The Use of Olive Leaves in Buža Olive Cultivar Oil Production: Exploring the Impact on Oil Yield and Chemical Composition
Abstract
:1. Introduction
2. Materials and Methods
2.1. Samples Preparation
2.2. Oil Yield and Extractability Index
2.3. Analysis of Waxes and Fatty Acid Ethyl Esters
2.4. Analysis of VOOs Pigments
2.5. Analysis of Phenolic Compounds
2.6. Sensory Analysis
2.7. Statistical Analysis
3. Results and Discussion
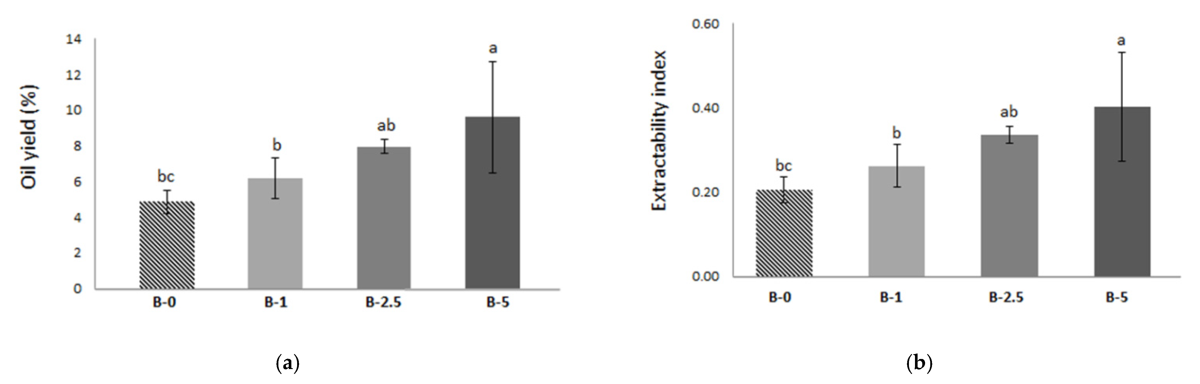
3.1. Influence of the Addition of Olive Leaf on Oil Yield and Extractability Index
3.2. Influence of the Addition of Olive Leaf on Fatty Acid Ethyl Esters
3.3. Influence of the Addition of Olive Leaf on Waxes
3.4. Influence of the Addition of Olive Leaf on Chlorophylls and Carotenoids
3.5. Influence of the Addition of Olive Leaf on Phenolic Compounds
3.6. Influence of the Addition of Olive Leaf on Sensory Profile
3.7. Multivariate Statistical Analysis
4. Conclusions
Author Contributions
Funding
Conflicts of Interest
References
- Clodoveo, M.L. Malaxation: Influence on virgin olive oil quality. Past, present and future—An overview. Trends Food Sci. Technol. 2012, 25, 13–23. [Google Scholar] [CrossRef]
- Kiritsakis, K.; Rodríguez-Pérez, C.; Gerasopoulos, D.; Segura-Carretero, A. Olive oil enrichment in phenolic compounds during malaxation in the presence of olive leaves or olive mill wastewater extracts. Eur. J. Lipid Sci. Technol. 2017, 119, 1–13. [Google Scholar] [CrossRef]
- Perona, J.S.; Botham, K.M. Olive oil as a functional food: Nutritional and health benefits. In Handbook of Olive Oil, 2nd ed.; Aparicio-Ruiz, R., Harwood, J., Eds.; Springer: Boston, MA, USA, 2013; pp. 677–714. [Google Scholar]
- Fregapane, G.; Salvador, M.D. Fate and prediction of phenolic secoiridoid compounds throughout the different stages of the virgin olive oil making process. Antioxidants 2017, 6, 61. [Google Scholar] [CrossRef] [Green Version]
- Damak, N.; Bouaziz, M.; Ayadi, M.; Sayadi, S.; Damak, M. Effect of the maturation process on the phenolic fractions, fatty acids, and antioxidant activity of the Chétoui olive fruit cultivar. J. Agric. Food Chem. 2008, 56, 1560–1566. [Google Scholar] [CrossRef]
- Boudhrioua, N.; Bahloul, N.; Ben Slimen, I.; Kechaou, N. Comparison on the total phenol contents and the color of fresh and infrared dried olive leaves. Ind. Crops Prod. 2009, 29, 412–419. [Google Scholar] [CrossRef]
- Cavalheiro, C.V.; Picoloto, R.S.; Cichoski, A.J.; Wagner, R.; de Menezes, C.R.; Zepka, L.Q.; Da Croce, D.M.; Barin, J.S. Olive leaves offer more than phenolic compounds—Fatty acids and mineral composition of varieties from Southern Brazil. Ind. Crops Prod. 2015, 71, 122–127. [Google Scholar] [CrossRef]
- Jaber, H.; Ayadi, M.; Makni, J.; Rigane, G.; Sayadi, S.; Bouaziz, M. Stabilization of refined olive oil by enrichment with chlorophyll pigments extracted from Chemlali olive leaves. Eur. J. Lipid Sci. Technol. 2012, 114, 1274–1283. [Google Scholar] [CrossRef]
- Sonda, A.; Akram, Z.; Boutheina, G.; Flamini, G.; Mohamed, B. Effect of addition of olive leaves before fruits extraction process to some monovarietal tunisian extra-virgin olive oils using chemometric analysis. J. Agric. Food Chem. 2014, 62, 251–263. [Google Scholar] [CrossRef] [PubMed]
- Di Giovacchino, L.; Angerosa, F.; Di Giacinto, L. Effect of mixing leaves with olives on organoleptic quality of oil obtained by centrifugation. J. Am. Oil Chem. Soc. 1996, 73, 371–374. [Google Scholar] [CrossRef]
- Sevim, D.; Tuncay, O.; Koseoglu, O. The effect of olive leaf addition on antioxidant content and antioxidant activity of “Memecik” olive oils at two maturity stages. J. Am. Oil Chem. Soc. 2013, 90, 1359–1369. [Google Scholar] [CrossRef]
- Malheiro, R.; Casal, S.; Teixeira, H.; Bento, A.; Pereira, J.A. Effect of olive leaves addition during the extraction process of overmature fruits on olive oil quality. Food Bioprocess Technol. 2013, 6, 509–521. [Google Scholar] [CrossRef]
- Tarchoune, I.; Sgherri, C.; Eddouzi, J.; Zinnai, A.; Quartacci, M.F.; Zarrouk, M. Olive leaf addition increases olive oil nutraceutical properties. Molecules 2019, 24, 545. [Google Scholar] [CrossRef] [Green Version]
- Ammar, S.; Kelebek, H.; Zribi, A.; Abichou, M.; Selli, S.; Bouaziz, M. LC-DAD/ESI-MS/MS characterization of phenolic constituents in Tunisian extra-virgin olive oils: Effect of olive leaves addition on chemical composition. Food Res. Int. 2017, 100, 477–485. [Google Scholar] [CrossRef] [PubMed]
- Ranalli, A.; Contento, S.; Lucera, L.; Di Febo, M.; Marchegiani, D.; Di Fonzo, V. Factors affecting the contents of iridoid oleuropein in olive leaves (Olea europaea L.). J. Agric. Food Chem. 2006, 54, 434–440. [Google Scholar] [CrossRef]
- Regulation, European Economic Community. Commission Regulation (EEC) No 2568/91 of 11 July 1991(and later modifications) on the characteristics of olive oil and olive-residue oil and the relevant methods of analysis. Off. J. Eur. Communities 1991, L248, 1–83. [Google Scholar]
- Conte, L.; Bendini, A.; Valli, E.; Lucci, P.; Moret, S.; Maquet, A.; Lacoste, F.; Brereton, P.; García-González, D.L.; Moreda, W.; et al. Olive oil quality and authenticity: A review of current EU legislation, standards, relevant methods of analyses, their drawbacks and recommendations for the future. Trends Food Sci. Technol. 2020, 105, 483–493. [Google Scholar] [CrossRef]
- Talhaoui, N. Analytical, Agronomic, and Biological Evaluation of Phenolic Compounds in Olea europaea Products and By-Products. Ph.D. Thesis, University of Granada, Granada, Spain, 2016. [Google Scholar]
- Milani, A.; Lucci, P.; Sedran, M.; Moret, E.; Moret, S.; Conte, L. Improved method for determination of waxes in olive oils: Reduction of silica and use of a less hazardous solvent. OCL—Oilseeds Fats Crops Lipids 2020, 27, 20. [Google Scholar] [CrossRef]
- Biedermann, M.; Bongartz, A.; Mariani, C.; Grob, K. Fatty acid methyl and ethyl esters as well as wax esters for evaluating the quality of olive oils. Eur. Food Res. Technol. 2008, 228, 65–74. [Google Scholar] [CrossRef]
- Brkić, K.; Radulović, M.; Sladonja, B.; Lukić, I.; Šetić, E. Application of Soxtec apparatus for oil content determination in olive fruit. Riv. Ital. Sostanze Gr. 2006, 83, 115–119. [Google Scholar]
- Koprivnjak, O.; Brkić Bubola, K.; Kosić, U. Sodium chloride compared to talc as processing aid has similar impact on volatile compounds but more favorable on ortho-diphenols in virgin olive oil. Eur. J. Lipid Sci. Technol. 2016, 118, 318–324. [Google Scholar] [CrossRef]
- Beltrán, G.; Del Río, C.; Sánchez, S.; Martínez, L. Seasonal changes in olive fruit characteristics and oil accumulation during ripening process. J. Sci. Food Agric. 2004, 84, 1783–1790. [Google Scholar] [CrossRef]
- Beltrán, G.; Uceda, M.; Jiménez, A.; Aguilera, M.P. Olive oil extractability index as a parameter for olive cultivar characterisation. J. Sci. Food Agric. 2003, 83, 503–506. [Google Scholar] [CrossRef]
- Grompone, M.A.; Callejas, N.; Martínez, N.; Feller, C.; Amarillo, M.; Irigaray, B.A. Variation of the content of ethyl esters in extra virgin olive oils during their shelf life. J. Food Sci. Eng. 2016, 6, 21–25. [Google Scholar]
- Mínguez-Mosquera, M.I.; Rejano-Navarro, L.; Gandul-Rojas, B.; Sánchez-Gòmez, A.H.; Garrido-Fernandez, J. Colour-pigment correlation in virgin olive oil. J. Am. Oil Chem. Soc. 1991, 68, 332–336. [Google Scholar] [CrossRef]
- Jerman Klen, T.; Golc Wondra, A.; Vrhovšek, U.; Mozetič Vodopivec, B. Phenolic profiling of olives and olive oil process-derived matrices using UPLC-DAD-ESI-QTOF-HRMS analysis. J. Agric. Food Chem. 2015, 63, 3859–3872. [Google Scholar] [CrossRef]
- Lukić, I.; Žanetić, M.; Jukić Špika, M.; Lukić, M.; Koprivnjak, O.; Brkić Bubola, K. Complex interactive effects of ripening degree, malaxation duration and temperature on Oblica cv. virgin olive oil phenols, volatiles and sensory quality. Food Chem. 2017, 232, 610–620. [Google Scholar] [CrossRef]
- Puértolas, E.; Martínez De Marañón, I. Olive oil pilot-production assisted by pulsed electric field: Impact on extraction yield, chemical parameters and sensory properties. Food Chem. 2015, 167, 497–502. [Google Scholar] [CrossRef]
- Koprivnjak, O.; Vrhovnik, I.; Hladnik, T.; Prgomet, Ž.; Hlevnjak, B.; Majetić Germek, V. Characteristics of nutritive value of virgin olive oils from Buža, Istarska bjelica, Leccino and Rosulja cultivars. Croat. J. Food Technol. Biotech. Nutr. 2012, 7, 172–178. [Google Scholar]
- Sari, H.A.; Ekinci, R. The effect of ultrasound application and addition of leaves in the malaxation of olive oil extraction on the olive oil yield, oxidative stability and organoleptic quality. Food Sci. Technol. 2017, 37, 493–499. [Google Scholar] [CrossRef] [Green Version]
- Boggia, R.; Borgogni, C.; Hysenaj, V.; Leardi, R.; Zunin, P. Direct GC-(EI)MS determination of fatty acid alkyl esters in olive oils. Talanta 2014, 119, 60–67. [Google Scholar] [CrossRef]
- Bajoub, A.; Bendini, A.; Fernández-Gutiérrez, A.; Carrasco-Pancorbo, A. Olive oil authentication: A comparative analysis of regulatory frameworks with especial emphasis on quality and authenticity indices, and recent analytical techniques developed for their assessment. A review. Crit. Rev. Food Sci. Nutr. 2018, 58, 832–857. [Google Scholar] [CrossRef]
- Bianchi, G.; Vlahov, G.; Anglani, C.; Murelli, C. Epicuticular wax of olive leaves. Phytochemistry 1992, 32, 49–52. [Google Scholar] [CrossRef]
- Guinda, Á.; Rada, M.; Delgado, T.; Gutiérrez-Adánez, P.; Castellano, J.M. Pentacyclic triterpenoids from olive fruit and leaf. J. Agric. Food Chem. 2010, 58, 9685–9691. [Google Scholar] [CrossRef] [PubMed]
- Bianchi, G.; Murelli, C.; Vlahov, G. Surface waxes from olive fruits. Phytochemistry 1992, 31, 3503–3506. [Google Scholar] [CrossRef]
- Gutiérrez-Rosales, F.; Garrido-Fernández, J.; Gallardo-Guerrero, L.; Gandul-Rojas, B.; Minguez-Mosquera, M.I. Action of chlorophylls on the stability of virgin olive oil. J. Am. Oil Chem. Soc. 1992, 69, 866–871. [Google Scholar] [CrossRef]
- Borges, T.H.; Pereira, J.A.; Cabrera-Vique, C.; Lara, L.; Oliveira, A.F.; Seiquer, I. Characterization of Arbequina virgin olive oils produced in different regions of Brazil and Spain: Physicochemical properties, oxidative stability and fatty acid profile. Food Chem. 2017, 215, 454–462. [Google Scholar] [CrossRef] [PubMed]
- Azaizeh, H.; Halahlih, F.; Najami, N.; Brunner, D.; Faulstich, M.; Tafesh, A. Antioxidant activity of phenolic fractions in olive mill wastewater. Food Chem. 2012, 134, 2226–2234. [Google Scholar] [CrossRef]
- Aparicio, R.; Aparicio-Ruíz, R. Authentication of vegetable oils by chromatographic techniques. J. Chromatogr. A 2000, 881, 93–104. [Google Scholar] [CrossRef]
- Gallina-Toschi, T.; Cerretani, L.; Bendini, A.; Bonoli-Carbognin, M.; Lercker, G. Oxidative stability and phenolic content of virgin olive oil: An analytical approach by traditional and high resolution techniques. J. Sep. Sci. 2005, 28, 859–870. [Google Scholar] [CrossRef] [PubMed]
- Paiva-Martins, F.; Gordon, M.H. Isolation and characterization of the antioxidant component 3,4-dihydroxyphenylethyl 4-formyl-3-formylmethyl-4-hexenoate from olive (Olea europaea) leaves. J. Agric. Food Chem. 2001, 49, 4214–4219. [Google Scholar] [CrossRef]
- Servili, M.; Taticchi, A.; Esposto, S.; Urbani, S.; Selvaggini, R.; Montedoro, G.F. Effect of olive stoning on the volatile and phenolic composition of virgin olive oil. J. Agric. Food Chem. 2007, 55, 7028–7035. [Google Scholar] [CrossRef] [PubMed]
- Živković, J.; Nikolić, G.; Vidović, S.; Kosić, U.; Mujić, I.; Ruznić, A.; Jokić, S.; Trutić, N. Phenolic compounds in olive leaf extract as a source of useful antioxidants. Croat. J. Food Technol. Biotech. Nutr. 2011, 6, 129–133. [Google Scholar]
- Peršuric, Ž.; Saftić, L.; Klisović, D.; Pavelić, S.K. Polyphenol-based design of functional olive leaf infusions. Food Technol. Biotechnol. 2019, 57, 171–182. [Google Scholar] [CrossRef] [PubMed]
- Parenti, A.; Spugnoli, P.; Masella, P.; Calamai, L. The effect of malaxation temperature on the virgin olive oil phenolic profile under laboratory-scale conditions. Eur. J. Lipid Sci. Technol. 2008, 110, 735–741. [Google Scholar] [CrossRef]
- Ortega-García, F.; Blanco, S.; Peinado, M.Á.; Peragón, J. Polyphenol oxidase and its relationship with oleuropein concentration in fruits and leaves of olive (Olea europaea) cv. “Picual” trees during fruit ripening. Tree Physiol. 2008, 28, 45–54. [Google Scholar] [CrossRef]
- Zámocký, M.; Obinger, C. Molecular phylogeny of heme peroxidases. In Biocatalysis Based on Heme Peroxidases, 1st ed.; Torres, E., Ayala, M., Eds.; Springer: Berlin/Heidelberg, Germany, 2010; pp. 7–35. [Google Scholar]
- Yuan, J.-J.; Wang, C.-Z.; Ye, J.-Z.; Tao, R.; Zhang, Y.-S. Enzymatic hydrolysis of oleuropein from Olea europea (olive) leaf extract and antioxidant activities. Molecules 2015, 20, 2903–2921. [Google Scholar] [CrossRef] [Green Version]
- Fernández-Escobar, R.; Moreno, R.; García-Creus, M. Seasonal changes of mineral nutrients in olive leaves during the alternate-bearing cycle. Sci. Hortic. 1999, 82, 25–45. [Google Scholar] [CrossRef]
- Alcázar Román, R.; Amorós, J.A.; Pérez de los Reyes, C.; Navarro, F.G.; Bravo, S. Major and trace element content of olive leaves. Olivae 2014, 119, 1–7. [Google Scholar]
- Paiva-Martins, F.; Correia, R.; Félix, S.; Ferreira, P.; Gordon, M.H. Effects of enrichment of refined olive oil with phenolic compounds from olive leaves. J. Agric. Food Chem. 2007, 55, 4139–4143. [Google Scholar] [CrossRef]
- Malheiro, R.; Rodrigues, N.; Bissaro, C.; Leimann, F.; Casal, S.; Ramalhosa, E.; Pereira, J.A. Improvement of sensorial and volatile profiles of olive oil by addition of olive leaves. Eur. J. Lipid Sci. Technol. 2017, 119, 1700177. [Google Scholar] [CrossRef] [Green Version]
- Olías, J.M.; Pérez, A.G.; Ríos, J.J.; Sanz, L.C. Aroma of virgin olive oil: Biogenesis of the “green” odor notes. J. Agric. Food Chem. 1993, 41, 2368–2373. [Google Scholar] [CrossRef]
- Majetić Germek, V.; Koprivnjak, O.; Butinar, B.; Pizzale, L.; Bučar-Miklavčič, M.; Conte, L.S. Influence of phenols mass fraction in olive (Olea europaea L.) paste on volatile compounds in Buža cultivar virgin olive oil. J. Agric. Food Chem. 2013, 61, 5921–5927. [Google Scholar] [CrossRef]
- Aguilera, M.P.; Jimenez, A.; Sanchez-Villasclaras, S.; Uceda, M.; Beltran, G. Modulation of bitterness and pungency in virgin olive oil from unripe “Picual” fruits. Eur. J. Lipid Sci. Technol. 2015, 117, 1463–1472. [Google Scholar] [CrossRef]
- Mateos, R.; Cert, A.; Carmen Pérez-Camino, M.; García, J.M. Evaluation of virgin olive oil bitterness by quantification of secoiridoid derivatives. J. Am. Oil Chem. Soc. 2004, 81, 71–75. [Google Scholar] [CrossRef]
- Andrewes, P.; Busch, J.L.H.C.; De Joode, T.; Groenewegen, A.; Alexandre, H. Sensory properties of virgin olive oil polyphenols: Identification of deacetoxy-ligstroside aglycon as a key contributor to pungency. J. Agric. Food Chem. 2003, 51, 1415–1420. [Google Scholar] [CrossRef]
- Bendini, A.; Cerretani, L.; Carrasco-Pancorbo, A.; Gómez-Caravaca, A.M.; Segura Carretero, A.; Fernández-Gutiérrez, A.; Lercker, G. Phenolic molecules in virgin olive oils: A survey of their sensory properties, health effects, antioxidant activity and analytical methods. An overview of the last decade. Molecules 2007, 12, 1679–1719. [Google Scholar] [CrossRef] [PubMed]






| Phenolic Compounds (mg/kg) | B-0 | B-1 | B-2.5 | B-5 |
|---|---|---|---|---|
| Simple phenols | ||||
| Tyrosol | 5.8 ± 1.2 | 6.0 ± 0.1 | 5.9 ± 0.1 | 5.3 ± 0.5 |
| Hydroxytyrosol | 4.6 ± 0.6 a | 4.9 ± 1.2 a | 3.4 ± 0.6 ab | 1.8 ± 0.5 b |
| Hydroxytyrosol acetate | 2.0 ± 0.8 | 4.2 ± 1.6 | 2.1 ± 1.2 | 1.5 ± 0.5 |
| Vanillin | 0.4 ± 0.0 a | 0.4 ± 0.1 a | 0.2 ± 0.0 b | 0.3 ± 0.0 a |
| Total simple phenols | 12.7 ± 0.6 ab | 15.5 ± 2.7 a | 11.6 ± 1.8 ab | 8.9 ± 1.2 b |
| Secoiridoids | ||||
| Elenolic acid glucoside (isomer) | 1.4 ± 0.1 | 1.4 ± 0.0 | 1.5 ± 0.1 | 1.5 ± 0.2 |
| 3,4-DHPEA-EDA * | 238.5 ± 17.9 a | 230.0 ± 22.7 a | 174.9 ± 24.8 b | 124.0 ± 6.9 c |
| Oleuropein aglycone (isomer I) | 63.5 ± 4.2 a | 64.9 ± 3.7 a | 44.2 ± 3.4 b | 28.8 ± 2.3 c |
| p-HPEA-EDA * | 90.3 ± 6.0 a | 84.2 ± 3.1 a | 61.9 ± 7.5 b | 51.0 ± 1.2 b |
| Oleuropein + ligstroside aglycones I & II | 26.9 ± 2.8 a | 24.2 ± 1.3 a | 20.1 ± 3.4 ab | 16.2 ± 3.9 b |
| Oleuropein aglycone (isomer II) | 25.1 ± 3.4 a | 25.5 ± 0.6 a | 23.7 ± 1.9 a | 17.2 ± 0.8 b |
| Ligstroside aglycone (isomer II) | 17.7 ± 1.5 | 17.4 ± 1.9 | 22.1 ± 13.7 | 15.3 ± 1.1 |
| Oleuropein aglycone (isomer III) | 4.0 ± 0.8 a | 4.1 ± 0.3 a | 3.0 ± 0.3 ab | 2.4 ± 0.5 b |
| Total secoiridoids | 467.3 ± 31.9 a | 451.6 ± 25.6 a | 351.4 ± 46.6 b | 256.3 ± 12.0 c |
| Flavonoids | ||||
| Luteolin | 4.4 ± 1.3 | 4.4 ± 0.4 | 4.5 ± 0.6 | 5.1 ± 1.5 |
| Apigenin | 0.7 ± 0.2 | 0.8 ± 0.1 | 1.6 ± 0.8 | 0.8 ± 0.2 |
| Total flavonoids | 5.1 ± 1.5 | 5.2 ± 0.4 | 6.1 ± 1.3 | 6.0 ± 1.7 |
| Lignans | ||||
| Pinoresinol | 21.8 ± 0.8 a | 19.0 ± 0.6 a | 18.5 ± 1.4 ab | 14.9 ± 2.4 b |
| Acetoxypinoresinol | 1.6 ± 0.5 | 2.0 ± 0.4 | 1.9 ± 0.2 | 2.4 ± 0.4 |
| Total lignans | 23.4 ± 1.2 a | 21.0 ± 0.6 ab | 20.4 ± 1.6 ab | 17.3 ± 2.8 b |
| Phenolic acids | ||||
| Vanillic acid | 1.1 ± 0.1 ab | 1.1 ± 0.0 a | 0.9 ± 0.1 ab | 0.9 ± 0.1 b |
| p-coumaric acid | 1.9 ± 0.3 | 1.8 ± 0.1 | 1.7 ± 0.1 | 1.5 ± 0.2 |
| Total phenolic acids | 3.0 ± 0.3 a | 3.0 ± 0.1 ab | 2.6 ± 0.2 ab | 2.4 ± 0.3 b |
| TOTAL PHENOLIC CONTENT | 511.5 ± 31.1 a | 496.2 ± 28.7 a | 392.7 ± 48.6 b | 290.9 ± 16.6 c |
Publisher’s Note: MDPI stays neutral with regard to jurisdictional claims in published maps and institutional affiliations. |
© 2021 by the authors. Licensee MDPI, Basel, Switzerland. This article is an open access article distributed under the terms and conditions of the Creative Commons Attribution (CC BY) license (https://creativecommons.org/licenses/by/4.0/).
Share and Cite
Novoselić, A.; Klisović, D.; Lukić, I.; Lukić, M.; Brkić Bubola, K. The Use of Olive Leaves in Buža Olive Cultivar Oil Production: Exploring the Impact on Oil Yield and Chemical Composition. Agriculture 2021, 11, 917. https://doi.org/10.3390/agriculture11100917
Novoselić A, Klisović D, Lukić I, Lukić M, Brkić Bubola K. The Use of Olive Leaves in Buža Olive Cultivar Oil Production: Exploring the Impact on Oil Yield and Chemical Composition. Agriculture. 2021; 11(10):917. https://doi.org/10.3390/agriculture11100917
Chicago/Turabian StyleNovoselić, Anja, Dora Klisović, Igor Lukić, Marina Lukić, and Karolina Brkić Bubola. 2021. "The Use of Olive Leaves in Buža Olive Cultivar Oil Production: Exploring the Impact on Oil Yield and Chemical Composition" Agriculture 11, no. 10: 917. https://doi.org/10.3390/agriculture11100917
APA StyleNovoselić, A., Klisović, D., Lukić, I., Lukić, M., & Brkić Bubola, K. (2021). The Use of Olive Leaves in Buža Olive Cultivar Oil Production: Exploring the Impact on Oil Yield and Chemical Composition. Agriculture, 11(10), 917. https://doi.org/10.3390/agriculture11100917

