Evaluation of the Entomopathogenic Potential of Beauveria bassiana, Metarhizium anisopliae and Isaria fumosorosea for Management of Cosmopolites sordidus Germar (Coleoptera: Curculionidae)
Abstract
1. Introduction
2. Materials and Methods
2.1. Trapping and Maintenance of the Adult Banana Weevil
2.2. Fungal Isolates
2.3. Spore Viability
2.4. Bioassays
2.4.1. Pathogenicity against Adult Cosmopolites sordidus in the Laboratory
2.4.2. Assessment of Spore Production on Banana Weevil Cadavers
2.4.3. Dose-Mortality Bioassay
2.4.4. Efficacy of EPFs under Field Conditions
2.4.5. Viability of Fungal Spores after Exposure to Field Conditions
2.5. Statistical Analysis
3. Results
3.1. Spore Viability and Pathogenicity of Fungal Isolates to Adults of Cosmopolites sordidus in the Laboratory
3.2. Spore Production per Cosmopolites Sordidus Cadaver
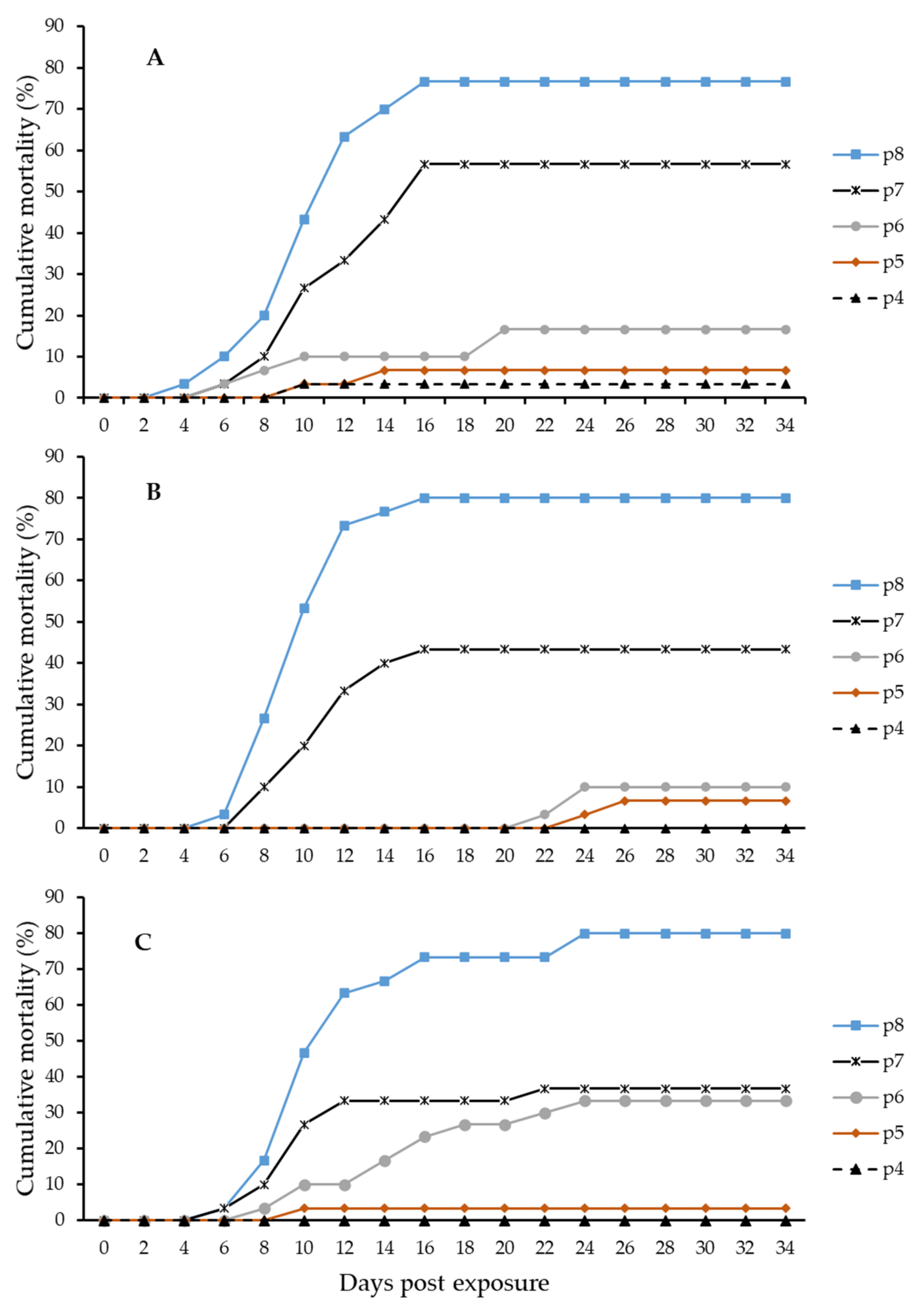
3.3. Dose Response
3.4. Number of Captured Weevils and Pathogenicity of EPFs in the Field
3.5. Spore Viability after Exposure to Field Conditions
4. Discussion
5. Conclusions
Author Contributions
Funding
Data Availability Statement
Acknowledgments
Conflicts of Interest
References
- FAOSTAT Agriculture Data. Available online: http://faostat.fao.org (accessed on 20 May 2021).
- Evans, E.A.; Ballen, F.H.; Siddiq, M. Banana production, global trade, consumption trends, postharvest handling, and processing. In Handbook of Banana Production, Postharvest Science, Processing Technology, and Nutrition, 1st ed.; Siddiq, M., Ahmed, J., Labo, M.G., Eds.; John Wiley & Sons Ltd: Hoboken, NJ, USA, 2020; pp. 1–18. ISBN 9781119528234. [Google Scholar]
- Mwangi, M.; Mbaka, J. Banana farming in Kenya: Options for rejuvenating. In Proceedings of the Second RUFORUM Biennial Meeting, Entebbe, Uganda, 20–24 September 2010. [Google Scholar]
- Van Asten, P.J.A.; Florent, D.; Apio, M.S. Opportunities and constraints for dried dessert banana (Musa spp.) export in Uganda. Acta Hortic. 2010, 879, 105–112. [Google Scholar] [CrossRef]
- Gold, C.S.; Kagezi, G.H.; Night, G.; Ragama, P.E. The effects of banana weevil, Cosmopolites sordidus, damage on Highland banana growth, yield and stand duration in Uganda. Ann. Appl. Biol. 2004, 145, 263–269. [Google Scholar] [CrossRef]
- Rukazambuga, N.D.T.M.; Gold, C.S.; Gowen, S.R. Yield loss in East African Highland banana (Musa spp., AAA-EA group) caused by the banana weevil, Cosmopolites sordidus Germar. Crop Prot. 1998, 17, 581–589. [Google Scholar] [CrossRef]
- Gold, C.S.; Pena, J.E.; Karamura, E.B. Biology and integrated pest management for the banana weevil Cosmopolites sordidus (Germar) (Coleoptera: Curculionidae). Integr. Pest Manag. Rev. 2001, 6, 79–155. [Google Scholar] [CrossRef]
- Masanza, M.; Gold, C.S.; van Huis, A. Distribution, timing of attack, and oviposition of the banana weevil, Cosmopolites sordidus, on banana crop residues in Uganda. Entomol. Exp. Appl. 2005, 117, 119–126. [Google Scholar] [CrossRef]
- Night, G.; Gold, C.S.; Power, A.G. Survivorship and development of the banana weevil Cosmopolites sordidus (Coleoptera: Curculionidae) on different banana cultivars in Uganda. Int. J. Trop. Insect Sci. 2010, 30, 186–191. [Google Scholar] [CrossRef]
- Treverrow, N. Banana Weevil Borer; Vol. H6.AE.1, Agfact H6.AE.1.; CABI: Alstonville, NSW, Australia, 2003; p. 3. ISBN 0725 7759. [Google Scholar]
- Gold, C.S.; Karamura, B.E.; Kiggundu, A.; Bagamba, F.; Abera, M.K.A. Geographic shifts in the Highland cooking banana (Musa spp., group AAA-EA) production in Uganda. Int. J. Sustain. Dev. World Ecol. 1999, 6, 45–59. [Google Scholar] [CrossRef]
- Sengooba, T. Survey of Banana Pest Problem Complex in Rakai and Masaka Districts: Preliminary Trip Report; Uganda Ministry of Agriculture: Kampala, Uganda, 1986; p. 10. [Google Scholar]
- Meldrum, R.A.; Daly, A.M.; Tran-Nguyen, L.T.T.; Aitken, E.A.B. Are banana weevil borers a vector in spreading Fusarium oxysporum f. sp. cubense Tropical Race 4 in banana plantations? Australas. Plant Pathol. 2013, 42, 543–549. [Google Scholar] [CrossRef]
- Were, E.; Nakato, G.V.; Ocimati, W.; Ramathani, I.; Olal, S.; Beed, F. The banana weevil, Cosmopolites sordidus (Germar), is a potential vector of Xanthomonas campestris pv. musacearum in bananas. Can. J. Plant Pathol. 2015, 37, 427–434. [Google Scholar] [CrossRef]
- Gold, C.S.; Speijer, P.R.; Karamura, E.B.; Rukazambuga, N.D. Assessment of banana weevils in East African Highland banana systems and strategies for control. In Banana Nematodes and Weevil Borers in Asia and the Pacific; Valmayo, R.V., Davide, R.G., Stanton, J.M., Treverrow, N.L., Roa, V.N., Eds.; INIBAP: Kualar Lumpur, Malaysia, 1994; pp. 170–910. ISBN 971-20-0367-1. [Google Scholar]
- Alpizar, D.; Fallas, M.; Oehlschlager, A.C.; Gonzalez, L.M. Management of Cosmopolites sordidus and Metamasius hemipterus in banana by pheromone-based mass trapping. J. Chem. Ecol. 2012, 38, 245–252. [Google Scholar] [CrossRef] [PubMed]
- Arinaitwe, I.K.; Barekye, A.; Kubiriba, J.; Sadik, K.; Karamura, E.; Edema, R. Genetic analysis of weevil (Cosmopolites sordidus) resistance in an F2 diploid banana population. Plant Breed. Genet. 2015, 03, 77–91. [Google Scholar]
- Kiggundu, A.; Pillay, M.; Viljoen, A.; Gold, C.S.; Tushemereirwe, W.; Kunert, K. Enhancing banana weevil (Cosmopolites sordidus) resistance by plant genetic modification: A perspective. Afr. J. Biotechnol. 2002, 2, 563–569. [Google Scholar] [CrossRef]
- Arinaitwe, I.K.; Hilman, E.; Ssali, R.; Barekye, A.; Kubiriba, J.; Kagezi, G.; Talwana, H. Response of banana hybrids to the banana weevil (Cosmopolites sordidus Germar) (Coleoptera: Curculionidae) in Uganda. Uganda J. Agric. Sci. 2014, 15, 73–85. [Google Scholar]
- Kiggundu, A.; Gold, C.S.; Labuschagne, M.T.; Vuylsteke, D.; Louw, S. Levels of host plant resistance to banana weevil, Cosmopolites sordidus (Germar) (Coleoptera: Curculionidae), in Ugandan Musa germplasm. Euphytica 2003, 133, 267–277. [Google Scholar] [CrossRef]
- Breeding Better Bananas. Available online: https://breedingbetterbananas.org/ (accessed on 20 December 2020).
- Kaaya, G.P.; Seshu-Reddy, K.V.; Kokwaro, E.D.; Munyinyi, D.M. Pathogenicity of Beauveria bassiana, Metarhizium anisopliae and Serratia marcescens to the banana weevil Cosmopolites sordidus. Biocontrol Sci. Technol. 1993, 3, 177–187. [Google Scholar] [CrossRef]
- Magara, E.; Nankinga, C.M.K.; Gold, C.S.; Kyamanywa, S.; Ragama, P.; Tushemereirwe, W.K.; Moore, D.; Gowen, S.R. Efficacy of Beauveria bassiana substrates and formulations for the control of banana weevil. Uganda J. Agric Sci. 2004, 9, 900–905. [Google Scholar]
- Membang, G.; Ambang, Z.; Mahot, H.C.; Kuate, A.F.; Fiaboe, K.K.M.; Hanna, R. Cosmopolites sordidus (Germar) susceptibility to indigenous Cameroonian Beauveria bassiana (Bals.) Vuill. and Metarhizium anisopliae (Metsch.) isolates. J. Appl. Entomol. 2020, 1–13. [Google Scholar] [CrossRef]
- Omukoko, C.A.; Wesonga, J.M.; Maniania, K.N.; Kahangi, E.M.; Wamocho, L.S. Screening of Beauveria bassiana isolates to the banana weevil and horizontal transmission under laboratory conditions. JAGST 2014, 16, 1–12. [Google Scholar]
- Nankinga, C.M.; Moore, D. Reduction of banana weevil populations using different formulations of the entomopathogenic fungus Beauveria bassiana. Biocontrol Sci. Technol. 2000, 10, 645–657. [Google Scholar] [CrossRef]
- Schoeman, P.S.; Botha, H. Field management of the banana weevil Cosmopolites sordidus (Coleoptera: Curculionidae) with Beauveria bassiana. Afr. Plant Prot. 2003, 9, 1–3. [Google Scholar]
- Akutse, K.S.; Subramanian, S.; Maniania, N.K.; Dubois, T. Biopesticide research and product development in Africa for sustainable agriculture and food security—Experiences from the International Centre of Insect Physiology and Ecology (icipe). Front. Sustain. Food Syst. 2020, 4, 1–14. [Google Scholar] [CrossRef]
- Akello, J. Biodiversity of Fungal Endophytes Associated with Maize, Sorghum and Napier Grass and the Influence of Biopriming on Resistance to Leaf Mining, Stem Boring and Sap Sucking Insect Pests. PhD Thesis, University of Bonn, Bonn, Germany, 2012. [Google Scholar]
- Akello, J.; Chabi-Olaye, A.; Sikora, R.A. Insect antagonistic bio-inoculants for natural control of leaf-mining insect pests of French beans. Afr. Crop Sci. J. 2017, 25, 237–251. [Google Scholar] [CrossRef][Green Version]
- Migiro, L.N.; Maniania, N.K.; Chabi-Olaye, A.; Vandenberg, J. Pathogenicity of entomopathogenic fungi Metarhizium anisopliae and Beauveria bassiana (Hypocreales: Clavicipitaceae) isolates to the adult pea leaf miner (Diptera: Agromyzidae) and prospects of an autoinoculation device for infection in the field. Environ. Entomol. 2010, 39, 468–475. [Google Scholar] [CrossRef] [PubMed]
- Opisa, S.; du Plessis, H.; Akutse, K.S.; Fiaboe, K.K.M.; Ekesi, S. Effects of entomopathogenic fungi and Bacillus thuringiensis-based biopesticides on Spoladea recurvalis (Lepidoptera: Crambidae). J. Appl. Entomol. 2018, 142, 617–626. [Google Scholar] [CrossRef]
- Maniania, K.N. Pathogenicity of Entomogenous fungi (Hyphomycetes) to larvae of the stem borers, Chilo partellus (Swinhoe) and Busseola fusca (Fuller). Int. J. Trop. Insect. Sci. 1992, 13, 691–696. [Google Scholar] [CrossRef]
- Maniania, K.N. Evaluation of three formulations of Beauveria bassiana (Bals.) Vuill. for control of the stem borer Chilo partellus (Swinhoe) (Lep., Pyralidae). J. Appl. Entomol. 1993, 115, 266–272. [Google Scholar] [CrossRef]
- Tumuhaise, V.; Ekesi, S.; Mohamed, S.A.; Ndegwa, P.N.; Irungu, L.W.; Srinivasan, R.; Maniania, N.K. Pathogenicity and performance of two candidate isolates of Metarhizium anisopliae and Beauveria bassiana (Hypocreales: Clavicipitaceae) in four liquid culture media for the management of the legume pod borer Maruca vitrata (Lepidoptera: Crambidae). Int. J. Trop. Insect Sci. 2015, 35, 34–47. [Google Scholar] [CrossRef]
- Mfuti, D.K.; Subramanian, S.; van Tol, R.W.; Wiegers, G.L.; de Kogel, W.J.; Niassy, S.; du Plessis, H.; Ekesi, S.; Maniania, N.K. Spatial separation of semiochemical Lurem-TR and entomopathogenic fungi to enhance their compatibility and infectivity in an autoinoculation system for thrips management. Pest Manag. Sci. 2016, 72, 131–139. [Google Scholar] [CrossRef]
- Mweke, A.; Ulrichs, C.; Nana, P.; Akutse, K.S.; Fiaboe, K.K.M.; Maniania, N.K.; Ekesi, S. Evaluation of the entomopathogenic fungi Metarhizium anisopliae, Beauveria bassiana and Isaria sp. for the management of Aphis craccivora (Hemiptera: Aphididdae). J. Econ. Entomol. 2018, 111, 1587–1594. [Google Scholar] [CrossRef] [PubMed]
- Dimbi, S.; Maniania, N.K.; Lux, S.A.; Ekesi, S.; Mueke, J.K. Pathogenicity of Metarhizium anisopliae (Metsch.) Sorokin and Beauveria bassiana (Balsamo) Vuillemin, to three adult fruit fly species: Ceratitis capitata (Weid.), C. rosa var. fasciventris Karsch and C. cosyra. Mycopathologia 2003, 156, 375–382. [Google Scholar] [CrossRef]
- Onsongo, S.K.; Gichimu, B.M.; Akutse, K.S.; Dubois, T.; Mohamed, S.A. Performance of three isolates of Metarhizium anisopliae and their virulence against Zeugodacus cucurbitae under different temperature regimes, with global extrapolation of their efficiency. Insects 2019, 10, 1–13. [Google Scholar] [CrossRef] [PubMed]
- Viljoen, A.; Mahuku, G.; Massawe, C.; Ssali, R.T.; Kimunye, J.; Mostert, G.; Ndayihanzamaso, P.; Coyne, D.L. Banana Diseases and Pests: Field Guide for Diagnostics and Data Collection; International Institute of Tropical Agriculture (IITA): Ibadan, Nigeria, 2017; p. 73. [Google Scholar]
- Goettel, M.S.; Inglis, D.G.; Wraight, S.P. Fungi. In Field Manual of Techniques in Invertebrate Pathology, 2nd ed.; Lacey, L.A., Kaya, H.K., Eds.; Springer: Dordrecht, Netherlands, 2000; pp. 255–282. ISBN 9789401715478. [Google Scholar]
- Humber, R.A. Identification of entomopathogenic fungi. In Manual of Techniques in Invertebrate Pathology, 2nd ed.; Lacey, L.A., Ed.; Academic Press: London, UK, 2012; pp. 151–187. ISBN 9780123868992. [Google Scholar]
- Potter, C. An improved laboratory apparatus for applying direct sprays and surface films, with data on the electrostatic charge on atomized spray fluids. Ann. Appl. Biol. 1952, 39, 1–28. [Google Scholar] [CrossRef]
- Lopes, R.B.; Michereff-Filho, M.; Tigano, M.S.; Oliveira, P.M.; Neves, J.; Lema López, E.; Fancelli, M.; Padilha, J.; Silva, D. Virulence and horizontal transmission of selected Brazilian strains of Beauveria bassiana against Cosmopolites sordidus under laboratory conditions. Bull. Insectol. 2011, 64, 201–208. [Google Scholar]
- Feakin, S.D. Pest Control in Bananas; CABI: London, UK, 1971; p. 128. [Google Scholar]
- Inglis, D.G.; Johnson, D.L.; Goettel, M.S. Effects of temperature and thermoregulation on mycosis by Beauveria bassiana in grasshoppers. Biol. Control 1996, 7, 131–139. [Google Scholar] [CrossRef]
- Abbott, W.S. A method of computing the effectiveness of an insecticide. J. Econ. Entomol. 1925, 18, 265–267. [Google Scholar] [CrossRef]
- De Mendiburu, F. Statistical Procedures for Agricultural Research. Version 1.3–3. Available online: https://cran.r-project.org/package=agricolae (accessed on 20 July 2021).
- Shapiro, S.S.; Wilk, M.B. An analysis of variance test for normality (complete samples). Biometrika 1965, 52, 591–611. [Google Scholar] [CrossRef]
- Brian, A.; Venables, B.; Bates, D.M.; Firth, D.; Ripley, M.B. Support Functions and Datasets for Venables and Ripley’s MASS. Version 7.3–53.1. Available online: https://cran.r-project.org/package=MASS (accessed on 20 May 2021).
- Therneau, M.T.; Lumley, T.; Elizabeth, A.; Cynthia, C. Survival Analysis. Version 3.2–10. Available online: https://cran.r-project.org/package=survival (accessed on 20 July 2021).
- Bates, D.; Mächler, M.; Bolker, B.M.; Walker, S.C. Linear Mixed-Effects Models Using ‘Eigen’ and S4. Version 1.2–26. Available online: https://cran.r-project.org/package=lme4 (accessed on 20 May 2021).
- Length, V.R.; Buerkner, P.; Herve, M.; Love, J.; Singmann, H. Estimated Marginal Means, Aka Least-Squares Means. Version 1.6.0. Available online: https://cran.r-project.org/package=emmeans (accessed on 20 July 2020).
- Hothorn, T.; Bretz, F.; Westfall, P.; Heiberger, R.M.; Schuetzenmeister, A.; Scheibe, S. Simultaneous Inference in General Parametric Models. Version 1.4–17. Available online: https://cran.r-project.org/package=multcomp (accessed on 15 March 2021).
- R Development Core Team. A Language and Environment for Statistical Computing; R Foundation for Statistical Computing: Vienna, Austria, 2020. [Google Scholar]
- Faria, M.; Lopes, R.B.; Souza, D.A.; Wraight, S.P. Conidial vigor vs. viability as predictors of virulence of entomopathogenic fungi. J. Invertebr. Pathol. 2015, 125, 68–72. [Google Scholar] [CrossRef] [PubMed]
- Francisco, E.A.; Mochi, D.A.; Correia, A.D.C.B.; Monteiro, A.C. Influence of culture media in viability test of conidia of entomopathogenic fungi. Ciência Rural 2006, 36, 1309–1312. [Google Scholar] [CrossRef]
- Guilherme, D.; Oliveira, P.; Pauli, G.; Mascarin, G.M.; Delalibera, I. A protocol for determination of conidial viability of the fungal entomopathogens Beauveria bassiana and Metarhizium anisopliae from commercial products. J. Microbiol. Methods 2015, 119, 44–52. [Google Scholar] [CrossRef]
- Wang, F.; Sethiya, P.; Hu, X.; Guo, S.; Chen, Y.; Li, A.; Tan, K.; Wong, K.H. Transcription in fungal conidia before dormancy produces phenotypically variable conidia that maximize survival in different environments. Nat. Microbiol. 2021, 6, 1066–1081. [Google Scholar] [CrossRef]
- Tinzaara, W.; Gold, C.; Dicke, M.; van Huis, A.; Ragama, P. Host plant odours enhance the responses of adult banana weevil to the synthetic aggregation pheromone Cosmolure+®. Int. J. Pest Manag. 2007, 53, 127–137. [Google Scholar] [CrossRef]
- Budenberg, W.J.; Ndiege, I.O.; Karago, F.W.; Hansson, B.S. Behavioral and electrophysiological responses of the banana weevil Cosmopolites sordidus to host plant volatiles. J. Chem. Ecol. 1993, 19, 267–277. [Google Scholar] [CrossRef] [PubMed]
- Ndiege, I.O.; Budenberg, W.J.; Otieno, D.O.; Hassanali, A. 1,8-Cineole: An attractant for the banana weevil, Cosmopolites sordidus. Phytochemistry 1996, 42, 369–371. [Google Scholar] [CrossRef]
- Lopes, R.B.; Mesquita, A.L.M.; Tigano, M.S.; Souza, D.A.; Martins, I.; Faria, M. Diversity of indigenous Beauveria and Metarhizium spp. in a commercial banana field and their virulence toward Cosmopolites sordidus (Coleoptera: Curculionidae). Fungal Ecol. 2013, 6, 356–364. [Google Scholar] [CrossRef]
- Fang, W.; Leng, B.; Xiao, Y.; Jin, K.; Ma, J.; Fan, Y.; Feng, J.; Yang, X.; Zhang, Y.; Pei, Y. Cloning of Beauveria bassiana chitinase gene Bbchit1 and its application to improve fungal strain virulence. Appl. Environ. Microbiol. 2005, 71, 363–370. [Google Scholar] [CrossRef] [PubMed]
- De Moraes, C.K.; Schrank, A.; Vainstein, M.H. Regulation of extracellular chitinases and proteases in the entomopathogen and acaricide Metarhizium anisopliae. Curr. Microbiol. 2003, 46, 205–210. [Google Scholar] [CrossRef] [PubMed]
- Castellanos-Moguel, J.; González-Barajas, M.; Mier, T.; Reyes-Montes, M.D.R.; Aranda, E.; Toriello, C. Virulence testing and extracellular subtilisin-like (Pr1) and trypsin-like (Pr2) activity during propagule production of Paecilomyces fumosoroseus isolates from whiteflies (Homoptera: Aleyrodidae). Rev. Iberoam Micol. 2007, 24, 62–68. [Google Scholar] [CrossRef]
- Dhawan, M.; Joshi, N. Enzymatic comparison and mortality of Beauveria bassiana against cabbage caterpillar Pieris brassicae Linn. Brazilian J. Microbiol. 2017, 48, 522–529. [Google Scholar] [CrossRef] [PubMed]
- Coulibaly, O.; Cherry, A.J.; Nouhoheflin, T.; Aitchedji, C.C.; Al-Hassan, R. Vegetable producer perceptions and willingness to pay for biopesticides. J. Veg. Sci. 2007, 12, 27–42. [Google Scholar] [CrossRef]
- Jaronski, S.T. Mass production of entomopathogenic fungi: State of the art. In Mass Production of Beneficial Organisms: Invertebrates and Entomopathogens; Morales-Ramos, A.J., Rojas, M.G., Shapiro-llan, I.D., Eds.; Academic Press: San Diego, CA, USA, 2014; pp. 357–413. ISBN 978-0-12-391453-8. [Google Scholar]
- Zhang, L.B.; Feng, M.G. Antioxidant enzymes and their contributions to biological control potential of fungal insect pathogens. Appl. Microbiol. Biotechnol. 2018, 102, 4995–5004. [Google Scholar] [CrossRef]
- Paixão, F.R.S.; Muniz, E.R.; Barreto, L.P.; Bernardo, C.C.; Mascarin, G.M.; Luz, C.; Fernandes, K.K. Increased heat tolerance afforded by oil-based conidial formulations of Metarhizium anisopliae and Metarhizium robertsii. Biocontrol Sci. Technol. 2017, 27, 324–337. [Google Scholar] [CrossRef]
- Dembilio, Ó.; Moya, P.; Vacas, S.; Ortega-García, L.; Quesada-Moraga, E.; Jaques, J.A.; Navarro-Llopis, V. Development of an attract-and-infect system to control Rhynchophorus ferrugineus with the entomopathogenic fungus Beauveria bassiana. Pest Manag. Sci. 2018, 74, 1861–1869. [Google Scholar] [CrossRef] [PubMed]
- Brooks, A.J.; De Muro, M.A.; Burree, E.; Moore, D.; Taylor, M.A.; Wall, R. Growth and pathogenicity of isolates of the fungus Metarhizium anisopliae against the parasitic mite, Psoroptes ovis: Effects of temperature and formulation. Pest Manag. Sci. 2004, 60, 1043–1049. [Google Scholar] [CrossRef] [PubMed]
- Jackson, M.A.; Dunlap, C.A.; Jaronski, S.T. Ecological considerations in producing and formulating fungal entomopathogens for use in insect biocontrol. BioControl 2010, 55, 129–145. [Google Scholar] [CrossRef]
- Roy, H.E.; Pell, J.K. Interactions between entomopathogenic fungi and other natural enemies: Implications for biological control. Biocontrol Sci. Technol. 2000, 10, 737–752. [Google Scholar] [CrossRef]
- Uzakah, R.P.; Olorunfemi, D.I. Population dynamics of the plantain-banana weevil, Cosmopolites sordidus Germar (Coleoptera: Curculionidae) in Bayelsa state, southern Nigeria. Afr. Sci. 2019, 20, 193–199. [Google Scholar]
- Miller, D.R.; Readom, R.C.; McManus, M.L. An Atmospheric Primer for Aerial Spraying of Forests; Department of Agricultural Forest Service: Morgantown, WV, USA, 1995; p. 23. [Google Scholar]



| Fungal Species | Isolate | Year of Isolation | Isolation Host/Source | Locality (Country) of Isolation | Repository | % Viability (Mean ± SE) |
|---|---|---|---|---|---|---|
| Beauveria bassiana | ICIPE 273 | 2006 | Soil | Mbita (Kenya) | ICIPE, Kenya | 94.2 ± 1.36 ab |
| ICIPE 279 | 2005 | Coleopteran larvae | Kericho (Kenya) | ICIPE, Kenya | 92.2 ± 1.22 b | |
| ICIPE 281 | 2005 | Soil | Mauritius | ICIPE, Kenya | 94.1 ± 0.10 ab | |
| ICIPE 284 | 2005 | Soil | Mauritius | ICIPE, Kenya | 94.5 ± 1.07 ab | |
| ICIPE 603 | 2007 | Hymenoptera | Taita hills (Kenya) | ICIPE, Kenya | 92.6 ± 1.15 ab | |
| ICIPE 609 | 2008 | Soil | Meru (Kenya) | ICIPE, Kenya | 93.9 ± 0.92 ab | |
| ICIPE 621 | 2008 | Soil | Kericho (Kenya) | ICIPE, Kenya | 93.5 ± 1.07 ab | |
| ICIPE 622 | 2008 | Soil | Kericho (Kenya) | ICIPE, Kenya | 94.0 ± 1.79 ab | |
| ICIPE 644 | 2007 | Soil | Mauritius | ICIPE, Kenya | 96.1 ± 1.44 ab | |
| ICIPE 647 | 2005 | Soil | Mauritius | ICIPE, Kenya | 94.4 ± 0.02 ab | |
| ICIPE 648 | 2007 | Soil | Kericho (Kenya) | ICIPE, Kenya | 95.5 ± 1.00 ab | |
| ICIPE 660 | 2008 | Soil | Kemokock (Kenya) | ICIPE, Kenya | 93.0 ± 1.36 ab | |
| ICIPE 662 | 2008 | Soil | Mariakani (Kenya) | ICIPE, Kenya | 94.9 ± 0.68 ab | |
| SD 229-Bb01 | 2008 | Soil | Thika, Kenya | Real IPM, Kenya | 96.3 ± 1.62 ab | |
| SD 277-Bb02 | 2018 | White scale insect | Thika, Kenya | Real IPM, Kenya | 93.8 ± 0.48 ab | |
| Metarhizium anisopliae | ICIPE 18 | 1989 | Soil | Mbita (Kenya) | ICIPE, Kenya | 96.9 ± 0.48 ab |
| ICIPE 62 | 1990 | Soil | Matete (DRC) | ICIPE, Kenya | 95.8 ± 0.74 ab | |
| ICIPE 69 | 1990 | Soil | Matete (DRC) | ICIPE, Kenya | 97.9 ± 0.37 a | |
| ICIPE 78 | 1990 | Temnoschoita nigroplagiata | Ungoe (Kenya) | ICIPE, Kenya | 98.0 ± 0.59 a | |
| Isaria fumosorosea | ICIPE 682 | 2015 | Soil | Masai Mara (Kenya) | ICIPE, Kenya | 92.6 ± 0.32 ab |
| Fungal Species | Isolate | % Weevil Mortality (Mean ± SE) | LT50 (Days) (95% FL) | Regression Line | |
|---|---|---|---|---|---|
| Slope (± SE) | Intercept | ||||
| Beauveria bassiana | ICIPE 273 | 80 ± 14.1 a | 5.3 (1.9–8.8) | 0.04 ± 0.008 | −0.21 |
| ICIPE 279 | 7.8 ± 2.6 c | na | na | na | |
| ICIPE 281 | 0 ± 0 c | na | na | na | |
| ICIPE 284 | 62.5 ± 16.5 ab | 18.3 (16.2–20.4) | 0.037 ± 0.008 | −0.68 | |
| ICIPE 603 | 2.5 ± 2.5 c | na | na | na | |
| ICIPE 609 | 30 ± 17.8 bc | na | na | na | |
| ICIPE 621 | 2.5 ± 2.5 c | na | na | na | |
| ICIPE 622 | 53.6 ± 8.5 ab | 24.2 (21.7–26.7) | 0.033 ± 0.008 | −0.79 | |
| ICIPE 644 | 62.5 ± 9.5 ab | 17.4 (15.2–19.7) | 0.035 ± 0.008 | −0.61 | |
| ICIPE 647 | 20 ± 4.1 bc | na | na | na | |
| ICIPE 648 | 82.5 ± 8.5 a | 9.8 (7.9–11.7) | 0.057 ± 0.009 | −0.56 | |
| ICIPE 660 | 82.5 ± 6.3 a | 11.1 (9.4–12.8) | 0.061 ± 0.009 | −0.68 | |
| ICIPE 662 | 27.5 ± 2.5 bc | na | na | na | |
| SD-229-Bb01 | 62.5 ± 4.8 ab | 14.7 (11.5–18) | 0.026 ± 0.008 | −0.39 | |
| SD-277-Bb02 | 50.8 ± 10.3 ab | 26.9 (24.3–29.6) | 0.035 ± 0.008 | −0.95 | |
| Metarhizium anisopliae | ICIPE 18 | 6.7 ± 3.5 c | na | na | na |
| ICIPE 62 | 7.5 ± 7.5 c | na | na | na | |
| ICIPE 78 | 7.5 ± 4.8 c | na | na | na | |
| ICIPE 69 | 0 ± 0 c | na | na | na | |
| Isaria fumosorosea | ICIPE 682 | 2.5 ± 2.5 c | na | na | na |
| Treatment | Days Post Trap Set Up in the Field | ||||||
|---|---|---|---|---|---|---|---|
| 1 | 2 | 3 | 4 | 5 | 6 | 7 | |
| Control | 3.8 ± 0.9 aA | 2.8 ± 1.5 abA | 1.8 ± 0.5 abA | 2.0 ± 0.0 abA | 1.0 ± 0.4 bA | 1 ± 0.4 bA | 0.3 ± 0.3 bA |
| ICIPE 273 | 3.3 ± 0.3 abA | 3.8 ± 0.6 aA | 2.3 ± 0.9 abcA | 1.3 ± 0.6 abcA | 0.8 ± 0.3 bcA | 0.8 ± 0.3 bcA | 0.3 ± 0.3 cA |
| ICIPE 648 | 4.3 ± 0.6 aA | 3.0 ± 1.2 abA | 2.0 ± 0.7 abA | 1.8 ± 0.6 abA | 1.8 ± 0.6 abA | 1.3 ± 0.6 bA | 1.0 ± 0.4 bA |
| ICPE 660 | 3.3 ± 0.3 abA | 2.0 ± 0.4 abA | 2.0 ± 0.4 abA | 1.8 ± 0.5 abA | 1.3 ± 0.6 abA | 1.0 ± 0.0 abA | 0.5 ± 0.3 aA |
| Treatment | Days post EPF Application and Trap Set Up in the Field | |||
|---|---|---|---|---|
| 1 | 2 | 3 | 4 * | |
| Control | 0 ± 0 aB | 0 ± 0 aA | 0 ± 0 aA | 0 ± 0 aA |
| ICIPE 273 | 31.3 ± 2.1 aA | 17.5 ± 6.0 aA | 8.3 ± 8.3 abA | 0 ± 0 bA |
| ICIPE 648 | 20.8 ± 7.2 aA | 8.3 ± 8.3 abA | 0 ± 0 bA | 0 ± 0 bA |
| ICIPE 660 | 22.9 ± 7.9 aAB | 8.3 ± 8.3 abA | 8.3 ± 8.3 abA | 0 ± 0 bA |
Publisher’s Note: MDPI stays neutral with regard to jurisdictional claims in published maps and institutional affiliations. |
© 2021 by the authors. Licensee MDPI, Basel, Switzerland. This article is an open access article distributed under the terms and conditions of the Creative Commons Attribution (CC BY) license (https://creativecommons.org/licenses/by/4.0/).
Share and Cite
Kisaakye, J.; Fourie, H.; Coyne, D.; Cortada, L.; Masinde, S.; Subramanian, S.; Haukeland, S. Evaluation of the Entomopathogenic Potential of Beauveria bassiana, Metarhizium anisopliae and Isaria fumosorosea for Management of Cosmopolites sordidus Germar (Coleoptera: Curculionidae). Agriculture 2021, 11, 1290. https://doi.org/10.3390/agriculture11121290
Kisaakye J, Fourie H, Coyne D, Cortada L, Masinde S, Subramanian S, Haukeland S. Evaluation of the Entomopathogenic Potential of Beauveria bassiana, Metarhizium anisopliae and Isaria fumosorosea for Management of Cosmopolites sordidus Germar (Coleoptera: Curculionidae). Agriculture. 2021; 11(12):1290. https://doi.org/10.3390/agriculture11121290
Chicago/Turabian StyleKisaakye, James, Hendrika Fourie, Danny Coyne, Laura Cortada, Shirlyne Masinde, Sevgan Subramanian, and Solveig Haukeland. 2021. "Evaluation of the Entomopathogenic Potential of Beauveria bassiana, Metarhizium anisopliae and Isaria fumosorosea for Management of Cosmopolites sordidus Germar (Coleoptera: Curculionidae)" Agriculture 11, no. 12: 1290. https://doi.org/10.3390/agriculture11121290
APA StyleKisaakye, J., Fourie, H., Coyne, D., Cortada, L., Masinde, S., Subramanian, S., & Haukeland, S. (2021). Evaluation of the Entomopathogenic Potential of Beauveria bassiana, Metarhizium anisopliae and Isaria fumosorosea for Management of Cosmopolites sordidus Germar (Coleoptera: Curculionidae). Agriculture, 11(12), 1290. https://doi.org/10.3390/agriculture11121290

