Irrigation with Treated Wastewater as an Alternative Nutrient Source (for Crop): Numerical Simulation
Abstract
:1. Introduction
2. Materials and Methods
2.1. Site Description
2.2. Lysimeters Material
2.3. Experimental Design
2.4. Operational Conditions
2.5. Sample Colection and Data Analysis
- —time-dependent sorption (g/g);
- t—time (day);
- ωk—the first-order rate constant for the NH4+-N (1/day);
- f—the fraction of exchange sites assumed to be in equilibrium with the solution phase;
- ks,k—adsorption isotherm coefficient for material (mm3/μg);
- γs,k—zero-order rate constants for the solid (1/ML3/T);
- μs,k—first-order rate constants for solutes in the solid (1/T);
- βk and (L3/M) are empirical coefficients.
3. Results
3.1. Ammonia Nitrogen
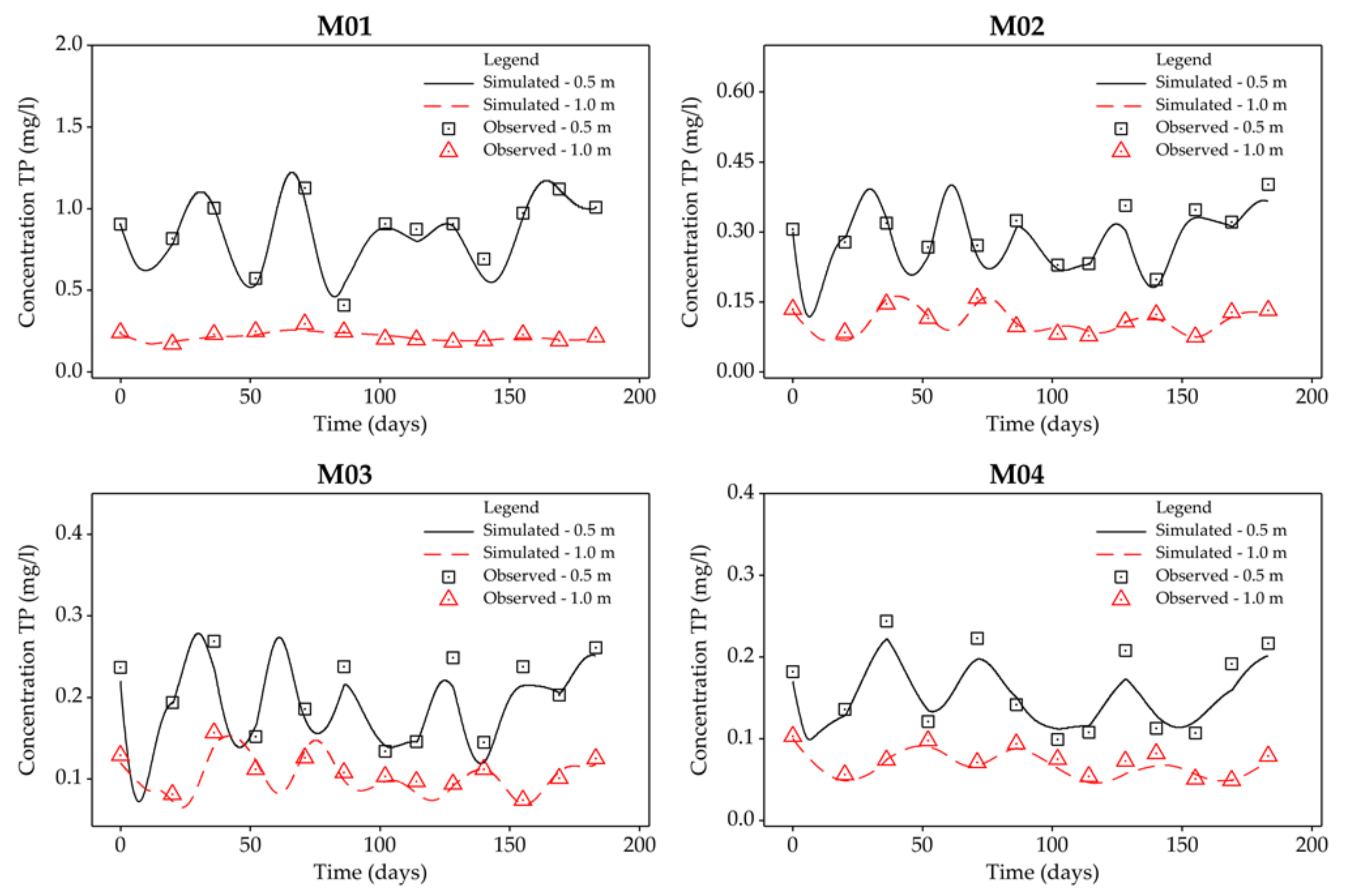
3.2. TP Pollution
4. Discussion
5. Conclusions
Author Contributions
Funding
Institutional Review Board Statement
Informed Consent Statement
Data Availability Statement
Conflicts of Interest
References
- The State of Food and Agriculture 2020: Overcoming Water Challenges in Agriculture; FAO: Rome, Italy, 2020; ISBN 978-92-5-133441-6.
- The State of Food and Agriculture: Investing in Agriculture for a Better Future; FAO: Rome, Italy, 2012; ISBN 978-92-5-107317-9.
- The State of Food and Agriculture 2018: Migration, Agriculture and Rural Development; FAO: Rome, Italy, 2018; ISBN 978-92-5-130568-3.
- Feyen, L.; Ciscar Martinez, J.; Gosling, S.; Ibarreta Ruiz, D.; Soria Ramirez, A.; Dosio, A.; Naumann, G.; Russo, S.; Formetta, G. Climate Change Impacts and Adaptation in Europe; Publications Office of the European Union: Luxembourg, 2020; ISBN 978-92-76-18123-1. [Google Scholar]
- Bocci, M.; Smanis, T. Assessment of the Impacts of Climate Change on the Agriculture Sector in the Southern Mediterranean: Foreseen Developments and Policy Measures; Union for the Mediterranean: Barcelona, Spain, 2019. [Google Scholar]
- The European Environment—State and Outlook 2020: Executive Summary; European Environment Agency: Copenhagen, Denmark, 2019; ISBN 978-92-9480-115-9.
- Jacobs, C.; Berglund, M.; Kurnik, B.; Dworak, T.; Marras, S.; Mereu, V.; Michetti, M. Climate Change Adaptation in the Agriculture Sector in Europe; European Environment Agency: København, Denmark, 2019. [Google Scholar]
- Wriedt, G.; Van der Velde, M.; Aloe, A.; Bouraoui, F. Estimating irrigation water requirements in Europe. J. Hydrol. 2009, 373, 527–544. [Google Scholar] [CrossRef]
- Wichelns, D. Achieving Water and Food Security in 2050: Outlook, Policies, and Investments. Agriculture 2015, 5, 188–220. [Google Scholar] [CrossRef] [Green Version]
- Council Directive 91/271/EEC of 21 May 1991 Concerning Urban Waste-Water Treatment. Available online: https://eur-lex.europa.eu/eli/dir/1991/271/oj (accessed on 20 August 2021).
- Toze, S. Reuse of effluent water—Benefits and risks. Agric. Water Manag. 2006, 80, 147–159. [Google Scholar] [CrossRef] [Green Version]
- Bixio, D.; Thoeye, C.; De Koning, J.; Joksimovic, D.; Savic, D.; Wintgens, T.; Melin, T. Wastewater reuse in Europe. Desalination 2006, 187, 89–101. [Google Scholar] [CrossRef]
- Almeelbi, T.; Ismail, I.; Basahi, J.; Qari, H.; Hassan, I. Hazardous of Waste Water Irrigation on Quality Attributes and Contamination of Citrus Fruits. Biosci. Biotechnol. Res. Asia 2014, 11, 89–97. [Google Scholar] [CrossRef]
- Zhang, J. Barriers to water markets in the Heihe River basin in northwest China. Agric. Water Manag. 2007, 87, 32–40. [Google Scholar] [CrossRef]
- Ors, S.; Turan, M.; Kiziloglu, F.; Sahin, U.; Esringu, A. Evaluation of Long-Term Waste Water Irrigation on Chemical Properties of Soil and Barley Undergrowth Field Conditions. In Proceedings of the International Sustainable Water and Wastewater Management Symposium Proceedings, Konya, Turkey, 26–28 October 2010; pp. 1179–1189. [Google Scholar]
- Sasani, F.; Ghamarnia, H.; Yargholi, B. Assessment of long term wastewater irrigation impacts on spatial distribution of salinity and sodicity parameters. Water Irrig. Manag. 2015, 5, 229–241. [Google Scholar]
- Zikalala, P.; Kisekka, I.; Grismer, M. Calibration and Global Sensitivity Analysis for a Salinity Model Used in Evaluating Fields Irrigated with Treated Wastewater in the Salinas Valley. Agriculture 2019, 9, 31. [Google Scholar] [CrossRef] [Green Version]
- Colon, B.; Toor, G. A Review of Uptake and Translocation of Pharmaceuticals and Personal Care Products by Food Crops Irrigated with Treated Wastewater. In Advances in Agronomy; Elsevier: Amsterdam, The Netherlands, 2016; pp. 75–100. ISBN 9780128046913. [Google Scholar]
- De Jong, R.; Drury, C.; Yang, J.; Campbell, C. Risk of water contamination by nitrogen in Canada as estimated by the IROWC-N model. J. Environ. Manag. 2009, 90, 3169–3181. [Google Scholar] [CrossRef]
- Korsaeth, A.; Eltun, R. Nitrogen mass balances in conventional, integrated and ecological cropping systems and the relationship between balance calculations and nitrogen runoff in an 8-year field experiment in Norway. Agric. Ecosyst. Environ. 2000, 79, 199–214. [Google Scholar] [CrossRef]
- Yang, X.; Lu, Y.; Tong, Y.; Yin, X. A 5-year lysimeter monitoring of nitrate leaching from wheat–maize rotation system: Comparison between optimum N fertilization and conventional farmer N fertilization. Agric. Ecosyst. Environ. 2015, 199, 34–42. [Google Scholar] [CrossRef]
- Wick, K.; Heumesser, C.; Schmid, E. Groundwater nitrate contamination: Factors and indicators. J. Environ. Manag. 2012, 111, 178–186. [Google Scholar] [CrossRef] [Green Version]
- Groenveld, T.; Argaman, A.; Šimůnek, J.; Lazarovitch, N. Numerical modeling to optimize nitrogen fertigation with consideration of transient drought and nitrogen stress. Agric. Water Manag. 2021, 254, 106971. [Google Scholar] [CrossRef]
- Azad, N.; Behmanesh, J.; Rezaverdinejad, V.; Abbasi, F.; Navabian, M. An analysis of optimal fertigation implications in different soils on reducing environmental impacts of agricultural nitrate leaching. Sci. Rep. 2020, 10, 1–15. [Google Scholar] [CrossRef] [PubMed]
- Elgallal, M.; Fletcher, L.; Evans, B. Assessment of potential risks associated with chemicals in wastewater used for irrigation in arid and semiarid zones: A review. Agric. Water Manag. 2016, 177, 419–431. [Google Scholar] [CrossRef]
- Paul, M.; Negahban-Azar, M.; Shirmohammadi, A.; Montas, H. Developing a Multicriteria Decision Analysis Framework to Evaluate Reclaimed Wastewater Use for Agricultural Irrigation: The Case Study of Maryland. Hydrology 2021, 8, 4. [Google Scholar] [CrossRef]
- Li, L.; Duan, M.; Fu, H. Supporter Profiling in Recycled Water Reuse: Evidence from Meta-Analysis. Water 2020, 12, 2735. [Google Scholar] [CrossRef]
- Schwaller, C.; Keller, Y.; Helmreich, B.; Drewes, J. Estimating the agricultural irrigation demand for planning of non-potable water reuse projects. Agric. Water Manag. 2021, 244, 106529. [Google Scholar] [CrossRef]
- Shoushtarian, F.; Negahban-Azar, M. Worldwide Regulations and Guidelines for Agricultural Water Reuse: A Critical Review. Water 2020, 12, 971. [Google Scholar] [CrossRef] [Green Version]
- Rizzo, L.; Krätke, R.; Linders, J.; Scott, M.; Vighi, M.; de Voogt, P. Proposed EU minimum quality requirements for water reuse in agricultural irrigation and aquifer recharge: SCHEER scientific advice. Curr. Opin. Environ. Sci. Health 2018, 2, 7–11. [Google Scholar] [CrossRef]
- Sánchez-Cerdà, C.; Salgot, M.; Folch, M. Reuse of reclaimed water: What is the direction of its evolution from a European perspective? In Wastewater Treatment and Reuse—Present and Future Perspectives in Technological Developments and Management Issues; Advances in Chemical Pollution, Environmental Management and Protection; Elsevier: Amsterdam, The Netherlands, 2020; pp. 1–64. ISBN 9780128201701. [Google Scholar]
- Russo, D.; Zaidel, J.; Fiori, A.; Laufer, A. Numerical analysis of flow and transport from a multiple-source system in a partially saturated heterogeneous soil under cropped conditions. Water Resour. Res. 2006, 42. [Google Scholar] [CrossRef]
- Russo, D.; Laufer, A.; Bar-Tal, A. Improving water uptake by trees planted on a clayey soil and irrigated with low-quality water by various management means: A numerical study. Agric. Water Manag. 2020, 229, 105891. [Google Scholar] [CrossRef]
- Grecco, K.; Miranda, J.; Silveira, L.; van Genuchten, M. HYDRUS-2D simulations of water and potassium movement in drip irrigated tropical soil container cultivated with sugarcane. Agric. Water Manag. 2019, 221, 334–347. [Google Scholar] [CrossRef]
- Yin, H.; Xu, Z.; Li, H.; Li, S. Numerical Modeling of Wastewater Transport and Degradation in Soil Aquifer. J. Hydrodyn. 2006, 18, 597–605. [Google Scholar] [CrossRef]
- Tournebize, J.; Gregoire, C.; Coupe, R.; Ackerer, P. Modelling nitrate transport under row intercropping system: Vines and grass cover. J. Hydrol. 2012, 440–441, 14–25. [Google Scholar] [CrossRef]
- Wei, X.; Bailey, R.; Records, R.; Wible, T.; Arabi, M. Comprehensive simulation of nitrate transport in coupled surface-subsurface hydrologic systems using the linked SWAT-MODFLOW-RT3D model. Environ. Model. Softw. 2019, 122, 104242. [Google Scholar] [CrossRef]
- Simunek, J.; van Genuchten, M.; Sejna, M. The HYDRUS Software Package for Simulating Two- and Three- Dimensional Movement of Water, Heat, and Multiple Solutes in Variably-Saturated Media; Technical Manual, Version 2.0; PC Progress: Prague, Czech Republic, 2011. [Google Scholar]
- Yao, F.; Huang, J.; Cui, K.; Nie, L.; Xiang, J.; Liu, X.; Wu, W.; Chen, M.; Peng, S. Agronomic performance of high-yielding rice variety grown under alternate wetting and drying irrigation. Field Crops Res. 2012, 126, 16–22. [Google Scholar] [CrossRef]
- Askar, M.; Youssef, M.; Chescheir, G.; Negm, L.; King, K.; Hesterberg, D.; Amoozegar, A.; Skaggs, R. DRAINMOD Simulation of macropore flow at subsurface drained agricultural fields: Model modification and field testing. Agric. Water Manag. 2020, 242, 16–22. [Google Scholar] [CrossRef]
- Kriška, M.; Němcová, M.; Hyánková, E. The influence of ammonia on groundwater quality during wastewater irrigation. Soil Water Res. 2018, 13, 161–169. [Google Scholar]
- Dong, Y.; Safferman, S.; Nejadhashemi, A. Land-Based Wastewater Treatment System Modeling Using HYDRUS CW2D to Simulate the Fate, Transport, and Transformation of Soil Contaminants. J. Sustain. Water Built Environ. 2019, 5, 04019005. [Google Scholar] [CrossRef]
- Parihar, C.; Nayak, H.; Rai, V.; Jat, S.; Parihar, N.; Aggarwal, P.; Mishra, A. Soil water dynamics, water productivity and radiation use efficiency of maize under multi-year conservation agriculture during contrasting rainfall events. Field Crops Res. 2019, 241, 107570. [Google Scholar] [CrossRef]
- Iqbal, S.; Guber, A.; Khan, H. Estimating nitrogen leaching losses after compost application in furrow irrigated soils of Pakistan using HYDRUS-2D software. Agric. Water Manag. 2016, 168, 85–95. [Google Scholar] [CrossRef]
- Šimunek, J.; van Genuchten, M.; Šejna, M. HYDRUS: Model Use, Calibration, and Validation. Trans. ASABE 2012, 55, 1261–1274. [Google Scholar]
- Marković, M.; Filipović, V.; Legović, T.; Josipović, M.; Tadić, V. Evaluation of different soil water potential by field capacity threshold in combination with a triggered irrigation module. Soil Water Res. 2015, 10, 164–171. [Google Scholar] [CrossRef] [Green Version]
- Pan, X.; Lv, J.; Dyck, M.; He, H. Bibliometric Analysis of Soil Nutrient Research between 1992 and 2020. Agriculture 2021, 11, 223. [Google Scholar] [CrossRef]
- Schaap, M.; Leij, F.; van Genuchten, M. Rosetta: A computer program for estimating soil hydraulic parameters with hierarchical pedotransfer functions. J. Hydrol. 2001, 251, 163–176. [Google Scholar] [CrossRef]
- Toride, N.; Leij, F.; van Genuchten, M. A comprehensive set of analytical solutions for nonequilibrium solute transport with first-order decay and zero-order production. Water Resour. Res. 1993, 29, 2167–2182. [Google Scholar] [CrossRef]
- Sakaguchi, A.; Yanai, Y.; Sasaki, H. Subsurface irrigation system design for vegetable production using HYDRUS-2D. Agric. Water Manag. 2019, 219, 12–18. [Google Scholar] [CrossRef]
- Karandish, F.; Šimůnek, J. A comparison of the HYDRUS (2D/3D) and SALTMED models to investigate the influence of various water-saving irrigation strategies on the maize water footprint. Agric. Water Manag. 2019, 213, 809–820. [Google Scholar] [CrossRef] [Green Version]
- Shan, G.; Sun, Y.; Zhou, H.; Schulze Lammers, P.; Grantz, D.; Xue, X.; Wang, Z. A horizontal mobile dielectric sensor to assess dynamic soil water content and flows: Direct measurements under drip irrigation compared with HYDRUS-2D model simulation. Biosyst. Eng. 2019, 179, 13–21. [Google Scholar] [CrossRef]
- Asano, T.; Cotruvo, J. Groundwater recharge with reclaimed municipal wastewater: Health and regulatory considerations. Water Res. 2004, 38, 1941–1951. [Google Scholar] [CrossRef]
- Silver, M.; Knöller, K.; Schlögl, J.; Kübeck, C.; Schüth, C. Nitrogen cycling and origin of ammonium during infiltration of treated wastewater for managed aquifer recharge. Appl. Geochem. 2018, 97, 71–80. [Google Scholar] [CrossRef]
- Reemtsma, T.; Gnirß, R.; Jekel, M. Infiltration of combined sewer overflow and tertiary municipal wastewater: An integrated laboratory and field study on nutrients and dissolved organics. Water Res. 2000, 34, 1179–1186. [Google Scholar] [CrossRef]
- Bali, M.; Gueddari, M. Removal of phosphorus from secondary effluents using infiltration–percolation process. Appl. Water Sci. 2019, 9, 54. [Google Scholar] [CrossRef] [Green Version]
- Ausland, G.; Stevik, T.; Hanssen, J.; Køhler, J.; Jenssen, P. Intermittent filtration of wastewater—Removal of fecal coliforms and fecal streptococci. Water Res. 2002, 36, 3507–3516. [Google Scholar] [CrossRef]
- Chilundo, M.; Joel, A.; Wesström, I.; Brito, R.; Messing, I. Influence of irrigation and fertilisation management on the seasonal distribution of water and nitrogen in a semi-arid loamy sandy soil. Agric. Water Manag. 2018, 199, 120–137. [Google Scholar] [CrossRef]
- Myers, R. Temperature effects on ammonification and nitrification in a tropical soil. Soil Biol. Biochem. 1975, 7, 83–86. [Google Scholar] [CrossRef]
- Lees, H.; Quastel, J. Biochemistry of nitrification in soil: 3. Nitrification of various organic nitrogen compounds. Biochem. J. 1946, 40, 824–828. [Google Scholar] [CrossRef] [Green Version]
- Aulakh, M.; Singh, K.; Singh, B.; Doran, J. Kinetics of nitrification under upland and flooded soils of varying texture. Commun. Soil Sci. Plant Anal. 2008, 27, 2079–2089. [Google Scholar] [CrossRef]
- Thorburn, P.; Cook, F.; Bristow, K. Soil-dependent wetting from trickle emitters: Implications for system design and management. Irrig. Sci. 2003, 22, 121–127. [Google Scholar] [CrossRef]
- Thorburn, P.; Dart, I.; Biggs, I.; Baillie, C.; Smith, M.; Keating, B. The fate of nitrogen applied to sugarcane by trickle irrigation. Irrig. Sci. 2003, 22, 201–209. [Google Scholar] [CrossRef]
- Omar, L.; Ahmed, O.; Majid, N. Improving Ammonium and Nitrate Release from Urea Using Clinoptilolite Zeolite and Compost Produced from Agricultural Wastes. Sci. World J. 2015, 2015, 574201. [Google Scholar] [CrossRef]
- Kholoma, E.; Renman, G.; Renman, A. Phosphorus removal from wastewater by field-scale fortified filter beds during a one-year study. Environ. Technol. 2016, 37, 2953–2963. [Google Scholar] [CrossRef]
- Fichtner, T.; Ibrahim, S.; Hamann, F.; Graeber, P. Purification Efficiency for Treated Waste Water in Case of Joint Infiltration with Water Originating from Precipitation. Appl. Sci. 2020, 10, 3155. [Google Scholar] [CrossRef]
- Bhattarai, R.; Kalita, P.; Patel, M. Nutrient transport through a Vegetative Filter Strip with subsurface drainage. J. Environ. Manag. 2009, 90, 1868–1876. [Google Scholar] [CrossRef] [PubMed]
- Mañas, P.; Castro, E.; de las Heras, J. Irrigation with treated wastewater: Effects on soil, lettuce (Lactuca sativa L.) crop and dynamics of microorganisms. J. Environ. Sci. Health Part A 2009, 44, 1261–1273. [Google Scholar] [CrossRef] [PubMed]
- Angin, I.; Yaganoglu, A.; Turan, M. Effects of Long-Term Wastewater Irrigation on Soil Properties. J. Sustain. Agric. 2005, 26, 31–42. [Google Scholar] [CrossRef]







| Layer | Depth (cm) | θr (mm3/mm3) | θs (mm3/mm3) | α1 (1/mm) | n1 | Ks (mm/day) | l |
|---|---|---|---|---|---|---|---|
| 1 | 0–25 | 0.082 | 0.43 | 0.0021 | 1.317 | 60.1 | 0.5 |
| 2 | 25–45 | 0.081 | 0.435 | 0.0012 | 1.28 | 61.25 | 0.5 |
| 3 | 45–65 | 0.091 | 0.421 | 0.0017 | 1.249 | 57.44 | 0.5 |
| 4 | 65–85 | 0.097 | 0.423 | 0.0026 | 1.289 | 62.87 | 0.5 |
| 5 | 85–100 | 0.099 | 0.429 | 0.0024 | 1.299 | 59.84 | 0.5 |
| Mean | 0–100 | 0.09 | 0.428 | 0.002 | 1.287 | 60.3 | 0.5 |
| Characteristics of the Model | Features, Description, Dimensions |
|---|---|
| Type of Geometry | 2D—Vertical Plane XZ |
| Domain Definition | Rectangular (parametric) Lx = 500 mm, Lz = 1000 mm |
| Model discretization | 0.050 mm |
| Main processes | Water flow, solute transport, root water uptake |
| Time discretization | Initial time step: 0.0001 day Minimum time step: 10–5 day Maximum time step: 5 days Final time: by specific in situ example |
| Initial condition | In the water content (uniform for the entire profile): Water content: 0.249 |
| Inverse solution | Max. number of iteration: 10 Number of data points in the objective function: 15 |
| Hydraulic model | Van Genuchten-Mualem No Hysteresis |
| Material characteristics | Mean values in the Table 1 |
| Search reaction parameters for solute | Adsorption isotherm coefficient (Kd) First-order rate constant for dissolved phase (SinkWater1) |
| Number of time variable boundary conditions | 15 conditions |
| Boundary condition | Upper boundary: atmospheric, third-type for solute transport Vertical boundary: no flux, without flow Lower boundary: seepage face |
| Variable | Depth (m) | n | Mean | SE Mean | StDev | Q1 | Median | Q3 |
|---|---|---|---|---|---|---|---|---|
| NH4+-N (A) | - | 41 | 36.540 | 1.870 | 11.950 | 26.500 | 33.200 | 45.150 |
| NH4+-N (B) | - | 41 | 30.130 | 1.830 | 11.730 | 20.770 | 27.770 | 38.350 |
| M01 | 0.5 | 41 | 0.021 | 0.002 | 0.011 | 0.012 | 0.018 | 0.027 |
| 1.0 | 41 | 0.010 | 0.002 | 0.012 | 0.005 | 0.006 | 0.011 | |
| M02 | 0.5 | 41 | 0.011 | 0.001 | 0.008 | 0.006 | 0.010 | 0.014 |
| 1.0 | 41 | 0.004 | 0.001 | 0.005 | 0.001 | 0.001 | 0.002 | |
| M03 | 0.5 | 41 | 0.009 | 0.001 | 0.009 | 0.005 | 0.007 | 0.010 |
| 1.0 | 41 | 0.004 | 0.001 | 0.008 | 0.002 | 0.003 | 0.005 | |
| M04 | 0.5 | 41 | 0.009 | 0.001 | 0.008 | 0.005 | 0.007 | 0.011 |
| 1.0 | 41 | 0.004 | 0.001 | 0.007 | 0.001 | 0.002 | 0.004 |
| Variable | Depth (m) | n | Mean | SE Mean | StDev | Q1 | Median | Q3 |
|---|---|---|---|---|---|---|---|---|
| M01 | 0.5 | 4582 | 0.017 | 0.000 | 0.011 | 0.008 | 0.014 | 0.025 |
| 1.0 | 4582 | 0.009 | 0.000 | 0.011 | 0.004 | 0.006 | 0.007 | |
| M02 | 0.5 | 5256 | 0.009 | 0.000 | 0.005 | 0.005 | 0.008 | 0.012 |
| 1.0 | 5256 | 0.002 | 0.000 | 0.004 | 0.001 | 0.001 | 0.002 | |
| M03 | 0.5 | 5376 | 0.007 | 0.000 | 0.005 | 0.004 | 0.006 | 0.010 |
| 1.0 | 5376 | 0.003 | 0.000 | 0.006 | 0.001 | 0.002 | 0.003 | |
| M04 | 0.5 | 5221 | 0.007 | 0.000 | 0.005 | 0.004 | 0.006 | 0.009 |
| 1.0 | 5221 | 0.002 | 0.000 | 0.005 | 0.001 | 0.001 | 0.002 |
| Variable | Depth (m) | n | Mean | SE Mean | StDev | Q1 | Median | Q3 |
|---|---|---|---|---|---|---|---|---|
| TP (A) | - | 41 | 4.762 | 0.139 | 0.893 | 4.005 | 4.760 | 5.417 |
| TP (B) | - | 41 | 3.909 | 0.156 | 0.996 | 3.177 | 3.957 | 4.633 |
| M01 | 0.5 | 41 | 0.945 | 0.041 | 0.261 | 0.828 | 0.934 | 1.073 |
| 1.0 | 41 | 0.251 | 0.014 | 0.089 | 0.193 | 0.231 | 0.295 | |
| M02 | 0.5 | 41 | 0.310 | 0.013 | 0.083 | 0.251 | 0.319 | 0.369 |
| 1.0 | 41 | 0.130 | 0.007 | 0.044 | 0.097 | 0.123 | 0.160 | |
| M03 | 0.5 | 41 | 0.219 | 0.010 | 0.061 | 0.186 | 0.216 | 0.263 |
| 1.0 | 41 | 0.129 | 0.007 | 0.045 | 0.096 | 0.125 | 0.158 | |
| M04 | 0.5 | 41 | 0.173 | 0.009 | 0.055 | 0.131 | 0.175 | 0.216 |
| 1.0 | 41 | 0.081 | 0.004 | 0.028 | 0.057 | 0.075 | 0.100 |
| Variable | Depth (m) | n | Mean | SE Mean | StDev | Q1 | Median | Q3 |
|---|---|---|---|---|---|---|---|---|
| M01 | 0.5 | 5142 | 0.922 | 0.004 | 0.277 | 0.741 | 0.958 | 1.100 |
| 1.0 | 5142 | 0.215 | 0.001 | 0.067 | 0.192 | 0.219 | 0.260 | |
| M02 | 0.5 | 5337 | 0.306 | 0.001 | 0.085 | 0.244 | 0.310 | 0.362 |
| 1.0 | 5337 | 0.112 | 0.000 | 0.034 | 0.089 | 0.110 | 0.137 | |
| M03 | 0.5 | 5328 | 0.205 | 0.001 | 0.060 | 0.158 | 0.207 | 0.244 |
| 1.0 | 5328 | 0.106 | 0.000 | 0.032 | 0.083 | 0.105 | 0.129 | |
| M04 | 0.5 | 5144 | 0.159 | 0.001 | 0.044 | 0.128 | 0.160 | 0.192 |
| 1.0 | 5144 | 0.066 | 0.000 | 0.019 | 0.051 | 0.066 | 0.082 |
| Variable | Depth (m) | NH4+-N | TP | ||||
|---|---|---|---|---|---|---|---|
| R2 | ks (L/mg) | ωk (1/day) | R2 | ks (L/mg) | ωk (1/day) | ||
| M01 | 0.5 | 0.91 | 0.16 × 10−1 | 0.490 | 0.87 | 7.33 × 10−2 | 0.100 |
| 1.0 | 0.96 | 4.73 × 10−1 | 0.047 | 0.93 | 4.36 × 10−1 | 0.090 | |
| M02 | 0.5 | 0.95 | 4.37 × 10−1 | 0.524 | 0.92 | 3.13 × 10−5 | 0.172 |
| 1.0 | 0.96 | 1.79 × 10−5 | 0.091 | 0.92 | 5.00 × 10−5 | 0.057 | |
| M03 | 0.5 | 0.92 | 9.26 × 10−1 | 0.538 | 0.91 | 2.83 × 10−5 | 0.197 |
| 1.0 | 0.98 | 1.44 × 10−2 | 0.052 | 0.91 | 5.47 × 10−4 | 0.031 | |
| M04 | 0.5 | 0.91 | 9.13 × 10−1 | 0.540 | 0.95 | 2.40 × 10−1 | 0.212 |
| 1.0 | 0.94 | 1.12 × 10−3 | 0.073 | 0.91 | 6.99 × 10−3 | 0.045 | |
| Variable | Depth (m) | NH4+-N | TP | ||
|---|---|---|---|---|---|
| R2 | R2 | ||||
| 2019 | 2020 | 2019 | 2020 | ||
| M01 | 0.5 | 0.90 | 0.86 | 0.88 | 0.93 |
| 1.0 | 0.91 | 0.79 | 0.90 | 0.86 | |
| M02 | 0.5 | 0.91 | 0.89 | 0.92 | 0.91 |
| 1.0 | 0.90 | 0.88 | 0.89 | 0.88 | |
| M03 | 0.5 | 0.92 | 0.91 | 0.91 | 0.91 |
| 1.0 | 0.86 | 0.87 | 0.88 | 0.85 | |
| M04 | 0.5 | 0.91 | 0.91 | 0.90 | 0.94 |
| 1.0 | 0.86 | 0.87 | 0.88 | 0.88 | |
Publisher’s Note: MDPI stays neutral with regard to jurisdictional claims in published maps and institutional affiliations. |
© 2021 by the authors. Licensee MDPI, Basel, Switzerland. This article is an open access article distributed under the terms and conditions of the Creative Commons Attribution (CC BY) license (https://creativecommons.org/licenses/by/4.0/).
Share and Cite
Hyánková, E.; Kriška Dunajský, M.; Zedník, O.; Chaloupka, O.; Pumprlová Němcová, M. Irrigation with Treated Wastewater as an Alternative Nutrient Source (for Crop): Numerical Simulation. Agriculture 2021, 11, 946. https://doi.org/10.3390/agriculture11100946
Hyánková E, Kriška Dunajský M, Zedník O, Chaloupka O, Pumprlová Němcová M. Irrigation with Treated Wastewater as an Alternative Nutrient Source (for Crop): Numerical Simulation. Agriculture. 2021; 11(10):946. https://doi.org/10.3390/agriculture11100946
Chicago/Turabian StyleHyánková, Eva, Michal Kriška Dunajský, Ondřej Zedník, Ondřej Chaloupka, and Miroslava Pumprlová Němcová. 2021. "Irrigation with Treated Wastewater as an Alternative Nutrient Source (for Crop): Numerical Simulation" Agriculture 11, no. 10: 946. https://doi.org/10.3390/agriculture11100946
APA StyleHyánková, E., Kriška Dunajský, M., Zedník, O., Chaloupka, O., & Pumprlová Němcová, M. (2021). Irrigation with Treated Wastewater as an Alternative Nutrient Source (for Crop): Numerical Simulation. Agriculture, 11(10), 946. https://doi.org/10.3390/agriculture11100946
