Paenibacillus brasilensis YS-1: A Potential Biocontrol Agent to Retard Xinyu Tangerine Senescence
Abstract
1. Introduction
2. Materials and Methods
2.1. Fruit and Bacterial Strain
2.2. Sample Treatments
2.3. Evaluation of Fruit Decay and Weight Loss
2.4. Analysis of the Total Soluble Solids, Total Sugar, Titratable Acidity, and Vitamin C Contents in Fruit Pulp
2.5. Determination of the Respiration Rate and Malondialdehyde Content
2.6. Assay of the Defensive Enzyme Activity
2.7. Statistical Analysis
3. Results
3.1. Changes in the Decay Incidence and Weight Loss of Citrus Fruits after P. brasilensis YS-1 Treatment
3.2. Changes in the Postharvest Quality Attributes in Citrus Fruits after P. brasilensis YS-1 Treatment
3.3. Change in the Respiration Rate of Citrus Fruits after P. brasilensis YS-1 Treatment
3.4. Change in the MDA Content of Citrus Fruits after P. brasilensis YS-1 Treatment
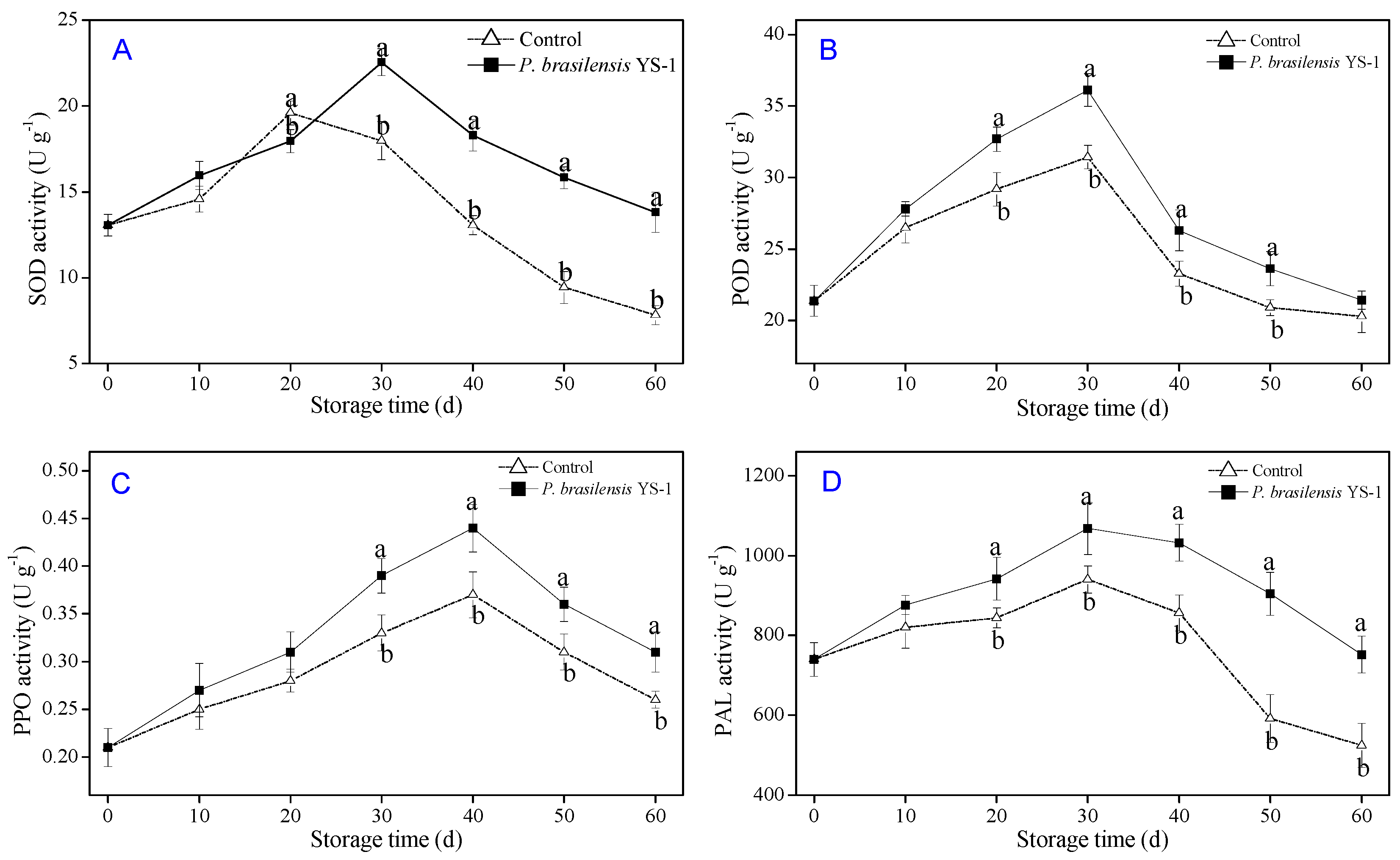
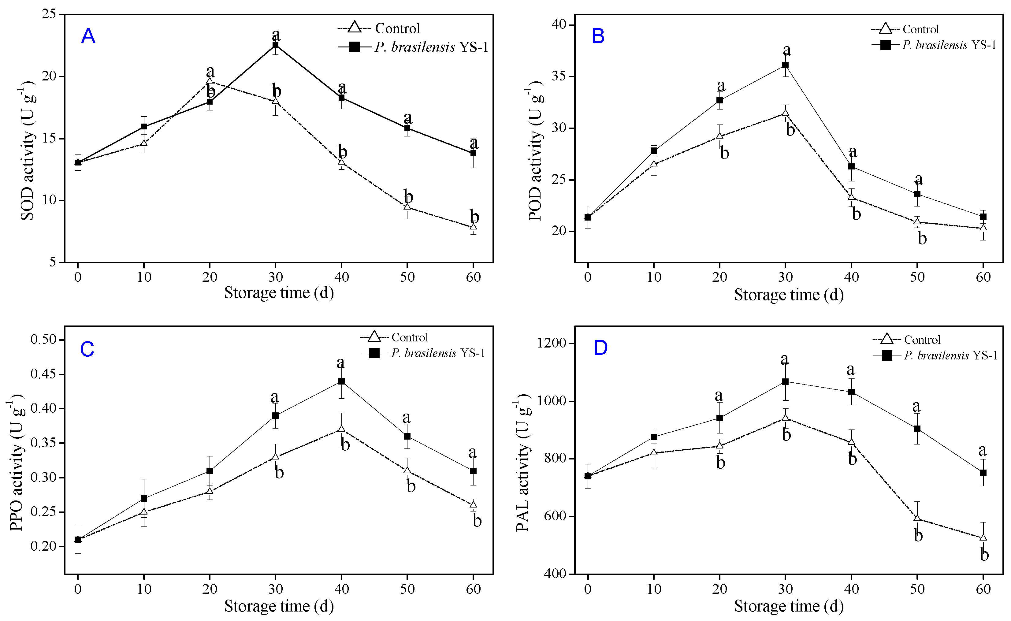
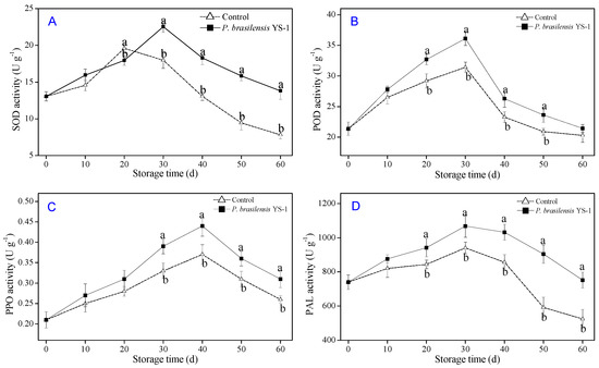
3.5. Change in the Defensive Enzyme Activity of Citrus Fruit after P. brasilensis YS-1 Treatment
3.6. Pearson Correlation of Citrus Fruits after P. brasilensis YS-1 Treatment
4. Discussion
5. Conclusions
Author Contributions
Funding
Conflicts of Interest
References
- Chen, C.Y.; Zheng, J.P.; Wan, C.P.; Chen, M.; Chen, J.Y. Effect of carboxymethyl cellulose coating enriched with clove oil on postharvest quality of ‘Xinyu’ mandarin oranges. Fruits 2016, 71, 319–327. [Google Scholar] [CrossRef]
- Chen, C.Y.; Nie, Z.P.; Wan, C.P.; Chen, J.Y. Preservation of Xinyu tangerines with an edible coating using Ficus hirta Vahl. fruits extract-incorporated chitosan. Biomolecules 2019, 9, 46. [Google Scholar] [CrossRef] [PubMed]
- Zhu, X.R.; Jiang, J.; Yin, C.X.; Li, G.Y.; Jiang, Y.M.; Shan, Y. Effect of ozone treatment on flavonoid accumulation of Satsuma mandarin (Citrus unshiu Marc.) during ambient storage. Biomolecules 2019, 9, 821. [Google Scholar] [CrossRef] [PubMed]
- Cai, N.; Chen, J.Y.; Peng, X.; Chen, C.Y. Evaluation of principle component analysis on postharvest characteristic of ‘Xinyu tangerine’ fruit during ambient temperature storage. China Fruits 2018, 6, 10–13. [Google Scholar] [CrossRef]
- Chen, C.Y.; Cai, N.; Chen, J.Y.; Wan, C.P. UHPLC-Q-TOF/MS-based metabolomics approach reveals the antifungal potential of pinocembroside against citrus green mold phytopathogen. Plants 2020, 9, 17. [Google Scholar] [CrossRef]
- Chen, C.Y.; Wan, C.P.; Peng, X.; Chen, J.Y. A flavonone pinocembroside inhibits Penicillium italicum growth and blue mold development in ‘Newhall’ navel oranges by targeting membrane damage mechanism. Pestic. Biochem. Phys. 2020, 165, 104505. [Google Scholar] [CrossRef]
- Chen, C.Y.; Qi, W.W.; Peng, X.; Chen, J.Y.; Wan, C.P. Inhibitory effect of 7-demethoxytylophorine on Penicillium italicum and its possible mechanism. Microorganisms 2019, 7, 36. [Google Scholar] [CrossRef]
- OuYang, Q.L.; Duan, X.G.; Li, L.; Tao, N.G. Cinnamaldehyde exerts its antifungal activity by disrupting the cell wall integrity of Geotrichum citri-aurantii. Front. Microb. 2019, 10, 55. [Google Scholar] [CrossRef]
- Chaisiri, C.; Liu, X.Y.; Lin, Y.; Li, J.B.; Xiong, B.; Luo, C.X. Phylogenetic analysis and development of molecular tool for detection of Diaporthe citri causing melanose disease of citrus. Plants 2020, 9, 329. [Google Scholar] [CrossRef]
- Olmedo, G.M.; Cerioni, L.; Sepulveda, M.; Ramallo, J.; Rapisarda, V.A.; Volentini, S.I. Polyhexamethylene guanidine as a fungicide, disinfectant and wound protector in lemons challenged with Penicillium digitatum. Food Microb. 2018, 76, 128–134. [Google Scholar] [CrossRef]
- Kellerman, M.; Erasmus, A.; Cronjé, P.J.R.; Fourie, P.H. Thiabendazole residue loading in dip, drench and wax coating applications to control green mould and chilling injury on citrus fruit. Postharvest Biol. Technol. 2014, 96, 78–87. [Google Scholar] [CrossRef]
- Zhang, H.Y.; Mahunu, G.K.; Castoria, R.; Yang, Q.; Apaliya, M.T. Recent developments in the enhancement of some postharvest biocontrol agents with unconventional chemicals compounds. Trends Food Sci. Technol. 2018, 78, 180–187. [Google Scholar] [CrossRef]
- Moraes Bazioli, J.; Belinato, J.R.; Costa, J.H.; Akiyama, D.Y.; Pontes, J.G.d.M.; Kupper, K.C.; Augusto, F.; de Carvalho, J.E.; Fill, T.P. Biological control of citrus postharvest phytopathogens. Toxins 2019, 11, 460. [Google Scholar] [CrossRef] [PubMed]
- Mahunu, G.K.; Zhang, H.Y.; Yang, Q.Y.; Zhang, X.Y.; Li, D.D.; Zhou, Y.X. Improving the biocontrol efficacy of Pichia caribbica with phytic acid against postharvest blue mold and natural decay in apples. Biol. Control 2016, 92, 172–180. [Google Scholar] [CrossRef]
- Klein, M.N.; Kupper, K.C. Biofilm production by Aureobasidium pullulans improves biocontrol against sour rot in citrus. Food Microb. 2018, 69, 1–10. [Google Scholar] [CrossRef]
- Calvo, H.; Marco, P.; Blanco, D.; Oria, R.; Venturini, M.E. Potential of a new strain of Bacillus amyloliquefaciens BUZ-14 as a biocontrol agent of postharvest fruit diseases. Food Microb. 2017, 63, 101–110. [Google Scholar] [CrossRef]
- Waewthongrak, W.; Pisuchpen, S.; Leelasuphakul, W. Effect of Bacillus subtilis and chitosan applications on green mold (Penicilium digitatum Sacc.) decay in citrus fruit. Postharvest Biol. Technol. 2015, 99, 44–49. [Google Scholar] [CrossRef]
- Liu, P.; Chen, K.; Li, G.; Yang, X.; Long, C.A. Comparative transcriptional profiling of orange fruit in response to the biocontrol yeast Kloeckera apiculata and its active compounds. BMC Genom. 2016, 17, 17–30. [Google Scholar] [CrossRef][Green Version]
- Ma, J.; Hong, Y.; Deng, L.; Yi, L.; Zeng, K. Screening and characterization of lactic acid bacteria with antifungal activity against Penicillium digitatum on citrus. Biol. Control 2019, 138, 104044. [Google Scholar] [CrossRef]
- Wang, Z.; Mei, X.; Du, M.; Chen, K.; Jiang, M.; Wang, K.; Zalan, Z.; Kan, J. Potential modes of action of Pseudomonas fluorescens ZX during biocontrol of blue mold decay on postharvest citrus. J. Sci. Food Agric. 2020, 100, 744–754. [Google Scholar] [CrossRef]
- Lu, L.; Xu, S.; Zeng, L.; Zheng, X.; Yu, T. Rhodosporidium paludigenum induced resistance in Ponkan mandarin against Penicillium digitatum requires ethylene-dependent signaling pathway. Postharvest Biol. Technol. 2014, 97, 93–101. [Google Scholar] [CrossRef]
- Zhu, H.; Zhao, L.; Zhang, X.; Foku, J.M.; Li, J.; Hu, W.; Zhang, H. Efficacy of Yarrowia lipolytica in the biocontrol of green mold and blue mold in Citrus reticulata and the mechanisms involved. Biol. Control 2019, 139, 104096. [Google Scholar] [CrossRef]
- Tu, Q.H.; Chen, J.Y.; Guo, J.H. Screening and identification of antagonistic bacteria with potential for biological control of Penicillium italicum of citrus fruits. Sci. Hortic. 2013, 150, 125–129. [Google Scholar] [CrossRef]
- Dias, B.D.C.; Lima, M.E.D.N.V.; Vollu, R.E.; Mota, F.F.D.; Silva, A.J.R.D.; De Castro, A.M.; Freire, D.M.G.; Seldin, L. 2,3-Butanediol production by the non-pathogenic bacterium Paenibacillus brasilensis. Appl. Microb. Biotechnol. 2018, 102, 8773–8782. [Google Scholar] [CrossRef]
- Tu, Q.H.; Chen, J.Y.; Guo, J.H. Control of postharvest blue mold of Nanfeng mandarin by application of strain YS-1 Paenibacillus brasilensis. J. Food Sci. 2013, 78, 868–873. [Google Scholar] [CrossRef]
- Fortes, T.O.; Alviano, D.S.; Tupinambá, G.; Padrón, T.S.; Antoniolli, Â.R.; Alviano, C.S.; Seldin, L. Production of an antimicrobial substance against Cryptococcus neoformans by Paenibacillus brasilensis Sa3 isolated from the rhizosphere of Kalanchoe brasiliensis. Microb. Res. 2008, 163, 200–207. [Google Scholar] [CrossRef]
- Wan, C.P.; Liu, B.; Chen, M.; Chen, C.Y.; Chen, J.Y. Chemical constituents and antifungal activity of Paenibacillus brasilensis YS-1. Mol. Plant Breed. 2018, 16, 1704–1710. [Google Scholar] [CrossRef]
- Chen, C.Y.; Peng, X.; Zeng, R.; Chen, M.; Wan, C.P.; Chen, J.Y. Ficus hirta fruits extract incorporated into an alginate-based edible coating for Nanfeng mandarin preservation. Sci. Hortic. 2016, 202, 41–48. [Google Scholar] [CrossRef]
- Wan, C.P.; Kahramanoğlu, İ.; Chen, J.Y.; Gan, Z.Y.; Chen, C.Y. Effects of hot air treatments on postharvest storage of Newhall navel orange. Plants 2020, 9, 170. [Google Scholar] [CrossRef]
- Kan, C.N.; Gao, Y.; Wan, C.P.; Chen, M.; Zhao, X.Y.; Liu, S.J.; Chen, J.Y. Influence of different cold storage times on quality of “Cuiguan” pear fruits during shelf life. J. Food Process. Preserv. 2019, 43, 14245. [Google Scholar] [CrossRef]
- Goffi, V.; Magri, A.; Botondi, R.; Petriccione, M. Response of antioxidant system to postharvest ozone treatment in ‘Soreli’ kiwifruit. J. Sci. Food Agric. 2019, 100, 961–968. [Google Scholar] [CrossRef] [PubMed]
- Zheng, Q.L.; Zuo, J.H.; Gu, S.T.; Gao, L.P.; Hu, W.Z.; Wang, Q.; Jiang, A.L. Putrescine treatment reduces yellowing during senescence of broccoli (Brassica oleracea L. var. italica). Postharvest Biol. Technol. 2019, 152, 29–35. [Google Scholar] [CrossRef]
- Guo, J.H.; Chen, M.; Tu, Q.H.; Chen, C.Y.; Chen, J.Y. Biocontrol effects of Paenibacillus brasilensis YS-1 crude extracts against citrus blue mold. Aata Phytoph. Sin. 2013, 40, 573–574. [Google Scholar] [CrossRef]
- Wang, L.; Ning, T.; Chen, X.L. Postharvest storage quality of citrus fruit treated with a liquid ferment of Chinese herbs and probiotics. Sci. Hortic. 2019, 255, 169–174. [Google Scholar] [CrossRef]
- Lai, D.; Shao, X.H.; Xiao, W.Q.; Fan, C.; Liu, C.H.; He, H.; Tian, S.Y.; Kuang, S.Z. Suppression of fruit decay and maintenance of storage quality of litchi by Photorhabdus luminescens Hb1029 treatment. Sci. Hortic. 2020, 259, 108836. [Google Scholar] [CrossRef]
- Wu, Y.J.; Lin, H.T.; Lin, Y.F.; Shi, J.; Xue, S.; Hung, Y.C.; Chen, Y.H.; Wang, H. Effects of biocontrol bacteria Bacillus amyloliquefaciens LY-1 culture broth on quality attributes and storability of harvested litchi fruit. Postharvest Biol. Technol. 2017, 132, 81–87. [Google Scholar] [CrossRef]
- Lado, J.; Gambetta, G.; Zacarias, L. Key determinants of citrus fruit quality: Metabolites and main changes during maturation. Sci. Hortic. 2018, 233, 238–248. [Google Scholar] [CrossRef]
- Chen, M.; Jiang, Q.; Yin, X.R.; Lin, Q.; Chen, J.Y.; Allan, A.C.; Xu, C.J.; Chen, K.S. Effect of hot air treatment on organic acid- and sugar-metabolism in Ponkan (Citrus reticulata) fruit. Sci. Hortic. 2012, 147, 118–125. [Google Scholar] [CrossRef]
- Liu, K.D.; Yuan, C.C.; Chen, Y.; Li, H.L.; Liu, J.X. Combined effects of ascorbic acid and chitosan on the quality maintenance and shelf life of plums. Sci. Hortic. 2014, 176, 45–53. [Google Scholar] [CrossRef]
- Habiba; Noreen, R.; Ali, S.A.; Hasan, K.A.; Sultana, V.; Ara, J.; Ehteshamul-Haque, S. Evaluation of biocontrol potential of epiphytic yeast against postharvest Penicillium digitatum rot of stored Kinnow fruit (Citrus reticulata) and their effect on its physiochemical properties. Postharvest Biol. Technol. 2019, 148, 38–48. [Google Scholar] [CrossRef]
- Tan, J.P.; Zhou, X.; Cheng, S.Y.; Chen, Z.X.; Gou, Y.Y.; Ye, J.B.; Xu, F. Biocontrol of pear postharvest decay by Kombucha. Not. Bot. Horti Agrobot. Cluj-napoca 2019, 47, 668–675. [Google Scholar] [CrossRef]
- Xu, W.T.; Peng, X.L.; Luo, Y.B.; Wang, J.A.; Guo, X.; Huang, K.L. Physiological and biochemical responses of grapefruit seed extract dip on ‘Redglobe’ grape. LWT Food Sci. Tech. 2009, 42, 471–476. [Google Scholar] [CrossRef]
- Chen, X.; Wang, Y.; Gao, Y.; Gao, T.; Zhang, D. Inhibitory abilities of Bacillus isolates and their culture filtrates against the gray mold caused by Botrytis cinerea on postharvest fruit. Plant Pathol. J. 2019, 35, 425–436. [Google Scholar] [CrossRef] [PubMed]
- Wang, Y.F.; Tang, F.; Xia, J.D.; Yu, T.; Wang, J.; Azhati, R.; Zheng, X.D. A combination of marine yeast and food additive enhances preventive effects on postharvest decay of jujubes (Zizyphus jujuba). Food Chem. 2011, 125, 835–840. [Google Scholar] [CrossRef]
- Khodaei, D.; Hamidi-Esfahani, Z. Influence of bioactive edible coatings loaded with Lactobacillus plantarum on physicochemical properties of fresh strawberries. Postharvest Biol. Technol. 2019, 156, 110944. [Google Scholar] [CrossRef]
- Sun, P.P.; Cui, J.C.; Jia, X.H.; Wang, W.H. Isolation and characterization of Bacillus amyloliquefaciens L-1 for biocontrol of pear ring rot. Hortic. Plant J. 2017, 3, 183–189. [Google Scholar] [CrossRef]
- Abdelhai, M.H.; Tahir, H.E.; Zhang, Q.; Yang, Q.; Ahima, J.; Zhang, X.Y.; Zhang, H.Y. Effects of the combination of Baobab (Adansonia digitata L.) and Sporidiobolus pararoseus Y16 on blue mold of apples caused by Penicillium expansum. Biol. Control 2019, 134, 87–94. [Google Scholar] [CrossRef]






| Storage Time (d) | Treatment | TSS Content (%) | Total Sugar Content (%) | TA Content (%) | VC Content (mg 100 g−1) |
|---|---|---|---|---|---|
| 0 | Control | 12.03 ± 0.058 | 11.15 ± 0.182 | 0.66 ± 0.012 | 21.42 ± 0.272 |
| P. brasilensis YS-1 | |||||
| 10 | Control | 12.23 ± 0.058a | 11.88 ± 0.124a | 0.63 ± 0.010a | 22.73 ± 0.368b |
| P. brasilensis YS-1 | 12.07 ± 0.115a | 12.05 ± 0.148a | 0.61 ± 0.012a | 23.78 ± 0.513a | |
| 20 | Control | 12.80 ± 0.000a | 12.44 ± 0.251 | 0.60 ± 0.012a | 23.95 ± 0.488b |
| P. brasilensis YS-1 | 12.63 ± 0.058b | 12.33 ± 0.058 | 0.58 ± 0.006b | 25.81 ± 0.423a | |
| 30 | Control | 12.43 ± 0.115b | 12.18 ± 0.113b | 0.51 ± 0.012b | 21.40 ± 0.440b |
| P. brasilensis YS-1 | 13.10 ± 0.000a | 12.89 ± 0.128a | 0.55 ± 0.012a | 24.68 ± 0.525a | |
| 40 | Control | 12.13 ± 0.058b | 11.62 ± 0.273b | 0.45 ± 0.015b | 19.24 ± 0.263b |
| P. brasilensis YS-1 | 12.53 ± 0.058a | 12.53 ± 0.058a | 0.51 ± 0.010a | 23.59 ± 0.557a | |
| 50 | Control | 11.70 ± 0.100b | 10.75 ± 0.176b | 0.37 ± 0.017b | 18.38 ± 0.488b |
| P. brasilensis YS-1 | 12.10 ± 0.100a | 12.10 ± 0.100a | 0.44 ± 0.017a | 21.07 ± 0.164a | |
| 60 | Control | 11.57 ± 0.058b | 10.15 ± 0.224b | 0.34 ± 0.015b | 15.92 ± 0.225b |
| P. brasilensis YS-1 | 11.90 ± 0.000a | 11.90 ± 0.000a | 0.40 ± 0.008a | 19.49 ± 0.327a |
© 2020 by the authors. Licensee MDPI, Basel, Switzerland. This article is an open access article distributed under the terms and conditions of the Creative Commons Attribution (CC BY) license (http://creativecommons.org/licenses/by/4.0/).
Share and Cite
Chen, C.; Wan, C.; Guo, J.; Chen, J. Paenibacillus brasilensis YS-1: A Potential Biocontrol Agent to Retard Xinyu Tangerine Senescence. Agriculture 2020, 10, 330. https://doi.org/10.3390/agriculture10080330
Chen C, Wan C, Guo J, Chen J. Paenibacillus brasilensis YS-1: A Potential Biocontrol Agent to Retard Xinyu Tangerine Senescence. Agriculture. 2020; 10(8):330. https://doi.org/10.3390/agriculture10080330
Chicago/Turabian StyleChen, Chuying, Chunpeng Wan, Juanhua Guo, and Jinyin Chen. 2020. "Paenibacillus brasilensis YS-1: A Potential Biocontrol Agent to Retard Xinyu Tangerine Senescence" Agriculture 10, no. 8: 330. https://doi.org/10.3390/agriculture10080330
APA StyleChen, C., Wan, C., Guo, J., & Chen, J. (2020). Paenibacillus brasilensis YS-1: A Potential Biocontrol Agent to Retard Xinyu Tangerine Senescence. Agriculture, 10(8), 330. https://doi.org/10.3390/agriculture10080330

