Negative Inotropic Effect of BGP-15 on the Human Right Atrial Myocardium
Abstract
1. Introduction
2. Materials and Methods
2.1. Patients, Tissue Samples, and Experimental Design
2.2. Materials
2.3. Protocols
2.4. Data Analysis
3. Results
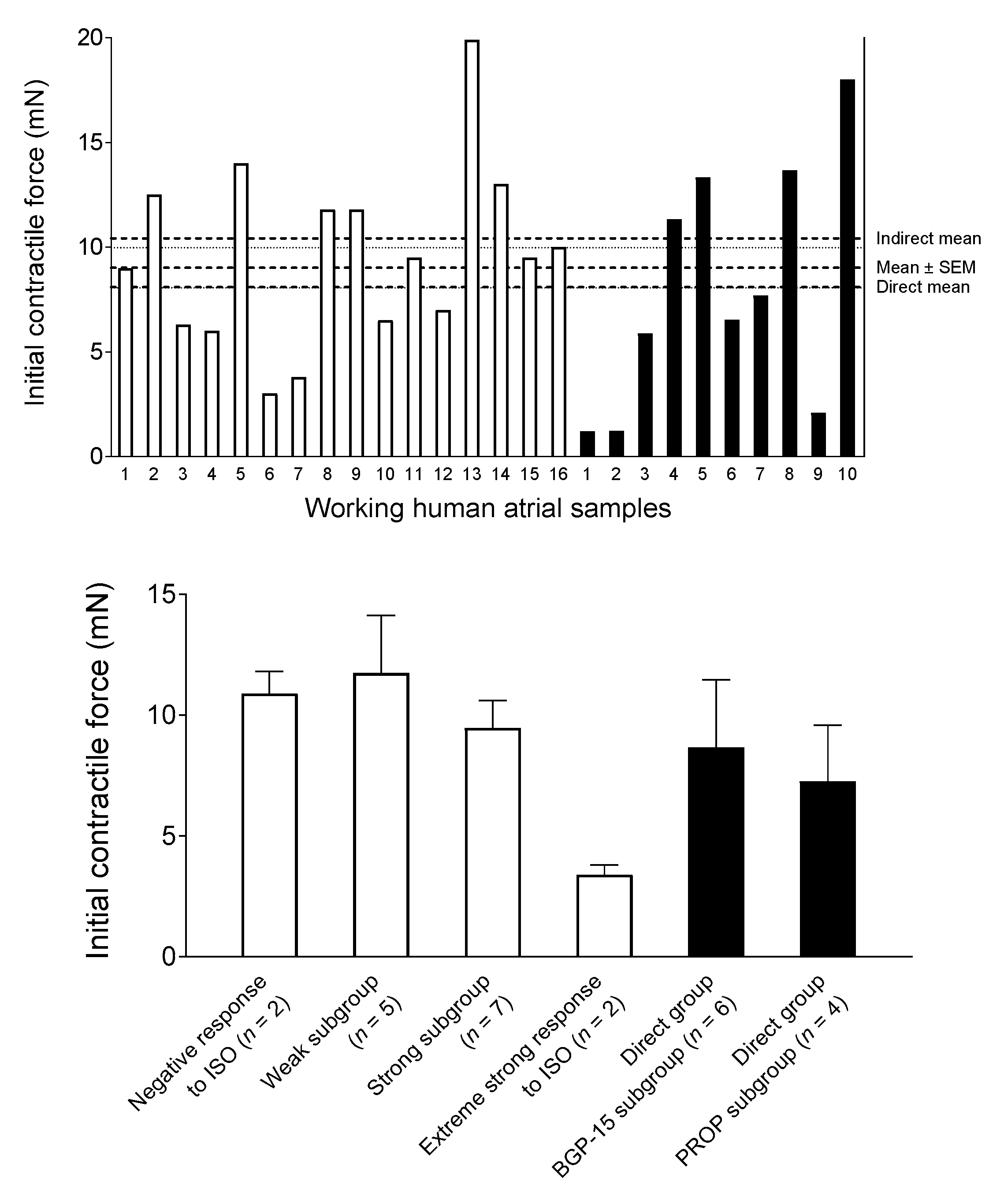
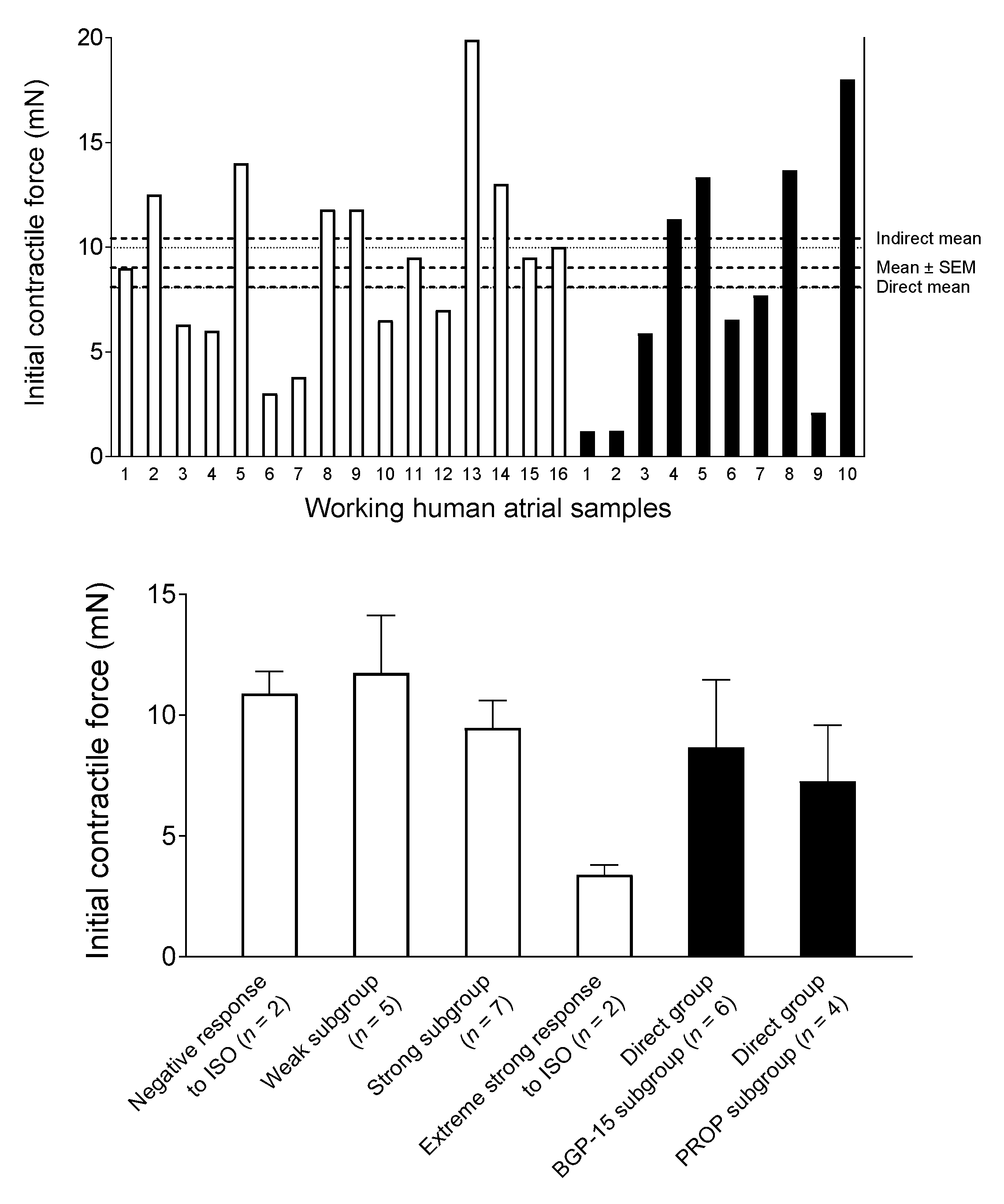
3.1. Contractile Force of the Right Atrial Samples
3.2. Response to Adenosine
3.3. Response to Isoproterenol
3.4. Response to BGP-15 and Propranolol
3.5. Associations between Patient Data and Sample Features
4. Discussion
5. Study limitations
6. Conclusions
Author Contributions
Funding
Conflicts of Interest
References
- Benjamin, E.J.; Virani, S.S.; Callaway, C.W.; Chamberlain, A.M.; Chang, A.R.; Cheng, S.; Chiuve, S.E.; Cushman, M.; Delling, F.N.; Deo, R.; et al. Heart disease and stroke statistics-2018 update: A report from the american heart association. Circulation 2018, 137, e67–e492. [Google Scholar] [CrossRef] [PubMed]
- Sigaroudi, A.; Kinzig, M.; Wahl, O.; Stelzer, C.; Schroeter, M.; Fuhr, U.; Holzgrabe, U.; Sorgel, F. Quantification of bisoprolol and metoprolol in simultaneous human serum and cerebrospinal fluid samples. Pharmacology 2018, 101, 29–34. [Google Scholar] [CrossRef] [PubMed]
- Diaconu, C.C.; Balaceanu, A.; Bartos, D. Diuretics, first-line antihypertensive agents: Are they always safe in the elderly? Rom. J. Intern. Med. 2014, 52, 87–90. [Google Scholar] [PubMed]
- Laurent, S. Antihypertensive drugs. Pharmacol. Res. 2017, 124, 116–125. [Google Scholar] [CrossRef]
- N’-(2-hydroxy-3-piperidin-1-ylpropoxy)pyridine-3-carboximidamide. Available online: https://pubchem.ncbi.nlm.nih.gov/compound/9817104 (accessed on 10 April 2020).
- Penke, B.; Bogar, F.; Crul, T.; Santha, M.; Toth, M.E.; Vigh, L. Heat shock proteins and autophagy pathways in neuroprotection: From molecular bases to pharmacological interventions. Int. J. Mol. Sci. 2018, 19, 325. [Google Scholar] [CrossRef]
- Crul, T.; Toth, N.; Piotto, S.; Literati-Nagy, P.; Tory, K.; Haldimann, P.; Kalmar, B.; Greensmith, L.; Torok, Z.; Balogh, G.; et al. Hydroximic acid derivatives: Pleiotropic hsp co-inducers restoring homeostasis and robustness. Curr. Pharm. Des. 2013, 19, 309–346. [Google Scholar] [CrossRef]
- Racz, I.; Tory, K.; Gallyas, F., Jr.; Berente, Z.; Osz, E.; Jaszlits, L.; Bernath, S.; Sumegi, B.; Rabloczky, G.; Literati-Nagy, P. Bgp-15—a novel poly(adp-ribose) polymerase inhibitor—protects against nephrotoxicity of cisplatin without compromising its antitumor activity. Biochem. Pharmacol. 2002, 63, 1099–1111. [Google Scholar] [CrossRef]
- Literati-Nagy, B.; Kulcsar, E.; Literati-Nagy, Z.; Buday, B.; Peterfai, E.; Horvath, T.; Tory, K.; Kolonics, A.; Fleming, A.; Mandl, J.; et al. Improvement of insulin sensitivity by a novel drug, bgp-15, in insulin-resistant patients: A proof of concept randomized double-blind clinical trial. Horm. Metab. Res. 2009, 41, 374–380. [Google Scholar] [CrossRef]
- Literati-Nagy, B.; Peterfai, E.; Kulcsar, E.; Literati-Nagy, Z.; Buday, B.; Tory, K.; Mandl, J.; Sumegi, B.; Fleming, A.; Roth, J.; et al. Beneficial effect of the insulin sensitizer (hsp inducer) bgp-15 on olanzapine-induced metabolic disorders. Brain Res. Bull 2010, 83, 340–344. [Google Scholar] [CrossRef]
- Literati-Nagy, Z.; Tory, K.; Literati-Nagy, B.; Kolonics, A.; Torok, Z.; Gombos, I.; Balogh, G.; Vigh, L., Jr.; Horvath, I.; Mandl, J.; et al. The hsp co-inducer bgp-15 can prevent the metabolic side effects of the atypical antipsychotics. Cell Stress Chaperones 2012, 17, 517–521. [Google Scholar] [CrossRef]
- Literati-Nagy, Z.; Tory, K.; Literati-Nagy, B.; Kolonics, A.; Vigh, L., Jr.; Vigh, L.; Mandl, J.; Szilvassy, Z. A novel insulin sensitizer drug candidate-bgp-15-can prevent metabolic side effects of atypical antipsychotics. Pathol. Oncol. Res. 2012, 18, 1071–1076. [Google Scholar] [CrossRef] [PubMed]
- Xing, B.; Wang, L.; Li, Q.; Cao, Y.; Dong, X.; Liang, J.; Wu, X. Hsp70 plays an important role in high-fat diet induced gestational hyperglycemia in mice. J. Physiol. Biochem. 2015, 71, 649–658. [Google Scholar] [CrossRef] [PubMed]
- Henstridge, D.C.; Bruce, C.R.; Drew, B.G.; Tory, K.; Kolonics, A.; Estevez, E.; Chung, J.; Watson, N.; Gardner, T.; Lee-Young, R.S.; et al. Activating hsp72 in rodent skeletal muscle increases mitochondrial number and oxidative capacity and decreases insulin resistance. Diabetes 2014, 63, 1881–1894. [Google Scholar] [CrossRef] [PubMed]
- Literati-Nagy, Z.; Tory, K.; Literati-Nagy, B.; Bajza, A.; Vigh, L., Jr.; Vigh, L.; Mandl, J.; Szilvassy, Z. Synergic insulin sensitizing effect of rimonabant and bgp-15 in zucker-obese rats. Pathol. Oncol. Res. 2013, 19, 571–575. [Google Scholar] [CrossRef]
- Literati-Nagy, B.; Tory, K.; Peitl, B.; Bajza, A.; Koranyi, L.; Literati-Nagy, Z.; Hooper, P.L.; Vigh, L.; Szilvassy, Z. Improvement of insulin sensitivity by a novel drug candidate, bgp-15, in different animal studies. Metab. Syndr. Relat. Disord. 2014, 12, 125–131. [Google Scholar] [CrossRef]
- Budzynski, M.A.; Crul, T.; Himanen, S.V.; Toth, N.; Otvos, F.; Sistonen, L.; Vigh, L. Chaperone co-inducer bgp-15 inhibits histone deacetylases and enhances the heat shock response through increased chromatin accessibility. Cell Stress Chaperones 2017, 22, 717–728. [Google Scholar] [CrossRef]
- Chung, J.; Nguyen, A.K.; Henstridge, D.C.; Holmes, A.G.; Chan, M.H.; Mesa, J.L.; Lancaster, G.I.; Southgate, R.J.; Bruce, C.R.; Duffy, S.J.; et al. Hsp72 protects against obesity-induced insulin resistance. Proc. Natl. Acad. Sci. USA 2008, 105, 1739–1744. [Google Scholar] [CrossRef]
- Sapra, G.; Tham, Y.K.; Cemerlang, N.; Matsumoto, A.; Kiriazis, H.; Bernardo, B.C.; Henstridge, D.C.; Ooi, J.Y.; Pretorius, L.; Boey, E.J.; et al. The small-molecule bgp-15 protects against heart failure and atrial fibrillation in mice. Nat. Commun. 2014, 5, 5705. [Google Scholar] [CrossRef]
- Halmosi, R.; Berente, Z.; Osz, E.; Toth, K.; Literati-Nagy, P.; Sumegi, B. Effect of poly(adp-ribose) polymerase inhibitors on the ischemia-reperfusion-induced oxidative cell damage and mitochondrial metabolism in langendorff heart perfusion system. Mol. Pharmacol. 2001, 59, 1497–1505. [Google Scholar] [CrossRef]
- Szabados, E.; Literati-Nagy, P.; Farkas, B.; Sumegi, B. Bgp-15, a nicotinic amidoxime derivate protecting heart from ischemia reperfusion injury through modulation of poly(adp-ribose) polymerase. Biochem. Pharmacol. 2000, 59, 937–945. [Google Scholar] [CrossRef]
- Cseuz, R.; Wenger, T.L.; Kunos, G.; Szentivanyi, M. Changes of adrenergic reaction pattern in experimental diabetes mellitus. Endocrinology 1973, 93, 752–755. [Google Scholar] [CrossRef] [PubMed]
- The Top 10 Causes of Death. Available online: https://www.who.int/en/news-room/fact-sheets/detail/the-top-10-causes-of-death (accessed on 2 September 2019).
- Quickstats: Number of Deaths from 10 Leading Causes, by Sex—National Vital Statistics System, United States. 2015. Available online: https://www.cdc.gov/mmwr/volumes/66/wr/mm6615a8.htm (accessed on 2 September 2019).
- Cardiovascular Diseases (cvds). Available online: https://www.who.int/news-room/fact-sheets/detail/cardiovascular-diseases-(cvds) (accessed on 2 September 2019).
- Gandini, S.; Palli, D.; Spadola, G.; Bendinelli, B.; Cocorocchio, E.; Stanganelli, I.; Miligi, L.; Masala, G.; Caini, S. Anti-hypertensive drugs and skin cancer risk: A review of the literature and meta-analysis. Crit. Rev. Oncol. Hematol. 2018, 122, 1–9. [Google Scholar] [CrossRef] [PubMed]
- Ishikawa, S.; Naito, S.; Iimori, S.; Takahashi, D.; Zeniya, M.; Sato, H.; Nomura, N.; Sohara, E.; Okado, T.; Uchida, S.; et al. Loop diuretics are associated with greater risk of sarcopenia in patients with non-dialysis-dependent chronic kidney disease. PLoS ONE 2018, 13, e0192990. [Google Scholar] [CrossRef] [PubMed]
- Zhang, D.; Ke, L.; Mackovicova, K.; Van Der Want, J.J.; Sibon, O.C.; Tanguay, R.M.; Morrow, G.; Henning, R.H.; Kampinga, H.H.; Brundel, B.J. Effects of different small hspb members on contractile dysfunction and structural changes in a drosophila melanogaster model for atrial fibrillation. J. Mol. Cell Cardiol. 2011, 51, 381–389. [Google Scholar] [CrossRef]
- Safety and Efficacy of Bgp-15 in Patients with Type 2 Diabetes Mellitus. Available online: https://clinicaltrials.gov/ct2/show/NCT01069965 (accessed on 2 September 2019).
- Smuder, A.J.; Morton, A.B.; Hall, S.E.; Wiggs, M.P.; Ahn, B.; Wawrzyniak, N.R.; Sollanek, K.J.; Min, K.; Kwon, O.S.; Nelson, W.B.; et al. Effects of exercise preconditioning and hsp72 on diaphragm muscle function during mechanical ventilation. J. Cachexia Sarcopenia Muscle 2019, 10, 767–781. [Google Scholar] [CrossRef]
- Vigh, L.; Horvath, I.; Maresca, B.; Harwood, J.L. Can the stress protein response be controlled by ‘membrane-lipid therapy’? Trends Biochem. Sci. 2007, 32, 357–363. [Google Scholar] [CrossRef]
- Gehrig, S.M.; van der Poel, C.; Sayer, T.A.; Schertzer, J.D.; Henstridge, D.C.; Church, J.E.; Lamon, S.; Russell, A.P.; Davies, K.E.; Febbraio, M.A.; et al. Hsp72 preserves muscle function and slows progression of severe muscular dystrophy. Nature 2012, 484, 394–398. [Google Scholar] [CrossRef]
- Kennedy, T.L.; Swiderski, K.; Murphy, K.T.; Gehrig, S.M.; Curl, C.L.; Chandramouli, C.; Febbraio, M.A.; Delbridge, L.M.; Koopman, R.; Lynch, G.S. Bgp-15 improves aspects of the dystrophic pathology in mdx and dko mice with differing efficacies in heart and skeletal muscle. Am. J. Pathol. 2016, 186, 3246–3260. [Google Scholar] [CrossRef]
- Yamashita, T.; Hashiramoto, A.; Haluzik, M.; Mizukami, H.; Beck, S.; Norton, A.; Kono, M.; Tsuji, S.; Daniotti, J.L.; Werth, N.; et al. Enhanced insulin sensitivity in mice lacking ganglioside gm3. Proc. Natl. Acad. Sci. USA 2003, 100, 3445–3449. [Google Scholar] [CrossRef]
- Larsen, P.J.; Tennagels, N. On ceramides, other sphingolipids and impaired glucose homeostasis. Mol. Metab. 2014, 3, 252–260. [Google Scholar] [CrossRef]
- Gombos, I.; Crul, T.; Piotto, S.; Gungor, B.; Torok, Z.; Balogh, G.; Peter, M.; Slotte, J.P.; Campana, F.; Pilbat, A.M.; et al. Membrane-lipid therapy in operation: The hsp co-inducer bgp-15 activates stress signal transduction pathways by remodeling plasma membrane rafts. PLoS ONE 2011, 6, e28818. [Google Scholar] [CrossRef] [PubMed]
- Igf1r. Available online: https://www.proteinatlas.org/ENSG00000140443-IGF1R (accessed on 5 February 2020).
- Bombicz, M.; Priksz, D.; Gesztelyi, R.; Kiss, R.; Hollos, N.; Varga, B.; Nemeth, J.; Toth, A.; Papp, Z.; Szilvassy, Z.; et al. The drug candidate bgp-15 delays the onset of diastolic dysfunction in the goto-kakizaki rat model of diabetic cardiomyopathy. Molecules 2019, 24, 586. [Google Scholar] [CrossRef]
- Al-Majed, A.A.; Bakheit, A.H.H.; Abdel Aziz, H.A.; Alajmi, F.M.; AlRabiah, H. Propranolol. Profiles Drug Subst. Excip. Relat. Methodol. 2017, 42, 287–338. [Google Scholar] [PubMed]
- Appleton, C.P.; Hatle, L.K.; Popp, R.L. Relation of transmitral flow velocity patterns to left ventricular diastolic function: New insights from a combined hemodynamic and doppler echocardiographic study. J. Am. Coll Cardiol. 1988, 12, 426–440. [Google Scholar] [CrossRef]
- Rossi, A.; Zardini, P.; Marino, P. Modulation of left atrial function by ventricular filling impairment. Heart Fail Rev. 2000, 5, 325–331. [Google Scholar] [CrossRef]
- Betts, T. Improving identification and treatment of atrial fibrillation. Practitioner 2012, 256, 27–31. [Google Scholar]
- Boarescu, P.M.; Boarescu, I.; Bocsan, I.C.; Pop, R.M.; Gheban, D.; Bulboaca, A.E.; Nicula, C.; Rajnoveanu, R.M.; Bolboaca, S.D. Curcumin nanoparticles protect against isoproterenol induced myocardial infarction by alleviating myocardial tissue oxidative stress, electrocardiogram, and biological changes. Molecules 2019, 24, 2802. [Google Scholar] [CrossRef] [PubMed]
- Carnevali, L.; Statello, R.; Sgoifo, A. Resting heart rate variability predicts vulnerability to pharmacologically-induced ventricular arrhythmias in male rats. J. Clin. Med. 2019, 8, 655. [Google Scholar] [CrossRef]
- Du, Z.; Wen, R.; Liu, Q.; Wang, J.; Lu, Y.; Zhao, M.; Guo, X.; Tu, P.; Jiang, Y. (1)h nmr-based dynamic metabolomics delineates the therapeutic effects of baoyuan decoction on isoproterenol-induced cardiac hypertrophy. J. Pharm. Biomed. Anal. 2019, 163, 64–77. [Google Scholar] [CrossRef]
- Zhang, J.; Yu, J.; Chen, Y.; Liu, L.; Xu, M.; Sun, L.; Luo, H.; Wang, Y.; Meng, G. Exogenous hydrogen sulfide supplement attenuates isoproterenol-induced myocardial hypertrophy in a sirtuin 3-dependent manner. Oxid. Med. Cell Longev. 2018, 2018, 9396089. [Google Scholar] [CrossRef]
- Thomas, M.; Palombo, P.; Schuhmacher, T.; von Scheven, G.; Bazylianska, V.; Salzwedel, J.; Schafer, N.; Burkle, A.; Moreno-Villanueva, M. Impaired parp activity in response to the beta-adrenergic receptor agonist isoproterenol. Toxicol. Vitro 2018, 50, 29–39. [Google Scholar] [CrossRef]
- Mangmool, S.; Denkaew, T.; Parichatikanond, W.; Kurose, H. Beta-adrenergic receptor and insulin resistance in the heart. Biomol. Ther. (Seoul) 2017, 25, 44–56. [Google Scholar] [CrossRef] [PubMed]
- Fu, Q.; Wang, Q.; Xiang, Y.K. Insulin and beta adrenergic receptor signaling: Crosstalk in heart. Trends Endocrinol. Metab. 2017, 28, 416–427. [Google Scholar] [CrossRef] [PubMed]
- Marketou, M.; Gupta, Y.; Jain, S.; Vardas, P. Differential metabolic effects of beta-blockers: An updated systematic review of nebivolol. Curr. Hypertens Rep. 2017, 19, 22. [Google Scholar] [CrossRef] [PubMed]









| Contractile Force (Direct + Indirect; n = 22) | p | Response to ISO (Indirect; n = 12) | p | |||
|---|---|---|---|---|---|---|
| Small (n = 13) % | Large (n = 9) % | Weak (n = 5) % | Strong (n = 7) % | |||
| Gender (female) | 15.4 | 22.2 | >0.99 | 0 | 14.3 | >0.99 |
| Diseases | ||||||
| DM | 46.2 | 33.3 | 0.67 | 0 | 57.1 | 0.08 |
| Hyperlipidemia | 46.2 | 44.4 | >0.99 | 40 | 57.1 | >0.99 |
| Ischemia | 84.6 | 77.8 | >0.99 | 40 | 85.7 | 0.22 |
| Hypertension | 69.2 | 77.8 | >0.99 | 20 | 85.7 | 0.07 |
| Heart failure | 46.2 | 33.3 | 0.67 | 20 | 71.4 | 0.24 |
| VHD | 46.2 | 33.3 | 0.67 | 20 | 57.1 | 0.29 |
| Drugs | ||||||
| Antiplatelets | 76.9 | 66.7 | 0.66 | 60 | 42.9 | >0.99 |
| Anticoagulants | 38.5 | 33.3 | >0.99 | 42.9 | 14.3 | 0.56 |
| β-blockers | 84.6 | 100 | 0.49 | 100 | 71.4 | 0.47 |
| ACEI | 61.5 | 88.9 | 0.33 | 60 | 71.4 | >0.99 |
| Ca2+ channel b. | 15.4 | 22.2 | >0.99 | 20 | 14.3 | >0.99 |
| NO donors | 15.4 | 44.4 | 0.18 | 0 | 14.3 | >0.99 |
| Diuretics | 46.2 | 66.7 | 0.41 | 40 | 57.1 | >0.99 |
| Trimetazidine | 15.4 | 44.4 | 0.18 | 0 | 28.6 | 0.47 |
| Statins | 76.9 | 66.7 | 0.66 | 40 | 57.1 | >0.99 |
| Insulin | 15.4 | 11.1 | >0.99 | 0 | 28.6 | 0.47 |
| Oral antidiab. | 30.8 | 22.2 | >0.99 | 28.6 | 0 | 0.47 |
| PPI | 69.2 | 44.4 | 0.38 | 100 | 57.1 | 0.2 |
| Potassium | 23.1 | 22.2 | >0.99 | 20 | 28.6 | >0.99 |
| Benzodiazep. | 15.4 | 22.2 | >0.99 | 20 | 14.3 | >0.99 |
| Allopurinol | 7.7 | 22.2 | 0.54 | 0 | 14.3 | >0.99 |
© 2020 by the authors. Licensee MDPI, Basel, Switzerland. This article is an open access article distributed under the terms and conditions of the Creative Commons Attribution (CC BY) license (http://creativecommons.org/licenses/by/4.0/).
Share and Cite
Lampé, N.; Priksz, D.; Erdei, T.; Bombicz, M.; Kiss, R.; Varga, B.; Zsuga, J.; Szerafin, T.; Csanádi, Z.; Balla, G.; et al. Negative Inotropic Effect of BGP-15 on the Human Right Atrial Myocardium. J. Clin. Med. 2020, 9, 1434. https://doi.org/10.3390/jcm9051434
Lampé N, Priksz D, Erdei T, Bombicz M, Kiss R, Varga B, Zsuga J, Szerafin T, Csanádi Z, Balla G, et al. Negative Inotropic Effect of BGP-15 on the Human Right Atrial Myocardium. Journal of Clinical Medicine. 2020; 9(5):1434. https://doi.org/10.3390/jcm9051434
Chicago/Turabian StyleLampé, Nóra, Dániel Priksz, Tamás Erdei, Mariann Bombicz, Rita Kiss, Balázs Varga, Judit Zsuga, Tamás Szerafin, Zoltán Csanádi, György Balla, and et al. 2020. "Negative Inotropic Effect of BGP-15 on the Human Right Atrial Myocardium" Journal of Clinical Medicine 9, no. 5: 1434. https://doi.org/10.3390/jcm9051434
APA StyleLampé, N., Priksz, D., Erdei, T., Bombicz, M., Kiss, R., Varga, B., Zsuga, J., Szerafin, T., Csanádi, Z., Balla, G., Balla, J., Szilvássy, Z., Gesztelyi, R., & Juhász, B. (2020). Negative Inotropic Effect of BGP-15 on the Human Right Atrial Myocardium. Journal of Clinical Medicine, 9(5), 1434. https://doi.org/10.3390/jcm9051434

