Children and Adolescents with Pulmonary Arterial Hypertension: Baseline and Follow-Up Data from the Polish Registry of Pulmonary Hypertension (BNP-PL)
Abstract
1. Introduction
2. Methods
2.1. Design of the BNP-PL Registry—PAH Children Arm
2.2. Diagnostics
2.3. Treatment
2.4. Prevalence, Incidence and Follow-Up
2.5. Statistical Methods
3. Results
3.1. Study Group
3.2. Prevalence, Incidence and Geographic Distribution of PAH
3.3. PAH Classification
3.4. Concomitant Diseases in IPAH and CHD-PAH
3.5. Demographics of Study Patients
3.6. Clinical Presentation at Diagnosis
3.7. Diagnostic Work-up
3.8. Clinical Characteristics of Study Group
3.9. Treatment
3.10. Follow-Up
4. Discussion
4.1. PAH Classification
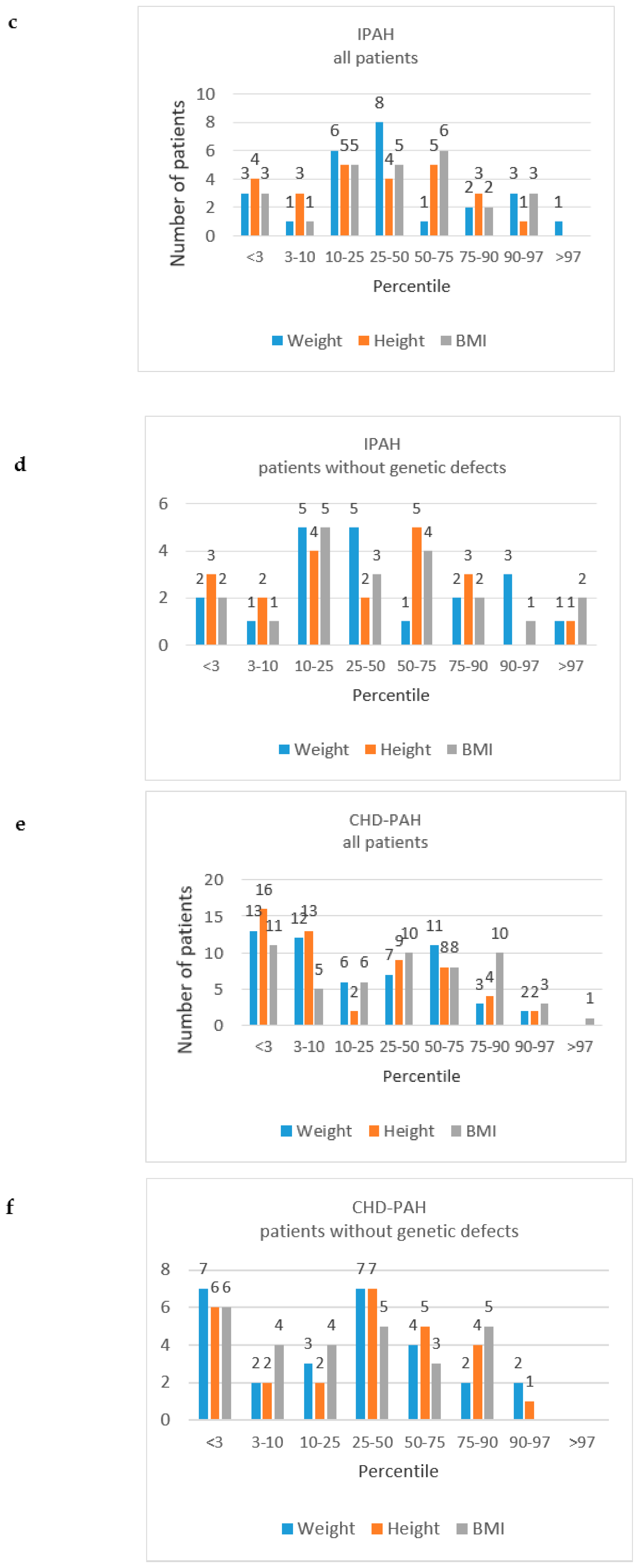
4.2. Growth in Children with PAH
| Author | Publication Year | N | Incidence (N per Million Children) | Prevalance (N per Milion Children) | Diagnosis (%) | Symptoms (%) | Down Syndrome (%) | ||||||||
|---|---|---|---|---|---|---|---|---|---|---|---|---|---|---|---|
| IPAH | PAH-CHD | IPAH | PAH-CHD | IPAH | PAH-CHD | Other PAH | Fatigue | Excercise Dyspnea | Dyspnea | Chest pain | Syncope | ||||
| Moledina [29] | 2010 | 64 | 0.48 | 2.1 | IPAH only | 31 | 31 | 75 | 31 | 4.7 | |||||
| Fraisse [12] | 2010 | 50 | 2.2 | 60 | 24 | 16 | 72 | 76 | 7 | 11 | |||||
| van Loon [11] | 2011 | 154 | 0.7 | 2.2 | 4.4 | 15.6 | 23 | 72 | 5 | 70 | 43 | 1 | 7 | 18 | |
| Barst [4] | 2012 | 216 | 56 | 36 | 8 | 24 | 46 | 9 | 5 | 24 | |||||
| del Cerro [22] | 2014 | 142 | 0.49 | 2.9 | 21 | 74 | 5 | 76 | 6.2 | 9.3 | 17 | ||||
| Kwiatkowska | 2020 | 80 | 3.6 | 7.8 | 31 | 67 | 2 | 90 | 70 | 20 | 1.25 | 1.25 | 30 | ||
4.3. PAH-Targeted Therapies
4.4. Comorbidities
4.5. Strengths and Limitations
5. Conclusions
Author Contributions
Funding
Conflicts of Interest
References
- Rosenzweig, E.B.; Abman, S.H.; Adatia, I.; Beghetti, M.; Bonnet, D.; Haworth, S.; Ivy, D.D.; Berger, R.M. Paediatric pulmonary arterial hypertension: Updates on definition, classification, diagnostics and management. Eur. Respir. J. 2019, 53, 1801916. [Google Scholar] [CrossRef]
- D’Alonzo, G.E.; Barst, R.J.; Ayres, S.M.; Bergofsky, E.H.; Brundage, B.H.; Detre, K.M.; Fishman, A.P.; Goldring, R.M.; Groves, B.M.; Kernis, J.T.; et al. Survival in patients with primary pulmonary hypertension. Results from a national prospective registry. Ann. Intern. Med. 1991, 115, 343–349. [Google Scholar] [CrossRef] [PubMed]
- Sandoval, J.; Bauerle, O.; Gomez, A.; Palomar, A.; MartinezGuerra, M.L.; Furuya, M.E. Primary pulmonary hypertension in children: Clinical characterization and survival. J. Am. Coll. Cardiol. 1995, 25, 466–474. [Google Scholar] [CrossRef]
- Barst, R.J.; McGoon, M.D.; Elliott, C.G.; Foreman, A.J.; Miller, D.P.; Ivy, D.D. Survival in childhood pulmonary arterial hypertension: Insights from the registry to evaluate early and long-term pulmonary arterial hypertension disease management. Circulation 2012, 125, 113–122. [Google Scholar] [CrossRef] [PubMed]
- Hislop, A. Treatment and survival in children with pulmonary arterial hypertension: The UK Pulmonary Hypertension Service for Children 2001–2006. Heart 2009, 95, 312–317. [Google Scholar]
- van Loon, R.L.E.; Roofthooft, M.T.; Delhaas, T.; van Osch-Gevers, M.; ten Harkel, A.D.; Strengers, J.L.; Backx, A.; Hillege, H.L.; Berger, R.M. Outcome of paediatric patients with pulmonary arterial hypertension in the era of new medical therapies. Am. J. Cardiol. 2010, 106, 117–124. [Google Scholar] [CrossRef] [PubMed]
- Zuk, M.; Mazurkiewicz-Anton, K.; Migdal, A.; Jagiellowicz-Kowalska, D.; Turska-Kmiec, A.; Ziolkowska, L.; Brzezinska-Rajszys, G.; Zubrzycka, M.; Kawalec, W. Prognosis in children with pulmonary arterial hypertension: 10-year single-centre experience. Kardiol. Pol. 2016, 74, 159–167. [Google Scholar] [CrossRef]
- Douwes, J.M.; Berger, R.M.F. Epidemiology of paediatric pulmonary hypertension. In Paediatric and Congenital Cardiology, Cardiac Surgery and Intensive Care; Da Cruz, E., Ivy, D., Jaggers, J., Eds.; Springer: London, UK, 2014; Volume 2, pp. 2123–2137. [Google Scholar] [CrossRef]
- Hansmann, G.; Hoeper, M.M. Registries for paediatric pulmonary hypertension. Eur. Respir. J. 2013, 42, 580–583. [Google Scholar] [CrossRef]
- Li, L.; Jick, S.; Breitenstein, S.; Hernandez, G.; Michel, A.; Vizcaya, D. Pulmonary arterial hypertension in the USA: An epidemiological study in a large insured paediatric population. Pulm. Circ. 2017, 7, 126–136. [Google Scholar] [CrossRef]
- van Loon, R.L.E.; Roofthooft, M.T.; Hillege, H.L.; ten Harkel, A.D.; van Osch-Gevers, M.; Delhaas, T.; Kapusta, L.; Strengers, J.L.; Rammeloo, L.; Clur, S.A.B.; et al. Paediatric pulmonary hypertension in the Netherlands: Epidemiology and characterization during the period 1991 to 2005. Circulation 2011, 124, 1755–1764. [Google Scholar] [CrossRef]
- Fraisse, A.; Jais, X.; Schleich, J.M.; Di Filippo, S.; Maragnès, P.; Beghetti, M.; Gressin, V.; Voisin, M.; Dauphin, C.; Clerson, P.; et al. Characteristics and prospective two-year follow-up of children with pulmonary arterial hypertension in France. Arch. Cardiovasc. Dis. Suppl. 2010, 2, 137–145. [Google Scholar]
- Kopec, G.; Kurzyna, M.; Mroczek, E.; Chrzanowski, L.; Mularek-Kubzdela, T.; Skoczylas, I.; Kusmierczyk, B.; Pruszczyk, P.; Blaszczak, P.; Lewicka, E.; et al. Database of pulmonary hypertension in the polish population (BNP-PL)-design of the registry. Kardiol. Pol. 2019, 77, 972–974. [Google Scholar] [CrossRef]
- Galie, N.; Humbert, M.; Vachiery, J.L.; Gibbs, S.; Lang, I.; Torbicki, A.; Simonneau, G.; Peacock, A.; Noordegraaf, A.V.; Beghetti, M.; et al. 2015 ESC/ERS Guidelines for the diagnosis and treatment of pulmonary hypertension. Eur. Heart. J. 2016, 37, 67–119. [Google Scholar] [CrossRef]
- Zijlstra, W.M.; Douwes, J.M.; Ploegstra, M.J.; Krishnan, U.; Roofthooft, M.T.; Hillege, H.L.; Ivy, D.D.; Rosenzweig, E.B.; Berger, R.M. Clinical classification in paediatric pulmonary arterial hypertension associated with congenital heart disease. Pulm. Circ. 2016, 6, 302–312. [Google Scholar] [CrossRef] [PubMed]
- Apitz, C.; Hansman, G.; Schranz, D. Hemodynamic assessment. Heart 2016, 102, 23–29. [Google Scholar] [CrossRef] [PubMed]
- Kułaga, Z.; Litwin, M.; Tkaczyk, M.; Palczewska, I.; Zajączkowska, M.; Zwolińska, D.; Krynicki, T.; Wasilewska, A.; Moczulska, A.; Morawiec-Knysak, A.; et al. Polish 2010 growth references for school-aged children and adolescents. Eur. J. Pediatr. 2011, 170, 599–609. [Google Scholar] [CrossRef]
- Kulaga, Z.; Grajda, A.; Gurzkowska, B.; Gozdz, M.; Wojtylo, M.; Swiader, A.; Rozdzynska-Swiatkowska, A.; Litwin, M. Polish 2012 growth references for preschool children. Eur. J. Pediatr. 2013, 172, 753–761. [Google Scholar] [CrossRef]
- Hansmann, G.; Koestenberger, M.; Alastalo, T.P.; Apitz, C.; Austin, E.A.; Bonnet, D.; Budts, W.; D’Alto, M.; Gatzoulis, M.A.; Hasan, B.S.; et al. 2019 updated consensus statement on the diagnosis and treatment of paediatric pulmonary hypertension: The European paediatric Pulmonary Vascular Disease Network (EPPVDN), endorsed by AEPC, ESPR and ISHLT. J. Hear. Lunge Transplant. 2019, 38, 879–901. [Google Scholar] [CrossRef]
- Kopec, G.; Kurzyna, M.; Mroczek, E.; Chrzanowski, L.; Mularek-Kubzdela, T.; Skoczylas, I.; Kusmierczyk, B.; Pruszczyk, P.; Blaszczak, P.; Lewicka, E.; et al. Characterization of Patients with Pulmonary Arterial Hypertension: Data from the Polish Registry of Pulmonary Hypertension (BNP-PL). J. Clin. Med. 2020, 9, 173. [Google Scholar] [CrossRef]
- Humbert, M.; Sitbon, O.; Chaouat, A.; Bertocchi, M.; Habib, G.; Gressin, V.; Yaici, A.; Weitzenblum, E.; Cordier, J.-F.; Chabot, F.; et al. Pulmonary Arterial Hypertension in France Results from a National Registry. Am. J. Respir. Crit. Care. Med. 2006, 173, 1023–1030. [Google Scholar] [CrossRef]
- Marin, M.D.C.; Rotes, A.S.; Ogando, A.R.; Soto, A.M.; Jimenez, M.Q.; Camacho, J.G.; Sonnenfeld, I.R.; Bonora, A.M.; Brotons, D.A.; Galdo, A.M. Assessing pulmonary hypertensive vascular disease in childhood data from the Spanish registry. Am. J. Respir. Crit. Care. Med. 2014, 190, 1421–1429. [Google Scholar] [CrossRef]
- Berger, R.M.; Beghetti, M.; Humpl, T.; Raskob, G.E.; Ivy, D.D.; Jing, Z.C.; Bonnet, D.; Schulze-Neick, I.; Barst, R.J. Clinical features of paediatric pulmonary hypertension: A registry study. Lancet 2012, 11, 537–546. [Google Scholar] [CrossRef]
- Manes, A.; Palazzini, M.; Leci, E.; Bacchi Reggiani, M.L.; Branzi, A.; Galie, N. Current era survival of patients with pulmonary arterial hypertension associated with congenital heart disease: A comparison between clinical subgroups. Eur. Heart J. 2014, 35, 716–724. [Google Scholar] [CrossRef]
- Tingo, J.; Rosenzweig, E.B.; Lobritto, S.; Krishnan, U.S. Portopulmonary hypertension in children: A rare but potentially lethal and under-recognized disease. Pulm. Circ. 2017, 7, 712–718. [Google Scholar] [CrossRef]
- Beghetti, M.; Schulze-Neick, I.; Berger, R.M.F.; Ivy, D.D.; Bonnet, D.; Weintraub, R.G.; Saji, T.; Yung, D.; Mallory, G.B.; Geiger, R.; et al. Haemodynamic characterisation and heart catheterisation complications in children with pulmonary hypertension: Insights from the Global TOPP Registry (tracking outcomes and practice in paediatric pulmonary hypertension). Int. J. Cardiol. 2016, 203, 325–330. [Google Scholar] [CrossRef] [PubMed]
- Caicedo, L.; Hopper, R.; Garcia Aguilar, H.; Ivy, D. Acute vasoreactivity testing in paediatric idiopathic pulmonary arterial hypertension: An international survey on current Practice. Pulm. Circ. 2019, 9, 1–9. [Google Scholar] [CrossRef] [PubMed]
- Ploegstra, M.J.; Ivy, D.D.; Wheeler, J.G.; Brand, M.; Beghetti, M.; Rosenzweig, E.B.; Humpl, T.; Iriart, X.; Muros-Le Rouzic, E.; Bonnet, D.; et al. Growth in children with pulmonary arterial hypertension: A longitudinal retrospective multiregistry study. Lancet Respir. Med. 2016, 4, 281–290. [Google Scholar] [CrossRef]
- Moledina, S.; Hislop, A.A.; Foster, H.; Schulze-Neick, I.; Haworth, S.G. Childhood idiopathic pulmonary arterial hypertension: A national cohort study. Heart 2010, 96, 1401–1406. [Google Scholar] [CrossRef]
- Abman, S.H.; Hansmann, G.; Archer, S.L.; Ivy, D.D.; Adatia, I.; Chung, W.K.; Hanna, B.D.; Rosenzweig, E.B.; Raj, J.U.; Cornfield, D.; et al. Paediatric Pulmonary Hypertension: Guidelines from the American Heart Association and American Thoracic Society. Circulation 2015, 132, 2037–2099. [Google Scholar] [CrossRef]
- Ezekian, J.E.; Hill, K.D. Management of Pulmonary Arterial Hypertension in the Paediatric Patient. Curr. Cardiol. Rep. 2019, 21, 162. [Google Scholar] [CrossRef]
- Humpl, T.; Berger, R.M.; Austin, E.D.; Boillat, M.S.F.; Bonnet, D.; Ivy, D.D.; Zuk, M.; Beghetti, M.; Schulze-Neick, I. Treatment initiation in paediatric pulmonary hypertension: Insights from a multinational registry. Cardiol. Young 2017, 27, 1123–1132. [Google Scholar] [CrossRef] [PubMed]
- Douwes, J.M.; Berger, R.F.M. Paediatric pulmonary arterial hypertension: On the eve of growing up. Purp. Curr. Opin. Pulm. Med. 2017, 23, 398–403. [Google Scholar] [CrossRef] [PubMed]
- Ploegstra, M.-J. Prognostic Factors, Treatment Goals and Clinical Endpoints in Paediatric Pulmonary Arterial Hypertension; Rijksuniversiteit Groningen: Groningen, The Netherlands, 2017; Chapter 3; p. 273. [Google Scholar]
- Lammers, A.E.; Apitz, C.; Zartner, P.; Hager, A.; Dubowy, K.O.; Hansmann, G. Diagnostics, monitoring and outpatient care in children with suspected pulmonary hypertension/paediatric pulmonary hypertensive vascular disease. Expert consensus statement on the diagnosis and treatment of paediatric pulmonary hypertension. The European Paediatric Pulmonary Vascular Disease Network, endorsed by ISHLT and DGPK. Heart 2016, 102, ii1–ii13. [Google Scholar] [CrossRef]





| Eisenmenger’s Syndrome | PAH Associated with Prevalent Systemic-to- Pulmonary Shunts | PAH after Defect Correction | PAH with Small/Coincidental Defects | |
|---|---|---|---|---|
| N = 16 | N = 15 | N = 15 | N = 8 | |
| ASD, n = 11 | 1 (6.25%) | 1 (6.67%) | 1 (6.67%) | 8 (100%) |
| VSD, n = 14 | 6 (37.5%) | 3 (20.0%) | 5 (33.3%) | 0 |
| AVSD, n = 9 | 3 (18.75%) | 4 (26.67%) | 2 (13,3%) | 0 |
| PDA, n = 4 | 3 (18.75%) | 1 (6.67%) | 0 | 0 |
| CCHD, n = 16 | 3 (18.75%) | 6 (40.0%) | 7 (46.67%) | 0 |
| Disease | All Patients | IPAH | CHD-PAH | P |
|---|---|---|---|---|
| N = 80 | N = 25 | N = 54 | ||
| Hypertension | 2 | 2 | 0 | 0.04 |
| Smoking | 1 | 0 | 1 | 0.5 |
| Asthma | 2 | 1 | 1 | 0.57 |
| Hypothyroidism | 19 | 3 * | 16 * | 0.09 |
| Hyperthyroidism | 2 | 0 | 2 | 0.33 |
| Atrial flutter | 1 | 0 | 1 | 0.5 |
| Down syndrome * | 24 | 2 | 22 | 0.004 |
| Mental retardation | 32 | 5 | 27 | 0.01 |
| History of acute PE | 1 | 1 | 0 | 0.14 |
| Inflammatory bowel disease | 2 | 1 | 1 | 0.57 |
| Cardiac stimulation | 1 | 0 | 1 | 0.5 |
| Sleep apnea | 1 | 1 | 0 | 0.14 |
| Preterm < 36 week | 4 | 3 | 1 | 0.06 |
| Characteristics | All (IPAH, CHD-PAH, PoPAH) | IPAH | CHD-PAH | P |
|---|---|---|---|---|
| N = 80 | N = 25 | N = 54 | ||
| Female, n (%) | 40 (50%) | 12 (48%) | 27 (50%) | 0.9 |
| Incident cases, n (%) | 10 (12.5%) | 9 (36%) | 1 (1.9%) | <0.0001 |
| Age at diagnosis | 5.1 (2.1–8.1) | 5.9 (2.5–8.3) | 4.6 (2.1–7.5) | 0.5 |
| Age at enrollment | 10.4 (7.9–15.2) | 9.8 (7.6–11.5) | 11.5 (7.9–15.4) | 0.15 |
| Functional class at diagnosis | ||||
| I | 9 (11.3%) | 2 (8%) | 7 (12.97%) | 0.5 |
| II | 17 (21.3%) | 7 (28%) | 9 (16.67%) | 0.2 |
| III | 53 (66.3%) | 16 (64%) | 37 (68.51%) | 0.7 |
| IV | 1 (1.3%) | 0 | 1 (1.85%) | 0.5 |
| Functional class at enrolment, n (%) | ||||
| I | 9 (11.3) | 2 (8%) | 7 (13%) | 0.5 |
| II | 46 (57.5) | 13 (52%) | 32 (59%) | 0.5 |
| III | 25 (31.3) | 10 (40%) | 15 (28%) | 0.3 |
| IV | 0 | 0 | 0 | - |
| RHC at diagnosis | ||||
| mPAP [mmHg] | 48.0 (37.0–57.0) | 48.0 (39–67) | 48.0 (36–55.5) | 0.54 |
| CI [l/min/m2] | 2.9 (1.9–3.9) | 2.6 (1.9–3.6) | 3.2 (2.0–3.9) | 0.86 |
| PVR [WU] | 11.1 (7.2–21.3) | 10.4 (6.7–22.9) | 11.9 (7.7–19.6) | 0.88 |
| PVRI [WU/m2] | 10.9 (6.5–21.1) | 11.4 (7.9–26.5) | 10.7 (6.4–18.5) | 0.34 |
| Clinical characterization at enrolment | ||||
| Height for age percentile | 14 (2.75–50.0) | 25.0 (7.0–62.0) | 6.5 (2.0–44.0) | 0.06 |
| Weight for age percentile | 22.0 (3.0–50) | 36.0 (17.0–62.0) | 13.5 (3.0–50.0) | 0.08 |
| BMI for age percentile | 40.6 (8.0–70.0) | 42.0 (17–62.0) | 36.0 (3.0–75.0) | 0.57 |
| 6 MWT [m] | 429 (360–500) | 450 (383–524) | 420 (353–469) | 0.46 |
| NT-proBNP [ng/L] | 272 (104.6–628.0) | 268.7 (69.2–502.7) | 290.0 (115.8–676.0) | 0.38 |
| RAA [cm2] | 14.3 (10.0–19.0) | 12.2 (8.8–14.6) | 16.4 (10.4–20.4) | 0.08 |
| Anthropometric measurements in patients without genetic defects | ||||
| Height for age percentile | 30.5 (5.0–62.5) | 37 (8.5–64.5) | 26 (3–62) | 0.6 |
| Weight for age percentile | 37.5 (6.5–64.8) | 39.5 (17.5–82.0) | 37 (25–62) | 0.4 |
| BMI for age percentile | 31.5 (3.5–64) | 43.5 (13.5–72.0) | 20 (3.0–55) | 0.1 |
| Anthropometric measurements in patients with genetic defects | ||||
| Height for age percentile | 3 (2–9) | 10 (3–25) | 3 (2–7) | 0.3 |
| Weight for age percentile | 7.5 (3–31) | 25 (10–25) | 7 (3–37) | 0.5 |
| BMI for age percentile | 47.5 (16–77.5) | 35 (25–30) | 50 (12–80) | 0.4 |
| Whole Group (IPAH, CHD-PAH, PoPAH) | IPAH | CHD-PAH | P | |
|---|---|---|---|---|
| N = 80 | N = 25 | N = 54 | ||
| PAH-specific therapies: | ||||
| Sildenafil [n,%] | 57 (71%) | 18 (72%) | 38 (70.4%) | 0.88 |
| Tadalafil [n,%] | 1 (1.3%) | 0 | 1 (1.9%) | 0.50 |
| Bosentan [n,%] | 61 (76.3%) | 17 (68%) | 44 (81.5%) | 0.29 |
| Treprostinil [n,%] | 3 (3.75%) | 3 (12%) | 0 | 0.009 |
| Epoprostenol [n,%] | 0 | 0 | 0 | - |
| Riociguat [n,%] | 1 (1.3%) | 1 (4.0%) | 0 | 0.14 |
| Ca blocker for PAH | 2 (2.5%) | 2 (8.0%) | 0 | |
| PAH-specific monotherapy [n,%] | 36 (45%) | 10 (40%) | 24 (44.4%) | 0.71 |
| PAH-specific combination therapy of two drugs [n,%] | 39 (49%) | 10 (40%) | 29 (53.7%) | 0.7 |
| Triple combination PAH-specific therapy [n,%] | 3 (3.8%) | 3 (12%) | 0 | 0.01 |
| Home oxygen therapy | 2 (2.5%) | 1 (4%) | 1 (1.9%) | 0.57 |
| Vitamin K antagonists | 12 (15%) | 6 (24%) | 6 (11.1%) | 0.14 |
| Low-molecular heparin | 1 (1.3%) | 1 (4%) | 0 | 0.14 |
| Beta blockers | 6 (7.5%) | 3 (12%) | 3 (5.6%) | 0.32 |
| ACEI | 17 (21.3%) | 4 (16%) | 13 (24.1%) | 0.42 |
| ARB | 1 (1.3%) | 0 | 1 (1.9%) | 0.49 |
| Loop diuretics | 10 (12.5%) | 3 (12%) | 7 (13%) | 0.9 |
| Thiazide diuretics | 1 (1.3%) | 0 | 1 (1.9%) | 0.49 |
| Potassium-sparing diuretics | 40 (50%) | 15 (60%) | 25 (46.3%) | 0.02 |
| SSRI | 1 (1.3%) | 0 | 1 (1.9%) | 0.49 |
| ASA | 10 (12.5%) | 1 (4%) | 9 (16.7%) | 0.12 |
| Proton pomp inhibitors | 1 (1.3%) | 1 (4%) | 0 | 0.14 |
| Immunosuppressive drugs | 1 (1.3%) | 0 | 1 (1.9%) | 0.49 |
© 2020 by the authors. Licensee MDPI, Basel, Switzerland. This article is an open access article distributed under the terms and conditions of the Creative Commons Attribution (CC BY) license (http://creativecommons.org/licenses/by/4.0/).
Share and Cite
Kwiatkowska, J.; Zuk, M.; Migdal, A.; Kusa, J.; Skiba, E.; Zygielo, K.; Przetocka, K.; Werynski, P.; Banaszak, P.; Rzeznik-Bieniaszewska, A.; et al. Children and Adolescents with Pulmonary Arterial Hypertension: Baseline and Follow-Up Data from the Polish Registry of Pulmonary Hypertension (BNP-PL). J. Clin. Med. 2020, 9, 1717. https://doi.org/10.3390/jcm9061717
Kwiatkowska J, Zuk M, Migdal A, Kusa J, Skiba E, Zygielo K, Przetocka K, Werynski P, Banaszak P, Rzeznik-Bieniaszewska A, et al. Children and Adolescents with Pulmonary Arterial Hypertension: Baseline and Follow-Up Data from the Polish Registry of Pulmonary Hypertension (BNP-PL). Journal of Clinical Medicine. 2020; 9(6):1717. https://doi.org/10.3390/jcm9061717
Chicago/Turabian StyleKwiatkowska, Joanna, Malgorzata Zuk, Anna Migdal, Jacek Kusa, Elzbieta Skiba, Karolina Zygielo, Kinga Przetocka, Piotr Werynski, Pawel Banaszak, Alina Rzeznik-Bieniaszewska, and et al. 2020. "Children and Adolescents with Pulmonary Arterial Hypertension: Baseline and Follow-Up Data from the Polish Registry of Pulmonary Hypertension (BNP-PL)" Journal of Clinical Medicine 9, no. 6: 1717. https://doi.org/10.3390/jcm9061717
APA StyleKwiatkowska, J., Zuk, M., Migdal, A., Kusa, J., Skiba, E., Zygielo, K., Przetocka, K., Werynski, P., Banaszak, P., Rzeznik-Bieniaszewska, A., Surmacz, R., Bobkowski, W., Wojcicka-Urbanska, B., Werner, B., Pluzanska, J., Ostrowska, K., Waldoch, A., & Kopec, G. (2020). Children and Adolescents with Pulmonary Arterial Hypertension: Baseline and Follow-Up Data from the Polish Registry of Pulmonary Hypertension (BNP-PL). Journal of Clinical Medicine, 9(6), 1717. https://doi.org/10.3390/jcm9061717

