
2. Materials and Methods
2.1. Model Description
2.2. Experimental Design
Study Site and Description of the Field Experiment
2.3. Model Parameters and Input Data
2.3.1. Weather Data
2.3.2. Canopy Cover (CC)
2.3.3. Soil Data
2.4. Field and Water Management Practices
2.4.1. Biomass (B)
2.4.2. Actual Evapotranspiration (ETa)
2.4.3. Water Productivity (WPET)
2.5. Model Calibration
2.6. Model Validation and Evaluation Statistics
3. Results and Discussion
3.1. The Effects of Water Regimes on Growth, Yield, and Water Productivity of Canola
3.2. Model Calibration
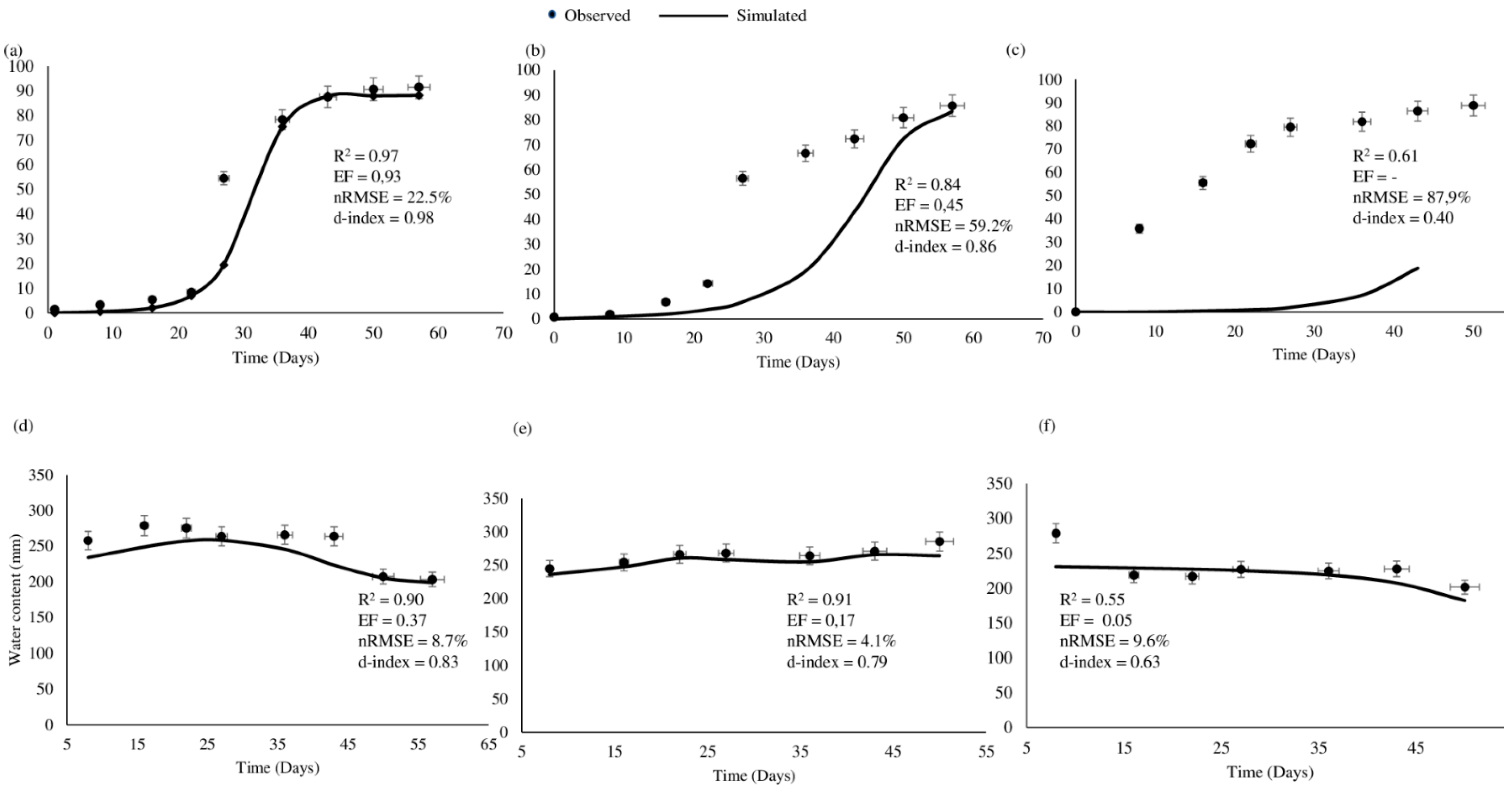
3.2.1. Soil Water Content
3.2.2. Canopy Cover
3.2.3. Biomass (B) and Yield (Y)
3.2.4. Water Productivity (WPET)
3.3. Model Validation
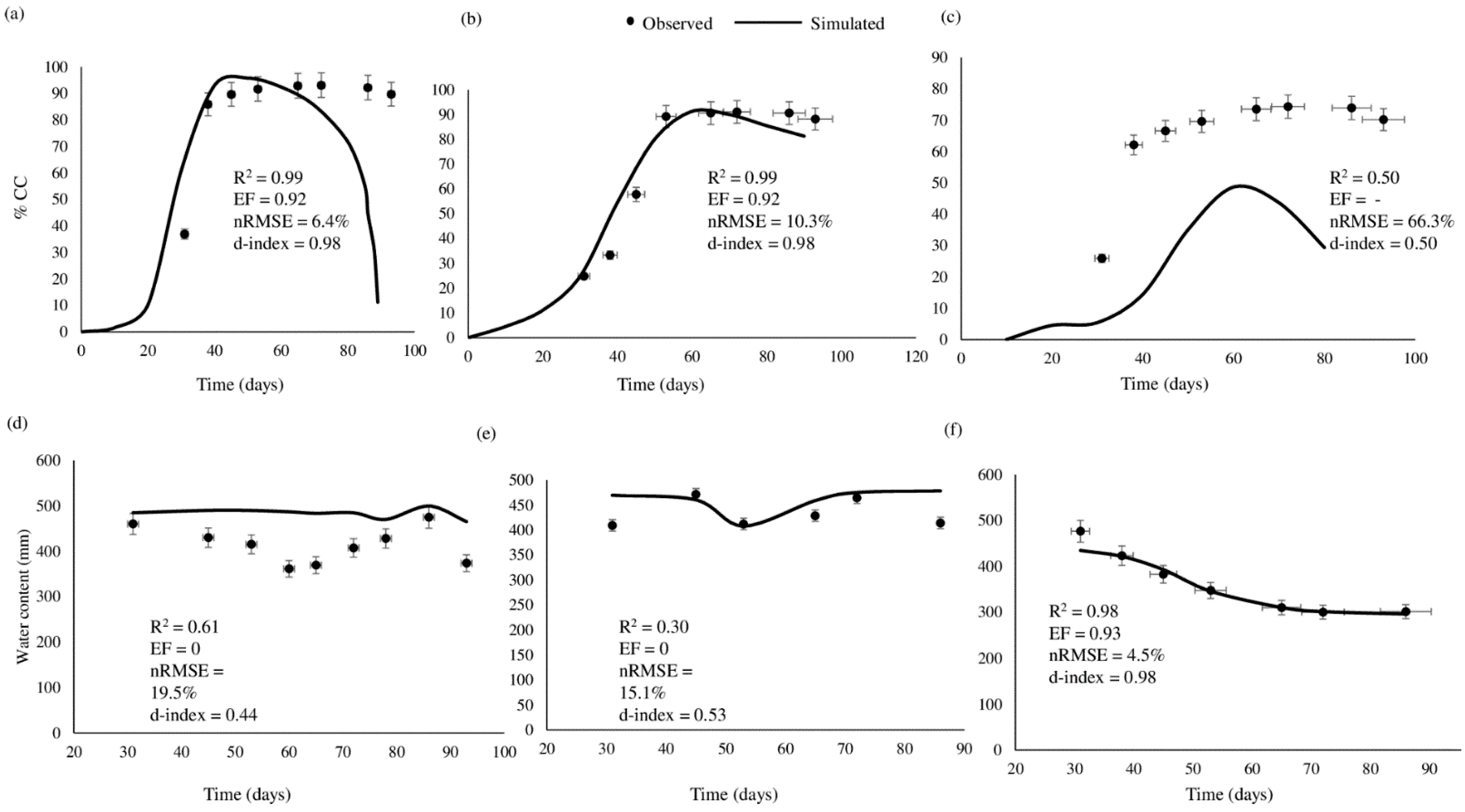
3.3.1. Soil Water Content
3.3.2. Canopy Cover
3.3.3. Biomass and Yield
3.3.4. Water Productivity (WPET)
4. Conclusions and Recommendations
Author Contributions
Funding
Institutional Review Board Statement
Informed Consent Statement
Data Availability Statement
Acknowledgments
Conflicts of Interest
References
- Mustafa, M.; Mabhaudhi, T.; Avvari, M.V.; Massawe, F. Transition toward sustainable food systems: A holistic pathway toward sustainable development. In Food Security and Nutrition; Galanakis, C., Ed.; Academic Press: London, UK, 2020; pp. 44–45. [Google Scholar]
- Chimonyo, V.G.P.; Wimalasiri, E.M.; Kunz, R.; Modi, A.T.; Mabhaudhi, T. Optimizing Traditional Cropping Systems Under Climate Change: A Case of Maize Landraces and Bambara Groundnut. Front. Sustain. Food Syst. 2020, 4, 186. [Google Scholar] [CrossRef]
- Korres, N.E.; Norsworthy, J.K.; Tehranchian, P.; Gitsopoulos, T.K.; Loka, D.A.; Oosterhuis, D.M.; Gealy, D.R.; Moss, S.R.; Burgos, N.R.; Miller, M.R.; et al. Cultivars to face climate change effects on crops and weeds: A review. Agron. Sustain. Dev. 2016, 36, 1–22. [Google Scholar] [CrossRef]
- Fujihara, Y.; Tanaka, K.; Watanabe, T.; Nagano, T.; Kojiri, T. Assessing the impacts of climate change on the water resources of the Seyhan River Basin in Turkey: Use of dynamically downscaled data for hydrologic simulations. J. Hydrol. 2008, 353, 33–48. [Google Scholar] [CrossRef]
- Kang, Y.; Khan, S.; Ma, X. Climate change impacts on crop yield, crop water productivity and food security—A review. Prog. Nat. Sci. 2009, 19, 1665–1674. [Google Scholar] [CrossRef]
- Zhang, B.; Fu, Z.; Wang, J.; Zhang, L. Farmers’ adoption of water-saving irrigation technology alleviates water scarcity in metropolis suburbs: A case study of Beijing, China. Agric. Water Manag. 2019, 212, 349–357. [Google Scholar] [CrossRef]
- Raymer, P.L. Canola: An emerging oilseed crop. In Trends in New Crops New Uses; Janick, J., Whipkey, A., Eds.; ASHS Press: Alexandria, VA, USA, 2002; pp. 122–126. [Google Scholar]
- Bañuelos, G.S.; Bryla, D.R.; Cook, C.G. Vegetative production of kenaf and canola under irrigation in central California. Ind. Crop. Prod. 2002, 15, 237–245. [Google Scholar] [CrossRef]
- Lordkipanidze, N.; Epperson, J.; Ames, G. An economic analysis of the import demand for canola oil in the United States. J. Int. Food Agribus. Mark. 1998, 9, 23–34. [Google Scholar] [CrossRef]
- Katuwal, K.B.; Cho, Y.; Singh, S.; Angadi, S.V.; Begna, S.; Stamm, M. Soil water extraction pattern and water use efficiency of spring canola under growth-stage-based irriga-tion management. Agric. Water Manag. 2020, 239, 106232. [Google Scholar] [CrossRef]
- Safi, S.Z.; Kamgar-Haghighi, A.A.; Zand-Parsa, S.; Emam, Y.; Honar, T. Evaluation of Yield, Actual Crop Evapotranspiration and Water Productivity of Two Canola Cultivars as Influenced by Transplanting and Seeding and Deficit Irrigation. Int. J. Plant Prod. 2018, 13, 23–33. [Google Scholar] [CrossRef]
- Hergert, G.; Margheim, J.; Pavlista, A.; Martin, D.; Isbell, T.; Supalla, R. Irrigation response and water productivity of deficit to fully irrigated spring camelina. Agric. Water Manag. 2016, 177, 46–53. [Google Scholar] [CrossRef]
- Taylor, A.J.; Smith, C.J.; Wilson, I.B. Effect of irrigation and nitrogen fertilizer on yield, oil content, nitrogen accumulation and water use of canola (Brassica napus L.). Nutr. Cycl. Agroecosystems 1991, 29, 249–260. [Google Scholar] [CrossRef]
- Katuwal, K.B.; Angadi, S.V.; Singh, S.; Cho, Y.; Begna, S.; Umesh, M.R. Growth-Stage-Based Irrigation Management on Biomass, Yield, and Yield Attributes of Spring Canola in the Southern Great Plains. Crop. Sci. 2018, 58, 2623–2632. [Google Scholar] [CrossRef]
- Khalili, M.; Aboughadareh, A.P.; Naghavi, M.R.; Talebzadeh, S.J. Response of spring canola (Brassica napus L.) genotypes to water deficit stress. Int. J. Agric. Crop Sci. 2012, 4, 1579–1586. [Google Scholar]
- Majnooni-Heris, A.; Nazemi, A.H.; Sadraddini, A.A. Effects of deficit irrigation on the yield, yield components, water and irrigation water use efficiency of spring canola. Biodivers. Environ. Sci. 2014, 5, 44–53. [Google Scholar]
- Pavlista, A.; Hergert, G.; Margheim, J.; Isbell, T. Growth of spring canola (Brassica napus) under deficit irrigation in Western Nebraska. Ind. Crop. Prod. 2016, 83, 635–640. [Google Scholar] [CrossRef]
- Yang, W.; Tian, L.; Du, T.; Ding, R.; Yang, Q. Research Prospect of the Water-saving Irrigation by Semi-permeable Film. J. Water Resour. Water Eng. 2008, 19, 60–63. [Google Scholar]
- Kanda, E.K.; Niu, W.; Mabhaudhi, T.; Senzanje, A. Moistube Irrigation Technology: A Review. Agric. Res. 2020, 9, 139–147. [Google Scholar] [CrossRef]
- Dirwai, T.; Mabhaudhi, T.; Kanda, E.; Senzanje, A. Moistube irrigation technology development, adoption and future prospects: A systematic scoping review. Heliyon 2021, 7, e06213. [Google Scholar] [CrossRef]
- Locascio, S.J. Management of Irrigation for Vegetables: Past, Present, and Future. HortTechnology 2005, 15, 482–485. [Google Scholar] [CrossRef]
- Kanda, E.K.; Senzanje, A.; Mabhaudhi, T. Effect of Moistube and subsurface drip irrigation on cowpea (Vigna unguiculata (l.) Walp) production in South Africa. Water SA 2020, 46, 197–204. [Google Scholar]
- Foster, T.; Brozović, N.; Butler, A.P.; Neale, C.M.U.; Raes, D.; Steduto, P.; Fereres, E.; Hsiao, T.C. AquaCrop-OS: An open source version of FAO’s crop water productivity model. Agric. Water Manag. 2017, 181, 18–22. [Google Scholar] [CrossRef]
- Bauböck, R. Simulating the yields of bioenergy and food crops with the crop modeling software BioSTAR: The carbon-based growth engine and the BioSTAR ET0 method. Environ. Sci. Eur. 2014, 26, 1. [Google Scholar] [CrossRef]
- He, D.; Wang, E.; Wang, J.; Lilley, J.; Luo, Z.; Pan, X.; Pan, Z.; Yang, N. Uncertainty in canola phenology modelling induced by cultivar parameterization and its impact on simulated yield. Agric. Forest Meteorol. 2017, 232, 163–175. [Google Scholar] [CrossRef]
- Robertson, M.; Kirkegaard, J. Crop modelling for the Australian canola industry: A review. In Proceedings of the 13th Australian Research Assembly on Brassicas, Tamworth Regional Entertainment Centre, Tamworth, NSW, Australia, 8–12 September 2003. [Google Scholar]
- Qian, B.; Jing, Q.; Zhang, X.; Shang, J.; Liu, J.; Wan, H.; Dong, T.; De Jong, R. Adapting estimation methods of daily solar radiation for crop modelling applications in Canada. Can. J. Soil Sci. 2019, 99, 533–547. [Google Scholar] [CrossRef]
- Raes, D.; Steduto, P.; Hsiao, T.C.; Fereres, E. AquaCrop—The FAO crop model to simulate yield response to water: II. Main algorithms and software de-scription. Agron. J. 2009, 101, 438–447. [Google Scholar] [CrossRef]
- Steduto, P.; Hsiao, T.C.; Raes, D.; Fereres, E. AquaCrop—The FAO Crop Model to Simulate Yield Response to Water: I. Concepts and Underlying Principles. Agron. J. 2009, 101, 426–437. [Google Scholar] [CrossRef]
- Todorovic, M.; Albrizio, R.; Zivotic, L.; Saab, M.-T.A.; Stöckle, C.; Steduto, P. Assessment of AquaCrop, CropSyst, and WOFOST Models in the Simulation of Sunflower Growth under Different Water Regimes. Agron. J. 2009, 101, 509–521. [Google Scholar] [CrossRef]
- Kanda, E.K.; Senzanje, A.; Mabhaudhi, T. Calibration and validation of the AquaCrop model for full and deficit irrigated cowpea (Vigna unguiculata (L.) Walp). Phys. Chem. Earth Parts A/B/C 2020, 102941. [Google Scholar] [CrossRef]
- Chibarabada, T.; Modi, A.; Mabhaudhi, T. Calibration and evaluation of aquacrop for groundnut (Arachis hypogaea) under water deficit conditions. Agric. Forest Meteorol. 2020, 281, 107850. [Google Scholar] [CrossRef]
- Andarzian, B.; Bannayan, M.; Steduto, P.; Mazraeh, H.; Barati, M.; Rahnama, A. Validation and testing of the AquaCrop model under full and deficit irrigated wheat production in Iran. Agric. Water Manag. 2011, 100, 1–8. [Google Scholar] [CrossRef]
- Iqbal, M.A.; Shen, Y.; Stricevic, R.; Pei, H.; Sun, H.; Amiri, E.; Penas, A.; del Rio, S. Evaluation of the FAO AquaCrop model for winter wheat on the North China Plain under deficit irrigation from field experiment to regional yield simulation. Agric. Water Manag. 2014, 135, 61–72. [Google Scholar] [CrossRef]
- Jin, X.-L.; Feng, H.-K.; Zhu, X.-K.; Li, Z.-H.; Song, S.-N.; Song, X.-Y.; Yang, G.-J.; Xu, X.-G.; Guo, W.-S. Assessment of the AquaCrop Model for Use in Simulation of Irrigated Winter Wheat Canopy Cover, Biomass, and Grain Yield in the North China Plain. PLoS ONE 2014, 9, e86938. [Google Scholar] [CrossRef] [PubMed]
- Kumar, P.; Sarangi, A.; Singh, D.; Parihar, S. Evaluation of aquacrop model in predicting wheat yield and water productivity under irrigated saline regimes. Irrig. Drain. 2014, 63, 474–487. [Google Scholar] [CrossRef]
- Toumi, J.; Er-Raki, S.; Ezzahar, J.; Khabba, S.; Jarlan, L.; Chehbouni, A. Performance assessment of AquaCrop model for estimating evapotranspiration, soil water content and grain yield of winter wheat in Tensift Al Haouz (Morocco): Application to irrigation management. Agric. Water Manag. 2016, 163, 219–235. [Google Scholar] [CrossRef]
- Abedinpour, M.; Sarangi, A.; Rajput, T.; Singh, M.; Pathak, H.; Ahmad, T. Performance evaluation of AquaCrop model for maize crop in a semi-arid environment. Agric. Water Manag. 2012, 110, 55–66. [Google Scholar] [CrossRef]
- Ahmadi, S.H.; Mosallaeepour, E.; Kamgar-Haghighi, A.A.; Sepaskhah, A.R. Modeling maize yield and soil water content with AquaCrop under full and deficit irrigation manage-ments. Water Resour. Manag. 2015, 29, 2837–2853. [Google Scholar] [CrossRef]
- Heng, L.K.; Hsiao, T.; Evett, S.; Howell, T.; Steduto, P. Validating the FAO AquaCrop Model for Irrigated and Water Deficient Field Maize. Agron. J. 2009, 101, 488–498. [Google Scholar] [CrossRef]
- Nyathi, M.; van Halsema, G.; Annandale, J.; Struik, P. Calibration and validation of the AquaCrop model for repeatedly harvested leafy vegetables grown under different irrigation regimes. Agric. Water Manag. 2018, 208, 107–119. [Google Scholar] [CrossRef]
- Zeleke, K.T.; Luckett, D.; Cowley, R. Calibration and Testing of the FAO AquaCrop Model for Canola. Agron. J. 2011, 103, 1610–1618. [Google Scholar] [CrossRef]
- Araya, A.; Habtu, S.; Hadgu, K.M.; Kebede, A.; Dejene, T. Test of AquaCrop model in simulating biomass and yield of water deficient and irrigated barley (Hordeum vulgare). Agric. Water Manag. 2010, 97, 1838–1846. [Google Scholar] [CrossRef]
- Araya, A.; Keesstra, S.; Stroosnijder, L. Simulating yield response to water of Teff (Eragrostis tef) with FAO’s AquaCrop model. Field Crop. Res. 2010, 116, 196–204. [Google Scholar] [CrossRef]
- Farahani, H.J.; Izzi, G.; Oweis, T.Y. Parameterization and Evaluation of the AquaCrop Model for Full and Deficit Irrigated Cotton. Agron. J. 2009, 101, 469–476. [Google Scholar] [CrossRef]
- Mabhaudhi, T.; Modi, A.T.; Beletse, Y.G. Parameterisation and evaluation of the FAO-AquaCrop model for a South African taro (Colocasia esculenta L. Schott) landrace. Agric. Forest Meteorol. 2014, 192, 132–139. [Google Scholar] [CrossRef]
- Maniruzzaman, M.; Talukder, M.; Khan, M.; Biswas, J.; Nemes, A. Validation of the AquaCrop model for irrigated rice production under varied water regimes in Bangladesh. Agric. Water Manag. 2015, 159, 331–340. [Google Scholar] [CrossRef]
- Vanuytrecht, E.; Raes, D.; Willems, P. Global sensitivity analysis of yield output from the water productivity model. Environ. Model. Softw. 2014, 51, 323–332. [Google Scholar] [CrossRef]
- Montoya, F.; Camargo, D.; Ortega, J.; Córcoles, J.; Domínguez, A. Evaluation of Aquacrop model for a potato crop under different irrigation conditions. Agric. Water Manag. 2016, 164, 267–280. [Google Scholar] [CrossRef]
- Geerts, S.; Raes, D.; García, M. Using AquaCrop to derive deficit irrigation schedules. Agric. Water Manag. 2010, 98, 213–216. [Google Scholar] [CrossRef]
- FAO. Crop Evapotranspiration—Guidelines for Computing Crop Water Requirements. In FAO Irrigation and Drainage; Allen, R., Pereira, L.S., Raes, D., Smith, M., Eds.; FAO: Rome, Italy, 1998. [Google Scholar]
- Rautiainen, M.; Mõttus, M.; Stenberg, P. On the relationship of canopy LAI and photon recollision probability in boreal forests. Remote Sens. Environ. 2009, 113, 458–461. [Google Scholar] [CrossRef]
- Cresswell, H.P.; Green, T.W.; McKenzie, N.J. The Adequacy of Pressure Plate Apparatus for Determining Soil Water Retention. Soil Sci. Soc. Am. J. 2008, 72, 41–49. [Google Scholar] [CrossRef]
- Kanda, E.K.; Senzanje, A.; Mabhaudhi, T. Soil water dynamics under Moistube irrigation. Phys. Chem. Earth Parts A/B/C 2020, 115, 102836. [Google Scholar] [CrossRef]
- Klute, A. Water Retention: Laboratory Methods. In Methods of Soil Analysis Part 1; American Society of Agronomy-Soil Science Society of America: Madison, WI, USA, 1986; Volume 5, pp. 635–662. [Google Scholar]
- Qin, W. Exploring Options for Improving Water and Nitrogen Use Efficiency in Crop Production Systems; Wageningen University: Wageningen, The Netherlands, 2015. [Google Scholar]
- Lethbridge University. Canola Swift Current Dataset. In Canola Swift Current; Lethbridge University: Lethbridge, AB, Canada, 2020. [Google Scholar]
- Brink, M. Rates of Progress towards Flowering and Podding in Bambara Groundnut (Vigna subterranea) as a Function of Temperature and Photoperiod. Ann. Bot. 1997, 80, 505–513. [Google Scholar] [CrossRef][Green Version]
- Karandish, F.; Šimůnek, J. A comparison of the HYDRUS (2D/3D) and SALTMED models to investigate the influence of various water-saving irrigation strategies on the maize water footprint. Agric. Water Manag. 2019, 213, 809–820. [Google Scholar] [CrossRef]
- Yang, J.; Liu, S.; Hoogenboom, G. An evaluation of the statistical methods for testing the performance of crop models with observed data. Agric. Syst. 2014, 127, 81–89. [Google Scholar] [CrossRef]
- Moriasi, D.N.; Arnold, J.G.; Van Liew, M.W.; Bingner, R.L.; Harmel, R.D.; Veith, T.L. Model Evaluation Guidelines for Systematic Quantification of Accuracy in Watershed Simulations. Trans. ASABE 2007, 50, 885–900. [Google Scholar] [CrossRef]
- Prasad, P.; Staggenborg, S.; Ristic, Z. Impacts of drought and/or heat stress on physiological, developmental, growth, and yield processes of crop plants. In Response of Crops to Limited Water: Understanding and Modelling Water Stress Effects on Plant Growth Processes; Ahuja, L.R., Reddy, V.R., Ristic, Z., Eds.; American Society of Agronomy: Wisconsin, WI, USA, 2008; pp. 301–355. [Google Scholar]
- Zeleke, K.T.; Luckett, D.J.; Cowley, R.B. Response of canola (Brassica napus L.) and mustard (B. juncea L.) to different watering regimes. Exp. Agric. 2014, 50, 573–590. [Google Scholar] [CrossRef]






| Irrigation Regime | 100% ETc | 75% ETc | 55% ETc | ||||||
|---|---|---|---|---|---|---|---|---|---|
| M 1 | M 2 | M 3 | M 1 | M 2 | M 3 | M 1 | M 2 | M 3 | |
| IF (days) | 4.5 | 2.5 | 2.8 | 6.0 | 3.3 | 3.7 | 8.2 | 4.5 | 5.0 |
| AT (h) | 1.3 | 2.4 | 2.1 | 1.0 | 1.8 | 1.6 | 0.7 | 1.3 | 1.2 |
| Month | Tmax (°C) | Tmin (°C) | Solar Radiation (MJ·m−2) | ETo (mm·d−1) | ||||
|---|---|---|---|---|---|---|---|---|
| S 1 | S 2 | S 1 | S 2 | S 1 | S 2 | S 1 | S 2 | |
| 1 | 33.0 | 44.3 | 9.2 | 13.5 | 20.12 | 37.15 | 7.4 | 9.6 |
| 2 | 36.0 | 48.1 | 10.0 | 12.7 | 24.66 | 41.69 | 8.0 | 9.7 |
| 3 | 39.6 | 49.0 | 9.2 | 12.6 | 30.96 | 43.70 | 8.7 | 9.7 |
| Depth (cm) | θs (cm3·cm−3) | θr (cm3·cm−3) | ks (cm·d−1) | BD (g·cm−3) |
|---|---|---|---|---|
| 10 | 0.52 | 0.33 | 5.1 | 1.28 |
| 20 | 0.52 | 0.28 | 9.7 | 1.27 |
| 30 | 0.55 | 0.33 | 13.7 | 1.19 |
| 40 | 0.60 | 0.27 | 38.1 | 1.07 |
| 50 | 0.56 | 0.32 | 18.6 | 1.16 |
| Parameter | Determination | Value | ||
|---|---|---|---|---|
| Conservative | ||||
| Base temperature (°C) | Obtained from Zeleke et al. [42] | 0 | ||
| Upper temperature (°C) | Obtained from Zeleke et al. [42] | 30 | ||
| Canopy growth coefficient CGC (%.day−1) | Derived from the model using time to reach CCx and value of CCx | 8.9 | ||
| Canopy decline coefficient CDC (%.day−1) | Derived from the model using time to reach senescence | 5.2 | ||
| Canopy expansion | Derived from the model using time to reach CCx and value of CCx | Very fast | ||
| Soil water depletion factor for canopy expansion, upper limit | Pupper | 0.10 | ||
| Soil water depletion factor for canopy expansion, lower limit | Plower | 0.45 | ||
| Shape factor for Water stress coefficient for canopy expansion | Obtained from Zeleke et al. [42] | 3.5 | ||
| Soil water depletion factor for stomatal closure | Pupper | 0.45 | ||
| Shape factor for Water stress coefficient for stomatal closure | Derived from the model | 2.5 | ||
| Soil water depletion factor for early canopy senescence | Pupper | 0.70 | ||
| Shape factor for water stress coefficient for canopy senescence | Derived from the model | 5 | ||
| Normalised water productivity WP* (g·m−2) | Calibrated from the regression of biomass accumulation and ΣTr/ETo | 15.0 | ||
| Adjustment for yield formation (%) | Obtained from Zeleke et al. [42] | 100 | ||
| Basal crop coefficient (maximum) (Kcb(x)) | Obtained from Zeleke et al. [42] | 0.95 | ||
| Non-conservative | 100% ETc | 75% ETc | 55% ETc | |
| Plant density (plants·m−2) | Using intra- and inter-row spacing | 9 | 9 | 9 |
| Initial canopy cover CCo (%) | Derived from the model using initial seedling leaf area and plant density | 1.25 | 1.25 | 1.25 |
| Maximum canopy cover CCx (%) | Consistent maximum cover read from observed canopy cover curve | 93.1 | 91.1 | 74.4 |
| Time to maximum canopy cover (d) | Time to reach peak canopy cover converted from LAI data using Equation (3) | 72 | 72 | 72 |
| Time to flowering (d) | Time taken to when 50% of the plants had formed flowers | 32 | 38 | 44 |
| Length of the flowering stage (d) | Date after 50% flowering to when 50% of the plants had formed pods | 17 | 19 | 15 |
| Time to senescence (d) | Time to when no new leaves are formed, and at least 10% of plants turned yellow | 90 | 90 | 51 |
| Maximum rooting depth (m) | Destructive measurement of a full-grown plant at harvesting | 1.57 | 1.62 | 2.04 |
| Minimum effective rooting depth (m) | Destructive measurement of the seedling root depth at 90% emergence | 0.05 | 0.05 | 0.05 |
| Reference harvest index HIo (%) | Determined initially from optimum irrigation conditions and calibrated until simulated yield closely matched the observed yield | 25 | 25 | 25 |
| Performance Rating | d | EF |
|---|---|---|
| Very good | 0.8 < d < 1.0 | 0.75 < EF < 1.00 |
| Good | 0.6 < d < 0.8 | 0.65 < EF < 0.75 |
| Satisfactory | 0.3 < d < 0.6 | 0.50 < EF < 0.65 |
| Unsatisfactory | d < 0.2 | EF 0.50 |
| Irrigation Regime | Mean Water Content (mm) |
|---|---|
| 100% ETc | 413.6 (37.67) a |
| 75% ETc | 416.4 (39.35) ab |
| 55% ETc | 363.1(62.89) c |
| LSD | 55.5 |
| CV (%) | 12.3 |
| Irrigation Regime | Season 1 | Season 2 | ||
|---|---|---|---|---|
| Yield (ton·ha−1) | Biomass (ton·ha−1) | Yield (ton·ha−1) | Biomass (ton·ha−1) | |
| 100% ETc | 1.32 | 8.26 | 1.37 | 4.70 |
| 75% ETc | 0.73 | 6.51 | 1.15 | 3.21 |
| 55% ETc | 0.56 | 4.43 | 0.75 | 3.23 |
| Yield (ton·ha−1) | Biomass (ton·ha−1) | |||||
|---|---|---|---|---|---|---|
| Irrigation Regime | Observed | Simulated | D (%) | Observed | Simulated | D (%) |
| 100% ETc | 1.32 (0.34) | 0.87 | 34.17 | 8.26 (2.58) | 4.01 | 51.45 |
| 75% ETc | 0.73 (0.12) | 1.44 | −97.26 | 6.51 (2.32) | 6.46 | 0.77 |
| 55% ETc | 0.56 (0.12) | 0.89 | −58.9 | 4.43 (1.44) | 3.35 | 20.31 |
| Yield (ton·ha−1) | Biomass (ton·ha−1) | |||||
|---|---|---|---|---|---|---|
| Irrigation Regime | Observed | Simulated | D (%) | Observed | Simulated | D (%) |
| 100% ETc | 1.48 (0.20) | 1.37 | 7.43 | 4.70 (2.20) | 7.26 | −54.47 |
| 75% ETc | 1.15 (0.29) | 1.44 | −25.22 | 3.21 (1.50) | 6.46 | −100 |
| 55% ETc | 0.75 (0.10) | 0.66 | 12 | 3.23 (1.50) | 2.58 | 20.12 |
Publisher’s Note: MDPI stays neutral with regard to jurisdictional claims in published maps and institutional affiliations. |
© 2021 by the authors. Licensee MDPI, Basel, Switzerland. This article is an open access article distributed under the terms and conditions of the Creative Commons Attribution (CC BY) license (http://creativecommons.org/licenses/by/4.0/).
Share and Cite
Dirwai, T.L.; Senzanje, A.; Mabhaudhi, T. Calibration and Evaluation of the FAO AquaCrop Model for Canola (Brassica napus) under Varied Moistube Irrigation Regimes. Agriculture 2021, 11, 410. https://doi.org/10.3390/agriculture11050410
Dirwai TL, Senzanje A, Mabhaudhi T. Calibration and Evaluation of the FAO AquaCrop Model for Canola (Brassica napus) under Varied Moistube Irrigation Regimes. Agriculture. 2021; 11(5):410. https://doi.org/10.3390/agriculture11050410
Chicago/Turabian StyleDirwai, Tinashe Lindel, Aidan Senzanje, and Tafadzwanashe Mabhaudhi. 2021. "Calibration and Evaluation of the FAO AquaCrop Model for Canola (Brassica napus) under Varied Moistube Irrigation Regimes" Agriculture 11, no. 5: 410. https://doi.org/10.3390/agriculture11050410
APA StyleDirwai, T. L., Senzanje, A., & Mabhaudhi, T. (2021). Calibration and Evaluation of the FAO AquaCrop Model for Canola (Brassica napus) under Varied Moistube Irrigation Regimes. Agriculture, 11(5), 410. https://doi.org/10.3390/agriculture11050410

