Abstract
This study aimed to improve the quality of freeze-dried yellow peaches (Amygdalus persica). Yellow peaches were pretreated with osmotic dehydration for 15 min prior to vacuum-freeze drying and supplemented with different ultrasonic power levels (180 W, 240 W, 300 W) and a curing agent (calcium lactobionate, CaLa) to investigate the effects on the quality of freeze-dried yellow peach slices. After vacuum freeze-drying the yellow peach slices for 48 h, their moisture, color, texture, microstructure, total phenol (TP) content and oligomeric proantho-cyanidin (OPC) content were determined. It was found that the auxiliary ultrasonic power with various levels, especially powered at 240 W, produced very favorable effects on the quality characteristics of freeze-dried yellow peaches. The average pore size of USOD-240 W samples was reduced by 57.07% compared with that of the FD samples. In terms of nutrient maintenance, USOD-240 W can also prevent nutrient loss to the greatest extent. The TP content (5.40 mg/g) and OPC content (14.42 mg/g) were always highest in each pretreatment. The addition of CaLa can further improve the quality of yellow peach slices. Overall, the application of ultrasound and CaLa to improve the quality of freeze-dried yellow peach slices along with osmotic dehydration before freeze-drying is a method worth considering.
1. Introduction
As a juicy, flavorful and delicate seasonal fruit, yellow peaches (Amygdalus persica) are popular among consumers. Yellow peaches also have positive anti-free radical, lipid lowering and anti-aging characteristics [1]. However, yellow peaches are a respiratory leap type of fruit that ripens and softens rapidly after harvesting. They are very susceptible to flavor deterioration and rotting during transportation and storage, which has a negative impact on the fruit’s commercial value [2]. Therefore, it is necessary to further process yellow peaches to extend their shelf life and increase their added value.
Vacuum freeze-drying is a common way to process yellow peaches and the original color and flavor of the food can be well maintained due to its combination of low temperature and low pressure. Vacuum freeze-drying plays a positive role in maintaining the shelf life and overall quality of fruits such as strawberries and persimmons [3,4]. However, the disadvantages of vacuum freeze-drying are its high cost and long processing time [5].
Therefore, the use of some pretreatment methods before drying can improve process efficiency as well as product quality. Osmotic dehydration (OD) is a widely used pretreatment for fruits and vegetables before drying. OD can reduce the moisture of yellow peaches before vacuum freeze-drying, thus shortening the drying time and decreasing energy consumption [6]. Jiang, Zhang, Devahastin and Yu combined ultrasonic technology with osmotic dehydration (USOD) to enhance the rate of water transfer in strawberries and further improve the dehydration of the flesh prior to vacuum freeze-drying [7]. However, high-frequency ultrasonic energy treatments can damage the fruit and cause cell rupture [8]. According to some reports, compared with single-frequency ultrasounds, multi-frequency ultrasounds can significantly enhance the cavitation effect [9]. Zhu et al. studied the effect of multi-frequency’s ultrasound on the quality attributes of potatoes and found that multi-frequency ultrasounds caused less damage to the cell structure of potatoes and better preserved their nutrients [10].
On the other hand, during the pre-cooling process, the structure of the peach slices is vulnerable to the effects of freezing. Curing agents were used to improve the matrix structure of dried yellow peaches. Among them, calcium salt is a widely used curing agent that stabilizes the cell structure and reduces tissue softening during drying, since calcium interacts with free carboxyl groups in the pectin chain to form a cross-linked polymeric network and enhance mechanical strength [11]. Calcium lactobionate can reduce the permeability of blood vessels and increase their density, maintain the excitability of human nerves and muscles, strengthen the contractility of human myocardium and help the formation of human bone. This compound has attracted much attention in the food industry because of its characteristics as an antioxidant, stabilizer and gelling agent [12], as well as its prebiotic effect [13]. Trehalose was used for osmotic dehydration and calcium lactose was used to strengthen nutrition after of dehydration.
In this work, ultrasonic-assisted osmotic dehydration of yellow peach slices using CaLa as a curing agent was attempted prior to vacuum freeze-drying. To explore the effect of ultrasonic intensity on the characteristics of vacuum freeze-dried yellow peach slices under triple frequency (20, 28 and 40 kHz) conditions, we analyzed the moisture, color, antioxidant substances (anthocyanin content, DPPH, ABTS radical scavenging assay) and total phenolic content, texture, microstructure of yellow peach slices.
2. Materials and Methods
2.1. Raw Material
Yellow peaches ripening in July were harvested from farms in Fengxian District, Shanghai and immediately transported to the laboratory. Only fruits of similar size and ripeness with no damage or defects on the exterior were selected as the samples and they were washed with water to remove surface impurities. We dried the surface of the yellow peaches with paper and cut them into 1 cm thick slices for the following experiments.
2.2. Ultrasound-Assisted Osmotic Dehydration and Vacuum Freeze-Drying
Yellow peach slices were osmotically dehydrated in a trehalose solution (40%, w/v) with a fruit to solution ratio of 1:10 w/w for 15 min. Calcium lactobionate (1%, w/v) was added to the solution to enhance the texture of the peach slices after dehydration.
USOD was performed by an ultrasound system with three ultrasonic emission probes of different frequencies (20 kHz, 28 kHz, 40 kHz). The temperature was set to 20 ± 5 °C with three frequencies acting simultaneously. The output power was set to 0, 180, 240 and 300 W. The control group was not pretreated before freeze-drying (FD).
2.3. Determination of Water Loss, Moisture Content and Rehydration Capacity
Water loss (WL) was measured before freezing at −80 °C to evaluate the ability of USOD. Based on the mass of the peach slices before (W1) and after (W2) osmotic dehydration, the measurements were taken in triplicate and the WL was calculated as follows:
Moisture content was measured after vacuum freeze-drying and analyzed using a moisture analyzer (HX-Q10, Shanghai Huxi Analytical Instrument Factory Co., Ltd., Shanghai, China). Approximately 2 g of the sample was placed in the aluminum tray of the moisture analyzer and the heating temperature was set to 120 °C. The end point of the test was considered when the sample weight was constant. The moisture content on the display was recorded and the measurements were taken in triplicate.
The determination of rehydration capacity (RC) was performed by immersing freeze-dried yellow peach slices (W3) into distilled water (1:50, w/v) and the samples were periodically removed and weighed. The end of rehydration was considered when the weight of the sample no longer changed and the weight (W4) was noted. The measurements were taken in triplicate and the rehydration capacity was calculated as follows:
2.4. Low-Field Nuclear Magnetic Resonance (LF-NMR)
The moisture state and distribution of the yellow peach slices were analyzed using an LF-NMR analyzer (MesoMR23-060H-I, Niumag, Shanghai, China) and the transverse relaxation time was measured using the CPMG pulse sequence in NMR software with the following parameter settings: the receiver bandwidth frequency (SW) = 100 kHz, SF = 21 MHz, RFD = 0.08 ms, RG1 = 20 db, P1 = 19 μs, DRG1 = 6, TD = 400,100, DR = 1, TW = 6500 ms, NS = 16, P2 = 37 μs, TE = 0.4 ms and NECH = 16,000.
2.5. Color Measurement
The color of the yellow peach was measured using a benchtop spectrophotometer (YS6010, Shenzhen Sanenshi Technology Co., Ltd., Shenzhen, China) with a diameter of 8 mm and each set of samples was repeated five times. The relative color difference index was calculated as follows:
where ∆E is the relative color difference index and superscript 0 is the fresh yellow peach sample.
2.6. Microscopic Observation
Freeze-dried yellow peaches were cut into 5 mm × 5 mm × 3 mm slices and the microstructure of the vacuum freeze-dried yellow peach slices was obtained using a scanning electron microscope (SEM) (SU5000, Hitachi, Japan) at an accelerating voltage of 5 kV and a magnification of 100×, according to the method described by Zhang et al. [14]. The areas of the cross sections were measured using Images Pro-Plus 6.0 software (Media Cybernetics, Rockville, MD, USA).
2.7. Texture Analysis
According to the method described by Wei et al. [15], the texture of freeze-dried yellow peach slices was measured using a TA.-XT-plus texture analyzer (Stable Micro Systems, Ltd., Godalming, Surrey, UK) with a cylindrical probe (2 mm, P/2). The pre-test, test and post-test speeds were 1.5, 1.5 and 5 mm/s, respectively, with a trigger force of 25 g. The measurements were repeated ten times for each treated sample.
2.8. Determination of Oligomeric Proantho Cyanidins Content, Total Phenolic Content and ABTS Radical Scavenging Assay
The freeze-dried peach slices were dried to constant weight, crushed and passed through a 30–50 mesh sieve. The oligomeric proantho-cyanidins content was measured using the oligomeric proantho-cyanidins (OPC) content assay kit. The total phenol content was measured using the total phenol (TP) content assay kit and the ABTS radical-scavenging assay was measured using the ABTS free radical scavenging assay kit. All of the above kits were provided by Solabra Biotechnology Co.
2.9. Sensory Evaluation
Sensory evaluation, an important criterion for determining consumer acceptance of freeze-dried yellow peach slices, was conducted using the method described by Yoon et al. [16]. The sensory evaluation panel consisted of sixteen professional reviewers, eight of each gender. Samples were coded by three random numbers and the sensory attributes of freeze-dried yellow peach slices, including color, taste, odor and overall acceptability, were recorded using a nine-point scale. A score of one indicated “really dislike”, three indicated “dislike”, five indicated “fair”, seven indicated “like” and nine indicated “really like”. Each group of samples was randomly evaluated 3 times by the panelists and the final results were averaged.
2.10. Statistical Analysis
Data from pairs of experiments were processed by SPSS software and were analyzed using one-way analysis of variance (ANOVA) and Duncan’s multiple comparison test. The results were expressed as mean ± standard deviation and p < 0.05 was considered a significant difference.
3. Results and Discussion
3.1. WL, Aw, RC and Water Distribution
Osmotic dehydration occurs between fruits and vegetables and hypertonic solution. Due to the presence of osmotic pressure, substances will migrate spontaneously between fruits and vegetables and the hypertonic solution. One such substance, water, will transfer from the tissue cells inside the fruits and vegetables to the hypertonic solution [17]. Figure 1a shows the effect of different pretreatments on the WL of yellow peach slices. The ultrasound-assisted (180, 240, 300 W) group showed a significant increase in WL (6.81–7.11%) compared to USOD-0 W (4.19%), due to the cavitation effect of the ultrasound promoting the generation of microchannels and enhancing water transfer. At the same time, ultrasounds can also weaken the adhesion between cells and produce vacancies and cracks in the cell wall, which is also an important reason for dehydration. [18] However, there was no significant change in the effect of different ultrasonic power levels on dehydration. This is similar to the results of Li et al. [19].
Figure 1.
WL (a), Aw (b) and RC (c,d) of freeze-dried yellow peach slices with different treatments. The means between different ultrasonic power levels on the same conditions indicated by lowercase letters differ significantly.
After freeze-drying, Aw, RC and moisture distribution were evaluated. For water activity (Figure 1b), Aw values were below the safety threshold (0.6) in all groups and USOD (0.2661–0.3104) could cause a statistically significant increase in water activity compared to FD (0.2482). Similar results were obtained by Ciurzyńska et al. for freeze-dried pumpkin [20], where samples pretreated with OD had no significant effect on moisture content compared to samples without pretreatment, although water activity increased significantly.
For the RC, the observed results are in general agreement with those of the water activity (Figure 1c,d), with the strongest RC (52.18%) when the output power reaches 240 W. The cell rupture and microstructural collapse caused by excessive power (300 W) affected the RC and this led to a slight decrease in RC (51.27%). One aspect of interest is that the samples directly subjected to vacuum freeze-drying had a high initial RC (30.45%), which is because no structural contraction of the samples occurred during the drying process. The shrinkage that occurred when USOD was applied to the samples greatly affected the initial RC; however, in the later stages of rehydration, the USOD samples showed a higher RC.
In addition to this, the effects of CaLa were investigated and it was found that the addition of CaLa increased the water content, Aw and RC to varying degrees. This is the same result as reported by Albano and Nicoletti [21] and was probably due to the formation of calcium pectinate, which hinders mass transfer during OD and the binding of yellow peach pectin to water.
LF-NMR is now widely used to assess the distribution and flow of water in foods [22]. Three types of water are usually observed, namely bound water (T21), immobilized water (T22) and free water (T23) [23]. The T2 relaxation times of the different pretreated yellow peach slices subjected to freeze-drying are shown in Figure 2. For plant cells, T21 is usually associated with water in the cell wall, T22 with water in the cytoplasm and T23 with water in the bubble [15]. The lateral relaxation time (T2i) and the corresponding peak area (P2i) are shown in Figure 2. P23 can hardly be seen in the figure because almost all free water is lost after the osmotic dehydration and freeze-drying of fresh yellow peach slices. At the same time, the viscosity inside the peach slices was increased and chemically exchanged with protons due to trehalose infiltration. Therefore, it can be seen from the figure that T22 decreases significantly. Xin et al. investigated the effect of trehalose and ultrasound-assisted osmotic dehydration on the water distribution of broccoli and found that the T22 values showed the same results, where the addition of solutes, not only affected the relaxation time of the signal peaks, but also had an effect on the peak area [24]. Compared with OD, the P22 values of the samples with USOD decreased, which might be because the ultrasonic treatment disrupted the cell structure and enhanced the transfer of cytoplasmic water inside and outside the cell.
Figure 2.
T2 relaxation time (a) and peak ratio (b) of freeze-dried yellow peach slices with different treatments.
3.2. Microstructure
Scanning electron microscopy images of yellow peach samples are shown in Figure 3a. Yellow peach tissues showed different degrees of shrinkage and collapse and the changes in microstructure may be related to water migration and cell rupture [6]. As can be seen from Figure 3b, direct freeze-dried yellow peaches have the largest pores, which explains the high rehydration capacity in a short period of time. Additionally, the average pore size was calculated by the software to be around 123.26 μm (Figure 3c). However, the structure of the yellow peaches shrunk and collapsed after OD. Thus, as seen in Figure 3a, there was a significant decrease in the pore size of yellow peach samples after OD, which affected the rehydration capacity. The addition of CaLa served to maintain the structural integrity of the cell wall by reducing structural collapse and increasing porosity, which was also visualized in the graph. In another important aspect, USOD can increase and expand the pore structure by generating tiny channels in the cell tissue with the help of the microchannel effect of ultrasound [14,19]. Moreover, with the increase in ultrasonic power, an increase in porosity and average pore size can be seen. However, cell rupture and microstructure collapse occur due to excessive power (300 W), so after dehydration, the average pore size will be larger than USOD-240 W.
Figure 3.
Scanning electron microscope observation ((a), magnification ×100), pore size distribution (b) and average pore size (c) of freeze-dried yellow peach slices with different treatments.
The change in rehydration capacity can be explained by microscopic observation; in a short period of time, the direct freeze-dried yellow peach slices had a high rehydration capacity because they had the highest porosity. However, during a longer period of rehydration, the yellow peaches could absorb more water following USOD by virtue of their larger pore size.
3.3. Color, Texture and Sensory
Both color and texture are important attributes that influence the acceptability of the product [25]. During the drying process, the fruit color is highly susceptible to changes, which could be, for example, biochemical reactions such as enzymatic, oxidative and merad reactions, in addition to the effects water and pigment loss can have on color [11]. Table 1 shows the L*, a*, b* and ∆E of each group of freeze-dried yellow peach slices. From the table, it can be seen that the drying process resulted in different degrees of color changes in the samples, with fresh yellow peach L*, a* and b* values of 60.37, 18.23 and 45.27, respectively. The dried yellow peach slices showed an increase in L* values and a decrease in b* values. The FD showed the greatest increase in L* values and the greatest decrease in b* values, which resulted in the highest ∆E (23.39). The OD yellow peaches, on the other hand, could retain more color and their ∆E was relatively small. When supplemented with ultrasound, the structural collapse of yellow peaches was improved, the loss of pigments and some nutrients was reduced and the color was close to that of fresh samples, especially for USOD-240 W. Ultrasound can also affect the browning enzyme and the inactivation of the browning enzyme is helpful to maintain the color [18,26]. Excessive ultrasound power caused an exchange of components inside and outside the tissues, resulting in the loss of pigments and other substances. It was observed that the presence or absence of CaLa during USOD did not significantly change all parameters, so it can be determined that the use of a curing agent had no effect on the color of yellow peach slices.
Table 1.
L*, a*, b* and ∆E of freeze-dried yellow peach slices with different treatments.
The results are mean ± standard deviation (n = 5). The means between different ultrasonic power on the same conditions with different lowercase letters.
Food tissues are subjected to stress during drying, which can cause cracks, deformations and softening of the food [27]. As reported by Prosapio and Norton [28], freeze-drying leads to a substantial reduction in the hardness of the pulp. Figure 4b shows the same results, where the hardness of the freeze-dried sliced yellow peaches was greatly reduced compared to that of the fresh ones. This result can be explained by the large number of ice crystals formed during the freezing process. The production of ice crystals destroys the cellular structure and leads to a weaker tissue structure, whereas pretreating the sliced yellow peaches with osmotic dehydration protects the tissue structure from damage. In addition to this, the infiltration of trehalose also leads to smaller ice crystals in peach slices during freezing, because the infiltration of trehalose favors nucleation kinetics rather than ice crystal growth [29]. At the same time, ultrasound is used during the penetration process to facilitate the penetration of trehalose and to protect the tissue structure of yellow peaches from damage. For these reasons, the results presented in Figure 4b regarding the highest hardness value of USOD-240 W (1360.81 g) and the lowest hardness value of FD (763.83 g) are well corroborated.
Figure 4.
Samples (a), hardness (b) and sensory evaluation (c) of freeze-dried yellow peach slices with different treatments. The means between different ultrasonic power levels on the same conditions are indicated by different lowercase letters.
In addition to this, with the addition of CaLa to the permeate solution, we found that the texture of the yellow peach slices was further preserved and the hardness values were all increased (5.37–22.79%) compared to the group without CaLa. This is due to the formation of calcium pectinate, which ensures the retention of more pectin. In this case, the force required to puncture the slices of yellow peaches dehydrated using USOD with a power of 240 W was comparable to that required to puncture fresh samples.
Sensory scores were derived from an assessment by a sensory panel of 16 evaluators, giving ratings based on the color, texture and odor of the freeze-dried yellow peach slices, with the composite score shown in the Figure 4c. In accordance with the results from our study on color and hardness, the yellow peach slices using 240 W power USOD were more acceptable to the evaluators (9.19 points), followed by the USOD-180 W (not statistically different from USOD-240 W). Overall, the use of ultrasound-assisted infiltration pretreatment meant that the sliced yellow peaches were better able to maintain many of the characteristics of fresh yellow peaches and excessive ultrasound power had an impact on evaluator acceptance of the sliced yellow peaches. The addition of CaLa also positively influenced the quality of the freeze-dried yellow peaches.
3.4. Evaluation of Nutritional Quality
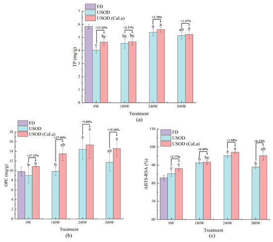
In plants, phenolic compounds not only protect plant cells from diseases and fragile plant seeds, but also act as beneficial free radical scavengers when humans taste certain polyphenol-rich plants and anthocyanins are the major polyphenolic compounds in peach fruit [30]. Figure 5 shows the total phenol (TP) and oligomeric proantho cyanidin (OPC) content of yellow peaches with different treatments. With an initial TP of 10.27 mg/g, freeze-drying resulted in a general decrease in the TP and OPC of yellow peaches due to the loss of water-soluble nutrients caused by solute migration and water loss that occurred during freeze-drying [31]. For all the different treatment groups, more TP and OPC could be retained than those without ultrasound input. The highest TP content was 5.40 mg/g when the input power reached 240 W. This may be because higher ultrasonic intensity during treatment will lead to an increase in the temperature inside the cavitation bubble, which increases the number of –OH radicals and leads to the degradation and isomerization of phenolics. At the same time, the size of the cavitation bubbles decreases with increasing frequency, which will accelerate the rapid diffusion of –OH radicals to the bubble surface and increase the opportunity for phenolic compounds to react with –OH radicals. This will also lead to an increase in the rate of degradation and isomerization of phenolic compounds. [32] Moreover, the addition of the trehalose solution, which replaced the water molecules around the macromolecular polar residues, slowed down the collapse of phospholipids and proteins on the cell membrane, which served to protect the cell membrane and reduce nutrient loss [33]. It is worth mentioning that the addition of the curing agent CaLa further strengthened the structure of the fruit, thus maintaining a higher TP (1.47–13.20 higher) and OPC (17.21–27.00 higher) compared to the treatment without CaLa.
Figure 5.
TP (a), OPC (b) and ABTS-RSA (c) of freeze-dried yellow peach slices with different treatments. The means between different ultrasonic power levels on the same conditions are indicated by different lowercase letters.
During the storage of fruits and vegetables, cellular metabolism generates reactive oxygen species, which eventually turn into free radicals [34]. These free radicals can lead to oxidative damage and browning of fruit flesh cells, which adversely affects the quality of the fruit [35].The antioxidant activity of yellow peach slices was evaluated and the ABTS free radical scavenging ability of the samples is shown in Figure 5. The lowest free radical scavenging ability (82.98%) was observed for yellow peach slices that underwent direct freeze-drying. The free radical scavenging ability was significantly higher for the samples pretreated with USOD than for the samples without any pretreatment. The free radical scavenging ability was significantly enhanced by the simultaneous auxiliary use of ultrasound, especially for USOD-240 (95.25%). This may be due to the fact that ultrasound caused a decrease in the dissolved oxygen content of the samples, which inhibited the oxidative decomposition of phenols and improved the antioxidant activity of freeze-dried yellow peaches [36]. This is in agreement with the results reported by Amami et al. regarding the effectiveness of sonication to increase the antioxidant activity of strawberries [37]. A positive effect of the addition of CaLa on nutrient retention can be observed, with a further increase in TP content and OPC content. This could be attributed to the formation of calcium pectinate, which avoided more nutrient efflux and therefore, led to a significantly higher ABTS free radical scavenging capacity.
3.5. Schematic Illustration
Based on the presented results, a schematic diagram of the mechanism by which ultrasonic-assisted osmotic dehydration pretreatment affected the quality of freeze-dried yellow peach slices is provided in Figure 6. Firstly, the addition of trehalose had a notable effect on the dehydration of yellow peach slices, in which the rapid outward transfer of water from the slices caused an increase in WL, whereas the internal viscosity of the slices increased due to the addition of trehalose solution, leading to a decrease in T22. Aided by ultrasonic treatment, the generation of microchannels was promoted, which could enhance water transfer. During the treatment process, the sample underwent shrinkage and the pore size was reduced, with the result that the RC, which was initially small, continuously increased at the end. The fine pore size also eventually caused an increase in the hardness of the yellow peach slices. CaLa was involved in the osmotic dehydration of the slices as a curing agent with satisfactory results. The formation of calcium pectinate impeded the flow of nutrients, thus preserving the nutrients to a great extent. In addition, calcium pectinate protected the structure of the freeze-dried peach slices considerably. These factors worked together to maintain the quality of the sliced peaches and are a recommended pretreatment method before freeze-drying.
Figure 6.
Schematic diagram of the mechanism by which ultrasonic-assisted osmotic dehydration pretreatment affects the quality of freeze-dried yellow peach slices.
4. Conclusions
This research investigated the effects of a 15 min ultrasonic-assisted osmotic dehydration pretreatment on the freeze-drying characteristics and product quality of yellow peach slices. The application of ultrasonic and curing agents (CaLa) along with osmotic dehydration prior to freeze-drying to improve the quality of freeze-dried yellow peach slices was proved as a method worth considering. Compared with direct freeze-dried peaches, the RC of the pretreated yellow peach slices was enhanced, the color and nutrients could be retained better and the texture was further improved. With the application of ultrasound set at different power levels, the WL, Aw, RC and moisture distribution during osmotic dehydration were favorably affected to differing degrees. The best performance was achieved with the ultrasound using 240 W power, which also had the most positive effect on microstructure, color and nutrient retention. The addition of CaLa also improved the quality of yellow peach slices. Overall, this study provides a promising strategy for improving the quality of freeze-dried yellow peaches.
Author Contributions
Data curation, Y.C.; methodology, Y.C. and J.M.; formal analysis, Y.C. and S.W.; investigation, Y.C. and S.W.; writing, Y.C.; supervision, Z.D. and J.X.; validation, Z.D. and J.X.; writing—review and editing, J.M. and J.X.; funding acquisition, J.X. All authors have read and agreed to the published version of the manuscript.
Funding
This research was funded by Shanghai Science and Technology Key Project on Agriculture from Shanghai Municipal Agricultural Commission (Grant No: (2021) 4th-1), Shanghai Municipal Science and technology project to enhance the capabilities of the platform (20DZ229220).
Institutional Review Board Statement
Not applicable.
Informed Consent Statement
Not applicable.
Data Availability Statement
We did not report any new data in this review.
Conflicts of Interest
The authors declare no conflict of interest.
References
- Cano-Salazar, J.; Echeverría, G.; Crisosto, C.H.; Lopez, L. Cold-storage potential of four yellow-fleshed peach cultivars defined by their volatile compounds emissions, standard quality parameters, and consumer acceptance. J. Agric. Food Chem. 2012, 60, 1266–1282. [Google Scholar] [CrossRef] [PubMed]
- Song, J.; Gonzalles, G.; Liu, J.; Dai, Z.; Li, D.; Liu, C.; Zhang, M. Optimization of explosion puffing drying for high-value yellow-fleshed peach crisps using response surface methodology. Dry. Technol. 2019, 37, 929–940. [Google Scholar] [CrossRef]
- Zhang, L.; Qiao, Y.; Liao, L.; Shi, D.; An, K.; Jun, W.; Liu, S. Effects of ultrasound and ultra-high pressure pretreatments on volatile and taste compounds of vacuum-freeze dried strawberry slice. LWT 2021, 112012. [Google Scholar] [CrossRef]
- Jia, Y.; Khalifa, I.; Hu, L.; Zhu, W.; Li, J.; Li, K.; Li, C. Influence of three different drying techniques on persimmon chips’ characteristics: A comparison study among hot-air, combined hot-air-microwave, and vacuum-freeze drying techniques. Food Bioprod. Process. 2019, 118, 67–76. [Google Scholar] [CrossRef]
- Zhang, M.; Chen, H.; Mujumdar, A.S.; Tang, J.; Miao, S.; Wang, Y. Recent developments in high-quality drying of vegetables, fruits, and aquatic products. Crit. Rev. Food Sci. Nutr. 2017, 57, 1239–1255. [Google Scholar] [CrossRef] [PubMed]
- Agnieszka, C.; Andrzej, L. Rehydration and sorption properties of osmotically pretreated freeze-dried strawberries. J. Food Eng. 2010, 97, 267–274. [Google Scholar] [CrossRef]
- Jiang, J.; Zhang, M.; Devahastin, S.; Yu, D. Effect of ultrasound-assisted osmotic dehydration pretreatments on drying and quality characteristics of pulsed fluidized bed microwave freeze-dried strawberries. LWT 2021, 145, 111300. [Google Scholar] [CrossRef]
- Nowacka, M.; Wedzik, M. Effect of ultrasound treatment on microstructure, colour and carotenoid content in fresh and dried carrot tissue. Appl. Acoust. 2016, 103, 163–171. [Google Scholar] [CrossRef]
- Hasanzadeh, H.; Mokhtari-Dizaji, M.; Zahra Bathaie, S.; Hassan, Z.M.; Nilchiani, V.; Goudarzi, H. Enhancement and control of acoustic cavitation yield by low-level dual frequency sonication: A subharmonic analysis. Ultrason. Sonochem. 2011, 18, 394–400. [Google Scholar] [CrossRef]
- Zhu, Z.; Zhang, P.; Sun, D.-W. Effects of multi-frequency ultrasound on freezing rates and quality attributes of potatoes. Ultrason. Sonochem. 2020, 60, 104733. [Google Scholar] [CrossRef]
- Prosapio, V.; Norton, I. Simultaneous application of ultrasounds and firming agents to improve the quality properties of osmotic + freeze-dried foods. LWT 2018, 96, 402–410. [Google Scholar] [CrossRef]
- Alonso, S.; Rendueles, M.; Díaz, M. Bio-production of lactobionic acid: Current status, applications and future prospects. Biotechnol. Adv. 2013, 31, 1275–1291. [Google Scholar] [CrossRef]
- Sáez-Orviz, S.; Camilleri, P.; Marcet, I.; Rendueles, M.; Díaz, M. Microencapsulation of calcium lactobionate for protection from microorganisms in a solid phase food. Biochem. Eng. J. 2019, 150, 107281. [Google Scholar] [CrossRef]
- Zhang, L.; Liao, L.; Qiao, Y.; Wang, C.; Shi, D.; An, K.; Hu, J. Effects of ultrahigh pressure and ultrasound pretreatments on properties of strawberry chips prepared by vacuum-freeze drying. Food Chem. 2020, 303, 125386. [Google Scholar] [CrossRef]
- Wei, S.; Mei, J.; Xie, J. Effects of different carbon dioxide-modified atmosphere packaging and low-temperature storage at 13 °C on the quality and metabolism in mango (Mangifera indica L.). Agriculture 2021, 11, 636. [Google Scholar] [CrossRef]
- Yoon, Y.-S.; Ameer, K.; Song, B.-S.; Kim, J.-K.; Park, H.-Y.; Lee, K.-C.; Eun, J.-B.; Park, J.-H. Effects of X-ray irradiation on the postharvest quality characteristics of ‘Maehyang’ strawberry (Fragaria × ananassa). Food Chem. 2020, 325, 126817. [Google Scholar] [CrossRef] [PubMed]
- Rastogi, N.K.; Raghavarao, K.S.M.S. Water and solute diffusion coefficients of carrot as a function of temperature and concentration during osmotic dehydration. J. Food Eng. 1997, 34, 429–440. [Google Scholar] [CrossRef]
- Li, L.; Yu, Y.; Xu, Y.; Wu, J.; Yu, Y.; Peng, J.; An, K.; Zou, B.; Yang, W. Effect of ultrasound-assisted osmotic dehydration pretreatment on the drying characteristics and quality properties of Sanhua plum (Prunus salicina L.). LWT 2021, 138, 110653. [Google Scholar] [CrossRef]
- Li, L.; Zhang, M.; Wang, W. Ultrasound-assisted osmotic dehydration pretreatment before pulsed fluidized bed microwave freeze-drying (PFBMFD) of Chinese yam. Food Biosci. 2020, 35, 100548. [Google Scholar] [CrossRef]
- Ciurzyńska, A.; Lenart, A.; Gręda, K.J. Effect of pre-treatment conditions on content and activity of water and colour of freeze-dried pumpkin. LWT Food Sci. Technol. 2014, 59, 1075–1081. [Google Scholar] [CrossRef]
- Albano, K.M.; Nicoletti, V.R. Ultrasound impact on whey protein concentrate-pectin complexes and in the O/W emulsions with low oil soybean content stabilization. Ultrason. Sonochem. 2018, 41, 562–571. [Google Scholar] [CrossRef] [Green Version]
- Bizzani, M.; William Menezes Flores, D.; Bueno Moraes, T.; Alberto Colnago, L.; David Ferreira, M.; Helena Fillet Spoto, M. Non-invasive detection of internal flesh breakdown in intact Palmer mangoes using time-domain nuclear magnetic resonance relaxometry. Microchem. J. 2020, 158, 105208. [Google Scholar] [CrossRef]
- Zhao, X.; Chen, L.; Wongmaneepratip, W.; He, Y.; Zhao, L.; Yang, H. Effect of vacuum impregnated fish gelatin and grape seed extract on moisture state, microbiota composition, and quality of chilled seabass fillets. Food Chem. 2021, 354, 129581. [Google Scholar] [CrossRef]
- Xin, Y.; Zhang, M.; Adhikari, B. Effect of trehalose and ultrasound-assisted osmotic dehydration on the state of water and glass transition temperature of broccoli (Brassica oleracea L. var. botrytis L.). J. Food Eng. 2013, 119, 640–647. [Google Scholar] [CrossRef]
- Holzwarth, M.; Korhummel, S.; Carle, R.; Kammerer, D.R. Evaluation of the effects of different freezing and thawing methods on color, polyphenol and ascorbic acid retention in strawberries (Fragaria×ananassa Duch.). Food Res. Int. 2012, 48, 241–248. [Google Scholar] [CrossRef]
- Zhang, Z.; Niu, L.; Li, D.; Liu, C.; Ma, R.; Song, J.; Zhao, J. Low intensity ultrasound as a pretreatment to drying of daylilies: Impact on enzyme inactivation, color changes and nutrition quality parameters. Ultrason. Sonochem. 2017, 36, 50–58. [Google Scholar] [CrossRef]
- Lewicki, P.P.; Pawlak, G. Effect of drying on microstructure of plant tissue. Dry. Technol. 2003, 21, 657–683. [Google Scholar] [CrossRef]
- Prosapio, V.; Norton, I. Influence of osmotic dehydration pre-treatment on oven drying and freeze drying performance. LWT 2017, 80, 401–408. [Google Scholar] [CrossRef]
- Petzold, G.; Aguilera, J.M. Ice Morphology: Fundamentals and technological applications in foods. Food Biophys. 2009, 4, 378–396. [Google Scholar] [CrossRef]
- Ding, T.; Cao, K.; Fang, W.; Zhu, G.; Chen, C.; Wang, X.; Wang, L. Evaluation of phenolic components (anthocyanins, flavanols, phenolic acids, and flavonols) and their antioxidant properties of peach fruits. Sci. Hortic. (Amsterdam) 2020, 268, 109365. [Google Scholar] [CrossRef]
- Bozkir, H.; Rayman Ergün, A.; Serdar, E.; Metin, G.; Baysal, T. Influence of ultrasound and osmotic dehydration pretreatments on drying and quality properties of persimmon fruit. Ultrason. Sonochem. 2019, 54, 135–141. [Google Scholar] [CrossRef] [PubMed]
- Ma, Y.; Yi, J.; Bi, J.; Zhao, Y.; Li, X.; Wu, X.; Du, Q. Effect of ultrasound on mass transfer kinetics and phenolic compounds of apple cubes during osmotic dehydration. LWT 2021, 151, 112186. [Google Scholar] [CrossRef]
- Ferrando, M.; Spiess, W.E. Cellular response of plant tissue during the osmotic treatment with sucrose, maltose, and trehalose solutions. J. Food Eng. 2001, 49, 115–127. [Google Scholar] [CrossRef]
- Apel, K.; Hirt, H. REACTIVE OXYGEN SPECIES: Metabolism, oxidative stress, and signal transduction. Annu. Rev. Plant Biol. 2004, 55, 373–399. [Google Scholar] [CrossRef] [Green Version]
- Xia, Y.; Chen, T.; Qin, G.; Li, B.; Tian, S. Synergistic action of antioxidative systems contributes to the alleviation of senescence in kiwifruit. Postharvest Biol. Technol. 2016, 111, 15–24. [Google Scholar] [CrossRef]
- Masuzawa, N.; Ohdaira, E.; Ide, M. Effects of ultrasonic irradiation on phenolic compounds in wine. Jpn. J. Appl. Phys. 2014, 39, 2978–2979. [Google Scholar] [CrossRef]
- Amami, E.; Khezami, W.; Mezrigui, S.; Badwaik, L.S.; Bejar, A.K.; Perez, C.T.; Kechaou, N. Effect of ultrasound-assisted osmotic dehydration pretreatment on the convective drying of strawberry. Ultrason. Sonochem. 2017, 36, 286–300. [Google Scholar] [CrossRef] [PubMed]
Publisher’s Note: MDPI stays neutral with regard to jurisdictional claims in published maps and institutional affiliations. |
© 2021 by the authors. Licensee MDPI, Basel, Switzerland. This article is an open access article distributed under the terms and conditions of the Creative Commons Attribution (CC BY) license (https://creativecommons.org/licenses/by/4.0/).





