Mid-Term Impact of Climate Change on Hazelnut Yield
Abstract
1. Introduction
2. Materials and Methods
2.1. Variables in the Model
2.1.1. Hazelnut Data
2.1.2. Climate Data and Indices
Diurnal Temperature Range (DTR)
2.2. Hybrid Approach
Statistical Model
3. Results
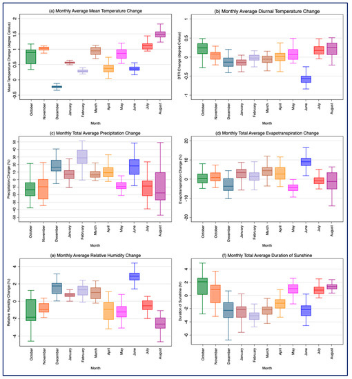
3.1. Regional Climate Model Results
3.2. Statistical Model Results for the Climate Variables
Phenological Assessment of the Relationship between the Climate Variables and Hazelnut Yield
3.3. Statistical Model Results for Hazelnut Yield
4. Discussion
5. Conclusions
Author Contributions
Funding
Acknowledgments
Conflicts of Interest
References
- Porter, J.R.; Xie, L.; Challinor, A.J.; Cochrane, K.; Howden, M.; Iqbal, M.M.; Lobell, D.B.; Aggarwal, P.; Hakala, K. Food Security and Food Production Systems. In Climate Change 2014: Impacts, Adaptation, and Vulnerability. Part A: Global and Sectoral Aspects. Contribution of Working Group II to the Fifth Assessment Report of the Intergovernmental Panel on Climate Change; Field, C.B., Barros, V.R., Dokken, D.J., Mach, K.J., Mastrandrea, M.D., Bilir, T.E., Chatterjee, M., Ebi, K.L., Estrada, Y.O., Genova, R.C., et al., Eds.; Cambridge University Press: Cambridge, UK, 2014; Chapter 7; pp. 485–533. [Google Scholar]
- Brown, M.E.; Funk, C.C. Food security under climate change. Science 2008, 319, 580–581. [Google Scholar] [CrossRef] [PubMed]
- Asseng, S.; Foster, I.A.N.; Turner, N.C. The impact of temperature variability on wheat yields. Glob. Chang. Biol. 2011, 17, 997–1012. [Google Scholar] [CrossRef]
- Türkeş, M. Impacts of the climate change on agricultural food security, traditional knowledge and agroecology. Turk. J. Agric.-Food Sci. Technol. 2014, 2, 71–85. [Google Scholar]
- Iizumi, T.; Sakuma, H.; Yokozawa, M.; Luo, J.J.; Challinor, A.J.; Brown, M.E.; Sakurai, G.; Yamagata, T. Prediction of seasonal climate-induced variations in global food production. Nat. Clim. Chang. 2013, 3, 904–908. [Google Scholar] [CrossRef]
- Adams, R.M.; Chen, C.C.; McCarl, B.A.; Schimmelpfennig, D.E. Climate Variability and Climate Change: Implications for Agriculture. In The Long-Term Economics of Climate Change: Beyond a Doubling of Greenhouse Gas Concentrations; Hall, D.C., Horwarth, R.B., Eds.; Emerald Group Publishing Limited: Bingley, UK, 2001; pp. 95–113. ISBN 0-7623-0305-0. [Google Scholar]
- Mall, R.K.; Singh, R.; Gupta, A.; Srinivasan, G.; Rathore, L.S. Impact of climate change on Indian agriculture: A review. Clim. Change 2006, 78, 445–478. [Google Scholar] [CrossRef]
- Ray, D.K.; Gerber, J.S.; MacDonald, G.K.; West, P.C. Climate variation explains a third of global crop yield variability. Nat. Commun. 2015, 6, 5989. [Google Scholar] [CrossRef] [PubMed]
- Črepinšek, Z.; Štampar, F.; Kajfež-Bogataj, L.; Solar, A. The response of Corylus avellana L. phenology to rising temperature in north-eastern Slovenia. Int. J. Biometeorol. 2012, 56, 681–694. [Google Scholar]
- Škvareninová, J. Impact of climatic conditions on the reproductive phenological phases of European hazel (Corylus avellana L.) in Slovakia. J. For. Sci. 2016, 62, 47–52. [Google Scholar]
- Kasprzyk, I. Flowering phenology and airborne pollen grains of chosen tree taxa in Rzeszów (SE Poland). Aerobiologia 2003, 19, 113–120. [Google Scholar] [CrossRef]
- Kasprzyk, I.; Uruska, A.; Szczepanek, K.; Latałowa, M.; Gaweł, J.; Harmata, K.; Myszkowska, D.; Stach, A.; Stępalska, D. Regional differentiation in the dynamics of the pollen seasons of Alnus, Corylus and Fraxinus in Poland (preliminary results). Aerobiologia 2004, 20, 141–151. [Google Scholar] [CrossRef]
- Cappai, C.; Kemanian, A.R.; Lagomarsino, A.; Roggero, P.P.; Lai, R.; Agnelli, A.E.; Seddaiu, G. Small-scale spatial variation of soil organic matter pools generated by cork oak trees in Mediterranean agro-silvo-pastoral systems. Geoderma 2017, 304, 59–67. [Google Scholar] [CrossRef]
- González-Ubierna, S.; Lai, R. Modelling the effects of climate factors on soil respiration across Mediterranean ecosystems. J. Arid Environ. 2019, 165, 46–54. [Google Scholar] [CrossRef]
- Lobell, D.B.; Schlenker, W.; Costa-Roberts, J. Climate trends and global crop production since 1980. Science 2011, 333, 616–620. [Google Scholar] [CrossRef] [PubMed]
- Zhang, P.; Zhang, J.; Chen, M. Economic impacts of climate change on agriculture: The importance of additional climatic variables other than temperature and precipitation. J. Environ. Econ. Manag. 2017, 83, 8–31. [Google Scholar] [CrossRef]
- Chen, C.; Baethgen, W.E.; Robertson, A. Contributions of individual variation in temperature, solar radiation and precipitation to crop yield in the North China Plain, 1961–2003. Clim. Chang. 2013, 116, 767–788. [Google Scholar] [CrossRef]
- Peltonen-Sainio, P.; Jauhiainen, L.; Trnka, M.; Olesen, J.E.; Calanca, P.; Eckersten, H.; Eitzinger, J.; Gobin, A.; Kersebaum, K.C.; Kozyra, J. Coincidence of variation in yield and climate in Europe. Agric. Ecosyst. Environ. 2010, 139, 483–489. [Google Scholar] [CrossRef]
- Olesen, J.E.; Bindi, M. Consequences of climate change for European agricultural productivity, land use and policy. Eur. J. Agron. 2002, 16, 239–262. [Google Scholar] [CrossRef]
- Ewert, F.; Rounsevell, M.D.A.; Reginster, I.; Metzger, M.J.; Leemans, R. Future scenarios of European agricultural land use: I. estimating changes in crop productivity. Agric. Ecosyst. Environ. 2005, 107, 101–116. [Google Scholar] [CrossRef]
- European Energy Agency. Impacts of Europe’s Changing Climate-An Indicator-based Assessment; European Energy Agency Report No 2; European Energy Agency: Copenhagen, Denmark, 2004. [Google Scholar]
- Ciais, P.; Reichstein, M.; Viovy, N.; Granier, A.; Ogée, J.; Allard, V.; Aubinet, M.; Buchmann, N.; Bernhofer, C.; Carrara, A. Europe-wide reduction in primary productivity caused by the heat and drought in 2003. Nature 2005, 437, 529–533. [Google Scholar] [CrossRef]
- Osborne, T.M.; Wheeler, T.R. Evidence for a climate signal in trends of global crop yield variability over the past 50 years. Environ. Res. Lett. 2013, 8, 024001. [Google Scholar] [CrossRef]
- Directorate General of Cooperatives. Hazelnut Report for 2017 (in Turkish); Republic of Turkey Ministry of Customs and Trade, Directorate General of Cooperatives: Ankara, Turkey, 2018. Available online: http://koop.gtb.gov.tr/data/5ad06bb9ddee7dd8b423eb23/2017%20F%C4%B1nd%C4%B1k%20Raporu.pdf (accessed on 12 September 2019).
- Türkeş, M. Influence of geopotential heights, cyclone frequency and Southern Oscillation on rainfall variations in Turkey. Int. J. Climatol. 1998, 18, 649–680. [Google Scholar] [CrossRef]
- Türkeş, M. General Climatology: Fundamentals of Atmosphere, Weather, and Climate, 1st ed.; Kriter Press: Istanbul, Turkey, 2016. (In Turkish) [Google Scholar]
- Köksal, A.İ. Turkish Hazelnut Types; Hazelnut Promotion Group: Ankara, Turkey, 2002; ISBN 975-92886-0-5. (In Turkish) [Google Scholar]
- Türkeş, M. Climatology and Meteorology, 1st ed.; Kriter Press: Istanbul, Turkey, 2010. (In Turkish) [Google Scholar]
- Türkeş, M. Drought vulnerability and risk analysis of Turkey with respect to climatic variability and socio-ecological indicators (in Turkish with the English abstract, figure and table captions). Aegean Geogr. J. 2017, 26, 47–70. [Google Scholar]
- Lobell, D.B.; Field, C.B.; Cahill, K.N.; Bonfils, C. Impacts of future climate change on California perennial crop yields: Model projections with climate and crop uncertainties. Agric. For. Meteorol. 2006, 141, 208–218. [Google Scholar] [CrossRef]
- Mehlenbacher, S.A.; Smith, D.C.; Brenner, L.K. Variance components and heritability of nut and kernel defects in hazelnut. Plant Breed. 1993, 110, 144–152. [Google Scholar] [CrossRef]
- Beyhan, N.; Odabaş, F. The climate factors’ effects on the yield in hazelnut and importance for growing. Ondokuz Mayis Univ. J. Agric. Fac. 1996, 11, 177–188. (In Turkish) [Google Scholar]
- Ana, A.S.; Silva, P.; Rosa, E. Shoot growth and yield of hazelnut (Corylus avellana L.) and the influence of climate: Ten years of observations. J. Hortic. Sci. Biotechnol. 1998, 73, 245–250. [Google Scholar] [CrossRef]
- Climateurope. Climate and Hazelnuts: Ferrero. Available online: https://www.climateurope.eu/climate-and-hazelnuts-ferrero/ (accessed on 14 June 2019).
- Tao, F.; Yokozawa, M.; Xu, Y.; Hayashi, Y.; Zhang, Z. Climate changes and trends in phenology and yields of field crops in China, 1981–2000. Agric. For. Meteorol. 2006, 138, 82–92. [Google Scholar] [CrossRef]
- Ortiz-Bobea, A.; Just, R.E. Modeling the structure of adaptation in climate change impact assessment. Am. J. Agric. Econ. 2012, 95, 244–251. [Google Scholar] [CrossRef]
- Ahmad, S.; Abbas, Q.; Abbas, G.; Fatima, Z.; Rehman, A.-U.; Naz, S.; Younis, H.; Khan, R.J.; Nasim, W.; Rahman, M.H.U.; et al. Quantification of climate warming and crop management impacts on cotton phenology. Plants 2017, 6, 7. [Google Scholar] [CrossRef]
- Zscheischler, J.; Orth, R.; Seneviratne, S.I. Bivariate return periods of temperature and precipitation explain a large fraction of European crop yields. Biogeosciences 2017, 14, 3309–3320. [Google Scholar] [CrossRef]
- Turkish State Meteorological Service. Phenological Maps (in Turkish). Available online: https://mgm.gov.tr/veridegerlendirme/fenolojik-normal-haritalari.aspx?b=findik#sfB (accessed on 30 April 2017).
- Beyhan, N.; Odabaş, F. A research on the flower and fruit drops of hazelnut. In Proceedings of the Symposium on the 150th Anniversary of Agricultural Teaching-Hazelnut and Other Nut Fruits, Samsun, Turkey, 10–11 January 1996; pp. 110–118. (In Turkish). [Google Scholar]
- Lobell, D.B.; Cahill, K.N.; Field, C.B. Historical effects of temperature and precipitation on California crop yields. Clim. Chang. 2007, 81, 187–203. [Google Scholar] [CrossRef]
- Baldwin, B. The Growth and Productivity of Hazelnut Cultivars (Corylus avellana L.) in Australia. Ph.D. Thesis, University of Sydney, Sydney, Australia, 2015. [Google Scholar]
- Lagerstedt, H.B. Filberts. In Nut Tree Culture in North America; Jaynes, R.A., Ed.; The Northern Nut Grower Association Incorporation: Indiana, IN, USA, 1981; p. 139. [Google Scholar]
- Valentini, N.; Caviglione, M.; Ponso, A.; Lovisolo, C.; Me, G. Physiological Aspects of Hazelnut Trees Grown in Different Training Systems. In Proceedings of the VII, International Congress on Hazelnut, Viterbo, Italy, 23 June 2008; pp. 233–238. [Google Scholar]
- Beyhan, N.; Marangoz, D. Investigation of blank nuts formation of hazelnut. In Proceedings of the Turkey III, National Congress on Horticulture, Ankara, Turkey, 15–17 September 1999; pp. 585–589. (In Turkish). [Google Scholar]
- Silva, A.P.; Ribeiro, R.M.; Santos, A.; Rosa, E. Blank fruits in hazelnut (Corylus avellana L.) cv. ‘Butler’: Characterization and influence of climate. J. Hortic. Sci. 1996, 71, 709–720. [Google Scholar] [CrossRef]
- Beyhan, N.; Marangoz, D. An investigation of the relationship between reproductive growth and yield loss in hazelnut. Sci. Hortic. 2007, 113, 208–215. [Google Scholar] [CrossRef]
- Tous, J. Hazelnut Production in Spain. In Acta Horticulturae; Tous, J., Rovira, M., Romero, A., Eds.; International Society for Horticultural Science: Virginia, VA, USA, 2005; pp. 659–664. [Google Scholar]
- Ustaoğlu, B. The effect of climatic conditions on hazelnut (Corylus avellana) yield in Giresun (Turkey). Marmara Geogr. Rev. 2012, 26, 302–323. [Google Scholar]
- Ustaoglu, B.; Karaca, M. The effects of climate change on spatiotemporal changes of hazelnut (Corylus avellana) cultivation areas in the Black Sea Region, Turkey. Appl. Ecol. Environ. Res. 2014, 12, 309–324. [Google Scholar] [CrossRef]
- Mingeau, M.; Rousseau, P. Water use of hazelnut trees as measured with lysimeters. In Acta Horticulturae; Me, G., Radicati, L., Eds.; International Society for Horticultural Science: Virginia, VA, USA, 1994; pp. 315–322. [Google Scholar]
- Tombesi, A. Influence of Soil Water Levels on Assimilation and Water Use Efficiency in Hazelnuts. In Acta Horticulturae; Me, G., Radicati, L., Eds.; International Society for Horticultural Science: Virginia, VA, USA, 1994; pp. 247–255. [Google Scholar]
- Girona, J.; Cohen, M.; Mata, M.; Marsal, J.; Miravete, C. Physiological, Growth and Yield Responses of Hazelnut (Corylus avellana L.) to Different Irrigation Regimes. In Proceedings of the III, International Congress on Hazelnut, Alba, Italy, 14 September 1992; pp. 463–472. [Google Scholar]
- Bignami, C.; Natali, S. Influence of Irrigation on the Growth and Production of Young Hazelnuts. In Proceedings of the IV, International Symposium on Hazelnut, Ordu, Turkey, 30 July 1996; pp. 247–262. [Google Scholar]
- Cristofori, V.; Muleo, R.; Bignami, C.; Rugini, E. Long Term Evaluation of Hazelnut Response to Drip Irrigation. In Proceedings of the VIII, International Congress on Hazelnut, Temuco City, Chile, 19–22 March 2012; pp. 179–185. [Google Scholar]
- Hekimoğlu, B.; Altındeğer, M. Status of Hazelnut Sector, Its Problems and Solutions Proposals (in Turkish). Republic of Turkey Governorship of Samsun, Samsun Agriculture Provincial Directorate: Samsun, Turkey, 2006. Available online: https://samsun.tarimorman.gov.tr/Belgeler/Yayinlar/Kitaplarimiz/Findik_Sektorunun_Durumu_Sorunlari_ve_Cozum_Onerileri.pdf (accessed on 31 March 2020).
- General Directorate of Tradesmen, Artisans and Cooperatives. Hazelnut Report for 2018 (in Turkish). Republic of Turkey Ministry of Commerce, General Directorate of Tradesmen, Artisans and Cooperatives: Ankara, Turkey, 2019. Available online: https://ticaret.gov.tr/data/5d41e59913b87639ac9e02e8/5c41e34d540794faaa011bdfa3466ff3.pdf (accessed on 31 March 2020).
- Gao, X.; Zhao, Z.; Giorgi, F. Changes of extreme events in regional climate simulations over East Asia. Adv. Atmos. Sci. 2002, 19, 927–942. [Google Scholar]
- Chen, M.; Pollard, D.; Barron, E.J. Comparison of future climate change over North America simulated by two regional models. J. Geophys. Res. Atmos. 2003, 108, 4348. [Google Scholar] [CrossRef]
- Almazroui, M. Dynamical downscaling of rainfall and temperature over the Arabian Peninsula using RegCM4. Clim. Res. 2012, 52, 49–62. [Google Scholar] [CrossRef]
- Gu, H.; Wang, G.; Yu, Z.; Mei, R. Assessing future climate changes and extreme indicators in east and south Asia using the RegCM4 regional climate model. Clim. Chang. 2012, 114, 301–317. [Google Scholar] [CrossRef]
- Coppola, E.; Giorgi, F.; Raffaele, F.; Fuentes-Franco, R.; Giuliani, G.; Llopart-Pereira, M.; Mamgain, A.; Mariotti, L.; Diro, G.T.; Torma, C. Present and future climatologies in the phase I CREMA experiment. Clim. Chang. 2014, 125, 23–38. [Google Scholar] [CrossRef]
- Mariotti, L.; Diallo, I.; Coppola, E.; Giorgi, F. Seasonal and intraseasonal changes of African monsoon climates in 21st century CORDEX projections. Clim. Chang. 2014, 125, 53–65. [Google Scholar] [CrossRef]
- Turp, M.T.; Öztürk, T.; Türkeş, M.; Kurnaz, M.L. Investigation of projected changes for near future air temperature and precipitation climatology of Turkey and surrounding regions by using the regional climate model RegCM4.3.5 (in Turkish with the English abstract, figure and table captions). Aegean Geogr. J. 2014, 23, 1–24. [Google Scholar]
- Sylla, M.B.; Pal, J.S.; Wang, G.L.; Lawrence, P.J. Impact of land cover characterization on regional climate modeling over West Africa. Clim. Dyn. 2016, 46, 637–650. [Google Scholar] [CrossRef]
- Ozturk, T.; Turp, M.T.; Türkeş, M.; Kurnaz, M.L. Projected changes in temperature and precipitation climatology of Central Asia CORDEX Region 8 by using RegCM4.3.5. Atmos. Res. 2017, 183, 296–307. [Google Scholar] [CrossRef]
- Ozturk, T.; Turp, M.T.; Türkeş, M.; Kurnaz, M.L. Future projections of temperature and precipitation climatology for CORDEX-MENA domain using RegCM4.4. Atmos. Res. 2018, 206, 87–107. [Google Scholar] [CrossRef]
- Ozturk, T.; Turp, M.T.; Türkes, M.; Kurnaz, M.L. Investigation of high-resolution climate projections over Turkey and its surrounding regions using RegCM4.4. Geophys. Res. Abstr. 2017, 19, 8020. [Google Scholar]
- Taylor, K.E.; Stouffer, R.J.; Meehl, G.A. An overview of CMIP5 and the experiment design. Bull. Am. Meteorol. Soc. 2012, 93, 485–498. [Google Scholar] [CrossRef]
- Giorgi, F.; Coppola, E.; Solmon, F.; Mariotti, L.; Sylla, M.B.; Bi, X.; Elguindi, N.; Diro, G.T.; Nair, V.; Giuliani, G.; et al. RegCM4: Model description and preliminary tests over multiple CORDEX domains. Clim. Res. 2012, 52, 7–29. [Google Scholar] [CrossRef]
- Van Vuuren, D.P.; Edmonds, J.; Kainuma, M.; Riahi, K.; Thomson, A.; Hibbard, K.; Hurtt, G.C.; Kram, T.; Krey, V.; Lamarque, J.F. The representative concentration pathways: An overview. Clim. Chang. 2011, 109, 5–31. [Google Scholar] [CrossRef]
- Turkish Statistical Institute. Statistics by Theme. Available online: http://www.turkstat.gov.tr/UstMenu.do?metod=kategorist (accessed on 5 December 2016).
- Lobell, D.B. Changes in diurnal temperature range and national cereal yields. Agric. For. Meteorol. 2007, 145, 229–238. [Google Scholar] [CrossRef]
- Rosenzweig, C.; Tubiello, F.N. Effects of changes in minimum and maximum temperature on wheat yields in the central US A simulation study. Agric. For. Meteorol. 1996, 80, 215–230. [Google Scholar] [CrossRef]
- Dhakhwa, G.B.; Campbell, C.L. Potential effects of differential day-night warming in global climate change on crop production. Clim. Chang. 1998, 40, 647–667. [Google Scholar] [CrossRef]
- Tubiello, F.N.; Rosenzweig, C.; Goldberg, R.A.; Jagtap, S.; Jones, J.W. Effects of climate change on US crop production: Simulation results using two different GCM scenarios. Part I: Wheat, potato, maize, and citrus. Clim. Res. 2002, 20, 259–270. [Google Scholar] [CrossRef]
- Moulton, B.R.; Randolph, W.C. Alternative tests of the error components model. Econometrica 1989, 57, 685–693. [Google Scholar] [CrossRef]
- Breusch, T.S. Maximum likelihood estimation of random effects models. J. Econ. 1987, 36, 383–389. [Google Scholar] [CrossRef]
- Breusch, T.S.; Pagan, A.R. The Lagrange multiplier test and its applications to model specification in econometrics. Rev. Econ. Stud. 1980, 47, 239–253. [Google Scholar] [CrossRef]
- Baltagi, B.H.; Li, Q.A. Lagrange multiplier test for the error components model with incomplete panels. Econ. Rev. 1990, 9, 103–107. [Google Scholar] [CrossRef]
- Pesaran, M.H. General Diagnostic Tests for Cross Section Dependence in Panels; Cambridge Working Papers in Economics No 0435; The Faculty of Economics of the University of Cambridge: Cambridge, UK, 2004. [Google Scholar]
- Pesaran, M.H. A simple panel unit root test in the presence of cross-section dependence. J. Appl. Econ. 2007, 22, 265–312. [Google Scholar] [CrossRef]
- Hausman, J.A. Specification tests in econometrics. Econometrica 1978, 46, 1251–1271. [Google Scholar] [CrossRef]
- Özbek, S. Private Fruit Growing; Ankara University Press: Ankara, Turkey, 1978. [Google Scholar]
- Hummer, K.; Lagerstedt, H.B.; Kim, S.K. Filbert acclimation, maximum cold hardiness, and deacclimation. J. Am. Soc. Hortic. Sci. 1986, 111, 474–482. (In Turkish) [Google Scholar]
- Doğanay, H. New developments in Turkish hazelnut cultivation (in Turkish with an English abstract). East. Geogr. Rev. 2012, 17, 1–22. [Google Scholar]
- Balık, H.İ.; Kayalak Balık, S. Investigation on the Frost Damage on Hazelnut in 2014. In Proceedings of the GAP VII, Agriculture Congress, Şanlıurfa, Turkey, 28 April–1 May 2014; pp. 291–294. (In Turkish). [Google Scholar]
- Yu, D. Chocolate Companies Drive Growth for Global Hazelnut Market. Confectionery News, 28 August 2018. Available online: https://www.confectionerynews.com/Article/2018/08/28/Chocolate-companies-drive-growth-for-global-hazelnut-market (accessed on 13 September 2019).






| Vegetative Season (from dormancy to flowering) | October, November, December |
| Flowering Season (bud break and fully flowering) | January, February, March, April |
| Grain Filling Season (from flowering to maturity) | May, June, July, August |
| Variable | Definition | Time Range | Unit |
|---|---|---|---|
| Yield | Annual yield | Annual | (kg/103 m2) |
| Mean air temperature Precipitation amount | Monthly average of mean temperature Monthly total precipitation | Oct.–Aug. * Oct.–Aug. | (°C) (mm) |
| Actual evapotranspiration | Monthly total actual evapotranspiration | Oct.–Aug. | (mm) |
| Relative humidity | Monthly average of relative humidity | Oct.–Aug. | (%) |
| Duration of sunshine | Monthly total duration of sunshine | Oct.–Aug. | (hr) |
| Diurnal temperature range | Monthly difference between maximum temperature and minimum temperature | Oct.–Aug. | (°C) |
| Dormancy | Flowering | Grain Filling (Bearing and Maturing) | |||
|---|---|---|---|---|---|
| Variable | Coefficient | Variable | Coefficient | Variable | Coefficient |
| TmeanOct | 17.761 * (6.307) | TmeanJan | 13.452 *** (7.891) | TmeanMay | 15.167 (12.048) |
| TmeanNov | −14.935 ** (7.531) | TmeanFeb | 1.716 (8.538) | TmeanJun | −6.651 (8.512) |
| TmeanDec | −19.307 * (6.286) | TmeanMar | 22.187 * (8.547) | TmeanJul | −6.797 (11.145) |
| DTROct | 1.045 * (0.325) | TmeanApr | 16.902 * (4.875) | TmeanAug | −32.907 * (8.322) |
| DTRNov | 0.853 ** (0.365) | DTRJan | 0.485 ** (0.248) | DTRMay | −0.279 (0.300) |
| DTRDec | −0.340 (0.316) | DTRFeb | −0.552 ** (0.237) | DTRJun | −0.255 (0.359) |
| PrOct | 0.073 ** (0.037) | DTRMar | 0.787 ** (0.311) | DTRJul | 0.078 (0.329) |
| PrNov | 0.003 (0.045) | DTRApr | −0.900 * (0.276) | DTRAug | −0.056 (0.257) |
| PrDec | −0.003 (0.039) | PrJan | 0.002 (0.052) | PrMay | −0.041 (0.062) |
| AETOct | 0.329 ** (0.137) | PrFeb | −0.103 ** (0.050) | PrJun | 0.056 (0.054) |
| AETNov | −0.043 (0.125) | PrMar | −0.055 (0.047) | PrJul | 0.072 ** (0.030) |
| AETDec | 0.107 (0.136) | PrApr | −0.051 (0.059) | PrAug | −0.249 * (0.040) |
| RHOct | 1.072 ** (0.421) | AETJan | −0.129 (0.108) | AETMay | 0.000 (0.174) |
| RHNov | −1.853 ** (0.749) | AETFeb | 0.297 ** (0.132) | AETJun | −0.073 (0.184) |
| RHDec | −0.673 (0.627) | AETMar | −0.169 (0.179) | AETJul | −0.519 * (0.142) |
| SunDOct | −1.671 (1.390) | AETApr | −0.123 (0.117) | AETAug | 0.508 * (0.139) |
| SunDNov | −2.539 * (0.863) | RHJan | 2.780 * (0.632) | RHMay | 0.233 (0.677) |
| SunDDec | −0.074 (0.292) | RHFeb | −0.507 (0.659) | RHJun | −0.310 (0.513) |
| RHMar | 2.339 * (0.528) | RHJul | 0.455 (0.470) | ||
| RHApr | −0.269 (0.384) | RHAug | −0.560 (0.506) | ||
| SunDJan | −0.598 (0.586) | SunDMay | −0.138 (1.724) | ||
| SunDFeb | 1.428 ** (0.560) | SunDJun | −0.202 (1.569) | ||
| SunDMar | 1.831 *** (1.007) | SunDJul | 2.506 (2.328) | ||
| SunDApr | −1.007 (1.826) | SunDAug | 0.316 (1.913) | ||
© 2020 by the authors. Licensee MDPI, Basel, Switzerland. This article is an open access article distributed under the terms and conditions of the Creative Commons Attribution (CC BY) license (http://creativecommons.org/licenses/by/4.0/).
Share and Cite
An, N.; Turp, M.T.; Türkeş, M.; Kurnaz, M.L. Mid-Term Impact of Climate Change on Hazelnut Yield. Agriculture 2020, 10, 159. https://doi.org/10.3390/agriculture10050159
An N, Turp MT, Türkeş M, Kurnaz ML. Mid-Term Impact of Climate Change on Hazelnut Yield. Agriculture. 2020; 10(5):159. https://doi.org/10.3390/agriculture10050159
Chicago/Turabian StyleAn, Nazan, Mustafa Tufan Turp, Murat Türkeş, and Mehmet Levent Kurnaz. 2020. "Mid-Term Impact of Climate Change on Hazelnut Yield" Agriculture 10, no. 5: 159. https://doi.org/10.3390/agriculture10050159
APA StyleAn, N., Turp, M. T., Türkeş, M., & Kurnaz, M. L. (2020). Mid-Term Impact of Climate Change on Hazelnut Yield. Agriculture, 10(5), 159. https://doi.org/10.3390/agriculture10050159

