Secondary Metabolites Produced by Neofusicoccum Species Associated with Plants: A Review
Abstract
1. Introduction
2. Secondary Metabolites
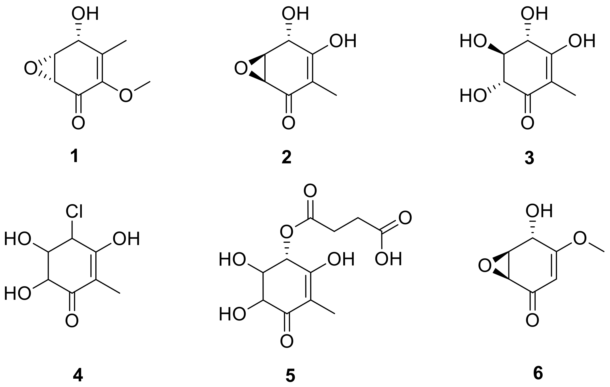
2.1. Cyclohexenones
2.2. 5,6-Dihydro-2-Pyrones
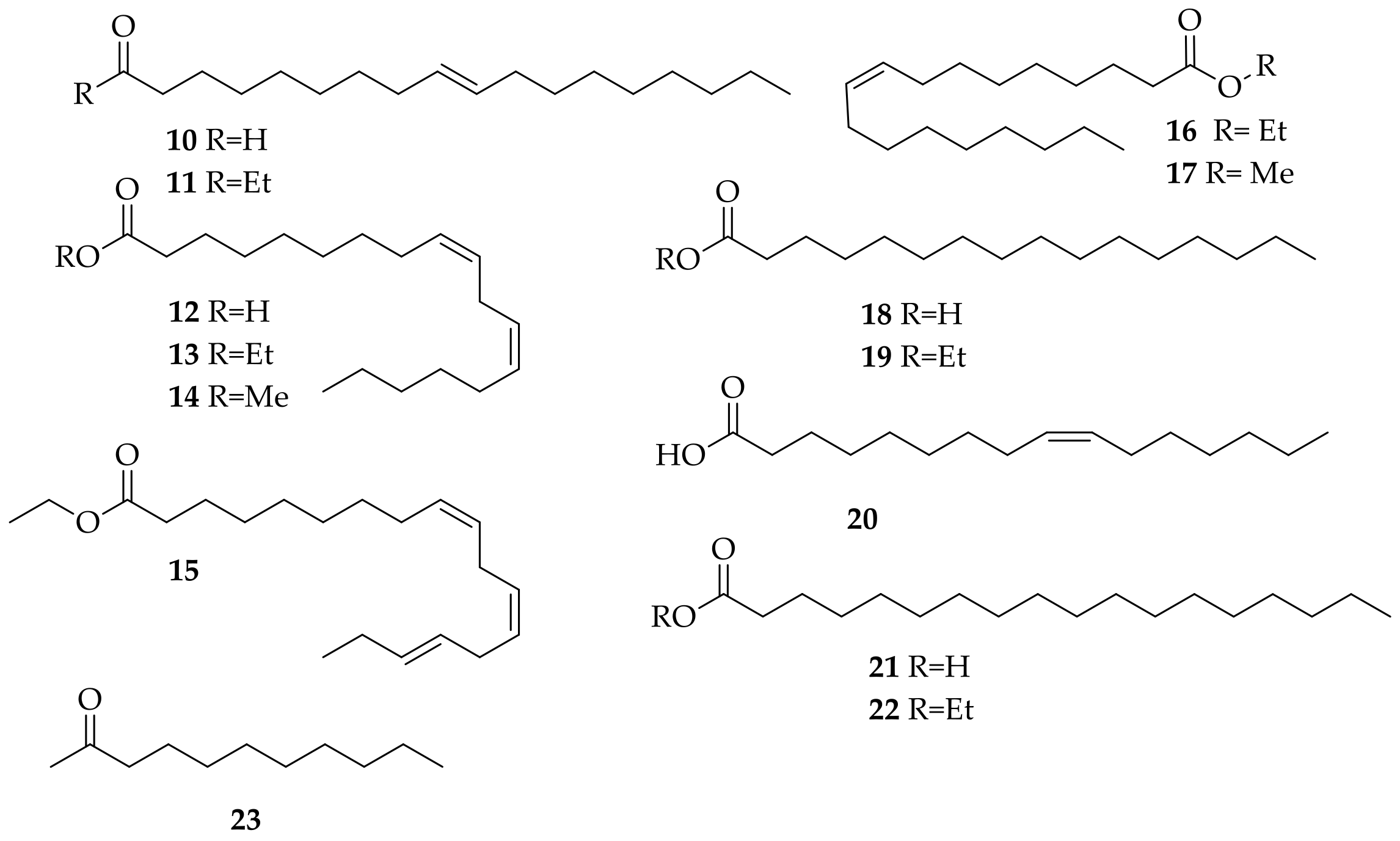
2.3. Fatty Acids
2.4. Melleins
2.5. Myrtucommulones
2.6. Naphthalenones
2.7. Naphthoquinones
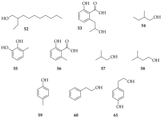
2.8. Phenols and Alcohols
2.9. Sesquiterpenes
2.10. Miscellaneous
3. Phytotoxicity of Neofusicoccum Metabolites on Grapevine
4. Conclusions
Author Contributions
Funding
Institutional Review Board Statement
Informed Consent Statement
Data Availability Statement
Conflicts of Interest
References
- Crous, P.W.; Slippers, B.; Wingfield, M.J.; Rheeder, J.; Marasas, W.F.O.; Philips, A.J.L.; Alves, A.; Burgess, T.; Barber, P.; Groenewald, J.Z. Phylogenetic lineages in the Botryosphaeriaceae. Stud. Mycol. 2006, 55, 235–253. [Google Scholar] [CrossRef]
- MycoBank. Available online: www.mycobank.org (accessed on 9 January 2021).
- Index Fungorum. Available online: www.indexfungorum.org (accessed on 9 January 2021).
- Phillips, A.J.L.; Alves, A.; Abdollahzadeh, J.; Slippers, B.; Wingfield, M.J.; Groenewald, J.Z.; Crous, P.W. The Botryosphaeriaceae: Genera and species known from culture. Stud. Mycol. 2013, 76, 51–167. [Google Scholar] [CrossRef]
- Lopes, A.; Barradas, C.; Phillips, A.J.L.; Alves, A. Diversity and phylogeny of Neofusicoccum species occurring in forest and urban environments in Portugal. Mycosphere 2016, 7, 906–920. [Google Scholar] [CrossRef]
- Úrbez-Torres, J.R.; Gubler, W.D. Pathogenicity of Botryosphaeriaceae species isolated from grapevine cankers in California. Plant Dis. 2009, 93, 584–592. [Google Scholar] [CrossRef]
- Rai, M.; Agarkar, G. Plant-fungal interactions: What triggers the fungi to switch among lifestyles? Crit. Rev. Microbiol. 2016, 42, 428–438. [Google Scholar] [CrossRef]
- Félix, C.; Salvatore, M.M.; Dellagreca, M.; Meneses, R.; Duarte, A.S.; Salvatore, F.; Naviglio, D.; Gallo, M.; Jorrín-Novo, J.V.; Alves, A.; et al. Production of toxic metabolites by two strains of Lasiodiplodia theobromae, isolated from a coconut tree and a human patient. Mycologia 2018, 110, 642–653. [Google Scholar] [CrossRef] [PubMed]
- Salvatore, M.M.; Félix, C.; Lima, F.; Ferreira, V.; Duarte, A.S.; Salvatore, F.; Alves, A.; Esteves, A.C.; Andolfi, A. Effect of γ-aminobutyric acid (GABA) on the metabolome of two strains of Lasiodiplodia theobromae isolated from grapevine. Molecules 2020, 25, 3833. [Google Scholar] [CrossRef] [PubMed]
- Salvatore, M.M.; Félix, C.; Lima, F.; Ferreira, V.; Naviglio, D.; Salvatore, F.; Duarte, A.S.; Alves, A.; Andolfi, A.; Esteves, A.C. Secondary metabolites produced by Macrophomina phaseolina isolated from eucalyptus globulus. Agriculture 2020, 10, 72. [Google Scholar] [CrossRef]
- Félix, C.; Salvatore, M.M.; DellaGreca, M.; Ferreira, V.; Duarte, A.S.; Salvatore, F.; Naviglio, D.; Gallo, M.; Alves, A.; Esteves, A.C.; et al. Secondary metabolites produced by grapevine strains of Lasiodiplodia theobromae grown at two different temperatures. Mycologia 2019, 111, 466–476. [Google Scholar] [CrossRef] [PubMed]
- Salvatore, M.M.; Andolfi, A.; Nicoletti, R. The thin line between pathogenicity and endophytism: The case of Lasiodiplodia theobromae. Agriculture 2020, 10, 488. [Google Scholar] [CrossRef]
- Chambergo, F.S.; Valencia, E.Y. Fungal biodiversity to biotechnology. Appl. Microbiol. Biotechnol. 2016, 100, 2567–2577. [Google Scholar] [CrossRef]
- Meyer, V.; Andersen, M.R.; Brakhage, A.A.; Braus, G.H.; Caddick, M.X.; Cairns, T.C.; de Vries, R.P.; Haarmann, T.; Hansen, K.; Hertz-fowler, C.; et al. Current challenges of research on filamentous fungi in relation to human welfare and a sustainable bio-economy: A white paper. Fungal Biol. Biotechnol. 2016, 3, 1–17. [Google Scholar] [CrossRef] [PubMed]
- Masi, M.; Aloi, F.; Nocera, P.; Cacciola, S.O.; Surico, G.; Evidente, A. Phytotoxic metabolites isolated from Neufusicoccum batangarum, the causal agent of the scabby canker of cactus pear (Opuntia ficus-indica L.). Toxins 2020, 12, 126. [Google Scholar] [CrossRef] [PubMed]
- Reveglia, P.; Savocchia, S.; Billones-Baaijens, R.; Masi, M.; Cimmino, A.; Evidente, A. Phytotoxic metabolites by nine species of Botryosphaeriaceae involved in grapevine dieback in Australia and identification of those produced by Diplodia mutila, Diplodia seriata, Neofusicoccum australe and Neofusicoccum luteum. Nat. Prod. Res. 2019, 33, 2223–2229. [Google Scholar] [CrossRef] [PubMed]
- Andolfi, A.; Maddau, L.; Cimmino, A.; Linaldeddu, B.T.; Franceschini, A.; Serra, S.; Basso, S.; Melck, D.; Evidente, A. Cyclobotryoxide, a phytotoxic metabolite produced by the plurivorous pathogen Neofusicoccum australe. J. Nat. Prod. 2012, 75, 1785–1791. [Google Scholar] [CrossRef]
- Masi, M.; Reveglia, P.; Femina, G.; Baaijens-Billones, R.; Savocchia, S.; Evidente, A. Luteoethanones A and B, two phytotoxic 1-substituted ethanones produced by Neofusicoccum luteum, a causal agent of Botryosphaeria dieback on grapevine. Nat. Prod. Res. 2020, 1–8. [Google Scholar] [CrossRef]
- Burruano, S.; Giambra, S.; Mondello, V.; DellaGreca, M.; Basso, S.; Tuzi, A.; Andolfi, A. Naphthalenone polyketides produced by Neofusicoccum parvum, a fungus associated with grapevine Botryosphaeria dieback. Phytopathol. Mediterr. 2016, 54, 241–252. [Google Scholar]
- Evidente, A.; Punzo, B.; Andolfi, A.; Cimmino, A.; Melck, D.; Luque, J. Lipophilic phytotoxins produced by Neofusicoccum parvum, a grapevine canker agent. Phytopathol. Mediterr. 2010, 49, 74–79. [Google Scholar]
- Abou-Mansour, E.; Débieux, J.L.; Ramírez-Suero, M.; Bénard-Gellon, M.; Magnin-Robert, M.; Spagnolo, A.; Chong, J.; Farine, S.; Bertsch, C.; L’Haridon, F.; et al. Phytotoxic metabolites from Neofusicoccum parvum, a pathogen of Botryosphaeria dieback of grapevine. Phytochemistry 2015, 115, 207–215. [Google Scholar] [CrossRef] [PubMed]
- Ramírez-Suero, M.; Bénard-Gellon, M.; Chong, J.; Laloue, H.; Stempien, E.; Abou-Mansour, E.; Fontaine, F.; Larignon, P.; Mazet-Kieffer, F.; Farine, S.; et al. Extracellular compounds produced by fungi associated with Botryosphaeria dieback induce differential defence gene expression patterns and necrosis in Vitis vinifera cv. Chardonnay cells. Protoplasma 2014, 251, 1417–1426. [Google Scholar] [CrossRef]
- Salvatore, M.M.; Giambra, S.; Naviglio, D.; Dellagreca, M.; Salvatore, F.; Burruano, S.; Andolfi, A. Fatty acids produced by Neofusicoccum vitifusiforme and N. Parvum, fungi associated with grapevine Botryosphaeria dieback. Agriculture 2018, 8, 189. [Google Scholar] [CrossRef]
- Massonnet, M.; Morales-Cruz, A.; Figueroa-Balderas, R.; Lawrence, D.P.; Baumgartner, K.; Cantu, D. Condition-dependent co-regulation of genomic clusters of virulence factors in the grapevine trunk pathogen Neofusicoccum parvum. Mol. Plant Pathol. 2018, 19, 21–34. [Google Scholar] [CrossRef] [PubMed]
- Bara, R.A.; Zerfaß, I.; Lai, D.; Lin, W.; Debbab, A.; Brötz-Oesterelt, H.; Proksch, P. New Natural Product from Botryosphaeria australis, an Endophyte from Mangrove Avicennia marina. Squalen Bull. Mar. Fish. Postharvest Biotechnol. 2013, 8, 139. [Google Scholar] [CrossRef][Green Version]
- Cui, H.; Zhang, H.; Liu, Y.; Gu, Q.; Xu, J.; Huang, X.; She, Z. Ethylnaphthoquinone derivatives as inhibitors of indoleamine-2, 3-dioxygenase from the mangrove endophytic fungus Neofusicoccum austral SYSU-SKS024. Fitoterapia 2018, 125, 281–285. [Google Scholar] [CrossRef]
- Nicoletti, R.; Ferranti, P.; Caira, S.; Misso, G.; Castellano, M.; Di Lorenzo, G.; Caraglia, M. Myrtucommulone production by a strain of Neofusicoccum australe endophytic in myrtle (Myrtus communis). World J. Microbiol. Biotechnol. 2014, 30, 1047–1052. [Google Scholar] [CrossRef]
- Nicoletti, R.; Salvatore, M.M.; Ferranti, P.; Andolfi, A. Structures and bioactive properties of myrtucommulones and related acylphloroglucinols from Myrtaceae. Molecules 2018, 23, 3370. [Google Scholar] [CrossRef]
- Xu, Y.; Lu, C.; Zheng, Z.; Shen, Y. New Polyketides Isolated from Botryosphaeria australis Strain ZJ12-1A. Helv. Chim. Acta 2011, 94, 897–902. [Google Scholar] [CrossRef]
- Masi, M.; Reveglia, P.; Baaijens-Billones, R.; Górecki, M.; Pescitelli, G.; Savocchia, S.; Evidente, A. Phytotoxic metabolites from three Neofusicoccum species causal agents of Botryosphaeria dieback in Australia, luteopyroxin, neoanthraquinone, and luteoxepinone, a disubstituted furo-α-pyrone, a hexasubstituted anthraquinone, and a trisubstituted oxepi-2-o. J. Nat. Prod. 2020, 83, 453–460. [Google Scholar] [CrossRef]
- Oliveira, F.C.; Barbosa, F.G.; Mafezoli, J.; Oliveira, M.C.F.; Camelo, A.L.M.; Longhinotti, E.; Lima, A.C.A.; Câmara, M.P.S.; Gonçalves, F.J.T.; Freire, F.C.O. Volatile organic compounds from filamentous fungi: A chemotaxonomic tool of the Botryosphaeriaceae family. J. Braz. Chem. Soc. 2015, 26, 2189–2194. [Google Scholar] [CrossRef]
- Araújo, A.R.; Monfardini, J.D.; Chapla, V.M.; Lopes, M.N.; Silva, D.H.S.; Cavalheiro, A.J.; da S Bolzani, V. Dihydroisocoumarins produced by Botryosphaeria parva an endophytic fungus from Eugenia jambolana. Planta Med. 2012, 78, PI87. [Google Scholar]
- Kim, J.Y.; Kim, S.; Shim, S.H. Anti-atherosclerotic activity of (3R)-5-hydroxymellein from an endophytic fungus Neofusicoccum parvum JS-0968 derived from Vitex rotundifolia through the inhibition of lipoproteins oxidation and foam cell formation. Biomolecules 2020, 10, 715. [Google Scholar] [CrossRef]
- Uranga, C.C.; Beld, J.; Mrse, A.; Córdova-Guerrero, I.; Burkart, M.D.; Hernández-Martínez, R. Fatty acid esters produced by Lasiodiplodia theobromae function as growth regulators in tobacco seedlings. Biochem. Biophys. Res. Commun. 2016, 472, 339–345. [Google Scholar] [CrossRef]
- Kong, C.; Huang, H.; Xue, Y.; Liu, Y.; Peng, Q.; Liu, Q.; Xu, Q.; Zhu, Q.; Yin, Y.; Zhou, X.; et al. Heterologous pathway assembly reveals molecular steps of fungal terreic acid biosynthesis. Sci. Rep. 2018, 8, 1–12. [Google Scholar] [CrossRef] [PubMed]
- Collett, L.A.; Davies-Coleman, M.T.; Rivett, D.E.A. Naturally occurring 6-substituted 5, 6-dihydro-α-pyrones. In Fortschritte der Chemie organischer Naturstoffe/Progress in the Chemistry of Organic Natural Products; Springer: Vienna, Austria, 1998; pp. 181–209. ISBN 978-3-7091-9004-3. [Google Scholar]
- Dickinson, J.M. Microbial pyran-2-ones and dihydropyran-2-ones. Nat. Prod. Rep. 1991, 71–98. [Google Scholar] [CrossRef] [PubMed]
- Arai, K.; Yoshimura, T.; Itatani, Y.; Yamamoto, Y. Metabolic products of Aspergillus terreus. VIII. Astepyrone: A novel metabolite of the strain IFO 4100. Chem. Pharm. Bull. 1983, 31, 925–933. [Google Scholar] [CrossRef]
- Salvatore, M.M.; Nicoletti, R.; Salvatore, F.; Naviglio, D.; Andolfi, A. GC–MS approaches for the screening of metabolites produced by marine-derived Aspergillus. Mar. Chem. 2018, 206, 19–33. [Google Scholar] [CrossRef]
- Farmer, E.E.; Ryan, C.A. Octadecanoid precursors of jasmonic acid activate the synthesis of wound-inducible proteinase inhibitors. Plant Cell 1992, 4, 129–134. [Google Scholar] [CrossRef]
- Saeed, A. Isocoumarins, miraculous natural products blessed with diverse pharmacological activities. Eur. J. Med. Chem. 2016, 116, 290–317. [Google Scholar] [CrossRef]
- Reveglia, P.; Masi, M.; Evidente, A. Melleins — Intriguing natural compounds. Biomolecules 2020, 10, 772. [Google Scholar] [CrossRef] [PubMed]
- Mohamed, G.A.; Ibrahim, S.R.M. Eucalyptone G, a new phloroglucinol derivative and other constituents from Eucalyptus globulus Labill. Arkivoc 2007, 2007, 281–291. [Google Scholar] [CrossRef]
- Bloor, S.J. Antiviral P-phloroglucinols from new zealand Kunzea species. J. Nat. Prod. 1992, 55, 43–47. [Google Scholar] [CrossRef] [PubMed]
- Montoro, P.; Tuberoso, C.I.G.; Piacente, S.; Perrone, A.; De Feo, V.; Cabras, P.; Pizza, C. Stability and antioxidant activity of polyphenols in extracts of Myrtus communis L. berries used for the preparation of myrtle liqueur. J. Pharm. Biomed. Anal. 2006, 41, 1614–1619. [Google Scholar] [CrossRef]
- Shaheen, F.; Ahmad, M.; Khan, S.N.; Hussain, S.S.; Anjum, S.; Tashkhodjaev, B.; Turgunov, K.; Sultankhodzhaev, M.N.; Choudhary, M.I. Atta-ur-Rahman New α-glucosidase inhibitors and antibacterial compounds from Myrtus communis L. European J. Org. Chem. 2006, 2371–2377. [Google Scholar] [CrossRef]
- Cottiglia, F.; Casu, L.; Leonti, M.; Caboni, P.; Floris, C.; Busonera, B.; Farci, P.; Ouhtit, A.; Sanna, G. Cytotoxic phloroglucinols from the leaves of Myrtus communis. J. Nat. Prod. 2012, 75, 225–229. [Google Scholar] [CrossRef] [PubMed]
- Craven, L.A. New combinations in Melaleuca for Australian species of Callistemon (Myrtaceae). Novon 2006, 16, 468–475. [Google Scholar] [CrossRef]
- Hiranrat, A.; Chitbankluoi, W.; Mahabusarakam, W.; Limsuwan, S.; Voravuthikunchai, S.P. A new flavellagic acid derivative and phloroglucinol from Rhodomyrtus tomentosa. Nat. Prod. Res. 2012, 26, 1904–1909. [Google Scholar] [CrossRef]
- Hiranrat, A.; Mahabusarakam, W. New acylphloroglucinols from the leaves of Rhodomyrtus tomentosa. Tetrahedron 2008, 64, 11193–11197. [Google Scholar] [CrossRef]
- Hiranrat, A.; Mahabusarakam, W.; Carroll, A.R.; Duffy, S.; Avery, V.M. Tomentosones A and B, hexacyclic phloroglucinol derivatives from the thai shrub Rhodomyrtus tomentosa. J. Org. Chem. 2012, 77, 680–683. [Google Scholar] [CrossRef]
- Uchimiya, M.; Stone, A.T. Reversible redox chemistry of quinones: Impact on biogeochemical cycles. Chemosphere 2009, 77, 451–458. [Google Scholar] [CrossRef]
- Evidente, A.; Superchi, S.; Cimmino, A.; Mazzeo, G.; Mugnai, L.; Rubiales, D.; Andolfi, A.; Villegas-Fernández, A.M. Regiolone and isosclerone, two enantiomeric phytotoxic naphthalenone pentaketides: Computational assignment of absolute configuration and its relationship with phytotoxic activity. European J. Org. Chem. 2011, 5564–5570. [Google Scholar] [CrossRef]
- Zhang, P.; Jia, C.; Lang, J.; Li, J.; Luo, G.; Chen, S.; Yan, S.; Liu, L. Mono-and dimeric naphthalenones from the marine-derived fungus Leptosphaerulina chartarum 3608. Mar. Drugs 2018, 16, 173. [Google Scholar] [CrossRef]
- Babula, P.; Adam, V.; Havel, L.; Kizek, R. Noteworthy secondary metabolites naphthoquinones – their occurrence, pharmacological properties and analysis. Curr. Pharm. Anal. 2009, 5, 47–68. [Google Scholar] [CrossRef]
- Qiu, H.Y.; Wang, P.F.; Lin, H.Y.; Tang, C.Y.; Zhu, H.L.; Yang, Y.H. Naphthoquinones: A continuing source for discovery of therapeutic antineoplastic agents. Chem. Biol. Drug Des. 2018, 91, 681–690. [Google Scholar] [CrossRef] [PubMed]
- Futuro, D.O.; Ferreira, P.G.; Nicoletti, C.D.; Borba-Santos, L.P.; Da Silva, F.C.; Rozental, S.; Ferreira, V.F. The antifungal activity of naphthoquinones: An integrative review. An. Acad. Bras. Cienc. 2018, 90, 1187–1214. [Google Scholar] [CrossRef]
- Salvatore, M.M.; Alves, A.; Andolfi, A. Secondary metabolites of Lasiodiplodia theobromae: Distribution, chemical diversity, bioactivity, and implications of their occurrence. Toxins 2020, 12, 457. [Google Scholar] [CrossRef] [PubMed]
- Cane, D.E. Enzymatic Formation of Sesquiterpenes. Chem. Rev. 1990, 90, 1089–1103. [Google Scholar] [CrossRef]
- Benedict, C.R.; Lu, J.L.; Pettigrew, D.W.; Liu, J.; Stipanovic, R.D.; Williams, H.J. The cyclization of farnesyl diphosphate and nerolidyl diphosphate by a purified recombinant δ-cadinene synthase. Plant Physiol. 2001, 125, 1754–1765. [Google Scholar] [CrossRef]
- Back, K.; He, S.; Kim, K.U.; Shin, D.H. Cloning and bacterial expression of sesquiterpene cyclase, a key branch point enzyme for the synthesis of sesquiterpenoid phytoalexin capsidiol in UV-challenged leaves of Capsicum annuum. Plant Cell Physiol. 1998, 39, 899–904. [Google Scholar] [CrossRef][Green Version]
- Townsend, B.J.; Poole, A.; Blake, C.J.; Llewellyn, D.J. Antisense suppression of a (+)-δ-cadinene synthase gene in cotton prevents the induction of this defense response gene during bacterial blight infection but not its constitutive expression. Plant Physiol. 2005, 138, 516–528. [Google Scholar] [CrossRef] [PubMed]
- Yuan, J.S.; Köllner, T.G.; Wiggins, G.; Grant, J.; Degenhardt, J.; Chen, F. Molecular and genomic basis of volatile-mediated indirect defense against insects in rice. Plant J. 2008, 55, 491–503. [Google Scholar] [CrossRef] [PubMed]
- Inoue, Y.; Shiraishi, A.; Hada, T.; Hirose, K.; Hamashima, H.; Shimada, J. The antibacterial effects of terpene alcohols on Staphylococcus aureus and their mode of action. FEMS Microbiol. Lett. 2004, 237, 325–331. [Google Scholar] [CrossRef] [PubMed]
- Kramer, R.; Abraham, W.R. Volatile sesquiterpenes from fungi: What are they good for? Phytochem. Rev. 2012, 11, 15–37. [Google Scholar] [CrossRef]
- Salvatore, M.M.; Nicoletti, R.; DellaGreca, M.; Andolfi, A. Occurrence and properties of thiosilvatins. Mar. Drugs 2019, 17, 664. [Google Scholar] [CrossRef]
- Nicoletti, R.; Fiorentino, A. Plant bioactive metabolites and drugs produced by endophytic fungi of Spermatophyta. Agriculture 2015, 5, 918–970. [Google Scholar] [CrossRef]
- Karioti, A.; Bilia, A.R. Hypericins as potential leads for new therapeutics. Int. J. Mol. Sci. 2010, 11, 562–594. [Google Scholar] [CrossRef]
- Wu, Z.; Xie, Z.; Wu, M.; Li, X.; Li, W.; Ding, W.; She, Z.; Li, C. New antimicrobial cyclopentenones from Nigrospora sphaerica ZMT05, a fungus derived from Oxya chinensis thunber. J. Agric. Food Chem. 2018, 66, 5368–5372. [Google Scholar] [CrossRef]
- Masi, M.; Meyer, S.; Górecki, M.; Pescitelli, G.; Clement, S.; Cimmino, A.; Evidente, A. Phytotoxic activity of metabolites isolated from Rutstroemia sp.n., the causal agent of bleach blonde syndrome on cheatgrass (Bromus tectorum). Molecules 2018, 23, 1734. [Google Scholar] [CrossRef]
- Bertsch, C.; Ramírez-Suero, M.; Magnin-Robert, M.; Larignon, P.; Chong, J.; Abou-Mansour, E.; Spagnolo, A.; Clément, C.; Fontaine, F. Grapevine trunk diseases: Complex and still poorly understood. Plant Pathol. 2013, 62, 243–265. [Google Scholar] [CrossRef]
- Gramaje, D.; Úrbez-Torres, J.R.; Sosnowski, M.R. Grapevine trunk diseases: Symptoms and fungi involved. Plant Dis. 2018, 102, 12–39. [Google Scholar] [CrossRef] [PubMed]
- Raman, T.; Muthukathan, G.; Calzarano, F.; Osti, F.; Baranek, M.; Di Marco, S. Field suppression of Fusarium wilt disease in banana by the combined application of native endophytic and rhizospheric bacterial isolates possessing multiple functions. Phytopathol. Mediterr. 2015, 54, 241–252. [Google Scholar]
- Songy, A.; Fernandez, O.; Clément, C.; Larignon, P.; Fontaine, F. Grapevine trunk diseases under thermal and water stresses. Planta 2019, 249, 1655–1679. [Google Scholar] [CrossRef] [PubMed]
- Hrycan, J.; Hart, M.; Bowen, P.; Forge, T.; Úrbez-Torres, J.R. Grapevine trunk disease fungi: Their roles as latent pathogens and stress factors that favour disease development and symptom expression. Phytopathol. Mediterr. 2020, 59, 395–424. [Google Scholar]
- Úrbez-Torres, J.R. The status of Botryosphaeriaceae species infecting grapevines. Phytopathol. Mediterr. 2011, 50, S5–S45. [Google Scholar]
- Billones-Baaijens, R.; Savocchia, S. A review of Botryosphaeriaceae species associated with grapevine trunk diseases in Australia and New Zealand. Australas. Plant Pathol. 2019, 48, 3–18. [Google Scholar] [CrossRef]
- Andolfi, A.; Mugnai, L.; Luque, J.; Surico, G.; Cimmino, A.; Evidente, A. Phytotoxins produced by fungi associated with grapevine trunk diseases. Toxins 2011, 3, 1569–1605. [Google Scholar] [CrossRef]










| Code | Compound | Formula | Nominal Mass (U) |
|---|---|---|---|
| Cyclohexenones | |||
| 1 | Cyclobotryoxide | C8H10O4 | 170 |
| 2 | (−)-Terremutin | C7H8O4 | 156 |
| 3 | (+)-Terremutin hydrate | C7H10O5 | 174 |
| 4 | (−)-4-Chloro-terremutin hydrate | C7H9ClO4 | 192 |
| 5 | (+)-4-Hydroxysuccinate-terremutin hydrate | C11H14O8 | 274 |
| 6 | (+)-epi-Sphaeropsidone | C7H8O4 | 156 |
| 5,6-Dihydro-2-pyrones | |||
| 7 | Asperlin | C10H12O5 | 212 |
| 8 | (6R,7S)-Dia-asperlin | C10H12O5 | 212 |
| 9 | Luteopyroxin | C9H12O4 | 184 |
| Fatty acids | |||
| 10 | Elaidic acid | C18H34O2 | 282 |
| 11 | Ethyl elaidate | C20H38O2 | 310 |
| 12 | Linoleic acid | C18H32O2 | 280 |
| 13 | Ethyl linoleate | C20H36O2 | 308 |
| 14 | Methyl linoleate | C19H34O2 | 294 |
| 15 | 9,12,15-Octadecatrienoate ethyl ester | C20H34O2 | 306 |
| 16 | Ethyl oleate | C20H38O2 | 310 |
| 17 | Methyl oleate | C19H36O2 | 296 |
| 18 | Palmitic acid | C16H32O2 | 256 |
| 19 | Methyl palmitate | C17H34O2 | 270 |
| 20 | Palmitoleic acid | C16H30O2 | 254 |
| 21 | Stearic acid | C18H36O2 | 284 |
| 22 | Ethyl stearate | C20H40O2 | 312 |
| 23 | Undecan-2-one | C11H22O | 170 |
| Melleins | |||
| 24 | (R)-(−)-Mellein | C10H10O3 | 178 |
| 25 | (R)-(−)-3-Hydroxymellein | C10H10O4 | 194 |
| 26 | (3R,4R)-(−)-4-Hydroxymellein | C10H10O4 | 194 |
| 27 | (3R,4S)-(−)-4-Hydroxymellein | C10H10O4 | 194 |
| 28 | (3R)-5-Hydroxymellein | C10H10O4 | 194 |
| 29 | 7-Hydroxymellein | C10H10O4 | 194 |
| 30 | (±)-Botryoisocoumarin A | C11H12O4 | 208 |
| 31 | (+)-Neoisocoumarin | C10H10O5 | 210 |
| Myrtucommulones | |||
| 32 | Myrtucommulone A | C38H52O10 | 668 |
| 33 | Myrtocommulone B | C24H30O6 | 414 |
| 34 | Myrtucommulone D | C38H50O9 | 650 |
| Naphthalenones | |||
| 35 | Botryosphaerone A | C13H16O6 | 268 |
| 36 | Botryosphaerone B | C13H16O6 | 268 |
| 37 | Botryosphaerone C | C14H18O6 | 282 |
| 38 | Botryosphaerone D | C13H16O5 | 252 |
| 39 | Isosclerone | C11H12O2 | 176 |
| 40 | O-Methylasparvenone | C13H16O4 | 236 |
| 41 | O-Methylaspmenone | C10H10O3 | 178 |
| 42 | (3R,4R)-3-Methoxyl-botryosphaerone D | C14H18O5 | 266 |
| 43 | 3,4,5-Trihydroxy-1-tetralone | C10H10O4 | 194 |
| 44 | (3S,4S)-3,4,8-Trihydroxy-6-methoxy-3,4- dihydro-1(2H)-naphthalenone | C11H12O5 | 224 |
| Naphthoquinones | |||
| 45 | Botryosphaenin | C15H16O6 | 292 |
| 46 | Neofusnaphthoquinone A | C27H24O10 | 508 |
| 47 | 6-Ethyl- 2,7-dimethoxyyjuglone | C14H14O5 | 262 |
| 48 | 6-(1-Hydroxyethyl)-2,7- Dimethoxyjuglone | C14H14O6 | 278 |
| 49 | 6-(1-Methoxylethyl)- 2,7-dimethoxyjuglone | C15H16O6 | 292 |
| 50 | 6-(1-Hydroxyethyl)-2,7- dimethoxyjuglone monoacetate | C16H16O7 | 320 |
| 51 | 5-Hydroxy-2,7-dimethoxynaphthalene-1,4-dione | C12H10O5 | 234 |
| Phenols and alcohols | |||
| 52 | 2-Ethyldecan-1-ol | C12H26O | 186 |
| 53 | 2-Hydroxypropyl salicylic acid | C10H12O4 | 196 |
| 54 | 2-Methylbutan-1-ol | C5H12O | 88 |
| 55 | 3-Methylcatechol | C7H8O2 | 124 |
| 56 | 6-Methyl-salicylic acid | C8H8O3 | 152 |
| 57 | Isobutanol | C4H10O | 74 |
| 58 | Isopentyl alcohol | C5H12O | 88 |
| 59 | p-Cresol | C7H8O | 108 |
| 60 | Phenylethyl alcohol | C8H10O | 122 |
| 61 | Tyrosol | C8H10O2 | 138 |
| Sesquiterpenes | |||
| 62 | Aristolene | C15H24 | 204 |
| 63 | Aristolochene | C15H24 | 204 |
| 64 | δ-Amorphene | C15H24 | 204 |
| 65 | Botryosterpene | C16H22O3 | 262 |
| 66 | Calarene | C15H24 | 204 |
| 67 | α-Cadinol | C15H26O | 222 |
| 68 | α-Cedrene epoxide | C15H24O | 220 |
| 69 | β-Cedren-9-one | C15H24 | 204 |
| 70 | α-Copaene | C15H24 | 204 |
| 71 | 5-Neo-cedranol | C14H24O | 208 |
| 72 | γ-Cadinene | C15H24 | 204 |
| 73 | δ-Cadinene | C15H24 | 204 |
| 74 | β-Elemene | C15H24 | 204 |
| 75 | Ermophylene | C15H24 | 204 |
| 76 | Germacrene D | C15H24 | 204 |
| 77 | Globulol | C15H26O | 222 |
| 78 | Guaiol acetate | C17H28O2 | 264 |
| 79 | Juniper camphor | C15H26O | 222 |
| 80 | α-Selinene | C15H24 | 204 |
| 81 | Trans-cadina-1(2)-4-diene | C15H24 | 204 |
| 82 | Valecene | C15H24 | 204 |
| 83 | Zonarene | C15H24 | 204 |
| Miscellaneous | |||
| 84 | Azelaic acid | C9H16O4 | 188 |
| 85 | 5-(Carboxymethyl)-7-hydroxy-1,4a-dimethyl-6-methylene decahydron aphthalene-1-carboxylic acid | C16H24O5 | 296 |
| 86 | (−)-Terpestacin | C25H38O4 | 402 |
| 87 | Luteoxepinone | C9H12O4 | 184 |
| 88 | Luteoethanone A | C11H15NO3 | 209 |
| 89 | Luteoethanone B | C10H13NO3 | 195 |
| 90 | Neoanthraquinone | C18H16O4 | 296 |
| 91 | (±)-Nigrosporione | C8H10O4 | 170 |
| Species | Strain | Host (Lifestyle) | Identified Compounds | Bioactivity | Ref. |
|---|---|---|---|---|---|
| N. australe (=Botryosphaeria australis) | AMCL7 | Avicennia marina (endophyte) | 40 *, 41, 45, 47, 51, 65, 85 | Antibacterial, cytotoxic | [25] |
| BL24 | Juniper phoenicea (pathogen) | 38, 44, 61 | Phytotoxic | [17] | |
| SYSU-SKS024 | Kandelia candel (endophyte) | 36, 38, 40, 42, 46–50 | IDO inhibitory | [26] | |
| E54ML | Myrtus communis (endophyte) | 32,34 | Antiproliferative | [27] | |
| A1304B | M. communis (endophyte) | 33 | Phytotoxic | [28] | |
| ZJ12-1A | Sonneratia apetala (epiphyte) | 35–38, 40, 41, 47, 50 | [29] | ||
| BOT48 | Vitis vinifera (pathogen) | 1, 55, 61 | [17] | ||
| VP13 | V. vinifera (pathogen) | 24, 61 | [16] | ||
| DAR79506 | V. vinifera (pathogen) | 24, 59, 90, 61 | Phytotoxic | [30] | |
| N. batangarum | CBS143023 | Opuntia ficus-indica (pathogen) | 24, 26, 27, 30, 31, 86 | Phytotoxic | [15] |
| N. cordaticola | 434 | (endophyte) | 23, 52, 54, 57, 58, 60, 62–64, 66–70, 73–76, 78, 80, 82, 83 | [31] | |
| N. luteum | B175 | V. vinifera (pathogen) | 24, 26, 27, 61 | [16] | |
| DAR81016 | V. vinifera (pathogen) | 9, 24, 26, 27, 61, 87–91 | Phytotoxic | [18,30] | |
| N. parvum (=B. parva) | - | Eugenia jambolana (endophyte) | 24, 28, 29 | [32] | |
| 600 | (endophyte) | 23, 52, 54, 57, 58, 60, 63, 66–69, 72, 74, 76, 77–80 | [31] | ||
| JS-0968 | Vitis rotundifolia (endophyte) | 28 | Anti-atherosclerotic | [33] | |
| 2S-16 | V. vinifera (pathogen) | 2–8, 24–27, 53, 56, | Phytotoxic | [21] | |
| CBS 121486 | V. vinifera (pathogen) | 26, 27, 39, 61 | Phytotoxic | [20] | |
| B19 | V. vinifera (pathogen) | 12, 13, 21, 35, 38, 39, 43, | Phytotoxic | [19,23] | |
| Bt67 | V. vinifera (pathogen) | 24 | Phytotoxic | [22] | |
| S-116 | V. vinifera (pathogen) | 24 | Phytotoxic | [22] | |
| DAR80004 | V. vinifera (pathogen) | 24, 26, 27, 61 | [30] | ||
| UCD646So | - | 11, 13–19, 22 | [34] | ||
| N. ribis | 683 | (endophyte) | 23, 54, 57, 58, 60, 62, 64, 66–69, 71, 73–83 | [31] | |
| N. vitifusiforme | B8 | V. vinifera (pathogen) | 10, 12, 18, 20, 21, 84 | [23] |
| Code | Compound | Assay | Concentration | Activity | Ref. |
|---|---|---|---|---|---|
| 1 | Cyclobotryoxide | Leaf puncture | 5.9 mM | 24.3 ± 1.1 (Area lesions mm2) | [17] |
| 2 | (−)-Terremutin | Leaf disk | 1.3 mM | 55% (% of necrotic area) | [21] |
| 6 | (+)-epi-Sphaeropsidone | Leaf disk | 1.3 mM | 47% (% of necrotic area) | [21] |
| 8 | (+)-(6R,7S)-Dia-asperlin | Leaf disk | 0.9 mM | 33% (% of necrotic area) | [21] |
| 9 | Luteopyroxin | Detached leaf | 2.5 mM | Withering and necrotic spots | [30] |
| 24 | (R)-(−)-Mellein | Leaf disk Calli | 1.0 mM 2.5 mM | 50% (% of necrotic area) slight partial necrosis | [21] [22] |
| 25 | (R)-(−)-3-Hydroxymellein | Leaf disk | 1.0 mM | 62% (% of necrotic area) | [21] |
| 26 | (3R,4R)-(−)-4-hydroxymellein | Leaf disk | 1.0 mM | 34% (% of necrotic area) | [21] |
| 27 | (3R,4S)-(−)-4-hydroxymellein | Leaf disk | 1.0 mM | 33% (% of necrotic area) | [21] |
| 35 | Botryosphaerone A | Leaf puncture * | 3.7 mM | 4.74 (Area lesions mm2) | [19] |
| 38 | Botryosphaerone D | Leaf puncture Leaf puncture * | 3.9 mM, 3.9 mM | 11.9 (Area lesions mm2) 9.11 (Area lesions mm2) | [17], [19] |
| 39 | Isosclerone | Leaf puncture * | 5.6 mM | 2.73 (Area lesions mm2) | [19] |
| 43 | 3,4,5-Trihydroxy-1-tetralone | Leaf puncture * | 5.2 mM | 2.13 (Area lesions mm2) | [19] |
| 55 | 3-Methylcatechol | Leaf puncture | 8.1 mM | 4.9 (Area lesions mm2) | [17] |
| 59 | p-Cresol | Detached leaf | 2.5 mM | Low phytotoxicity | [30] |
| 61 | Tyrosol | Leaf puncture | 7.2 mM | 8.3 ± 1.3 (Area lesions mm2) | [17] |
| 87 | Luteoxepinone | Detached leaf | 2.5 mM | Withering and necrotic spots | [30] |
| 88–89 | Luteoethanones A and B | Detached leaf | 2.5 mM | Large necrotic spots, severe shriveling, and distortion of the leaf lamina | [18] |
| 90 | Neoanthraquinone | Detached leaf | 2.5 mM | Large necrotic spots, severe shriveling and distortion of the leaf lamina | [30] |
| 91 | (±)-Nigrosporione | Detached leaf | 2.5 mM | Withering and necrotic spots | [30] |
Publisher’s Note: MDPI stays neutral with regard to jurisdictional claims in published maps and institutional affiliations. |
© 2021 by the authors. Licensee MDPI, Basel, Switzerland. This article is an open access article distributed under the terms and conditions of the Creative Commons Attribution (CC BY) license (http://creativecommons.org/licenses/by/4.0/).
Share and Cite
Salvatore, M.M.; Alves, A.; Andolfi, A. Secondary Metabolites Produced by Neofusicoccum Species Associated with Plants: A Review. Agriculture 2021, 11, 149. https://doi.org/10.3390/agriculture11020149
Salvatore MM, Alves A, Andolfi A. Secondary Metabolites Produced by Neofusicoccum Species Associated with Plants: A Review. Agriculture. 2021; 11(2):149. https://doi.org/10.3390/agriculture11020149
Chicago/Turabian StyleSalvatore, Maria Michela, Artur Alves, and Anna Andolfi. 2021. "Secondary Metabolites Produced by Neofusicoccum Species Associated with Plants: A Review" Agriculture 11, no. 2: 149. https://doi.org/10.3390/agriculture11020149
APA StyleSalvatore, M. M., Alves, A., & Andolfi, A. (2021). Secondary Metabolites Produced by Neofusicoccum Species Associated with Plants: A Review. Agriculture, 11(2), 149. https://doi.org/10.3390/agriculture11020149
