The Prognostic Value of the Surface Electromyographic Assessment of Pelvic Floor Muscles in Women with Stress Urinary Incontinence
Abstract
1. Introduction
2. Methods
3. Results
3.1. Comparison of the Demographic and Clinical Characteristics
3.2. Assessment of the Impact of Variables on Stress Urinary Incontinence
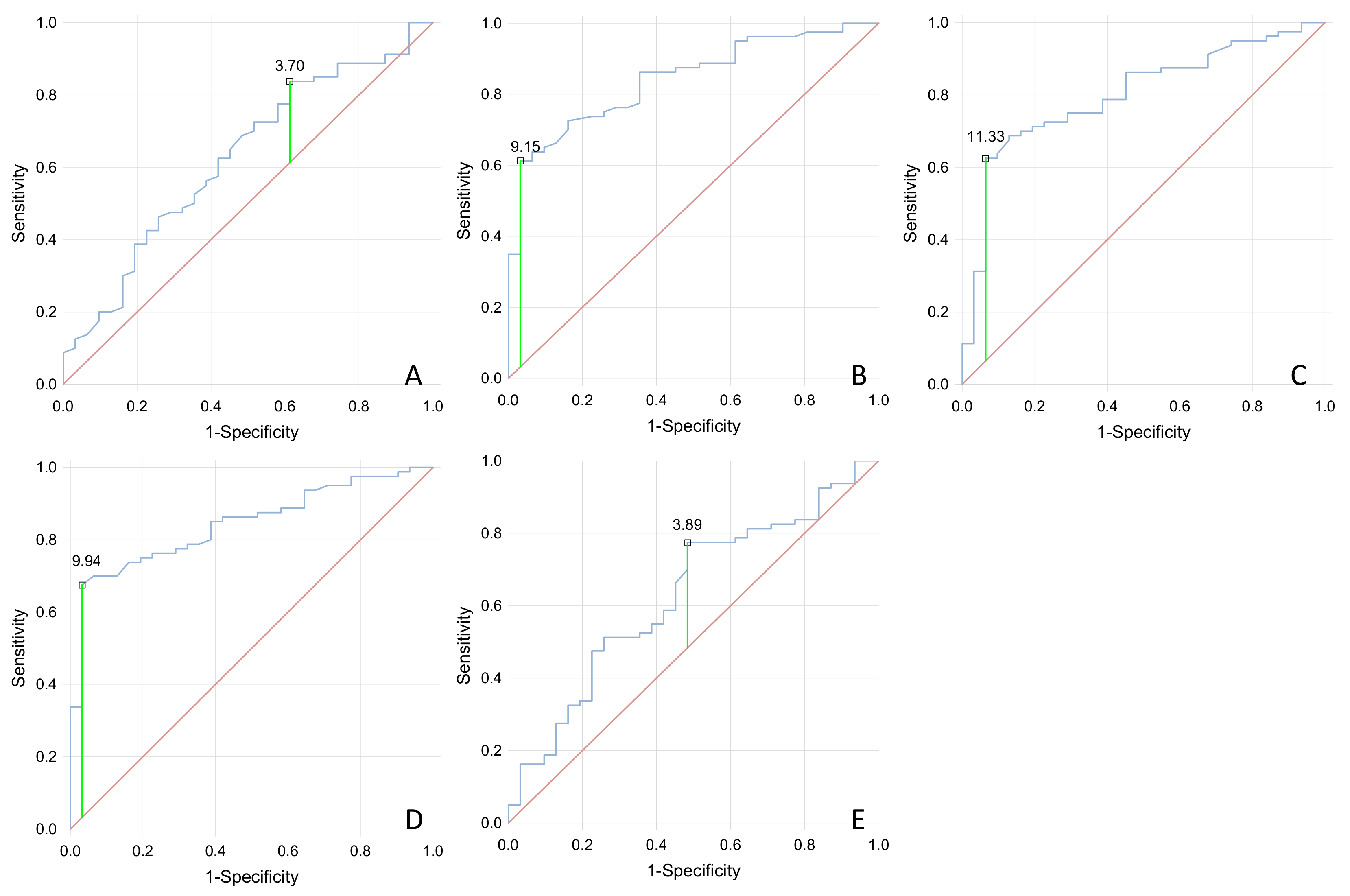
3.3. Diagnostic Capability of the sEMG
4. Discussion
5. Conclusions
Author Contributions
Funding
Acknowledgments
Conflicts of Interest
References
- Enck, P.; Vodusek, D.B. Electromyography of pelvic floor muscles. J. Electromyogr. Kinesiol. Off. J. Int. Soc. Electrophysiol. Kinesiol. 2006, 16, 568–577. [Google Scholar] [CrossRef] [PubMed]
- Aukee, P.; Penttinen, J.; Airaksinen, O. The effect of aging on the electromyographic activity of pelvic floor muscles. A comparative study among stress incontinent patients and asymptomatic women. Maturitas 2003, 44, 253–257. [Google Scholar] [CrossRef]
- Dornowski, M.; Sawicki, P.; Wilczyńska, D.; Vereshchaka, I.; Piernicka, M.; Błudnicka, M.; Worska, A.; Szumilewicz, A. Six-Week Pelvic Floor Muscle Activity (sEMG) Training in Pregnant Women as Prevention of Stress Urinary Incontinence. Med. Sci. Monit. Int. Med. J. Exp. Clin. Res. 2018, 24, 5653–5659. [Google Scholar] [CrossRef] [PubMed]
- Madill, S.J.; McLean, L. Relationship between abdominal and pelvic floor muscle activation and intravaginal pressure during pelvic floor muscle contractions in healthy continent women. Neurourol. Urodyn. 2006, 25, 722–730. [Google Scholar] [CrossRef] [PubMed]
- Grape, H.H.; Dedering, A.; Jonasson, A.F. Retest reliability of surface electromyography on the pelvic floor muscles. Neurourol. Urodyn. 2009, 28, 395–399. [Google Scholar] [CrossRef]
- Glazer, H.I.; Romanzi, L.; Polaneczky, M. Pelvic floor muscle surface electromyography. Reliability and clinical predictive validity. J. Reprod. Med. 1999, 44, 779–782. [Google Scholar] [PubMed]
- Ptaszkowski, K.; Zdrojowy, R.; Slupska, L.; Bartnicki, J.; Dembowski, J.; Halski, T.; Paprocka-Borowicz, M. Assessment of bioelectrical activity of pelvic floor muscles depending on the orientation of the pelvis in menopausal women with symptoms of stress urinary incontinence: Continued observational study. Eur. J. Phys. Rehabil. Med. 2017, 53, 564–574. [Google Scholar] [CrossRef] [PubMed]
- Alves, F.K.; Riccetto, C.; Adami, D.B.V.; Marques, J.; Pereira, L.C.; Palma, P.; Botelho, S. A pelvic floor muscle training program in postmenopausal women: A randomized controlled trial. Maturitas 2015, 81, 300–305. [Google Scholar] [CrossRef]
- Bocardi, D.A.S.; Pereira-Baldon, V.S.; Ferreira, C.H.J.; Avila, M.A.; Beleza, A.C.S.; Driusso, P. Pelvic floor muscle function and EMG in nulliparous women of different ages: A cross-sectional study. Climacteric J. Int. Menopause Soc. 2018, 21, 462–466. [Google Scholar] [CrossRef]
- Bo, K.; Frawley, H.C.; Haylen, B.T.; Abramov, Y.; Almeida, F.G.; Berghmans, B.; Bortolini, M.; Dumoulin, C.; Gomes, M.; McClurg, D.; et al. An International Urogynecological Association (IUGA)/International Continence Society (ICS) joint report on the terminology for the conservative and nonpharmacological management of female pelvic floor dysfunction. Neurourol. Urodyn. 2017, 36, 221–244. [Google Scholar] [CrossRef]
- Ferrari, A.; Baresi, L.; Frigerio, L.; Costa, M. A grading model for stress urinary incontinence. Urology 1986, 27, 76–78. [Google Scholar] [CrossRef]
- Mayekar, R.V.; Bhosale, A.A.; Kandhari, K.V.; Nandanwar, Y.S.; Shaikh, S.S. A study of transobturator tape in stress urinary incontinence. Urol. Ann. 2017, 9, 9. [Google Scholar] [CrossRef] [PubMed]
- Ptaszkowski, K.; Slupska, L.; Halski, T. Comparison of bioelectrical activity of pelvic floor muscles between women in menopausal period with stress urinary incontinence and without: A preliminary observational study. J. Rehabil. Med. 2015, 54, 270–271. [Google Scholar]
- Koenig, I.; Luginbuehl, H.; Radlinger, L. Reliability of pelvic floor muscle electromyography tested on healthy women and women with pelvic floor muscle dysfunction. Ann. Phys. Rehabil. Med. 2017, 60, 382–386. [Google Scholar] [CrossRef] [PubMed]
- Yang, X.; Zhu, L.; Li, W.; Sun, X.; Huang, Q.; Tong, B.; Xie, Z. Comparisons of Electromyography and Digital Palpation Measurement of Pelvic Floor Muscle Strength in Postpartum Women with Stress Urinary Incontinence and Asymptomatic Parturients: A Cross-Sectional Study. Gynecol. Obstet. Investig. 2019, 84, 599–605. [Google Scholar] [CrossRef]
- Rett, M.T.; Simoes, J.A.; Herrmann, V.; Pinto, C.L.B.; Marques, A.A.; Morais, S.S. Management of stress urinary incontinence with surface electromyography-assisted biofeedback in women of reproductive age. Phys. Ther. 2007, 87, 136–142. [Google Scholar] [CrossRef]
- Quiroz, L.H.; White, D.E.; Juarez, D.; Shobeiri, S.A. Age effects on pelvic floor symptoms in a cohort of nulliparous patients. Female Pelvic Med. Reconstr. Surg. 2012, 18, 325–328. [Google Scholar] [CrossRef]
- Slieker-ten Hove, M.C.P.; Pool-Goudzwaard, A.L.; Eijkemans, M.J.C.; Steegers-Theunissen, R.P.M.; Burger, C.W.; Vierhout, M.E. Pelvic floor muscle function in a general female population in relation with age and parity and the relation between voluntary and involuntary contractions of the pelvic floor musculature. Int. Urogynecol. J. Pelvic Floor Dysfunct. 2009, 20, 1497–1504. [Google Scholar] [CrossRef]
- Auchincloss, C.; McLean, L. Does the presence of a vaginal probe alter pelvic floor muscle activation in young, continent women? J. Electromyogr. Kinesiol. Off. J. Int. Soc. Electrophysiol. Kinesiol. 2012, 22, 1003–1009. [Google Scholar] [CrossRef]
- Botelho, S.; Pereira, L.C.; Marques, J.; Lanza, A.H.; Amorim, C.F.; Palma, P.; Riccetto, C. Is there correlation between electromyography and digital palpation as means of measuring pelvic floor muscle contractility in nulliparous, pregnant, and postpartum women? Neurourol. Urodyn. 2013, 32, 420–423. [Google Scholar] [CrossRef]
- Peschers, U.M.; Gingelmaier, A.; Jundt, K.; Leib, B.; Dimpfl, T. Evaluation of pelvic floor muscle strength using four different techniques. Int. Urogynecol. J. Pelvic Floor Dysfunct. 2001, 12, 27–30. [Google Scholar] [CrossRef] [PubMed]
- Resende, A.P.M.; Zanetti, M.R.D.; Petricelli, C.D.; Castro, R.A.; Alexandre, S.M.; Nakamura, M.U. Effects of the Paula method in electromyographic activation of the pelvic floor: A comparative study. Int. Urogynecol. J. 2011, 22, 677–680. [Google Scholar] [CrossRef] [PubMed]
- Micussi, M.T.; Freitas, R.P.; Angelo, P.H.; Soares, E.M.; Lemos, T.M.; Maranhão, T.M. Is there a difference in the electromyographic activity of the pelvic floor muscles across the phases of the menstrual cycle? J. Phys. Ther. Sci. 2015, 27, 2233–2237. [Google Scholar] [CrossRef] [PubMed][Green Version]
- Szumilewicz, A.; Dornowski, M.; Piernicka, M.; Worska, A.; Kuchta, A.; Kortas, J.; Błudnicka, M.; Radzimiński, Ł.; Jastrzębski, Z. High-Low Impact Exercise Program Including Pelvic Floor Muscle Exercises Improves Pelvic Floor Muscle Function in Healthy Pregnant Women—A Randomized Control Trial. Front. Physiol. 2018, 9, 1867. [Google Scholar] [CrossRef] [PubMed]


| Variables | SUI Group (n = 80) | Non-SUI Group (n = 62) | p-Value | |||||||
|---|---|---|---|---|---|---|---|---|---|---|
| Mean | Min | Max | SD | Mean | Min | Max | SD | |||
| Age [years] | 63.5 | 45.0 | 78.0 | 7.9 | 63.2 | 46.0 | 79.0 | 9.1 | 0.23 * | |
| Body weight [kg] | 68.8 | 52.0 | 90.0 | 10.2 | 65.8 | 50.0 | 92.0 | 9.51 | 0.07 * | |
| Body height [cm] | 1.61 | 1.47 | 1.72 | 0.05 | 1.61 | 1.46 | 1.73 | 0.059 | 0.98 * | |
| BMI [kg/cm2] | 26.5 | 19.0 | 35.8 | 3.9 | 25.3 | 18.8 | 36.9 | 3.65 | 0.07 * | |
| ICIQ score | 8.7 | 0.0 | 19.0 | 4.4 | 0.0 | 0.0 | 0.0 | - | - | |
| Type of work | Mental | n = 84; 96% | n = 60; 96% | 0.94 ** | ||||||
| Physical | n = 3; 4% | n = 2; 4% | ||||||||
| Number of births | 0 | n = 13; 15% | n = 4; 6.5% | 0.31 ** | ||||||
| 1 | n = 23; 26% | n = 19; 31% | ||||||||
| 2 | n = 37; 43% | n = 33; 53% | ||||||||
| 3 | n = 11; 13% | n = 4; 6.5% | ||||||||
| 4 | n = 3; 3% | n = 2; 3% | ||||||||
| Variables | SUI Group (n = 80) | Non-SUI Group (n = 62) | p-Value * | ||||||
|---|---|---|---|---|---|---|---|---|---|
| Mean | Min | Max | SD | Mean | Min | Max | SD | ||
| Baseline [μV] | 2.8 | 0.6 | 5.6 | 1.2 | 3.3 | 1.5 | 5.8 | 1.2 | 0.010 |
| Quick Flicks [μV] | 8.5 | 1.6 | 23.4 | 4.6 | 15.8 | 6.2 | 36.0 | 6.9 | <0.001 |
| Contractions [μV] | 9.8 | 2.0 | 25.0 | 5.6 | 16.4 | 3.6 | 33.2 | 5.8 | <0.001 |
| Static Hold [μV] | 8.6 | 2.0 | 28.3 | 5.1 | 15.4 | 5.3 | 31.7 | 5.6 | <0.001 |
| Rest [μV] | 3.3 | 0.6 | 7.2 | 1.4 | 3.9 | 1.5 | 8.7 | 1.6 | 0.012 |
| Variables | B | SE | p-Value | OR | 95% CI Lower | 95% CI Upper | |
|---|---|---|---|---|---|---|---|
| Age [years] | 0.00 | 0.02 | =0.81 | 1.00 | 0.96 | 1.04 | |
| Body weight [kg] | −0.03 | 0.02 | =0.07 | 0.97 | 0.94 | 1.00 | |
| Body height [cm] | −0.91 | 3.19 | =0.78 | 0.40 | 0.00 | 209.48 | |
| BMI [kg/m2] | −0.08 | 0.05 | =0.07 | 0.92 | 0.84 | 1.01 | |
| Baseline [μV] | 0.38 | 0.15 | =0.012 | 1.46 | 1.09 | 1.96 | |
| Quick Flicks [μV] | 0.29 | 0.05 | <0.001 | 1.34 | 1.21 | 1.49 | |
| Contractions [μV] | 0.20 | 0.04 | <0.001 | 1.22 | 1.13 | 1.32 | |
| Static Hold [μV] | 0.26 | 0.05 | <0.001 | 1.30 | 1.18 | 1.43 | |
| Rest [μV] | 0.28 | 0.12 | =0.015 | 1.33 | 1.06 | 1.67 | |
| Type of work | Mental | Ref. | |||||
| Physical | −0.07 | 0.93 | =0.94 | 0.93 | 0.15 | 5.76 | |
| Number of births | 0 | Ref. | |||||
| 1 | 0.99 | 0.65 | =0.13 | 2.68 | 0.75 | 9.61 | |
| 2 | 1.06 | 0.62 | =0.09 | 2.90 | 0.86 | 9.77 | |
| 3 | 0.17 | 0.82 | =0.84 | 1.18 | 0.24 | 5.86 | |
| 4 | 0.77 | 1.08 | =0.47 | 2.17 | 0.26 | 17.89 | |
| Variables | Level | SUI | B | SE | p-Value | OR | 95% CI Lower | 95% CI Upper | |
|---|---|---|---|---|---|---|---|---|---|
| Yes | No | ||||||||
| Baseline | Low | n = 67; 84% | n = 40; 65% | Ref. | |||||
| High | n = 13; 16% | n = 22; 35% | 1.04 | 0.40 | 0.010 | 2.83 | 1.29 | 6.24 | |
| Quick Flicks | Low | n = 48; 60% | n = 4; 6% | Ref. | |||||
| High | n = 32; 40% | n = 58; 96% | 3.08 | 0.57 | <0.001 | 21.75 | 7.19 | 65.84 | |
| Contractions | Low | n = 50; 63% | n = 6; 10% | Ref. | |||||
| High | n = 30; 38% | n = 56; 90% | 2.74 | 0.49 | <0.001 | 15.56 | 5.98 | 40.46 | |
| Static Hold | Low | n = 56; 70% | n = 4; 6% | Ref. | |||||
| High | n = 24; 30% | n = 58; 94% | 3.52 | 0.57 | <0.001 | 33.83 | 11.03 | 103.74 | |
| Rest | Low | n = 51; 64% | n = 26; 42% | Ref. | |||||
| High | n = 29; 36% | n = 36; 58% | 0.89 | 0.35 | 0.010 | 2.44 | 1.23 | 4.81 | |
© 2020 by the authors. Licensee MDPI, Basel, Switzerland. This article is an open access article distributed under the terms and conditions of the Creative Commons Attribution (CC BY) license (http://creativecommons.org/licenses/by/4.0/).
Share and Cite
Ptaszkowski, K.; Malkiewicz, B.; Zdrojowy, R.; Paprocka-Borowicz, M.; Ptaszkowska, L. The Prognostic Value of the Surface Electromyographic Assessment of Pelvic Floor Muscles in Women with Stress Urinary Incontinence. J. Clin. Med. 2020, 9, 1967. https://doi.org/10.3390/jcm9061967
Ptaszkowski K, Malkiewicz B, Zdrojowy R, Paprocka-Borowicz M, Ptaszkowska L. The Prognostic Value of the Surface Electromyographic Assessment of Pelvic Floor Muscles in Women with Stress Urinary Incontinence. Journal of Clinical Medicine. 2020; 9(6):1967. https://doi.org/10.3390/jcm9061967
Chicago/Turabian StylePtaszkowski, Kuba, Bartosz Malkiewicz, Romuald Zdrojowy, Malgorzata Paprocka-Borowicz, and Lucyna Ptaszkowska. 2020. "The Prognostic Value of the Surface Electromyographic Assessment of Pelvic Floor Muscles in Women with Stress Urinary Incontinence" Journal of Clinical Medicine 9, no. 6: 1967. https://doi.org/10.3390/jcm9061967
APA StylePtaszkowski, K., Malkiewicz, B., Zdrojowy, R., Paprocka-Borowicz, M., & Ptaszkowska, L. (2020). The Prognostic Value of the Surface Electromyographic Assessment of Pelvic Floor Muscles in Women with Stress Urinary Incontinence. Journal of Clinical Medicine, 9(6), 1967. https://doi.org/10.3390/jcm9061967

