Abstract
Summer pruning reduces vegetative growth in apple trees, but it could have an impact on fruit quality. This study analyzed the effects of summer pruning as an eco-friendly pre-harvest alternative to chemical growth regulation inputs on instrumental and sensory quality of highly vigorous apple cv. ‘Reinette du Canada’, which has been awarded with a Protected Designation of Origin label in two environments. The results showed that summer pruning affected the mineral content of the fruit. Summer pruning reduced bitter pit, but it did not negatively affect fruit weight nor any other instrumental characteristic during storage. Moreover, sensory quality or degree of liking were not affected by summer pruning. Thus, summer pruning could be an eco-friendly pre-harvest alternative to chemical treatments to improve quality in global terms of ‘Reinette du Canada’ apple cultivar, regardless of the location. This technique contributed to the decrease of bitter pit incidence, but did not decrease sensory quality nor degree of liking.
1. Introduction
Reduction of fresh produce waste is an essential prerequisite of sustainable horticulture [1]. A great proportion of losses in apple production can be attributed to fruit physiological disorders, usually revealed during cold storage [2]. High acidity apple cultivar ‘Reinette du Canada’ (Malus × domestica Borkh.) is awarded with a Protected Designation of Origin (PDO) within the European Community (Commission Regulation (EC) No 2601/2001) due to its characteristic flattened shape, high firmness, high degree of skin russet and high level of acidity [3]. The consumption of this apple cultivar, not only as fresh fruit but also as dessert fruit (roasted apple), is well-known in Spanish homes, and modified atmosphere packaging in refrigeration conditions has been effective to extend the sensory acceptability of roasted apple cv. ‘Reinette du Canada’ [4]. However, this cultivar is severely affected by bitter pit (BP) during storage [5]. BP, is described as one of the most important physiological disorders of apple fruit whose symptoms appear late in the season and during storage, and can cause significant loss of profitability [6]. The incidence of BP in apple is related to the calcium content of the fruit [7]. In addition to Ca levels, the ratio of this nutrient to others such as magnesium, potassium and nitrogen can play a more important role in cell and tissue metabolism than the role of each nutrient alone [8].
‘Reinette du Canada’ is a highly vigorous cultivar, and excessive vegetative vigor has been linked to low levels of Ca in the fruit and the occurrence of BP, because during early fruit development vigorous shoots are strong competitors for available Ca and during this period much of the Ca deposition occurs in fruitlets, and excessive vegetative growth during this period may result in less Ca deposition in fruitlets [9].
Shoot length can be manipulated through horticultural management by using plant growth regulators [10]. Plant growth regulators such as Paclobutrazol can restrict vegetative growth and improve productivity and fruit quality in apples [11]. However, there is a need to reduce the use of chemical fertilizers and pesticides in order to reduce risks to health and the environment [12], since nowadays society demands more environmentally-conscious practices in order to replace chemical pre-harvest treatments. In fact, chemical growth regulation is not allowed within the guidelines for integrated fruit production (IFP) so preference should be given to natural means of vegetative growth control [13]. This is especially important in high quality products such as PDO apple cultivar ‘Reinette du Canada’, in order to satisfy customers who are willing to pay for more expensive apples without chemical postharvest treatments [14]. Summer pruning, which involves removing unproductive shoots called water sprouts [15,16], is performed with the main aim of controlling tree vigor and reducing the need for winter pruning [17]. Summer pruning reduces vegetative growth and, together with paclobutrazol, it is one of the most effective strategies for reducing shoot length in pears [18], as it improves canopy light penetration, re-exposes spur leaves and fruits in the interior canopy of apple trees, enhances fruit quality, concentrates fruit ripeness, and increases the number of flower buds [19,20,21]. However, summer pruning might limit the carbohydrate availability due to a decrease in the photosynthetic rate as a result of the leaves being removed, thus affecting fruit growth and sugar levels [17]. Summer pruning is considered a sustainable management strategy in dryland apple orchards where it promotes water use efficiency [22], or as an ecological alternative to fertilizers in order to decrease BP incidence during apple storage [14]. Nevertheless, maintaining high-quality standards for sensory quality is one of the priorities for horticultural products [23], and it is not well known how summer pruning performed on apple trees could affect sensory quality of apple fruits.
Taking the aforementioned into account, instrumental and sensory attributes as well as physiological disorders are critical for premium quality fruits such as PDO apple cultivar ‘Reinette du Canada’, and it is essential for these products to achieve quality through eco-friendly practices regardless of location where the orchard is located. Thus, the aim of this research was to investigate the effects of summer pruning as an eco-friendly pre-harvest technique, on BP incidence and sensory quality of PDO ‘Manzana Reineta del Bierzo’ apple cv. ‘Reinette du Canada’ during storage.
2. Materials and Methods
2.1. Locations
Two orchards, located in two locations in El Bierzo Valley (León, Castilla y León, Spain), namely Cabañas Raras and Almázcara both locations allowed to grow PDO ‘Manzana Reineta del Bierzo’ apple, were used for sample collection (Table 1). Nutritional and orchard management practices were comparable in both locations. ‘Cabañas’ orchard has 14-year-old trees on M9 rootstock, planted at 3.5 × 1.5 m spacing (high-density planting system) and trained as a central leader. ‘Almázcara’ orchard has 23-year-old trees on MM106 rootstock, planted at 5 × 5 m spacing (low-density planting system) and trained as an open center with three main scaffold branches.
Table 1.
Geographical and soil characteristics of the experimental locations where apple cv. ‘Reinette du Canada’ was grown.
2.2. Summer Pruning
Trees were selected for uniformity based on tree size and tree foliage density. All trees had been uniformly pruned during the previous dormant season. Dormant pruning of this cultivar with low susceptibility to alternate bearing was performed with pneumatic pruning shears and involved removing vigorous watersprouts, thinning-out cuts and heading cuts, so the number of fruit-bearing shoots left on the trees after pruning was approximately 150 and 600 for central leader and open center respectively, which according to Guerra and Guerra [24] is equivalent to trees bearing a total fruit load of approximately 135 and 540 fruits in central leader and open center in apple cv. ‘Reinette du Canada’, respectively, according to its characteristic fruit set percentage (number of fruit divided by the number of flowers pollinated and multiplied by 100) of 14%.
Summer hand pruning was carried out on the first week of July (99 days after full bloom), when the growth of most extension shoots had ended. Thinning cuts involved removing entire water sprouts and long shoots over 30 cm in length (Figure 1). Control trees received only dormant (winter) pruning with thinning-out cuts.
Figure 1.
Illustration of summer pruning performed in ‘Reinette du Canada’ apple trees: (a) Control trees; (b) Pruned trees.
2.3. Experimental Design and Storage Conditions
The research works involved one-factor experiments, which were carried out in randomized block designs, with two levels (summer pruning and no summer pruning as the control), in order to analyze the effects of summer pruning on apple trees. The experiment was conducted in two orchards (‘Cabañas’ and ‘Almázcara’). Each orchard had three blocks, each consisting of eight individual trees per orchard. Pruning was applied to four trees of each replication, leaving the other four trees as control (a total of 24 trees per orchard was considered). Blocking was based on the location following the steepest slope of the orchards.
Apple cv. ‘Reinette du Canada’ (Malus × domestica Borkh.) was harvested during the commercial harvesting period on september 2016 from the two orchards according to days after full bloom and TSS (Total Soluble Solids): TA (Titratable Acidity) ratio (≥11) to ensure a sufficient quality of ‘Reinette du Canada’ apple which would allow fruit to be marketed with the ‘PDO’ designation after storage [5].
Fruit from each replicate, were collected for instrumental, sensory and BP analyses, and then stored immediately after harvest in cold-storage chambers at 1.5 °C and 92% relative humidity. After 10, 20 and 30 weeks, samples of 20 fruit per analysis period were transferred to 20 °C to be analyzed after a 7-day shelf-life period.
2.4. Instrumental Quality
At harvest and following storage and the ripening period, the fruit was analyzed for weight, color, firmness, iodine–starch index (harvest only), TSS, TA and physiological disorders.
External fruit color was measured using a Minolta, CR-200 colorimeter (Ahrensburg, Germany) and results were expressed in the CIE L*, a*, b* system. The target color was calculated as hue angle = tan−1 b*/a*. Flesh firmness (N) was calculated using an Effegi penetrometer (Effegi TR Turoni and C.; Forlì, Italy) mounted on a hand-operated press and fitted with a 11.1 mm diameter plunger. Iodine–starch index (1–10 scale) was evaluated by dipping an equatorial slide of the fruit into iodine–iodize solution (20 g IK + 10 g I2 + 1 L H2O) for 1 min and comparing the color pattern with a reference chart, Ctifl-Eurofru Code. TSS (%) and TA (% malic acid) were determined in 5 fruit samples, with a digital refractometer (Atago, DR-A1, Tokyo, Japan), and by titrating 10 mL of juice with NaOH 0.1 N up to pH 8.2, respectively. The TSS:TA ratio was then calculated.
Physiological disorders BP and shriveling were determined. The number of fruits affected by disorders was recorded, so that the incidence of fruit with each of the disorders could be calculated. BP was evaluated on a 0–1 scale depending on the presence of visible symptoms, where: 0, no visible symptoms; 1, fruit having more than 1 pit on the surface.
2.5. Sensory Analysis
At harvest and following storage plus the ripening period, sensory analyses were carried out by a panel of 10 judges from the ITACYL (Agriculture Technology Institute of Castilla and Léon), trained to assess apple fruit attributes following the methodology described by Guerra et al. [3]. Degree of liking was scored on a 5-point scale (1–5), 1 being lowest acceptance and 5, highest acceptance [25].
2.6. Mineral Concentration Analysis
Mineral concentration of apple fruit was determined at harvest. Twelve fruits per experimental plot were used for the analysis. For analysis, aliquots of 0.5 g of the skin of the fruit of the different samples were used. Ca and Mg concentrations were determined by atomic absorption spectroscopy and K by flame emission. Nutrient concentrations were expressed as mg 100 g−1 fresh weight.
2.7. Soil Analysis
Soil samples were randomly taken using a soil probe to a depth of 50 cm in each orchard. These soil cores were mixed to make a composite sample. Total N was analyzed using the Kjeldahl method. K, Ca and Mg were estimated using the inductively coupled plasma-atomic emission spectroscopy (ICP-AES) technique [26]. Phosphorus (Olsen) was determined using the extraction method [27].
2.8. Statistical Analysis
The results from each orchard were subjected to a one-factor analysis of variance (ANOVA) in a system of randomized blocks with three repetitions. Mean comparisons were performed using the Fisher’s least significant difference (LSD) test to examine differences (p < 0.05) between treatments. All analyses were performed using the SAS software version 9.1.2 (SAS Institute Inc., Cary, NC, USA, 2004).
3. Results
3.1. Fruit Mineral Concentration
Summer pruning affected the mineral content of the fruit. Although Ca content of the fruit was not significantly affected by summer pruning in neither of the locations, significant differences between treatments were found for K content, so fruit coming from pruned trees had a lower level of K than control fruit. This made that K/Ca ratio in control fruit from ‘Cabañas’ was higher than fruit from pruned trees in this location (Table 2).
Table 2.
Effect of pruning on nutrient concentration (mg per 100 g fresh weight) in apple cv. ‘Reinette du Canada’ at harvest.
3.2. Physiological Disorders during Storage
Summer pruning reduced BP during storage in comparison to control, so BP incidence in fruit coming from pruned trees was lower than BP in fruit from control trees (Table 3). This trend was only significant in ‘Cabañas’ location. BP during storage was lower for fruit coming from the ‘Almázcara’ location in comparison to fruit from the ‘Cabañas’ location.
Table 3.
Effect of pruning on bitter pit and shriveling incidence (%) in apple cv. ‘Reinette du Canada’ at harvest and during storage.
Significant differences regarding shriveling were not found at the end of storage between treatments in either of the locations (Table 3).
3.3. Instrumental Quality Attributes
At harvest and, in general, after storage, differences between treatments regarding quality parameters were not evident in either of the locations (Table 4 and Table 5). The only quality attribute affected by summer pruning was firmness, so fruit from summer pruned trees was softer than control fruit at harvest (differences only significant in ‘Cabañas’ location). However, these differences were reduced during storage (Table 5). Fruit weight, color, TSS, TA or TSS:TA were not significantly affected by summer pruning in either of the locations.
Table 4.
Effect of pruning on instrumental quality attributes of apple cv. ‘Reinette du Canada’ at harvest.
Table 5.
Effect of pruning on instrumental quality attributes of apple cv. ‘Reinette du Canada’ during storage.
3.4. Sensory Quality and Degree of Liking
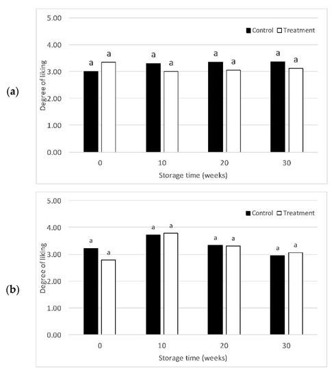
In general, summer pruning had no effect on either of the sensory properties nor on degree of liking (Table 6; Figure 2).
Table 6.
Effect of pruning on sensory quality attributes of apple cv. ‘Reinette du Canada’ at harvest and during storage.
Figure 2.
Effect of summer pruning on degree of liking of ‘Reinette du Canada’ apple fruit grown in two locations, ‘Cabañas’ (a) and ‘Almázcara’ (b). Bars represent mean values and different letters above bars indicate significant differences according to LSD test (p < 0.05).
With regard to russeting, fruit from the ‘Cabañas’ location always achieved a lower score than that from the ‘Almázcara’ location. On the other hand, in the first stages of storage whiteness was higher for the ‘Cabañas’ location than for the ‘Almázcara’ location.
4. Discussion
The main reason of the postharvest storage loss caused by physiological disorders is the improper proportion of mineral nutrient elements [28]. K/Ca ratio on the peel at harvest could be a good parameter to correlate with BP during storage in ‘Reinette du Canada’ apple cultivar [14]. The fact that K/Ca ratio for fruit from pruned trees was lower in comparison to control fruit may be due to the potential of summer pruning to reduce competition between shoot growth and fruit for available Ca which increased Ca levels in fruits [11]. Therefore, the lower K content and K/Ca ratio of fruit from pruned trees led to a low incidence of BP during storage. This effect of summer pruning is even more promising when taking into account that the conventional alternative to this environmental friendly technique, i.e., growth-inhibiting plant growth regulators that also reduce shoot extension, may not be useful for managing BP incidence in apples [9,29].
BP was lower in fruit from the ‘Almázcara’ location (trees on MM106 rootstock) in comparison to fruit from the ‘Cabañas’ location (trees on M9 rootstock). Donahue et al. [30] pointed out that nutrients (peel Mg/Ca ratio and peel Ca) could be correlated with BP in a stronger or weaker way depending on the rootstock, with M9 clones having the strongest correlations. Ben [31] proved that when stored at 2 °C, the susceptibility of apples to BP depended on the rootstock scion combination. Although it is generally accepted that it is more suitable to grow apples on low vigorous rootstocks [31], fruit from trees grafted onto rootstocks M9 are mostly affected by physiological disorders such as BP during storage [32,33]. However, trees with a more vigorous rootstock in this experiment (MM106) were trained to an open center system, so the higher energy of this rootstock is diverted into three branches. Therefore, the impact of the rootstock on BP incidence could fade away since the training system and other differences among the locations could also have an impact on the quality of the fruit.
Regarding the differences found in firmness between treatments (pruning) as mentioned before, it is known that summer pruning might limit carbohydrate availability, which could affect fruit growth and sugar levels [17]. Dry matter content is associated with firmer fruit at harvest [34], so fruit firmness from apples from pruned trees, with less carbohydrate availability, obtained lower values of firmness than control fruit. Although this is not shown in Table 4, differences for TSS between treatments were significant at p < 0.1. Stover et at. [35] found that summer pruning resulted in lower fruit firmness of apple cv. ‘McIntosh’ with mid or late harvest dates. Although summer pruning affected firmness at harvest, significant differences tended to diminish during storage, so differences in firmness were not significant at the end of storage. As expected, summer pruning slightly decreased both TSS and TA at harvest, but differences were not significant. Since hue, firmness and TA the instrumental properties that best correlated with consumer acceptance in apple cv. ‘Reinette du Canada’ [3] were not affected by summer pruning during storage, it could be said that the instrumental quality of ‘Reinette du Canada’ was not negatively affected by summer pruning.
Firmness of fruit from ‘Almázcara’ location was higher than fruit from ‘Cabañas’ at harvest, and this trend was also observed throughout storage. Considering this result, it is clear that location, as a compendium of environmental and orchard management factors such as soil, training system, age or rootstock, had an impact on the firmness of the apple fruit. In spite of these differences, summer pruning would be a useful practice to keep the storability of the apple without losing instrumental fruit quality, regardless of the location used to grow the apple trees.
The depositing of suberized cell layers (periderm) gives rise to the typical brown and corky aspect of the russeted apples [36]. Higher whiteness scores for ‘Cabañas’ fruit could have something to do with the fact that the skin surface is not as well covered by the dark russeting, and that would lead to a brighter skin. It has been found that although russeting is under genetic control, environmental conditions and orchard management practices can heavily influence russet formation [36].
The fact that neither of the sensory properties nor degree of liking were affected by summer pruning, validates this eco-friendly preharvest alternative to chemical growth regulation input in order not only to decrease the incidence of BP or to keep the instrumental quality high, but also to do this without decreasing the sensory quality of the fruit.
5. Conclusions
Although fruit from pruned trees had a lower rate of firmness than control fruit at harvest, summer pruning did not significantly affect fruit weight nor any other instrumental property at harvest or during storage. Moreover, sensory firmness, any other sensory characteristic or degree of liking were not affected by summer pruning. Thus, it could be said that summer pruning could be a useful way of improving quality in global terms of ‘Reinette du Canada’ apple cultivar, because this technique contributed to a decrease in BP incidence, but did not decrease sensory quality nor degree of liking. Moreover, summer pruning would be an eco-friendly technique in order to preserve quality of apple fruit regardless of the location of the orchard.
Author Contributions
Conceptualization, M.G., M.Á.S. and P.A.C.; methodology, M.G. and P.A.C.; investigation, M.G., M.Á.S. and Á.R.-G.; writing—original draft preparation, M.G.; writing—review and editing, M.G. and P.A.C. and Á.R.-G.; supervision, P.A.C. All authors have read and agreed to the published version of the manuscript.
Funding
This research received no external funding.
Institutional Review Board Statement
Not applicable.
Informed Consent Statement
Not applicable.
Data Availability Statement
Not applicable.
Conflicts of Interest
The authors declare no conflict of interest.
References
- Blanke, M. Challenges of reducing fresh produce waste in Europe from farm to fork. Agriculture 2015, 5, 389–399. [Google Scholar] [CrossRef] [Green Version]
- Díaz, A.; Pérez, M.; Redondo, D.; Val, J. Low oxygen treatment prior to cold storage to maintain the quality of apples at industrial scale. Acta Hortic. 2019, 8, 609–614. [Google Scholar] [CrossRef]
- Guerra, M.; Sanz, M.A.; Casquero, P.A. Influence of storage conditions on the sensory quality of a high acid apple. Int. J. Food Sci. Technol. 2010, 45, 2352–2357. [Google Scholar] [CrossRef]
- Marcelo, V.; Valenciano, J.B.; Guerra, M.; Boto, J.A. Influence of film and modified atmosphere on sensory quality of roasted apple cv. Reineta. Span. J. Agric. Res. 2010, 8, 1105–1117. [Google Scholar] [CrossRef] [Green Version]
- Guerra, M.; Casquero, P.A. Harvest parameters to improve the storability of high quality ‘Reinette du Canada’ apple. J. Hortic. Sci. Biotechnol. 2010, 85, 544–550. [Google Scholar] [CrossRef]
- Torres, E.; Alegre, S.; Recasens, I.; Asín, L.; Lordan, J. Integral procedure to predict bitter pit in ‘Golden Smoothee’ apples based on calcium content and symptom induction. Sci. Hortic. 2021, 277, 109829. [Google Scholar] [CrossRef]
- Ferguson, I.B.; Reid, M.S.; Prasad, M. Calcium analysis and the prediction of bitter pit in apple fruit. N. Z. J. Agric. Res. 1979, 22, 485–490. [Google Scholar] [CrossRef]
- Fallahi, E.; Conway, W.S.; Hickey, K.D.; Sams, C.E. The role of calcium and nitrogen in postharvest quality and disease resistance of apples. HortScience 1997, 30, 751. [Google Scholar] [CrossRef] [Green Version]
- Serban, C.; Kalcsits, L. Altering shoot extension did not affect bitter pit incidence in ‘Honeycrisp’ apple. Hortscience 2018, 53, 1827–1834. [Google Scholar] [CrossRef] [Green Version]
- Evans, R.R.; Evans, J.R.; Rademacher, W. Prohexadione calcium for suppression of vegetative growth in eastern apples. Acta Hortic. 1997, 451, 663–666. [Google Scholar] [CrossRef]
- Ashraf, N.; Bhat, M.Y.; Sharma, M.K.; Rather, G.H.; Ashraf, M.; Dar, M.A.; Ara, R. Effect of paclobutrazol and summer pruning on yield and fruit quality of apple cv. ‘Red delicious’. Appl. Biol. Res. 2015, 17, 166–173. [Google Scholar] [CrossRef]
- Kai, T.; Adhikari, D. Effect of organic and chemical fertilizer application on apple nutrient content and orchard soil condition. Agriculture 2021, 11, 340. [Google Scholar] [CrossRef]
- Deckers, T.; Schoofs, H.; Smolders, E. Natural or chemical growth regulation in pear. Acta Hortic. 2005, 671, 503–516. [Google Scholar] [CrossRef]
- Guerra, M.; Casquero, P.A. Summer pruning: An ecological alternative to postharvest calcium treatment to improve storability of high quality apple cv. ‘Reinette du Canada’. Food Sci. Technol. Int. 2010, 16, 343–350. [Google Scholar] [CrossRef]
- Saure, M.C. Summer pruning effects in apple a review. Sci. Hortic. 1987, 30, 253–282. [Google Scholar] [CrossRef]
- López, G.; Mata, M.; Arbones, A.; Solans, J.R.; Girona, J.; Marsal, J. Mitigation of effects of extreme drought during stage III of peach fruit development by summer pruning and fruit thinning. Tree Physiol. 2006, 26, 469–477. [Google Scholar] [CrossRef] [Green Version]
- Conesa, M.R.; Martínez-López, L.; Conejero, W.; Vera, J.; Ruiz-Sánchez, M.C. Summer pruning of early-maturing Prunus persica: Water implications. Sci. Hortic. 2019, 256, 108539. [Google Scholar] [CrossRef]
- Asín, L.; Alegre, S.; Montserrat, R. Effect of paclobutrazol, prohexadione-Ca, deficit irrigation, summer pruning and root pruning on shoot growth, yield, and return bloom, in a ‘Blanquilla’ pear orchard. Sci. Hortic. 2007, 113, 142–148. [Google Scholar] [CrossRef]
- Rom, C.M.; Ferree, D.C. The influence of summer pruning current season shoots on growth, floral bud development and winter injury of mature peach trees. Hort. Science 1984, 19, 543–545. [Google Scholar] [CrossRef] [Green Version]
- Lee, S.G.; Cho, J.G.; Shin, M.H.; Oh, S.B.; Kim, H.L.; Kim, J.G. Effects of summer pruning combined with winter pruning on bush growth, yields, and fruit quality of ‘Misty’ southern highbush blueberry for two years after planting. Hortic. Environ. Biotechnol. 2015, 56, 740748. [Google Scholar] [CrossRef]
- Bhusal, N.; Han, S.G.; Yoon, T.M. Summer pruning and reflective film enhance fruit quality in excessively tall spindle apple trees. Hortic. Environ. Biotechnol. 2017, 58, 560–567. [Google Scholar] [CrossRef]
- Ye, M.; Zhao, X.; Biswas, A.; Huo, G.; Yang, B.; Zou, Y.; Siddique, K.H.M.; Gao, X. Measurements and modeling of hydrological responses to summer pruning in dryland apple orchards. J. Hydrol. 2021, 594, 125651. [Google Scholar] [CrossRef]
- Sortino, G.; Saletta, F.; Puccio, S.; Scuderi, D.; Allegra, A.; Inglese, P.; Farina, V. Extending the shelf life of white peach fruit with 1-Methylcyclopropene and Aloe arborescens edible coating. Agriculture 2020, 10, 151. [Google Scholar] [CrossRef]
- Guerra, A.; Guerra, M. Evolución de Fruticultura y Poda de Árboles Frutales, 2nd ed.; Consejería de Agricultura y Ganadería: Valladolid, Spain, 2009; pp. 127–136.
- Crisosto, C.H.; Garner, D.; Crisosto, G.M.; Bowerman, E. Increasing ‘Blackamber’ plum (Prunus salicina Lindell) consumer acceptance. Postharvest Biol. Technol. 2004, 34, 237–244. [Google Scholar] [CrossRef]
- Bower, C.A.; Reitemeier, R.F.; Fireman, M. Exchangable cation analysis of saline and alkali soils. Soil Sci. 1952, 73, 251–261. [Google Scholar] [CrossRef]
- Olsen, S.R.; Cole, C.V.; Watanabe, F.S.; Dean, L.A. Estimation of Available Phosphorus in Soils by Extraction with Sodium Bicarbonate; Gov. Printing Office: Washington, DC, USA, 1954; pp. 1–19.
- Bai, Q.; Shen, Y.Y.; Huang, Y. Advances in mineral nutrition transport and signal transduction in rosaceae fruit quality and postharvest storage. Front. Plant. Sci. 2021, 12, 620018. [Google Scholar] [CrossRef] [PubMed]
- Atay, A.N.; Koyuncu, F. Effects of Plant Growth Regulator Treatments on Bitter Pit and Russet Development in Golden Delicious Apple. J. Agric. Sci.—Tarim Bilimleri 2015, 21, 516–524. [Google Scholar]
- Donahue, D.J.; Reig Córdoba, G.; Elone, S.E.; Wallis, A.E.; Basedow, M.R. ‘Honeycrisp’ bitter pit response to rootstock and region under eastern new york climatic conditions. Plants 2021, 10, 983. [Google Scholar] [CrossRef]
- Ben, J. Influence of rootstock on mineral content and storage of apple fruits. Acta Hortic. 1995, 383, 353–357. [Google Scholar] [CrossRef]
- Skrzyński, J. The effect of rootstocks on the retention of apple quality. Acta Hortic. 2007, 732, 155–158. [Google Scholar] [CrossRef]
- Jemrić, T.; Fruk, I.; Fruk, M.; Radman, S.; Sinkovič, L.; Fruk, G. Bitter pit in apples: Pre- and postharvest factors: A review. Span. J. Agric. Res. 2016, 14, e08R01. [Google Scholar] [CrossRef]
- Toivonen, P.M.A.; Lannard, B. Dry matter content association with time of on-tree maturation, quality at harvest, and changes in quality after controlled atmosphere storage for ‘Royal Gala’ apples. Can. J. Plant Sci. 2021, 101, 98–106. [Google Scholar] [CrossRef]
- Stover, E.; Fargione, M.J.; Watkins, C.B.; Iungerman, K.A. Harvest management of Marshall ‘Mcintosh’ apples: Effects of AVG, NAA, ethephon, and summer pruning on preharvest drop and fruit quality. Hortscience 2003, 38, 1093–1099. [Google Scholar] [CrossRef] [Green Version]
- Falginella, L.; Cipriani, G.; Monte, C.; Gregori, R.; Testolin, R.; Velasco, R.; Troggio, M.; Tartarini, S. A major QTL controlling apple skin russeting maps on the linkage group 12 of ‘Renetta Grigia di Torriana’. BMC Plant Biol. 2015, 15, 150. [Google Scholar] [CrossRef] [PubMed] [Green Version]
Publisher’s Note: MDPI stays neutral with regard to jurisdictional claims in published maps and institutional affiliations. |
© 2021 by the authors. Licensee MDPI, Basel, Switzerland. This article is an open access article distributed under the terms and conditions of the Creative Commons Attribution (CC BY) license (https://creativecommons.org/licenses/by/4.0/).

