The Effect of Foliar and Soil Application of Flufenacet and Prosulfocarb on Italian Ryegrass (Lolium multiflorum L.) Control
Abstract
1. Introduction
2. Materials and Methods
2.1. Experiments
2.2. Chemicals and Treatments
2.3. Statistical Analysis
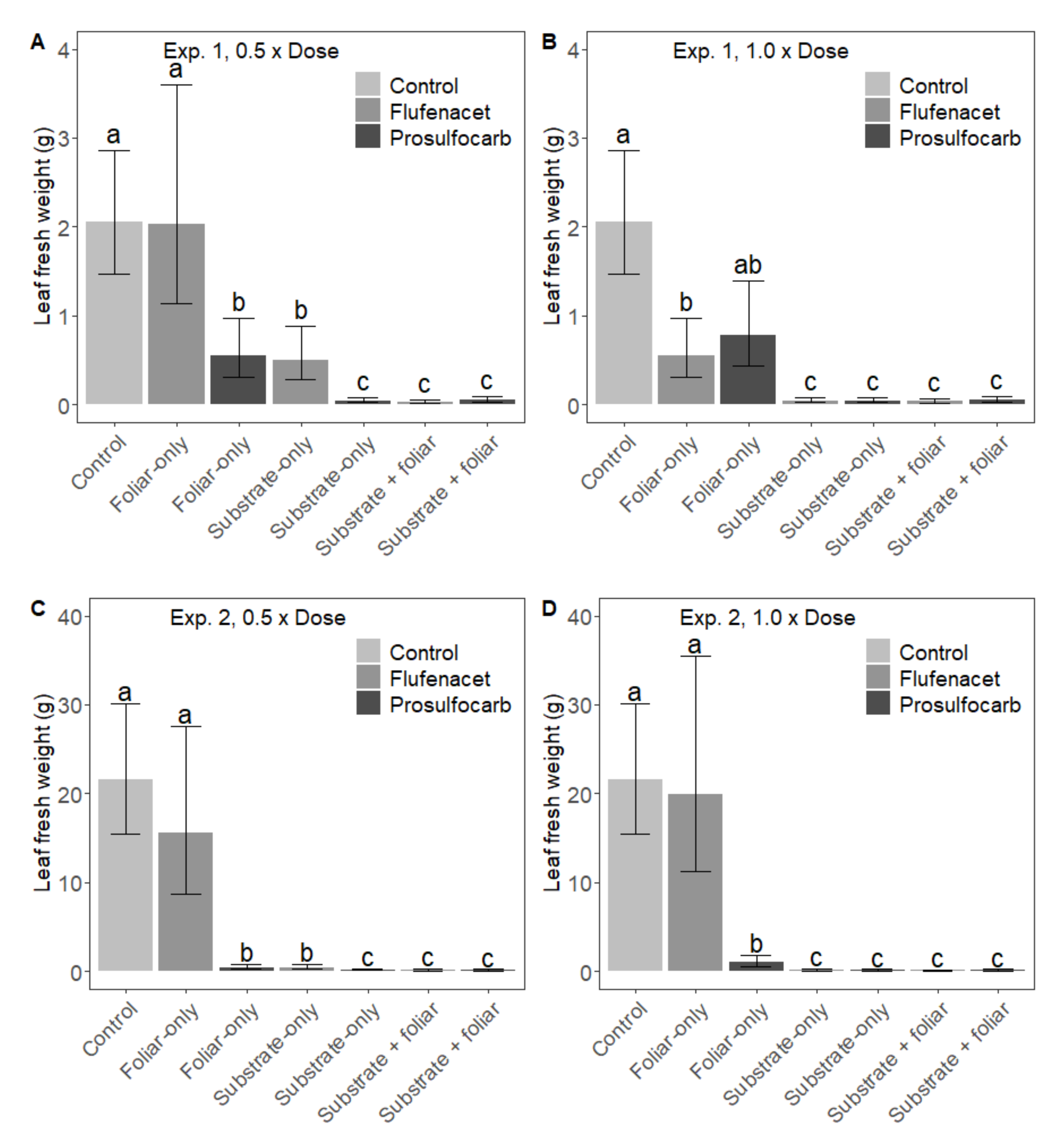
3. Results
3.1. Flufenacet (Experiment 1)
3.2. Prosulfocarb (Experiment 1)
3.3. Flufenacet (Experiment 2)
3.4. Prosulfocarb (Experiment 2)
4. Discussion
5. Conclusions
Author Contributions
Funding
Acknowledgments
Conflicts of Interest
References
- Office of the Gene Technology Regulator. The Biology of Lolium multiflorum Lam. (Italian Ryegrass), Lolium Perenne L. (Perennial Ryegrass) and Lolium Arundinaceum (Schreb.) Darbysh (Tall Fescue); Australian Government, Department of Health, Office of the Gene Technology: Canberra, Australia, 2017; pp. 1–121. [Google Scholar]
- Bailey, W.A.; Wilson, H.R.P. Control of Italian ryegrass (Lolium multiflorum) in wheat (Triticum aestivum) with postemergence herbicides. Weed Technol. 2003, 17, 534–542. [Google Scholar] [CrossRef]
- Cobb, A.H.; Reade, J.P.H. Herbicides and Plant Physiology, 2nd ed.; John Wiley & Sons Ltd: West Sussex, UK, 2010. [Google Scholar]
- Hashem, A.; Radosevich, S.R.; Roush, M.L. Effect of proximity factors on competition between winter wheat (Triticum aesticum) and Italian ryegrass (Lolium multiflorum). Weed Sci. 1998, 46, 181–190. [Google Scholar] [CrossRef]
- Salas, R.A. Herbicide Resistance Mechanism (s) in Italian Ryegrass (Lolium Perenne ssp. multiflorum) in the Southern United States. Master’s Thesis, University of Arkansas, Fayetteville, AL, USA, 2012. [Google Scholar]
- Salas, R.A.; Burgos, N.R.; Mauromoustakos, A. Resistance to ACCase and ALS inhibitors in Lolium perenne ssp. Multiflorum in the United States. J. Crop Weed 2013, 9, 168–183. [Google Scholar]
- Hillocks, R.J. Farming with fewer pesticides: EU pesticide review and resulting challenges for UK agriculture. Crop Prot. 2012, 31, 85–93. [Google Scholar] [CrossRef]
- Matzrafi, M.; Gadri, Y.; Frenkel, E.; Rubin, B.; Peleg, Z. Evolution of herbicide resistance mechanisms in grass weeds. Plant Sci. 2014, 229, 43–52. [Google Scholar] [CrossRef] [PubMed]
- Heap, I.M. International Survey of Herbicide Resistant Weeds—Weedscience.org. Available online: http://www.weedscience.org/ (accessed on 22 June 2020).
- Singh, V.; Maity, A.; Abugho, S.; Swart, J.; Drake, D.; Bagavathiannan, M. Multiple herbicide–resistant Lolium spp. is prevalent in wheat production in Texas Blacklands. Weed Technol. 2020, 1–9. [Google Scholar] [CrossRef]
- Hatzios, K.K. Modifiers of herbicide action at target sites. In Target Sites for Herbicide Action; Kirkwood, R., Ed.; Springer: Boston, MA, USA, 1991; pp. 169–188. [Google Scholar]
- Ennis, W.B.; Williamson, R.E.; Dorschner, K.P. Studies on spray retention by leaves of different plants. Weed Sci. 1952, 1, 274–286. [Google Scholar] [CrossRef]
- Menne, H.J.; Laber, B.; Kerlen, D.; Beff, R. Julius-Kühn-Archive. In Effectiveness of flufenacet in controlling resistant black-grass (Alopecurus myosuroides Huds.)-Comparison of glasshouse and field trial results, Proceedings of 25th German Conference on Weed Biology and Weed Control, March 13−15 2012, Braunschweig, Germany; CABI International Publishers: Wallingford, UK, 2012; Volume 434, pp. 401–408. [Google Scholar]
- FMC. Safety Data Sheet Flufenacet 500 g/L SC; Cheminova: Harboøre, Denmark, 2017. [Google Scholar]
- Kolattukudy, P.E. Plant waxes. Lipids 1970, 5, 259–275. [Google Scholar] [CrossRef]
- Rouchaud, J.; Neus, O.; Eelen, H.; Bulcke, R. Persistence, mobility, and adsorption of the herbicide flufenacet in the soil of winter wheat crops. Bull. Environ. Contam. Toxicol. 2001, 67, 609–616. [Google Scholar] [CrossRef]
- Kleemann, S.G.L.; Boutsalis, P.; Gill, G.S.; Preston, C. Applications of pre-emergent pyroxasulfone, flufenacet and their mixtures with triallate for the control of Bromus diandrus (ripgutbrome) in no-till wheat (Triticum aestivum) crops of southern Australia. Crop Prot. 2006, 80, 144–148. [Google Scholar] [CrossRef]
- Bailly, G.C. Effectiveness of Prosulfocarb-Based Treatments for the Control of Sensitive and Herbicide Resistant Lolium Spp. Populations. Ph.D. Thesis, Imperial College, London, UK, 2012. Available online: https://spiral.imperial.ac.uk/handle/10044/1/9468 (accessed on 11 October 2018).
- Paranjape, K.; Gowariker, V.; Krishnamurthy, V.N.; Gowariker, S. The Pesticide Encyclopedia; CABI: Wallingford, UK, 2014. [Google Scholar]
- Moss, S.; Hull, R. The value of pre-emergence herbicides for combating herbicide-resistant Alopecurus myosuroides. Asp. Appl. Biol. 2009, 91, 1–8. [Google Scholar]
- Rauch, T.A.; Thill, D.C.; Gersdorf, D.C.; Price, W.J. Widespread occurrence of herbicide-resistant Italian ryegrass (Lolium multiflorum) in Northern Idaho and Eastern Washington. Weed Technol. 2010, 24, 281–288. [Google Scholar] [CrossRef]
- Dücker, R.; Zöllner, P.; Lümmen, P.; Ries, S.; Collavo, A.; Beffa, R. Glutathione transferase plays a major role in flufenacet resistance of ryegrass (Lolium spp.) field populations. Pest. Manag. Sci. 2019, 75, 3084–3092. [Google Scholar] [CrossRef]
- Gennari, M.; Ferraris, L.; Ne’gre, M.; Ambrosoli, R. Behaviour of prosulfocarb in three Italian soils. Fresenius Environ. Bull. 1998, 7, 688–694. [Google Scholar]
- Worthing, C.R.; Hance, R.J. The Pesticide Manual, 9th ed.; Unwin Bros. Limited: Farnham, UK, 1991. [Google Scholar]
- Nègre, M.; Passarella, I.; Boursier, C.; Mozzetti, C.; Gennan, M. Evaluation of the bioavailability of the herbicide prosulforcarb through adsorption on soils and model soil colloids, and through a simple bioassay. Pest. Manag. Sci. 2006, 62, 957–964. [Google Scholar] [CrossRef] [PubMed]
- Douglas, L.A. Vermiculite. In Minerals in Soil Environments, 2nd ed.; Dixon, J.B., Weed, S.B., Eds.; Soil Science Society of America, Inc.: Madison, WI, USA, 1989; Volume 1, p. 635. [Google Scholar]
- Schwartz, H.G. Adsorption of selected pesticides on activated carbon and mineral surfaces. Environ. Sci. Technol. 1967, 1, 332–337. [Google Scholar] [CrossRef] [PubMed]
- Jensen, S.M.; Svensgaard, J.; Ritz, C. Estimation of the harvest index and the relative water content–Two examples of composite variables in agronomy. Eur. J. Agron. 2020, 112, 125962. [Google Scholar] [CrossRef]
- Hothorn, T.; Bretz, F.; Westfall, P. Simultaneous inference in general parametric models. Biom. J. 2008, 50, 346–363. [Google Scholar] [CrossRef]
- R Core Team. R: A Language and Environment for Statistical Computing; R Foundation for Statistical Computing: Vienna, Austria, 2020; Available online: http://www.R-project.org/ (accessed on 15 November 2020).
- Bates, D.; Maechler, M.; Bolker, B.; Walker, S. Fitting linear mixed-effects models using lme. J. Stat. Softw. 2015, 67, 1–48. [Google Scholar] [CrossRef]
- Stickler, R.L.; Knake, E.L.; Hinesly, T.D. Soil moisture and effectiveness of pre-emergence herbicides. Weed Sci. 1969, 17, 257–259. [Google Scholar] [CrossRef]
- Høgh, K.L. Evaluation of Lolium Multiflorum Sensitivity to Post-Emergence Application of Flufenacet and Prosulfocarb; University of Copenhagen: Copenhagen, Denmark, 2018. [Google Scholar]
- Grey, T.L.; Bridges, D.C. Alternatives to diclofop for the control of Italian ryegrass (Lolium multiflorum) in winter wheat (Triticum aestivum). Weed Technol. 2003, 17, 219–223. [Google Scholar] [CrossRef]
- Bleam, W. Chapter 3-Clay mineralogy and chemistry. In Soil and Environmental Chemistry, 2nd ed.; Academic Press: London, UK, 2017. [Google Scholar]
- Wang, C.J.; Liu, Z.Q. Foliar uptake of pesticides-Present status and future challenge. Pestic. Biochem. Physiol. 2007, 87, 1–8. [Google Scholar] [CrossRef]
- Vera, V.; Gauvrit, C.; Cabanne, F. Efficacy and foliar absorption of flupyrsulfuron-methyl and prosulfocarb applied alone or in mixture on Lolium multiflorum and wheat. Agronomie 2001, 21, 33–43. [Google Scholar] [CrossRef]
- Carlsen, S.C.K.; Spliid, N.H.; Svensmark, B. Drift of 10 herbicides after tractor spray application. Secondary drift (evaporation). Chemosphere 2006, 64, 787–794. [Google Scholar] [CrossRef] [PubMed]
- Casida, J.E.; Gray, R.A.; Tilles, H. Thiocarbamate sulfoxides: Potent, selective, and biodegradable herbicides. Science 1974, 184, 573–574. [Google Scholar] [CrossRef] [PubMed]



Publisher’s Note: MDPI stays neutral with regard to jurisdictional claims in published maps and institutional affiliations. |
© 2020 by the authors. Licensee MDPI, Basel, Switzerland. This article is an open access article distributed under the terms and conditions of the Creative Commons Attribution (CC BY) license (http://creativecommons.org/licenses/by/4.0/).
Share and Cite
Andreasen, C.; Høgh, K.L.; Jensen, S.M. The Effect of Foliar and Soil Application of Flufenacet and Prosulfocarb on Italian Ryegrass (Lolium multiflorum L.) Control. Agriculture 2020, 10, 552. https://doi.org/10.3390/agriculture10110552
Andreasen C, Høgh KL, Jensen SM. The Effect of Foliar and Soil Application of Flufenacet and Prosulfocarb on Italian Ryegrass (Lolium multiflorum L.) Control. Agriculture. 2020; 10(11):552. https://doi.org/10.3390/agriculture10110552
Chicago/Turabian StyleAndreasen, Christian, Kasper Lund Høgh, and Signe Marie Jensen. 2020. "The Effect of Foliar and Soil Application of Flufenacet and Prosulfocarb on Italian Ryegrass (Lolium multiflorum L.) Control" Agriculture 10, no. 11: 552. https://doi.org/10.3390/agriculture10110552
APA StyleAndreasen, C., Høgh, K. L., & Jensen, S. M. (2020). The Effect of Foliar and Soil Application of Flufenacet and Prosulfocarb on Italian Ryegrass (Lolium multiflorum L.) Control. Agriculture, 10(11), 552. https://doi.org/10.3390/agriculture10110552

