Kinematic Analysis of a Clamp-Type Picking Device for an Automatic Pepper Transplanter
Abstract
1. Introduction
2. Materials and Methods
2.1. Structure of Transplanter and Working Principle of the Picking Device
2.2. Kinematic Analysis of the Picking Device Grippers
2.2.1. Variables of Picking Device for Optimization of the Design
2.2.2. Position and Trajectory Evaluation of the Gripper with Vector-Loop Modeling
2.2.3. Velocity of the Gripper with Vector-Loop Modeling
2.2.4. Acceleration of the Gripper with Vector-Loop Modeling
2.2.5. Simulation with Virtual Model
2.2.6. Experiment with a Prototype
3. Results and Discussion
3.1. Position and Trajectory of the Gripper
3.2. Motion Evaluation of the Gripper Using Velocity Analysis
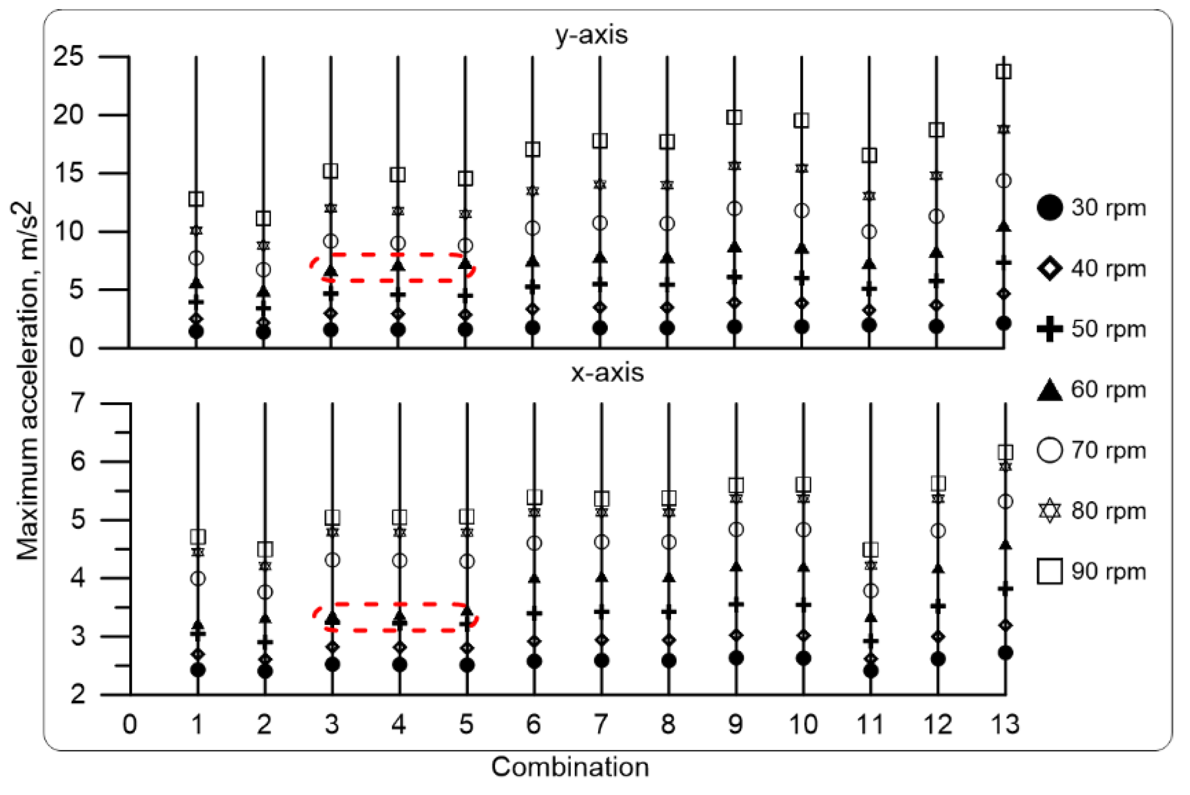
3.3. Motion Evaluation of the Gripper Using Acceleration Analysis
4. Conclusions
Author Contributions
Funding
Conflicts of Interest
References
- Bosland, P.W.; Votava, E.J. Peppers: Vegetable and Spice Capsicums, 2nd ed.; CABI: New York, NY, USA, 2000; pp. 6–9. [Google Scholar]
- Maia, A.A.D.; de Morais, L.C. Kinetic parameters of red pepper waste as biomass to solid biofuel. Bioresour. Technol. 2016, 204, 157–163. [Google Scholar] [CrossRef] [PubMed]
- Mancinelli, R.; Muleo, R.; Marinari, S.; Radicetti, E. How soil ecological intensification by means of cover crops affects nitrogen use efficiency in pepper cultivation. Agriculture 2019, 9, 145. [Google Scholar] [CrossRef]
- FAO (Food and Agriculture Organization of the United Nations). 2020. Available online: http://www.fao.org/faostat/en/#data/QC (accessed on 27 October 2020).
- Aziz, N.S.; Sofian-Seng, N.; Mohd Razali, N.S.; Lim, S.J.; Mustapha, W.A. A review on conventional and biotechnological approaches in white pepper production. J. Sci. Food Agric. 2019, 99, 2665–2676. [Google Scholar] [CrossRef] [PubMed]
- Siddique, M.A.A.; Kim, W.S.; Kim, Y.S.; Kim, T.J.; Choi, C.H.; Lee, H.J.; Chung, S.O.; Kim, Y.J. Effects of temperatures and viscosity of the hydraulic oils on the proportional valve for a rice transplanter based on PID control algorithm. Agriculture 2020, 10, 73. [Google Scholar] [CrossRef]
- Park, S.H.; Kim, J.Y.; Choi, D.K.; Kim, C.K.; Kwak, T.Y.; Cho, S.C. Development of walking type Chinese cabbage transplanter. J. Biosyst. Eng. 2005, 30, 81–88. [Google Scholar] [CrossRef]
- Islam, M.N.; Iqbal, M.Z.; Kabir, M.S.N.; Jung, K.Y.; Mun, D.H.; Chung, S.O. Performance evaluation of trenchless subsurface drainage piping machine. J. Biosyst. Eng. 2019, 44, 218–225. [Google Scholar] [CrossRef]
- Jin, X.; Cheng, Q.; Zhao, B.; Ji, J.; Li, M. Design and test of 2ZYM-2 potted vegetable seedlings transplanting machine. Int. J. Agric. Biol. Eng. 2020, 13, 101–110. [Google Scholar] [CrossRef]
- Ji, J.; Sun, J.; Jin, X.; Li, M.; Du, X. Development of a PVDF sensor for potted seedling clamping force of vegetable transplanting. Int. J. Agric. Biol. Eng. 2019, 12, 111–118. [Google Scholar] [CrossRef]
- Kumar, G.V.P.; Raheman, H. Vegetable transplanters for use in developing countries—A review. Int. J. Veg. Sci. 2008, 14, 232–255. [Google Scholar] [CrossRef]
- Tsuga, K. Development of fully automatic vegetable transplanter. Jpn. Agric. Res. Q. 2000, 34, 21–28. [Google Scholar]
- Rahul, K.; Raheman, H.; Paradkar, V. Design and development of a 5R 2DOF parallel robot arm for handling paper pot seedlings in a vegetable transplanter. Comput. Electron. Agric. 2019, 166, 105014. [Google Scholar] [CrossRef]
- Gu, Y.; Li, Z.; Zhang, Z.; Li, J.; Chen, L. Path tracking control of field information-collecting robot based on improved convolutional neural network algorithm. Sensors 2020, 20, 797. [Google Scholar] [CrossRef] [PubMed]
- Jin, X.; Li, D.; Ma, H.; Ji, J.; Zhao, K.; Pang, J. Development of single row automatic transplanting device for potted vegetable seedlings. Int. J. Agric. Biol. Eng. 2018, 11, 67–75. [Google Scholar] [CrossRef]
- Ramin Shamshiri, R.; Weltzien, C.; Hameed, I.A.; J Yule, I.; E Grift, T.; Balasundram, S.K.; Pitonakova, L.; Ahmad, D.; Chowdhary, G. Research and development in agricultural robotics: A perspective of digital farming. Int. J. Agric. Biol. Eng. 2018, 11, 1–11. [Google Scholar] [CrossRef]
- Han, L.; Mao, H.; Kumi, F.; Hu, J. Development of a multi-task robotic transplanting workcell for greenhouse seedlings. Appl. Eng. Agric. 2018, 34, 335–342. [Google Scholar] [CrossRef]
- Hwang, H.; Sistler, F.E. A robotic pepper transplanter. Appl. Eng. Agric. 1986, 2, 2–5. [Google Scholar] [CrossRef]
- Simonton, W. Robotic end effector for handling greenhouse plant material. Trans. ASAE 1991, 34, 2615–2621. [Google Scholar] [CrossRef]
- Ting, K.C.; Giacomelli, G.A.; Shen, S.J. Robot workcell for transplanting of seedlings. Part I. Layout and materials flow. Trans. ASAE 1990, 33, 1005–1010. [Google Scholar] [CrossRef]
- Yang, Y.; Ting, K.C.; Giacomelli, G.A. Factors affecting performance of sliding-needles gripper during robotic transplanting of seedlings. Appl. Eng. Agric. 1991, 7, 493–498. [Google Scholar] [CrossRef]
- Ryu, K.H.; Kim, G.; Han, J.S. AE—Automation and emerging technologies: Development of a robotic transplanter for bedding plants. J. Agric. Eng. Res. 2001, 78, 141–146. [Google Scholar] [CrossRef]
- Choi, W.C.; Kim, D.C.; Ryu, I.H.; Kim, K.U. Development of a seedling pick–up device for vegetable transplanters. Trans. ASAE 2002, 45, 13. [Google Scholar] [CrossRef]
- Gao, G.H.; Feng, T.X.; Yang, H.; Li, F. Development and optimization of end-effector for extraction of potted anthurium seedlings during transplanting. Appl. Eng. Agric. 2016, 32, 37–46. [Google Scholar] [CrossRef]
- Sun, L.; Mao, S.; Zhao, Y.; Liu, X.; Zhang, G.; Du, X. Kinematic analysis of rotary transplanting mechanism for wide-narrow row pot seedlings. Trans. ASAE 2016, 59, 475–485. [Google Scholar] [CrossRef]
- Bingliang, Y.; Weiming, Y.; Gaohong, Y.; Yang, G.; Xiong, Z. Optimization design and test of rice plug seedling transplanting mechanism of planetary gear train with incomplete eccentric circular gear and non-circular gears. Int. J. Agric. Biol. Eng. 2017, 10, 43–55. [Google Scholar] [CrossRef]
- Yin, D.Q.; Wang, J.W.; Zhao, Y. Automatic corn potted-seedling transplanter of cycloid gear trains. Appl. Mech. Mater. 2014, 530–531, 960–966. [Google Scholar] [CrossRef]
- Mao, H.; Han, L.; Hu, J.; Kumi, F. Development of a pincette-type pick-up device for automatic transplanting of greenhouse seedlings. Appl. Eng. Agric. 2014, 30, 547–556. [Google Scholar] [CrossRef]
- Hu, J.; Yan, X.; Ma, J.; Qi, C.; Francis, K.; Mao, H. Dimensional synthesis and kinematics simulation of a high-speed plug seedling transplanting robot. Comput. Electron. Agric. 2014, 107, 64–72. [Google Scholar] [CrossRef]
- Jiang, Z.; Hu, Y.; Jiang, H.; Tong, J. Design and force analysis of end-effector for plug seedling transplanter. PLoS ONE 2017, 12, e0180229. [Google Scholar] [CrossRef]
- Seo, T.C.; An, S.W.; Kim, S.M.; Nam, C.W.; Chun, H.; Kim, Y.C.; Kang, T.K.; Sung Woo, K.; Jeon, S.G.; Jang, K.S. Effect of the seedlings difference in cylindrical paper pot trays on initial root growth and yield of pepper. Prot. Hortic. Plant Fact. 2017, 26, 368–377. [Google Scholar] [CrossRef]
- Dihingia, P.C.; Prasanna Kumar, G.V.; Sarma, P.K. Development of a hopper-type planting device for a walk-behind hand-tractor-powered vegetable transplanter. J. Biosyst. Eng. 2016, 41, 21–33. [Google Scholar] [CrossRef]
- Ali, M.; Lee, Y.S.; Kabir, M.S.N.; Kang, T.K.; Lee, S.H.; Chung, S.O. Kinematic analysis for design of the transportation part of a tractor-mounted chinese cabbage collector. J. Biosyst. Eng. 2019, 44, 226–235. [Google Scholar] [CrossRef]
- Li, Y.; Xu, Q. Kinematic analysis of a 3-PRS parallel manipulator. Robot. Comput. Integr. Manuf. 2007, 23, 395–408. [Google Scholar] [CrossRef]
- Zhao, X.; Cui, H.; Dai, L.; Chen, J.; Ye, B. Kinematic analysis and experimental research on the seedling pick-up mechanism of a second-order free noncircular planetary gear system. Appl. Eng. Agric. 2017, 33, 169–179. [Google Scholar] [CrossRef]
- Akbari, S.; Fallahi, F.; Pirbodaghi, T. Dynamic analysis and controller design for a slider–crank mechanism with piezoelectric actuators. J. Comput. Des. Eng. 2016, 3, 312–321. [Google Scholar] [CrossRef]
- Ha, J.L.; Fung, R.F.; Chen, K.Y.; Hsien, S.C. Dynamic modeling and identification of a slider-crank mechanism. J. Sound Vib. 2006, 289, 1019–1044. [Google Scholar] [CrossRef]
- Islam, N. Structural Analysis of a Clamp-Type Picking Mechanism for a 2.7 kW Automatic Pepper Transplanter. Master’s Thesis, Chungnam National University, Daejeon, Korea, 2020. [Google Scholar]
- Iqbal, M.Z. Design of a Gear Driven Hopper Type Dibbling Mechanism for a 2.7 kW Two-Row Pepper Transplanter. Master’s Thesis, Chungnam National University, Daejeon, Korea, 2019. [Google Scholar]
- Conti, R.; Meli, E.; Ridolfi, A. A novel kinematic architecture for portable hand exoskeletons. Mechatronics 2016, 35, 192–207. [Google Scholar] [CrossRef]
- Puig-Diví, A.; Escalona-Marfil, C.; Padullés-Riu, J.M.; Busquets, A.; Padullés-Chando, X.; Marcos-Ruiz, D. Validity and reliability of the Kinovea program in obtaining angles and distances using coordinates in 4 perspectives. PLoS ONE 2019, 14, e0216448. [Google Scholar] [CrossRef]
- Han, L.; Mao, H.; Hu, J.; Tian, K. Development of a doorframe-typed swinging seedling pick-up device for automatic field transplantation. Span. J. Agric. Res. 2015, 13, e0210. [Google Scholar] [CrossRef]
- Korayem, M.H.; Rahimi, H.N.; Nikoobin, A. Mathematical modeling and trajectory planning of mobile manipulators with flexible links and joints. Appl. Math. Model. 2012, 36, 3229–3244. [Google Scholar] [CrossRef]











| Notation | Definitions and Measurement Units |
|---|---|
| Maximum distance between the cam follower and slider, mm | |
| b | Distance between the picking stand and seedling tray, mm |
| Picking stand length, mm | |
| Crank length, mm | |
| Connecting rod length, mm | |
| Gripper length, mm | |
| Euler’s formula base of the natural logarithm | |
| Imaginary unit | |
| Crank angle, radians | |
| Connecting rod angle, radians | |
| Gripper angle, radians | |
| Cam rotational angle, radians | |
| Gripper x-axis coordinates | |
| Gripper y-axis coordinates | |
| Crank velocity, mm/s (convert to m/s) | |
| Connecting rod velocity, mm/s (convert to m/s) | |
| Gripper y-axis velocity, mm/s (convert to m/s) | |
| Crank angular velocity, rad/s | |
| Connecting rod angular velocity, rad/s | |
| Gripper x-axis velocity, mm/s (convert to m/s) | |
| Crank acceleration, mm/s2 (convert to m/s2) | |
| Connecting rod acceleration, mm/s2 (convert to m/s2) | |
| Gripper y-axis acceleration, mm/s2 (convert to m/s2) | |
| Crank angular acceleration, rad/s2 | |
| Connecting rod angular acceleration, rad/s2 | |
| Gripper x-axis acceleration, mm/s2 (convert to m/s2) |
| Combination | Manipulator, mm | Picking Stand Length, mm | Manipulator Movement Angle (Δθ), ° |
|---|---|---|---|
| 1 | 350 | 250 | 33.64 |
| 2 | 350 | 300 | 36.29 |
| 3 | 380 | 250 | 27.21 |
| 4 | 380 | 300 | 28.46 |
| 5 | 380 | 350 | 30.01 |
| 6 | 410 | 250 | 26.92 |
| 7 | 410 | 300 | 24.67 |
| 8 | 410 | 350 | 24.89 |
| 9 | 410 | 350 | 22.92 |
| 10 | 440 | 300 | 23.56 |
| 11 | 440 | 250 | 26.42 |
| 12 | 440 | 400 | 25.62 |
| 13 | 480 | 450 | 22.38 |
| Component | Range | Activity |
|---|---|---|
| Picking stand, L1 | 250 to 500 mm | Determines the working space |
| Manipulator, L5 | 250 to 500 mm | Moves the grippers |
| Crank, L2 | Depend on L5 | Moves the seedling in the y-axis |
| Connecting rod, L3 | Depend on L5 | Moves the seedling in the y-axis |
| Gripper, L4 | Depend on L5 | Pick or drop the seedling |
| Cam and follower, e | 25.5 mm | Moves the seedling in the x-axis |
| Gear and gear shaft | 30 to 90 rpm | Run the cam and crank |
| Component | Parameter | |
|---|---|---|
| Simulated | Measured | |
| Picking stand, L1 | 250 mm | 250 mm |
| Manipulator, L5 | 380 mm | 380 mm |
| Gear and gear shaft | 60 rpm | 60 rpm |
| Combination | Gripper y-Axis Movement, mm | Reflecting Factor, δ |
|---|---|---|
| 1 | 94.73 | 1.26 |
| 2 | 80.44 | 1.26 |
| 3 | 117.09 | 1.17 |
| 4 | 117.68 | 1.17 |
| 5 | 118.41 | 1.17 |
| 6 | 140.79 | 1.08 |
| 7 | 139.59 | 1.08 |
| 8 | 139.71 | 1.08 |
| 9 | 154.08 | 1.08 |
| 10 | 154.45 | 1.01 |
| 11 | 79.45 | 1.01 |
| 12 | 155.64 | 1.01 |
| 13 | 193.13 | 0.93 |
| Axis | Simulated Velocity, m/s | Measured Velocity, m/s |
|---|---|---|
| x-axis | 0.28 ± 0.29 a | 0.32 ± 0.34 a |
| y-axis | 0.18 ± 0.28 a | 0.29 ± 0.32 a |
| Axis | Simulated Acceleration, m/s2 | Measured Acceleration, m/s2 |
|---|---|---|
| x-axis | 1.60 ± 1.68 a | 1.82 ± 1.96 a |
| y-axis | 1.03 ± 1.60 a | 1.68 ± 1.86 a |
| Parameter | Power Requirement, W | ||||||
|---|---|---|---|---|---|---|---|
| 30 rpm | 40 rpm | 50 rpm | 60 rpm | 70 rpm | 80 rpm | 90 rpm | |
| Min. | 0.01 | 0.01 | 0.19 | 0.20 | 0.21 | 0.25 | 0.29 |
| Avg. | 0.30 ± 0.63 a | 0.80 ± 0.92 a | 1.08 ± 1.33 b | 1.80 ± 2.06 b | 1.27 ± 2.43 b | 2.73 ± 3.32 c | 2.48 ± 4.31 c |
| Max. | 7.59 | 10.41 | 13.06 | 19.38 | 22.91 | 28.70 | 34.42 |
Publisher’s Note: MDPI stays neutral with regard to jurisdictional claims in published maps and institutional affiliations. |
© 2020 by the authors. Licensee MDPI, Basel, Switzerland. This article is an open access article distributed under the terms and conditions of the Creative Commons Attribution (CC BY) license (http://creativecommons.org/licenses/by/4.0/).
Share and Cite
Islam, M.N.; Iqbal, M.Z.; Ali, M.; Chowdhury, M.; Kabir, M.S.N.; Park, T.; Kim, Y.-J.; Chung, S.-O. Kinematic Analysis of a Clamp-Type Picking Device for an Automatic Pepper Transplanter. Agriculture 2020, 10, 627. https://doi.org/10.3390/agriculture10120627
Islam MN, Iqbal MZ, Ali M, Chowdhury M, Kabir MSN, Park T, Kim Y-J, Chung S-O. Kinematic Analysis of a Clamp-Type Picking Device for an Automatic Pepper Transplanter. Agriculture. 2020; 10(12):627. https://doi.org/10.3390/agriculture10120627
Chicago/Turabian StyleIslam, Md Nafiul, Md Zafar Iqbal, Mohammod Ali, Milon Chowdhury, Md Shaha Nur Kabir, Tusan Park, Yong-Joo Kim, and Sun-Ok Chung. 2020. "Kinematic Analysis of a Clamp-Type Picking Device for an Automatic Pepper Transplanter" Agriculture 10, no. 12: 627. https://doi.org/10.3390/agriculture10120627
APA StyleIslam, M. N., Iqbal, M. Z., Ali, M., Chowdhury, M., Kabir, M. S. N., Park, T., Kim, Y.-J., & Chung, S.-O. (2020). Kinematic Analysis of a Clamp-Type Picking Device for an Automatic Pepper Transplanter. Agriculture, 10(12), 627. https://doi.org/10.3390/agriculture10120627

