Next Article in Journal
The Application of Machine Learning for Cultivar Discrimination of Sweet Cherry Endocarp
Previous Article in Journal
Assessing the Value of Agroecosystem Services in Warmia and Mazury Province Using Choice Experiments
Previous Article in Special Issue
Effects of Light and Autotoxicity on the Reproduction of Bidens pilosa L.: From Laboratory to the Field
 
 
Font Type:
Arial Georgia Verdana
Font Size:
Aa Aa Aa
Line Spacing:
Column Width:
Background:
Article

Evaluation of Equisetum arvense (Horsetail Macerate) as a Copper Substitute for Pathogen Management in Field-Grown Organic Tomato and Durum Wheat Cultivations

1
Department of Agricultural and Food Sciences, Alma Mater Studiorum-University of Bologna, 40127 Bologna, Italy
2
BioAgricoop Scrl, 40133 Bologna, Italy
*
Author to whom correspondence should be addressed.
Agriculture 2021, 11(1), 5; https://doi.org/10.3390/agriculture11010005
Submission received: 25 November 2020 / Revised: 18 December 2020 / Accepted: 21 December 2020 / Published: 23 December 2020
(This article belongs to the Special Issue Agroecological Crop Protection in Low-Input Agricultural Systems)

Abstract

Effective pathogen management, as an aspect of agroecological crop protection (ACP) necessitates the replacement of copper (Cu) fungicides, but there is little knowledge relating to the performance of potentially suitable alternatives in large-scale, open-field agricultural settings. The present study was aimed at investigating the potential of Equisetum arvense (horsetail macerate) compared to Cu-based treatments for the control of Solanum lycopersicum. and Triticum turgidum ssp. durum fungal pathogens in established organic commercial farms located in Emilia Romagna (Italy) over a three-year period (2017–2019). Both the Cu-based and horsetail foliar sprays were routinely applied as preventative treatments and in the event of pathogen establishment as curative treatments. The Cu-based and horsetail macerate treatments were both equally effective at significantly reducing Phytophthora infestans (late blight) and increasing yield in tomato compared to the untreated control. For durum wheat, the horsetail macerate and Cu-based treatments were successful at significantly reducing Puccinia triticina (brown rust) infection and increasing yield under moderate infection, but unsuccessful under unfavorable meteorological conditions resulting in the combined and severe spread of Puccinia triticina, Fusarium graminearum, and Zymoseptoria tritici. From the present results, horsetail macerate is a promising and suitable Cu-free ACP alternative for late blight management of tomato.

Graphical Abstract

1. Introduction

Agroecology, based on the convergence of the two disciplines agronomy and ecology, can broadly be defined as “the science of applying ecological concepts and principles to the design and management of sustainable food systems” [1]. According to the definition of Wezel et al. [2], adopted by the Food and Agriculture Organization of the United Nations (FAO) [3], agroecology is comprised of three component parts, that is, a scientific discipline (agroecosytem interactions), a set of practices (sustainable farming systems), and a social movement (multifunctional roles towards promoting social justice, identity, and culture), respectively; together constituting a holistic, transdisciplinary, participatory action-orientated approach [4,5]. Agroecology is central to the growing dispute between the role of conventional agriculture towards sustaining the rising world population and sustainable agriculture contesting deleterious effects of conventional or “industrial” agriculture [5,6,7]. These deleterious effects include biodiversity loss, land degradation, loss of soil fertility, and chemical contamination of both soil and water, with major consequences on human and animal health [5,6,7].
Agroecological crop protection (ACP) involves the application of agroecological principles to crop protection, with field implementation prioritizing preventive methods to ensure the effective management of both pest control (animal pests, pathogens, and weeds) and beneficial organisms (predators, parasitoids or pathogens of pests, pollinators, organic matter recyclers) [8,9]. Pest control management practices are similar between organic and agroecology management systems and include several indirect prevention practices (genotype choice, crop rotation, cover crops, reduced tillage, provision of favorable habitat for natural enemies) [10]. The choice of natural pesticides for direct use in organic agriculture can only be made from a selection cited in Annex II of organic farming Regulation of the European Commission (EC) 889/2008 [10,11]. In agroecology, direct protection practices (either preventative or curative) also include the use of pesticides derived from plants or plant extracts but adherence to a specific selection, as in organic agriculture, is not specified [10]. Moreover, ACP has as a goal to prioritize the use of preventative measures, resorting to curative measures and the use of natural pesticides only in cases of absolute necessity [8]. Natural pesticides, often also called botanical have potential as an alternative to the associated negative effects of synthetic pesticides [10,12]. In addition to botanical pesticides, biopesticides are also permitted in ACP strategies and include the application of bacteria, arbuscular mycorrhizal fungi (AMF) inoculants, or other fungi that can control deleterious organisms [12]. Although both organic and agroecology approaches encompass more than pest management, this aspect is suggested to be a pivotal element in the future of sustainable agriculture [7].
Interestingly, based on an estimation made by Wezel et al. [12] on natural pesticides in ACP, the level of integration in today’s agriculture was shown to be low with a medium potential for broad implementation in the next decade. The most important underlying reason is attributable to the lack of knowledge about natural pesticides, particularly regarding larger-scale applications in agriculture. This aspect, within the framework of the growing dispute between the conventional and sustainable agriculture, points to the prior underinvestment in agroecological research [5,7]. Despite the constraints foreseen regarding the potential role of natural pesticides, incentives are warranting in this sector, and organic agroecological systems are ideal environments for testing new pest management techniques [7].
Cu-based products, used to control specific fungal and bacterial diseases, are employed in integrated pest management strategies and more specifically in organic agriculture [13,14]. However, long-term repeated application of Cu-based fungicides is the most significant source of Cu contamination of agricultural soils, and phytotoxic effects have been reported on soil micro- and macro-organisms, plants, aquatic organisms, as well as animal and human health [13,14]. Despite the implementation of bans on Cu usage or changes to the allowable limits in the European Union [13,14], a recently published article, suggesting a link between agricultural use of copper and its link to Alzheimer’s disease, motivated the authors to urgently call for ACP research approaches to search for alternatives to Cu [15].
Of the natural alternatives, Equisetum arvense L. (Equiseti herba, field horsetail, common horsetail) was approved of under Regulation EC No 1107/2009 by the European Commission Directorate-General for Health and Food Safety [16] as a basic substance (an active substance, which is not a substance of concern) for use in plant protection products. Field horsetail has long been known as having a preventive effect on fungal diseases of plants, attributable to the high percentage of silica [17,18].
Combining the requisite for ACP disease-control agents, with larger-scale applications in agriculture, the present study was aimed at investigating the pathogen-control potential of Equisetum arvense compared to Cu (positive control) in agricultural field-grown cultivations of Triticum turgidum ssp. durum and Solanum lycopersicum L. over a three-year period (2017–2019). Although relatively few studies have been performed on tomato, this product has previously shown to be effective against fungal pathogens [17,19,20]. Previous research on tomato has indicated that 0.2 kg /hL horsetail macerate could be considered a suitable concentration for use in the field [17,19,20]. In the EC report of 2017 [20] describing the use of horsetail on various crops, no greenhouse pot trails using tomato had yet been reported. Moreover, to the best of our knowledge, there is no literature reporting the efficacy of horsetail in either field or greenhouse trials on durum wheat fungal pathogens, and given the importance of durum wheat cultivation, inclusion of this crop is warranting of attention. The present work presents the ACP potential of Equisetum arvense as a Cu substitute for pathogen control in tomato and durum wheat cultivations.

2. Methods and Materials

2.1. Plant Material

Solanum lycopersicum (tomato) and Triticum turgidum ssp. durum (durum, hard) wheat were cultivated at the Società Agricola Corte Roma and the Azienda Agricola Rocchi Nino, respectively, in the region of Fiscaglia, Ferrara (Emilia Romagna, Italy, 44°46′34.2″ N 12°04′26.2″ E), over the three-year experimental period.
S. lycopersicum Fokker a processing-type genotype, suitable for tomato puree, with late fruit ripening was the genotype cultivated in 2017. Seedlings of Fokker were purchased from the Bachetto Nursery (Chioggia, Venezia, Italy) for transplantation. This genotype was replaced with S. lycopersicum Heinz1281 both 2018 and 2019. Heinz1281 is the first hybrid genotype of the Heinz range with resistance to Phytophthora infestans (tomato late blight) suitable for organic production and characterized by a high yield and brix values [21]. Seedlings of Heinz1281 were purchased from the Bronte Nursery (Mira, Venezia, Italy).
T. durum var. Cesare, Marco Aurelio, and Odisseo were cultivated in 2017, 2018, and 2019, respectively. The genotypes Cesare, Marco Aurelio, and Odisseo are modern genotypes and were registered on 4 October 2010, 4 October 2010, and 1 October 2011, respectively [22]. These specific modern genotypes were approved for use in organic agriculture [23]. The genotypes Cesare and Marco Aurelio were selected based on adaptability to cultivation in clay soil types and were both reported with good resistance ranking to Puccinia ssp (wheat rust) [24]. Cesare was reported with medium and excellent resistance to Septoria (leaf blotch) and Fusarium spp., respectively, whilst Marco Aurelio showed excellent and good resistance to Zymoseptoria and Fusarium spp., respectively [24]. The genotype Odisseo was cultivated in 2019 based on a milling request to the farm.

2.2. Experimental Fields

The Società Agricola Corte Roma is a 200 ha organic farm, dedicated to the production of horticultural crops and maize (https://padbio.it/posts/societa-agricola-corte-roma). In the present study, approximately 2 ha were dedicated to cultivation of tomato with the objective of investigating pathogen control. In partnership with the Società Agricola Corte Roma, the Azienda Agricola Rocchi Nino, a 211 ha organic farm, is similarly dedicated to the cultivation of agricultural and horticultural crops (https://padbio.it/posts/societa-agricola-corte-roma). On this farm, approximately 2 ha were dedicated to durum wheat cultivation over a three-year period for the purpose of the present project.
Given that rotation schemes were implemented by the respective farms, the spatial location of the area dedicated to the cultivation of tomato and durum wheat varied over the three year-experimental period. Within the ca 2 ha area, there were three experimental plots of approximately 6500 m2, respectively, each representing a different treatment regime as follows: no fungal pathogen treatment (control), preventative and curative treatments based on Cu or Cu + Sulfur (S) (positive control), and preventative and curative antifungal treatments based on horsetail macerate (experimental).
The seedlings of the genotype Fokker were transplanted on 24 May 2017 and mature fruit harvested on 4 September 2017 (site geographical coordinates: 44°39′45.8″ N 12°03′38.3″ E). For Heinz1281, transplantation and harvest in 2018 were performed on 18 April 2018 and 1 August 2018, respectively, and in 2019 on 29 April and 7 August 2019, respectively (site geographical coordinates: 44°42′49.4″ N 11°55′44.0″ E and 44°43′29.5″ N 11°57′03.9″ E for 2018 and 2019, respectively). The durum wheat genotype Cesare was sown and harvested on 30 October 2016 and 30 June 2017, respectively (site geographical coordinates: 44°41′40.4″ N 11°56′42.2″ E). Marco Aurelio was sown on 3 November 2017 and harvested on 21 June 2018 (site geographical coordinates: 44°38′47.3″ N 12°03′03.1″ E), whereas Odisseo was sown on 29 October 2018 and harvested on 2 July 2019 (site geographical coordinates: 44°43′33.9″ N 11°55′59.0″ E.) The yields were determined for each experimental plot and expressed as t/ha. Given the interest in the Brix values (Total Soluble Solids [TSS]) for Heinz1281 [21], the effect of the treatments on the Brix values were determined by an external laboratory associated with Le Due Valle (http://leduevalli.it).
Rainfall data were obtained for the region from Dext3r, a web application for the extraction of meteorological data from Arpae Simc (https://simc.arpae.it/dext3r).

2.3. Agoecological-Based Treatments for Fungal Pathogens

Both the commercial Cu-and S-based antifungal treatments, as well as the horsetail macerate treatment, were compatible with organic farming regulations. The two treatments were applied mechanically as foliar surface sprays using a boom sprayer to the respective experimental tomato and durum plots. The calendar dates for the implementation of the treatments were selected by farm management on the respective farms. The concentrations of commercial Cu and S-based treatments were selected based on the incidence of fungal disease by farm management.
Equisetum arvense (horsetail) leaf extract was purchased in powder form (Cerrus S.A.S., Uboldo, Varese, Italy) and 600 g was added to 10 L water. The solution was allowed to ferment (macerate) at room temperature for seven days permitting the release of silicon and sulfur. Thereafter, the macerate was filtered using a cotton fabric as a filter, further diluted (1:5 v/v) and immediately used, by spraying on both tomato and wheat crops. The final concentration was 12 kg/hL, which was maintained throughout the experimental field trials, and not modified on the basis of disease incidence.
For tomato, 12 treatments of Cu (0.5 kg/ha), prepared from Coptrel 500 (Yara Italia S.p.A., Milan), were applied between June and August 2017. Three treatments of horsetail were implemented only in the month of June. In 2018, a total of 10 treatments of both Cu and horsetail were, respectively, applied to the experimental tomato plots on the same calendar dates between May and July. The first five treatments of Cu (0.5 kg/ha) prepared from Coptrel 500 were applied in May to mid-June. Based on the presence of leaf late blight, the Cu concentration, prepared from Kocide 2000 (Certis Europe Italia, Saronno, Varese), was increased (1.5 kg/ha) in the following three treatments from mid-June to mid-July. For the remaining two treatments in July, the Cu content was increased even further (7 kg/ha) using Bordeaux mixture (brand Disperss, UPL Italia srl, San Carlo, Cesena, Forlì-Cesena). In 2019, a total of eight commercial Cu and horsetail macerate treatments, respectively, were applied on the same calendar dates between the months of May and July. The first seven treatments (May to July) were administered at a concentration 1.47 kg/ha, prepared from Kocide 2000. In the remaining treatment, given the increased presence of late blight, the Cu content was increased to 3 kg/ha using Bordeaux mixture, and S (3 kg/ha) was also included, prepared from Thiopron (UPL Italia srl, San Carlo, Cesena, Forlì-Cesena).
For the durum wheat, in 2017, two commercial and three horsetail macerate treatments were applied, respectively, between April and May. The commercial Cu and S treatments were comprised of Bordeaux mixture (5 kg/ha) and Thiopron (4 kg/ha), respectively, that were applied together to the crop. In 2018, four commercial and horsetail treatments were applied on the same calendar dates during the months of April and May. The first three commercial treatments in April were composed of Bordeaux mixture (4 kg/ha) and Thiopron (3 kg/ha). With the increased incidence of fungal pathogens, both the Cu and S contents in the remaining treatment (May) were increased to 7 kg/ha, similarly prepared from Bordeaux mixture and Thiopron, respectively. In 2019, a total of four commercial and horsetail treatments were applied on the same calendar dates during the months of March April and May. The Cu content (Bordeaux mixture) was maintained constant at 5 kg/ha in all four treatments. Instead, the S content (Thiopron) was 3 kg/ha for the first three treatments and 5 kg/ha for the remaining treatment.

2.4. Disease Index Ratings

Disease assessment analyses were carried out within the same months as the treatment applications. The assessments were performed by randomly selecting 10 tomato plants within each experimental plot and providing a visual disease rating estimate. For durum wheat, five sampling points were selected within each experimental plot and 10 plants were assessed for disease within each sampling point. For tomato, the diseases that were evident and subject to assessment were tomato leaf late blight and fruit late blight (Phytophora infestans) Mont. De Bary, as well as bacterial leaf spot (Xanthomonas campestri pv. vesicatoria). For durum wheat, fungal disease assessments were made for brown leaf rust (Puccinia triticina), head blight (Fusarium graminearum), and leaf blotch (Zymoseptoria tritici), respectively.
Disease ratings were calculated using a descriptive assessment scale with different classes of scale ratings (i.e., 0–10), in which each rating corresponds to a specific infection percentage over the surface area of tissue under investigation. The scoring scale adopted was as follows: 0 = no infection, 1 = 1–10%, 2 = 11–20%, 3 = 21–30%, 4 = 31–40 %, 5 = 41–50%, 6 = 51–60%, 7 = 61–70%, 8 = 71–80%, 9 = 81–90%, and 10 = 91–100%.
From the disease rating, a disease index was calculated according to the following formula:
P e r c e n t   d i s e a s e   i n d e x = Σ   S u m   o f   a l l   n u m e r i c a l   r a t i n g   T o t a l   n o .   o f   a s s e s s e d   p l a n t s   x   m a x i m u m   r a t i n g

2.5. Statistical Analysis

All statistical analyses were performed using CoStat (CoStat, version 6.400). Differences between mean values were compared by Tukey–Kramer test in a one-way analysis of variance (ANOVA).

3. Results

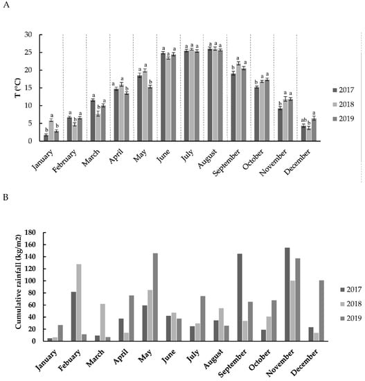
The comparative efficacy of the Cu- and Cu + S-based treatments and the Cu-alternative treatment (horsetail macerate) were evaluated compared to untreated controls, respectively, for agricultural-scale open-field tomato (S. lycopersicum) and durum wheat (T. turgidum ssp. durum) cultivations. Predisposing factors to the majority of plant fungal pathogens include cool, wet weather and for this reason the average monthly temperatures and cumulative rainfall patterns were monitored over the three-year period, with particular interest centered on the period between April and July, encompassing the entire tomato crop cycle and the final part of the durum wheat cycle, respectively. Average temperatures in 2019 were significantly lower in April and May compared to the same months in 2018 and 2017 (Figure 1A). No differences were observed for the months of June and July over the three-year period (Figure 1A). Monthly rainfall distribution varied for the respective months over the three-year period. Of note, the overall rainfall recorded was higher in the months of April, May, and July of 2019, compared to 2017 and 2018, respectively (Figure 1B).

3.1. Efficacy of Copper-and Horsetail Macerate-based Treatments on Tomato Pathogens, Yield, and Brix

Worldwide, late blight is a destructive pathogen, particularly of tomato and potato. P. infestans is classified as an Oomycete, a fungus-like organism also called water mold, that spreads rapidly in tomato infecting leaves, stems, and the fruit if left uncontrolled. The most effective treatments are Cu fungicides that are applied on a regular preventative schedule. In the present study, copper-based products and a copper substitute, horsetail macerate, were routinely applied as preventative treatments (Table 1).
In 2017, there was no record of late blight. In 2018, five preventative treatments were applied before the onset of late blight in mid-June, after which curative Cu treatments were applied by increasing the concentration of the active ingredient (from 0.5 to 1.5 and finally 7 kg/ ha). Overall, the incidence of leaf blight in 2018, as determined from the nontreated control prior to harvest, was not severe (not exceeding 31%). Application of the Cu treatment significantly reduced the disease incidence on the leaves (Table 1). The horsetail macerate was similarly effective in reducing late blight symptoms on the leaf tissue. Late blight infection of the fruit was minimal in the control as well as in the Cu- and horsetail-treated plots.
In 2019, based on the higher April–May rainfall (Figure 1), the preventative and early curative Cu treatments were set at 1.5 kg/ha. After the detection of late blight in mid-June, the spread of the disease was rapid, evident from the leaf tissue disease ratings on the control plot, which increased from 28 to 79% over a period of one month (Table 1). For the last curative treatment application, administered on July 14, Cu was increased to 3 kg/ha and S (3 kg/ha) was also included. The horsetail macerate concentrations were not modified. Both the horsetail macerate and Cu were equally effective in significantly reducing late blight on the leaf surfaces in comparison to the untreated control (Table 1). The visual efficacy of the horsetail macerate, compared to the untreated plot, is shown in Figure 2. Disease infection of the fruit was minimal. Although fruit late blight was significantly increased in the control plot prior to harvest, disease incidence was below 20%. As with the leaf material, both the horsetail macerate and Cu were equally effective in reducing fruit blight (Table 1).
Bacterial spot disease is another major threat to tomato production affecting both fresh-market and processing tomatoes. The efficacy of both the Cu and horsetail macerate treatments was similarly investigated for bacterial spot. Bacterial leaf spot in the Cu- and horsetail-treated plots were not significantly different from the control plots (Table 1). However, given that the disease was absent in 2017 and negligible in both 2018 and 2019, as evidenced from the untreated control (Table 1), it was not possible to evaluate the potential efficacy of the treatments for bacterial spot disease.
Tomato yield from the control in both 2018 and 2019 was higher than that in 2017, likely attributable in part to the cultivation of the higher yielding Heinz1281 genotype (Figure 3). In 2017, the increased tomato yield in the Cu-treated plot was unrelated to pathogen incidence. In both 2018 and 2019, tomato yield was significantly higher in both the Cu- and horsetail-treatments, respectively, than in the untreated control (Figure 3).
The Brix value (total soluble solids) is an important quality parameter, in which processing tomatoes require a minimum Brix value of 4.5 (45 g/L). Tomato treated with the Cu-based treatments showed minimal albeit significantly lower Brix values compared to the untreated controls and horsetail-treated tomatoes (Figure 4).

3.2. Efficacy of Copper- and Horsetail Macerate-based Treatments on Durum Wheat Pathogens and Yield

Brown leaf rust, a fungal pathogen of cereal grain leaves, was detected over the three-year period (Table 2). In 2017, infection levels were minimal and not significantly different between the untreated control and the fungicide-treated durum wheat. In 2018, both the Cu-based and horsetail-based treatments were effective in significantly reducing the incidence of leaf rust (Table 2). It was not possible to perform the disease ratings on the last analysis date as the accuracy was hampered by the condition of the dying leaves. Similar to the situation in 2018, in May 2019, both the Cu-based and horsetail-based treatments were effective in significantly reducing the incidence of leaf rust (Table 2). Thereafter, the disease progressed rapidly between May 24 and June 10. Although the horsetail macerate reduced the disease ratings significantly compared to the Cu + S treatments and untreated control, respectively, the disease incidence remained high (Table 2).
The fungal pathogens responsible for leaf blotch and head blight were not evident in either 2017 or 2018. However, in 2019, as with brown leaf rust, both diseases showed rapid progression between May 24 and June 10 (Table 3). Neither the Cu + S-based treatments or the horsetail macerate were effective in containing the infection (Table 3).
Preventative horsetail macerate treatment was effective in significantly increasing yield compared to both the preventative Cu + S treatments and the untreated control in 2017 (Figure 5). In 2018, both the Cu + S and horsetail treatments ameliorated yield compared to the untreated control. In 2019, given the increased disease ratings of all three pathogens under investigation (not controlled by the fungicide treatments), yield did not differ between the untreated control and the two fungicide treatments.

4. Discussion

Pest management is a pivotal element to the future of sustainable agriculture [7]. One facet of pest management, pathogen control, is centered against the current backdrop necessitating the replacement of Cu fungicides with natural Cu-free products [13,14]. However, there is little knowledge relating to the performance of potentially suitable alternatives in larger-scale agricultural settings [7,12,25,26,27]. Much of the research towards identifying potential natural products to replace/reduce the use of Cu have been performed in vitro or in pot/small plot trials often lacking field verification [7,12,27]. Given the requisite for verifying the performance of Cu alternatives in larger-scale field applications, the present study investigated the potential of E. arvense. (horsetail macerate) compared to Cu-based treatments on S. lycopersicum and T. durum cultivations in established organic commercial farms over a three-year period (2017–2019). The present results demonstrated the efficacy of horsetail macerate as an ACP Cu-free alternative for late blight management of tomato in organic agriculture. Moreover, similar to the Cu-based treatments, horsetail macerate resulted in higher tomato yields than those recorded for the untreated controls, but without a decrease in Brix, as was observed for the Cu-based treatments. For durum wheat, both fungicide treatments significantly reduced rust infection and increased yield under conditions of moderate wheat rust infection (2018), but under a severe and combined infections (2019) of wheat rust, head blight, and leaf blotch, neither the horsetail- nor Cu-based products were effective at reducing disease incidence.
The present case study on tomato has prioritized indirect preventative agroecological (organic) practices, such us the selection of more resistant pathogen genotypes (Heinz1281), crop rotation, the purchase of disease-free tomato seedlings for transplantation, and the application of approved fungicides on a regular preventive schedule [8,10,26,28]. Nevertheless, curative treatments applied in this research were necessary in treating established late blight infections. This was also evident for durum wheat. Curative treatments, in the present study involved an increasing concentration of Cu administered to the crop to reduce the spread of pathogens. However, the development of Cu-resistant pathogen strains, Cu accumulation in the soil, and negative effects on soil biota as well as on food quality parameters are among the key disadvantages of Cu-based treatments [13]. As a substitute Cu product, horsetail extract, the first approved basic substance of the EC Regulation No 1107/2009 [16], intended as both a plant strengthener and preventive treatment of pathogenic fungi [19], was as effective as Cu in significantly reducing tomato late blight at constant concentration of 1.2 kg/hL under both moderate and severe infection. In small plot trials of potato, 0.8 to 1.2 kg/hL horsetail was similarly used with moderate late blight reducing potential [25]. Registration of horsetail by the EC was granted based on a concentration of 0.2 kg/hL [19], considered the typical suitable field concentration [17]. However, given the limited literature on field-based applications of horsetail extract, it was not possible to compare effects attributable to differing application concentrations.
The present study showed the efficacy of horsetail macerate treatments on durum wheat under non-pathogen related conditions as plant strengtheners or biostimulants. Plant strengtheners, used interchangeably with the term plant biostimulants, are substances that enhance/benefit nutrient uptake, nutrient efficiency, tolerance to abiotic stress, crop quality and yield [27,29]. In durum wheat, yield was significantly higher in 2017 after horsetail treatment, compared to the untreated control, notwithstanding the absence of fungal pathogens, thereby corroborating previous reports [29,30] evidencing the potential of horsetail as a plant strengthener. Silica (Si), a major elemental constituent of horsetail, has been reported to stimulate a limited increase in growth and yield in crop plants, including wheat [31]. Moreover, horsetail was effective on tomato under moderate (2018) to severe (2019) pathogen conditions as a suitable fungicide with potential preventative and curative properties. The treatment was only effective on durum wheat under moderate conditions of pathogen infection. As both a preventative and curative fungicide, horsetail efficacy is attributable to silica (Si), predominantly produced in the epidermis and comprising 6.2 % of the total biomass at concentrations far exceeding N, P, K, and Ca, respectively [18]. Silicon (Si) has long been known as a plant strengthener and fungicide [32]. As a preventative fungicide treatment, Si (horsetail) is credited with lowering the impact of moisture by reducing the effects of excessive water around plants that would lead to fungal establishment [17,19,32]. Moreover, Si induces resistance by acting as a physical barrier, which is based on pre-formed defense barriers before pathogen infection [18,19]. As a curative treatment, Si is suggested to operate both mechanically through formation of polymerized, hydrated silica to reduce fungal penetration and by induced resistance, through modulation of signal transduction pathways and systemic resistance [17,19,32].
Interestingly, the horsetail treatment, unlike the Cu-based treatments, did not induce a decrease in the Brix value in tomato. To the best of our knowledge, a negative effect of Cu- based fungicide treatments on tomato Brix values in organic farming has not been reported previously. In a previous report on tomato, comparing the untreated control and various Cu-fungicides, the Brix values of the fruit were unaffected by the Cu treatments and comparable to the control [33]. Further research would be required to understand the effect of the Cu-based treatments on Brix values.
The present work highlighted the importance of including multiple years when testing the efficacy of Cu alternatives under field conditions. Meteorological conditions (specifically rainfall) varied over the 2017–2019 period, impacting significantly on the extent of fungal infection as evidenced by the untreated controls. In 2017, no fungal pathogens were present, whereas in 2018, there was a moderate infection of both late blight and brown rust on tomato and the durum wheat, respectively. The overall higher rainfall in 2019 increased fungal infection severity of all fungal strains affecting both tomato and durum wheat, thereby enabling us to ascertain the efficacy of horsetail in the absence of fungal pathogens, as well as under moderate and severe pathogen infections in open-field conditions in larger-scale agricultural settings.

5. Conclusions

The results of the present study affirm the potential of horsetail macerate as ACP Cu-alternative treatment for tomato late blight in agroecological/organic management systems. The horsetail was shown to be effective under both moderate and severe conditions of late blight with positive effects on overall yield. Under moderate conditions of brown rust, horsetail was effective in reducing disease incidence and was also effective in increasing yields both in the absence of fungal pathogens and under moderate infections. However, given that the horsetail was ineffective in managing severe symptoms of durum wheat pathogens, it cannot be recommended as suitable field strategy to combat fungal pathogens. Noteworthy, the Cu-based treatments were similarly ineffective in treating severe infections of durum wheat pathogens.

Author Contributions

Conceptualization, G.T., G.D., R.C., I.M.; methodology, G.T., G.D., R.C., I.M.; investigation, G.T., L.N. and S.B.; data curation, G.T., L.N. and S.B.; writing—original draft preparation, G.T. and I.M.; writing—review and editing, G.T. and I.M.; supervision, I.M.; project administration, G.T.; funding acquisition, G.D. and R.C. All authors have read and agreed to the published version of the manuscript.

Funding

This research was funded by Emilia-Romagna Rural Development Program (PSR), grant number 5004957.

Institutional Review Board Statement

Not applicable.

Informed Consent Statement

Not applicable.

Data Availability Statement

Data sharing not applicable.

Acknowledgments

The authors would like to thank Paolo Baldassari for technical assistance in the field trials. A special thanks goes to Lucietta Betti for her precious support and encouragement.

Conflicts of Interest

No potential conflicts of interest were reported by the authors

Abbreviations

ACPAgricultural Crop Protection
CuCopper
ECEuropean Commission
AMFArbuscular mycorrhizal fungi
SSulfur
SiSilicon

References

  1. Gliessman, S.R. Agroecology: The Ecology of Sustainable Food Systems, 2nd ed.; CRC Press: Boca Raton, FL, USA, 2007; p. 384. [Google Scholar]
  2. Wezel, A.; Bellon, S.; Doré, T.; Francis, C.; Vallod, D.; David, C. Agroecology as a science, a movement and a practice. A review. Agron. Sustain. Dev. 2009, 29, 503–515. [Google Scholar] [CrossRef]
  3. Food and Agriculture Organization (FAO). Agroecology Knowledge Hub. Agroecology Definitions. 2017. Available online: http://www.fao.org/agroecology/home/en/ (accessed on 12 October 2020).
  4. Gliessman, S.R. Defining agroecology. Agroecol. Sus. Food 2018, 42, 599–600. [Google Scholar] [CrossRef]
  5. High Level Panel of Experts (HLPE). Agroecological and Other Innovative Approaches for Sustainable Agriculture and Food Systems That Enhance Food Security and Nutrition; Reports Series 14; High-Level Panel of Experts on Food Security and Nutrition of the Committee on World Food Security: Rome, Italy, 2019; pp. 1–163. Available online: www.fao.org/cfs/cfs-hlpe (accessed on 14 October 2020).
  6. Kremen, C.; Miles, A. Ecosystem services in biologically diversified versus conventional farming systems: Benefits, externalities, and trade-offs. Ecol. Soc. 2012, 17, 40. [Google Scholar] [CrossRef]
  7. Brzozowski, L.; Mazourek, M. A Sustainable Agricultural Future Relies on the Transition to Organic Agroecological Pest Management. Sustainability 2018, 10, 2023. [Google Scholar] [CrossRef]
  8. Deguine, J.-P.; Rousse, P.; Atiama-Nurbel, T. Agroecological Crop Protection: Concepts and a Case Study from Reunion. In Integrated Pest Management and Pest Control—Current and Future Tactics; InTech: Rijeka, Croatia, 2012. [Google Scholar] [CrossRef]
  9. Deguine, J.-P.; Gloanec, C.; Laurent, P.; Ratnadass, A.; Aubertot, J.-N. Agroecological Crop Protection; Springer: Dordrecht, The Netherlands, 2017; p. 249. [Google Scholar] [CrossRef]
  10. Migliorini, P.; Wezel, A. Converging and diverging principles and practices of organic agriculture regulations and agroecology. A review. Agron. Sustain. Dev. 2018, 37, 63. [Google Scholar] [CrossRef]
  11. European Commission (EC). EC Regulation 889/2008 of the European Commission, 5th September 2008. Off. J. Eur. Union 2008, 250, 1–84. [Google Scholar]
  12. Wezel, A.; Casagrande, M.; Celette, F.; Vian, J.F.; Ferrer, A.; Peigné, J. Agroecological practices for sustainable agriculture. A review. Agron. Sustain. Dev. 2014, 34, 1–20. [Google Scholar] [CrossRef]
  13. Lamichhane, J.R.; Osdaghi, E.; Behlau, F.; Köhl, J.; Jones, J.B.; Aubertot, J.-N. Thirteen decades of antimicrobial copper compounds applied in agriculture. A review. Agron. Sustain. Dev. 2018, 38, 28. [Google Scholar] [CrossRef]
  14. La Torre, A.; Iovino, V.; Cardonia, F. Copper in plant protection: Current situation and prospects. Phytopathol. Mediterr. 2018, 57, 201–236. [Google Scholar] [CrossRef]
  15. Coelho, F.C.; Squitti, R.; Ventriglia, M.; Cerchiaro, G.; Daher, J.P.; Rocha, J.G.; Rongioletti, M.C.A.; Moonen, A.-C. Agricultural Use of Copper and Its Link to Alzheimer’s Disease. Biomolecules 2020, 10, 897. [Google Scholar] [CrossRef]
  16. European Commission (EC). Commission Regulation No 1107/2009. Off. J. Eur. Union 2009, 309, 1–50. [Google Scholar]
  17. Marchand, P.A. Basic substances under EC 1107/2009 phytochemical regulation: Experience with non-biocide and food products as biorationals. J. Plant Prot. Res. 2016, 56. [Google Scholar] [CrossRef]
  18. García-Gaytán, V.; Bojórquez-Quintal, E.; Hernández-Mendoza, F.; Tiwari, D.K.; Corona-Morales, N.; Moradi-Shakoorian, Z. Polymerized silicon (SiO2:nH2O) in Equisetum arvense: Potential nanoparticles in crops. J. Chil. Chem. Soc. 2019, 64, 4298–4302. [Google Scholar] [CrossRef]
  19. European Commission (EC). Pilot Project: Proposal for Approbation of Basic Substances, in the Context of Regulation No 1107/2009. Equisetum arvense L.; European Commission (EC): Brussels, Belgium, 2013; pp. 1–29. [Google Scholar]
  20. European Commission (EC). Implementing Regulation No 462/2014 of 5 May 2014 approving the basic substance Equisetum arvense L. Off. J. Eur. Union 2017, 134, 28. [Google Scholar]
  21. Furia Seeds. Pomodoro da Industria. Tomato Heinz Seeds. 2018. Available online: http://www.furiaseed.com/images/catalogo/catalogo2018.pdf (accessed on 16 October 2020).
  22. Associazione Italiana Sementi (Assosementi). National Register for Varieties of Agricultural and Horticultural Species. European Commission Catalogue for Varieties of Agricultural and Horticultural Species. 2019. Available online: http://www.sementi.it/articoli/163/registro-nazionale-varieta-specie-agrarie (accessed on 16 October 2020).
  23. Consiglio per la Ricerca in Agricoltura e L’analisi Dell’economia Agraria (CREA). Autorizzazione Concessi ai sensi del Regolamento CE 889/2008 per L’utilizzazione di Sementi Convenzionali in Agricoltura Biologica nel 2017 in Italia. 2017. Available online: http://scs.entecra.it/biologico-indice/ce2017.pdf (accessed on 16 October 2020).
  24. Società Italiana Sementi (SIS). Available online: http://www.sisonweb.com/en/product-detail.php?idProd=226 (accessed on 16 October 2020).
  25. Nechwatal, J.; Zellner, M. Potential suitability of various leaf treatment products as copper substitutes for the control of late blight (Phytophthora infestans) in organic potato farming. Potato Res. 2015, 58, 261–276. [Google Scholar] [CrossRef]
  26. Forrer, H.R.; Vogelgsang, S.; Musa, T. Botanicals and Phosphonate Show Potential to Replace Copper for Control of Potato Late Blight. J. Fungi 2017, 3, 65. [Google Scholar] [CrossRef]
  27. Mulugeta, T.; Muhinyuza, J.-B.; Gouws-Meyer, R.; Matsaunyane, L.; Andreasson, E.; Alexandersson, E. Botanicals and plant strengtheners for potato and tomato cultivation in Africa. J. Integr. Agric. 2020, 19, 406–427. [Google Scholar] [CrossRef]
  28. Seidl Johnson, A.C.; Jordan, S.A.; Gevens, A.J. Efficacy of Organic and Conventional Fungicides and Impact of Application Timing on Control of Tomato Late Blight Caused by US-22, US-23, and US-24 Isolates of Phytophthora infestans. Plant Dis. 2015, 99, 641–647. [Google Scholar] [CrossRef]
  29. Đurić, M.; Mladenović, J.; Bošković-Rakočević, L.; Šekularac, G.; Brković, D.; Pavlović, N. Use of different types of extracts as biostimulators in organic agriculture. Acta Agric. Slov. 2019, 47, 27–391. [Google Scholar] [CrossRef]
  30. Godlewska, K.; Biesiada, A.; Michalak, I.; Pacyga, P. The effect of botanical extracts obtained through ultrasound-assisted extraction on white head cabbage (Brassica Oleracea L. Var. Capitata L.) seedlings grown under controlled conditions. Sustainability 2020, 12, 1871. [Google Scholar] [CrossRef]
  31. Laane, H.-M. The Effects of Foliar Sprays with Different Silicon Compounds. Plants 2018, 7, 45. [Google Scholar] [CrossRef] [PubMed]
  32. Fauteux, F.; Rémus-Borel, W.; Menzies, J.G.; Bélanger, R.R. Silicon and plant disease resistance against pathogenic fungi. FEMS Microbiol. Lett. 2005, 249, 1–6. [Google Scholar] [CrossRef] [PubMed]
  33. Itaki, A.T.; Tolentino-Júnior, J.B.; Demant, L.A.R.; Maringoni, A.C. Control of bacterial spot of tomato and activation of enzymes related to resistance by chemicals under field conditions. J. Agric. Sci. 2014, 6, 100–109. [Google Scholar] [CrossRef][Green Version]
Figure 1. Average monthly temperatures (A) and cumulative rainfall (B) recorded for the tomato and durum wheat farms in the region of Fiscaglia, Ferrara (Emilia Romagna, Italy) between 2017 and 2019. Different letters indicate significant differences (p < 0.05).
Figure 1. Average monthly temperatures (A) and cumulative rainfall (B) recorded for the tomato and durum wheat farms in the region of Fiscaglia, Ferrara (Emilia Romagna, Italy) between 2017 and 2019. Different letters indicate significant differences (p < 0.05).
Agriculture 11 00005 g001
Figure 2. Comparison of late blight (dark coloring) on tomato leaf tissue (disease rating of 79%) between the nontreated control plot (left) and the horsetail macerate-treated plot (disease rating of 36%, right) on July 26 2019.
Figure 2. Comparison of late blight (dark coloring) on tomato leaf tissue (disease rating of 79%) between the nontreated control plot (left) and the horsetail macerate-treated plot (disease rating of 36%, right) on July 26 2019.
Agriculture 11 00005 g002
Figure 3. Tomato yield in Cu (positive C) and horsetail macerate treatments compared with untreated control (Neg control) between 2017 and 2019. Different letters indicate significant differences (p < 0.05).
Figure 3. Tomato yield in Cu (positive C) and horsetail macerate treatments compared with untreated control (Neg control) between 2017 and 2019. Different letters indicate significant differences (p < 0.05).
Agriculture 11 00005 g003
Figure 4. Tomato degrees Brix in Cu (positive C) and horsetail macerate treatments compared with untreated control (Neg control) between 2017 and 2019. Different letters indicate significant differences (p < 0.05).
Figure 4. Tomato degrees Brix in Cu (positive C) and horsetail macerate treatments compared with untreated control (Neg control) between 2017 and 2019. Different letters indicate significant differences (p < 0.05).
Agriculture 11 00005 g004
Figure 5. Durum wheat yield in Cu (positive C) and horsetail macerate treatments compared with untreated control (Neg control) between 2017 and 2019. Different letters indicate significant differences (p < 0.05).
Figure 5. Durum wheat yield in Cu (positive C) and horsetail macerate treatments compared with untreated control (Neg control) between 2017 and 2019. Different letters indicate significant differences (p < 0.05).
Agriculture 11 00005 g005
Table 1. Calendar dates for Cu and horsetail macerate treatments and disease ratings for Phytophthora infestans pv. vesicatoria (late blight) and Xanthomonas campestri (bacterial spot) of tomato during routine analyses over a three-year period. Different letters indicate significant differences (p < 0.05).
Table 1. Calendar dates for Cu and horsetail macerate treatments and disease ratings for Phytophthora infestans pv. vesicatoria (late blight) and Xanthomonas campestri (bacterial spot) of tomato during routine analyses over a three-year period. Different letters indicate significant differences (p < 0.05).
Treatment DatesAnalysisDatesLate Blight Leaf Disease Rating (%)Late Blight Fruit Disease Rating (%)Bacterial Spot Leaf Disease Rating (%)
ControlCuHorsetailControlCuHorsetailControlCuHorsetail
2017
8, 14, 20 June22 June000000000
30 June, 8 July12 July000000000
14, 18, 26 July28 July000000000
2, 8, 16, 24 Aug26 Aug000000000
2018
8, 16 May 24 May 000000000
26 May, 2, 12, 20, 26 June28 June 12 a7 a5 a3 a2 a1 a22 a10 b16 ab
4, 10, 18 July20 July 23 a12 b10 b1 a2 a4 a4 a6 a8 a
26 July 31 a18 b21 ab4 b7 a6 ab000
2019
12, 26 May, 6 June10 June 00000020 a18 a13 a
12, 20, 26 June28 June 28 a12 a17 a00010 a6 a6 a
8 July12 July 42 a17 b15 b3 a0 b0 b11a10 a9 a
14 July20 July 47 a22 b24 b2 a1 b1 b8 a7 a7 a
26 July 79 a24 b36b16 a1 b2 b14 a12 a6 a
Table 2. Calendar dates for Cu and horsetail macerate treatments and disease ratings for Puccinia triticina (brown leaf rust) of durum wheat during routine analyses over a three-year period.
Table 2. Calendar dates for Cu and horsetail macerate treatments and disease ratings for Puccinia triticina (brown leaf rust) of durum wheat during routine analyses over a three-year period.
Treatment DateAnalysis DateLeaf Rust Disease Index (%)
ControlCuHorsetail
2017
14 April, 14 May (Cu)30 May12 a0 a4 a
22, 30 April, 6 May (HT)22 June20 a16 a12 a
2018
6, 16, 26 April10 May0 a0 a2 a
12 May24 May56 a14 b22 b
12 June NDNDND
2019
24, 26 March, 14 April4 May 1 a1 a4 a
24 May 44 a18 b16 b
4 June 10 June 100 a100 a75 b
Different letters indicate significant differences (p < 0.05). ND is not determined. HT—Horsetail only.
Table 3. Calendar dates for Cu and horsetail macerate treatments and disease ratings for Zymoseptoria tritici (leaf blotch) and Fusarium graminearum (head blight) of durum wheat in 2019.
Table 3. Calendar dates for Cu and horsetail macerate treatments and disease ratings for Zymoseptoria tritici (leaf blotch) and Fusarium graminearum (head blight) of durum wheat in 2019.
Treatment DateAnalysis DateLeaf Blotch Disease Rating (%)
ControlCuHorsetail
2019
24, 26 March, 14 April 4 May18 a10 b12 ab
24 May88 a80 ab62 b
4 June 10 June100 a100 a 100 a
Head Blight Disease Rating (%)
ControlCuHorsetail
2019
24, 26 March, 14 April4 May 000
24 May 37 a32 a34 a
4 June 10 June 84 a71 a71 a
Different letters indicate significant differences (p < 0.05).
Publisher’s Note: MDPI stays neutral with regard to jurisdictional claims in published maps and institutional affiliations.

Share and Cite

MDPI and ACS Style

Trebbi, G.; Negri, L.; Bosi, S.; Dinelli, G.; Cozzo, R.; Marotti, I. Evaluation of Equisetum arvense (Horsetail Macerate) as a Copper Substitute for Pathogen Management in Field-Grown Organic Tomato and Durum Wheat Cultivations. Agriculture 2021, 11, 5. https://doi.org/10.3390/agriculture11010005

AMA Style

Trebbi G, Negri L, Bosi S, Dinelli G, Cozzo R, Marotti I. Evaluation of Equisetum arvense (Horsetail Macerate) as a Copper Substitute for Pathogen Management in Field-Grown Organic Tomato and Durum Wheat Cultivations. Agriculture. 2021; 11(1):5. https://doi.org/10.3390/agriculture11010005

Chicago/Turabian Style

Trebbi, Grazia, Lorenzo Negri, Sara Bosi, Giovanni Dinelli, Riccardo Cozzo, and Ilaria Marotti. 2021. "Evaluation of Equisetum arvense (Horsetail Macerate) as a Copper Substitute for Pathogen Management in Field-Grown Organic Tomato and Durum Wheat Cultivations" Agriculture 11, no. 1: 5. https://doi.org/10.3390/agriculture11010005

APA Style

Trebbi, G., Negri, L., Bosi, S., Dinelli, G., Cozzo, R., & Marotti, I. (2021). Evaluation of Equisetum arvense (Horsetail Macerate) as a Copper Substitute for Pathogen Management in Field-Grown Organic Tomato and Durum Wheat Cultivations. Agriculture, 11(1), 5. https://doi.org/10.3390/agriculture11010005

Note that from the first issue of 2016, this journal uses article numbers instead of page numbers. See further details here.

Article Metrics

Back to TopTop