Could Supercritical Extracts from the Aerial Parts of Helianthus salicifolius A. Dietr. and Helianthus tuberosus L. Be Regarded as Potential Raw Materials for Biocidal Purposes?
Abstract
1. Introduction
2. Materials and Methods
2.1. Plant Material
2.2. Extraction Method
2.3. Determination of Total Polyphenol Content (TPC)
2.4. Determination of Antibacterial and Antifungal Activity
2.5. Determination of Antioxidant Activity
2.6. Attenuated Total Reflection-Fourier Transform Infrared (ATR–FTIR) Spectra Analysis
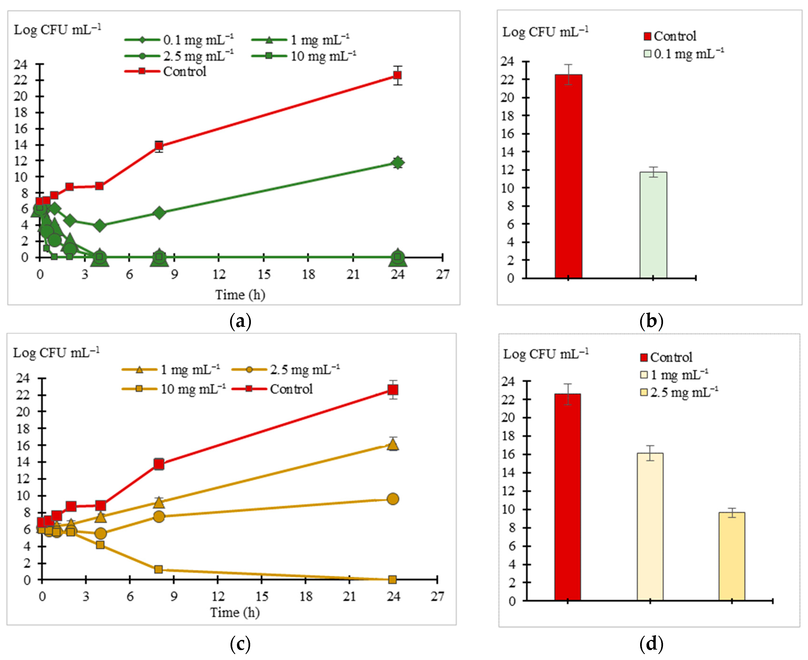
3. Results
4. Discussion
5. Conclusions
Author Contributions
Funding
Institutional Review Board Statement
Informed Consent Statement
Data Availability Statement
Acknowledgments
Conflicts of Interest
References
- Rossini, F.; Provenzano, M.E.; Kuzmanović, L.; Ruggeri, R. Jerusalem artichoke (Helianthus tuberosus L.): A versatile and sustainable crop for renewable energy production in Europe. Agronomy 2019, 9, 528. [Google Scholar] [CrossRef]
- Stolarski, M.J.; Śnieg, M.; Krzyżaniak, M.; Tworkowski, J.; Szczukowski, S. Short rotation coppices, grasses and other herbaceous crops: Productivity and yield energy value versus 26 genotypes. Biomass Bioenergy 2018, 119, 109–120. [Google Scholar] [CrossRef]
- Volk, G.M.; Richards, K. Preservation methods for Jerusalem artichoke cultivars. HortScience 2006, 41, 80–83. [Google Scholar] [CrossRef]
- Matias, J.; Gonzalez, J.; Cabanillas, J.; Royano, L. Influence of NPK fertilization and harvest date on agronomic performance of Jerusalem artichoke crop in the Guadiana Basin (Southwestern Spain). Ind. Crop. Prod. 2013, 48, 191–197. [Google Scholar] [CrossRef]
- Yang, L.; He, Q.S.; Corscadden, K.; Udenigwe, C.C. The prospects of Jerusalem artichoke in functional food ingredients and bioenergy production. Biotechnol. Rep. 2015, 5, 77–88. [Google Scholar] [CrossRef]
- Stolarski, M.J.; Śnieg, M.; Krzyżaniak, M.; Tworkowski, J.; Szczukowski, S.; Graban, Ł.; Lajszner, W. Short rotation coppices, grasses and other herbaceous crops: Biomass properties versus 26 genotypes and harvest time. Ind. Crop. Prod. 2018, 119, 22–32. [Google Scholar] [CrossRef]
- Kokoska, L.; Kloucek, P.; Leuner, O.; Novy, P. Plant-derived products as antibacterial and antifungal agents in human health care. Curr. Med. Chem. 2019, 26, 5501–5541. [Google Scholar] [CrossRef]
- Szewczyk, A.; Zagaja, M.; Bryda, J.; Kosikowska, U.; Stępień-Pyśniak, D.; Winiarczyk, S.; Andres-Mach, M. Topinambur - new possibilities for use in a supplementation diet. Ann. Agric. Environ. Med. 2019, 26, 24–28. [Google Scholar] [CrossRef]
- Liu, H.W.; Liu, Z.P.; Liu, L.; Zhao, G.M. Studies on the antifungal activities and chemical components of extracts from Helianthus tuberosus leaves. Nat. Prod. Res. Dev. 2007, 19, 405–409. [Google Scholar]
- Chen, F.; Long, X.; Yu, M.; Liu, Z.; Liu, L.; Shao, H. Phenolics and antifungal activities analysis in industrial crop Jerusalem artichoke (Helianthus tuberosus L.) leaves. Ind. Crop. Prod. 2013, 47, 339–345. [Google Scholar] [CrossRef]
- Chen, F.J.; Long, X.H.; Li, E.Z. Evaluation of antifungal phenolics from Helianthus tuberosus L. leaves against Phytophthora capsici Leonian by chemometric analysis. Molecules 2019, 24, 4300. [Google Scholar] [CrossRef] [PubMed]
- Kaszás, L.; Alshaal, T.; Kovács, Z.; Koroknai, J.; Elhawat, N.; Nagy, E.; El-Ramady, H.; Fári, M.; Domokos-Szabolcsy, É. Refining high-quality leaf protein and valuable co-products from green biomass of Jerusalem artichoke (Helianthus tuberosus L.) for sustainable protein supply. Biomass Conv. Bioref. 2020. [Google Scholar] [CrossRef]
- Cogen, A.L.; Nizet, V.; Gallo, R.L. Skin microbiota: A source of disease or defence? Br. J. Dermatol. 2008, 158, 442–455. [Google Scholar] [CrossRef] [PubMed]
- Pickard, J.M.; Zeng, M.Y.; Caruso, R.; Núñez, G. Gut microbiota: Role in pathogen colonization, immune responses, and inflammatory disease. Immunol. Rev. 2017, 279, 70–89. [Google Scholar] [CrossRef]
- Arweiler, N.B.; Netuschil, L. The oral microbiota. Adv. Exp. Med. Biol. 2016, 902, 45–60. [Google Scholar] [CrossRef]
- Clarke, G.; Ting, K.N.; Wiart, C.; Fry, J. High correlation of 2,2-diphenyl-1-picrylhydrazyl (DPPH) radical scavenging, ferric reducing activity potential and total phenolics content indicates redundancy in use of all three assays to screen for antioxidant activity of extracts of plants from the Malaysian rainforest. Antioxidants 2013, 2, 1–10. [Google Scholar] [CrossRef]
- Nickavar, B.; Esbati, N. Evaluation of the antioxidant capacity and phenolic content of three Thymus species. J. Acupunct. Meridian Stud. 2012, 5, 119–125. [Google Scholar] [CrossRef]
- Alara, O.R.; Abdurahman, N.H.; Mudalip, S.K.A.; Olalere, O.A. Characterization and effect of extraction solvents on the yield and total phenolic content from Vernonia amygdalina leaves. J. Food Meas. Charact. 2018, 12, 311–316. [Google Scholar] [CrossRef]
- European Committee for Antimicrobial Susceptibility Testing (EUCAST) of the European Society of Clinical Microbiology and Infectious Diseases (ESCMID): Determination of minimum inhibitory concentrations (MICs) of antibacterial agents by broth dilution. EUCAST Discussion Document E.Dis 5.1; The European Committee on Antimicrobial Susceptibility Testing. Clin. Microbiol. Inf. Dis. 2003, 9, 1–7. [Google Scholar]
- Gai, F.; Karamać, M.; Janiak, M.A.; Amarowicz, R.; Peiretti, P.G. Sunflower (Helianthus annuus L.) plants at various growth stages subjected to extraction-comparison of the antioxidant activity and phenolic profile. Antioxidants 2020, 9, 535. [Google Scholar] [CrossRef]
- Pankey, G.A.; Sabath, L.D. Clinical relevance of bacteriostatic versus bactericidal mechanisms of action in the treatment of gram-positive bacterial infections. Clin. Infect. Dis. 2004, 38, 864–870. [Google Scholar] [CrossRef]
- Silva, F.; Lourenço, O.; Queiroz, J.A.; Domingues, F.C. Bacteriostatic versus bactericidal activity of ciprofloxacin in Escherichia coli assessed by flow cytometry using a novel far-red dye. J. Antibiot. (Tokyo) 2011, 64, 321–325. [Google Scholar] [CrossRef] [PubMed]
- Huck, C.W. Advances of infrared spectroscopy in natural product research. Phytochem. Lett. 2015, 11, 384–393. [Google Scholar] [CrossRef]
- Jiménez-Sotelo, P.; Hernández-Martínez, M.; Osorio-Revilla, G.; Meza-Márquez, O.G.; García-Ochoa, F.; Gallardo-Velázquez, T. Use of ATR-FTIR spectroscopy coupled with chemometrics for the authentication of avocado oil in ternary mixtures with sunflower and soybean oils. Food Addit. Contam Part A 2016, 33, 1105–1115. [Google Scholar] [CrossRef] [PubMed]
- Rai, A.; Mohanty, B.; Bhargava, R. Supercritical extraction of sunflower oil: A central composite design for extraction variables. Food Chem. 2016, 192, 647–659. [Google Scholar] [CrossRef]
- Halla, N.; Fernandes, I.P.; Heleno, S.A.; Costa, P.; Boucherit-Otmani, Z.; Boucherit, K.; Rodrigues, A.E.; Ferreira, I.C.F.R.; Barreiro, M.F. Cosmetics preservation: A review on present strategies. Molecules 2018, 23, 1571. [Google Scholar] [CrossRef]
- Pisoschi, A.M.; Pop, A.; Georgescu, C.; Turcuş, V.; Olah, N.K.; Mathe, E. An overview of natural antimicrobials role in food. Eur. J. Med. Chem. 2018, 143, 922–935. [Google Scholar] [CrossRef]
- Tong, S.Y.C.; Davis, J.S.; Eichenberger, E.; Holland, T.L.; Fowler, V.G., Jr. Staphylococcus aureus infections: Epidemiology, pathophysiology, clinical manifestations, and management. Clin. Microbiol. Rev. 2015, 28, 603–661. [Google Scholar] [CrossRef]
- Yuan, X.; Yang, Q. Simultaneous quantitative determination of 11 sesquiterpene lactones in Jerusalem artichoke (Helianthus tuberosus L.) leaves by ultrahigh performance liquid chromatography with quadrupole time-of-flight mass spectrometry. J. Sep. Sci. 2017, 40, 1457–1464. [Google Scholar] [CrossRef]
- Showkat, M.M.; Falck-Ytter, A.B.; Strætkvern, K.O. Phenolic acids in Jerusalem artichoke (Helianthus tuberosus L.): Plant organ dependent antioxidant activity and optimized extraction from leaves. Molecules 2019, 24, 3296. [Google Scholar] [CrossRef]
- Mojzer, E.B.; Hrnčič, M.K.; Škerget, M.; Knez, Ž.; Bren, U. Polyphenols: Extraction methods, antioxidative action, bioavailability and anticarcinogenic effects. Molecules 2016, 21, 901. [Google Scholar] [CrossRef]
- Cartagena, E.; Alva, M.; Montanaro, S.; Bardón, A. Natural sesquiterpene lactones enhance oxacillin and gentamicin effectiveness against pathogenic bacteria without antibacterial effects on beneficial lactobacilli. Phytother. Res. 2015, 29, 695–700. [Google Scholar] [CrossRef] [PubMed]
- Chadwick, M.; Trewin, H.; Gawthrop, F.; Wagstaff, C. Sesquiterpenoids lactones: Benefits to plants and people. Int. J. Mol. Sci. 2013, 14, 12780–12805. [Google Scholar] [CrossRef] [PubMed]
- Fraga, B.M. Natural sesquiterpenoids. Nat. Prod. Rep. 2001, 18, 650–673. [Google Scholar] [PubMed]
- Xu, D.P.; Li, Y.; Meng, X.; Zhou, T.; Zhou, Y.; Zheng, J.; Zhang, J.J.; Li, H.B. Natural antioxidants in foods and medicinal plants: Extraction, assessment and resources. Int. J. Mol. Sci. 2017, 18, 96. [Google Scholar] [CrossRef] [PubMed]
- Dontha, S. A review on antioxidant methods. Asian J. Pharm. Clin. Res. 2016, 9, 14–32. [Google Scholar] [CrossRef]
- Yuan, X.; Gao, M.; Xiao, H.; Tan, C.; Du, Y. Free radical scavenging activities and bioactive substances of Jerusalem artichoke (Helianthus tuberosus L.) leaves. Food Chem. 2012, 133, 10–14. [Google Scholar] [CrossRef]
- Nizioł-Łukaszewska, Z.; Furman-Toczek, D.; Zagórska-Dziok, M. Antioxidant activity and cytotoxicity of Jerusalem artichoke tubers and leaves extract on HaCaT and BJ fibroblast cells. Lipids Health Dis. 2018, 17, 280–292. [Google Scholar] [CrossRef]




| Species | Plant Height (m) * | Shoot Diameter (mm) * | Fresh Biomass Yield (Mg ha−1) ** | Moisture Content (%) ** | Dry Biomass Yield (Mg ha−1) ** |
|---|---|---|---|---|---|
| H. salicifolius | 1.1 ± 0.9 | 7.0 ± 1.0 | 12.9 ± 2.2 | 79.1 ± 0.4 | 2.7 ± 0.4 |
| H. tuberosus | 1.1 ± 0.4 | 5.9 ± 0.6 | 11.6 ± 3.3 | 81.0 ± 1.1 | 2.2 ± 0.8 |
| Plant Material | Extraction Efficiency (%) | Extract Potential Yield (kg ha−1) |
|---|---|---|
| H. salicifolius | 4.97 | 134.19 |
| H. tuberosus | 0.31 | 6.82 |
| Microorganisms | Extracts | |||||
|---|---|---|---|---|---|---|
| H. salicifolius | H. tuberosus | |||||
| Bacterial Strains | MIC [mg mL−1] | MBC [mg mL−1] | MBC/ MIC | MIC [mg mL−1] | MBC [mg mL−1] | MBC/ MIC |
| Staphylococcus aureus ATCC 29213 | 0.62 | 2.5 | 4 | 2.5 | 5 | 2 |
| Escherichia coli ATCC 25922 | 5 | 10 | 2 | 5 | 5 | 1 |
| Fungal (Yeasts) Strains | MIC [mg mL−1] | MFC [mg mL−1] | MFC/ MIC | MIC [mg mL−1] | MFC [mg mL−1] | MFC/ MIC |
| Candida albicans ATCC 10231 | 5 | 10 | 2 | 5 | 10 | 2 |
| Candida glabrata ATCC 90030 | 10 | 10 | 1 | 10 | 20 | 2 |
| Wavenumbers (cm−1) | Functional Group Vibration | |
|---|---|---|
| H. salicifolius | H. tuberosus | |
| 3392 | 3401 | OH stretching (carbohydrates, proteins and polyphenols) |
| 3008 | 3009 | cis C=C stretching |
| 2918, 2849 | 2921, 2851 | asymmetric and symmetric stretching vibration of CH2 group |
| 1742 | 1742 | C=O stretching (aldehydes, ketones, and carboxylic acids) |
| 1695 | - | C=O and C-N stretching vibrations |
| 1657 | - | unconjugated cis C=C |
| 1462 | 1462 | CH2 scissor vibration |
| 1369 | 1377 | CH3 symmetrical bending vibration |
| 1239, 1167, 1096, 1023 | 1239, 1162, 1096, 1030 | C-O stretching vibration |
| 970 | 969 | trans double bonds (C=C) and cis double bonds (C=C) |
| 720 | 720 | bending (rocking) of -(CH2)n-, -HC- CH-(cis) |
Publisher’s Note: MDPI stays neutral with regard to jurisdictional claims in published maps and institutional affiliations. |
© 2020 by the authors. Licensee MDPI, Basel, Switzerland. This article is an open access article distributed under the terms and conditions of the Creative Commons Attribution (CC BY) license (http://creativecommons.org/licenses/by/4.0/).
Share and Cite
Malm, A.; Grzegorczyk, A.; Biernasiuk, A.; Baj, T.; Rój, E.; Tyśkiewicz, K.; Dębczak, A.; Stolarski, M.J.; Krzyżaniak, M.; Olba-Zięty, E. Could Supercritical Extracts from the Aerial Parts of Helianthus salicifolius A. Dietr. and Helianthus tuberosus L. Be Regarded as Potential Raw Materials for Biocidal Purposes? Agriculture 2021, 11, 10. https://doi.org/10.3390/agriculture11010010
Malm A, Grzegorczyk A, Biernasiuk A, Baj T, Rój E, Tyśkiewicz K, Dębczak A, Stolarski MJ, Krzyżaniak M, Olba-Zięty E. Could Supercritical Extracts from the Aerial Parts of Helianthus salicifolius A. Dietr. and Helianthus tuberosus L. Be Regarded as Potential Raw Materials for Biocidal Purposes? Agriculture. 2021; 11(1):10. https://doi.org/10.3390/agriculture11010010
Chicago/Turabian StyleMalm, Anna, Agnieszka Grzegorczyk, Anna Biernasiuk, Tomasz Baj, Edward Rój, Katarzyna Tyśkiewicz, Agnieszka Dębczak, Mariusz Jerzy Stolarski, Michał Krzyżaniak, and Ewelina Olba-Zięty. 2021. "Could Supercritical Extracts from the Aerial Parts of Helianthus salicifolius A. Dietr. and Helianthus tuberosus L. Be Regarded as Potential Raw Materials for Biocidal Purposes?" Agriculture 11, no. 1: 10. https://doi.org/10.3390/agriculture11010010
APA StyleMalm, A., Grzegorczyk, A., Biernasiuk, A., Baj, T., Rój, E., Tyśkiewicz, K., Dębczak, A., Stolarski, M. J., Krzyżaniak, M., & Olba-Zięty, E. (2021). Could Supercritical Extracts from the Aerial Parts of Helianthus salicifolius A. Dietr. and Helianthus tuberosus L. Be Regarded as Potential Raw Materials for Biocidal Purposes? Agriculture, 11(1), 10. https://doi.org/10.3390/agriculture11010010

